Potentially Toxic Elements (PTEs) in Cultivated Soils from Lombardy (Northern Italy): Spatial Distribution, Origin, and Management Implications
Abstract
1. Introduction
Study Area
2. Materials and Methods
- 1449 top soil samples,
- 981 deep soil samples, and
- 810 profiles in which the top soil matched the deep soil samples.
3. Results
3.1. Regional Data
3.1.1. Univariate Statistical Analysis
3.1.2. Analysis of Correlations
3.1.3. Principal Component Analysis (PCA)
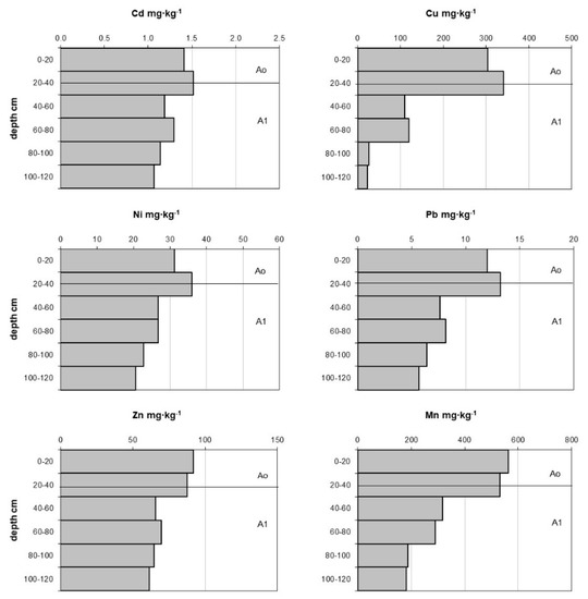
3.2. Dedicated Soil Profiles
4. Discussion
- Cu, Pb, and Zn are systematically enriched in the top layer with respect to the deep layer, whereas Cd, Ni, and Mn show different patterns according to the land use;
- Maize and wheat cultivated soils display numerous samples identified as outliers, especially in the top layer. These outliers frequently exceed the SQGs for residential land use for most metals, and in particular for Cd, Cu, Ni, Pb, and Zn;
- Rice fields too show some outlier values exceeding SQGs, especially for Ni; in addition, in these areas, Ni and Mn are more enriched in the deep than in the top layer;
- Vine cultivated soils display less numerous samples classified as statistical outliers. Cu in the top layer is highly enriched with respect to the deep layer, and so are Pb and Zn, although to a minor extent. By contrast, Cd concentrations are higher in the deep layer.
4.1. Natural Origin
4.2. Anthropogenic Origin
5. Conclusions and Management Recommendations
Supplementary Materials
Author Contributions
Funding
Conflicts of Interest
References
- Pourret, O.; Hursthouse, A. It’s time to replace the term “heavy metals” with “potentially toxic elements” when reporting environmental research. Int. J. Environ. Res. Public Health 2019, 16, 4446. [Google Scholar] [CrossRef]
- Cabral Pinto, M.M.S.; Silva, M.M.V.G.; Ferreira da Silva, E.A.; Dinis, P.A.; Rocha, F. Transfer processes of potentially toxic elements (PTE) from rocks to soils and the origin of PTE in soils: A case study on the island of Santiago (Cape Verde). J. Geochem. Explor. 2017, 183, 140–151. [Google Scholar] [CrossRef]
- Alloway, B.J., III (Ed.) Heavy Metals in Soils; Springer: Dordrecht, The Netherlands, 2013; ISBN 978-94-007-4469-1. [Google Scholar]
- Stolte, J.; Tesfai, M.; Øygarden, L.; Kværnø, S.; Keizer, J.; Verheijen, F.; Panagos, P.; Ballabio, C.; Hessel, R. (Eds.) Soil threats in Europe; EUR 27607 EN; European Union: Luxembourg, 2016; ISBN 978-92-79-54018-9. [Google Scholar]
- Imrie, C.E.; Korre, A.; Munoz-Melendez, G.; Thornton, I.; Durucan, S. Application of factorial kriging analysis to the FOREGS European topsoil geochemistry database. Sci. Total Environ. 2008, 393, 96–110. [Google Scholar] [CrossRef] [PubMed]
- Lado, L.R.; Hengl, T.; Reuter, H.I. Heavy metals in European soils: A geostatistical analysis of the FOREGS Geochemical database. Geoderma 2008, 148, 189–199. [Google Scholar] [CrossRef]
- Tóth, G.; Hermann, T.; Da Silva, M.R.; Montanarella, L. Heavy metals in agricultural soils of the European Union with implications for food safety. Environ. Int. 2016, 88, 299–309. [Google Scholar] [CrossRef] [PubMed]
- Selim, H.; Kingery, W. (Eds.) Geochemical and Hydrological Reactivity of Heavy Metals in Soils; CRC Press: Boca Raton, FL, USA, 2003; ISBN 9781566706230. [Google Scholar]
- Violante, A.; Huang, P.M.; Gadd, G.M. (Eds.) Biophysico-Chemical Processes of Heavy Metals and Metalloids in Soil Environments; John Wiley and Sons: Hoboken, NJ, USA, 2008. [Google Scholar]
- Liu, F.; Colombo, C.; Adamo, P.; He, J.Z.; Violante, A. Trace elements in manganese-iron nodules from a chinese alfisol. Soil Sci. Soc. Am. J. 2002, 66, 661–670. [Google Scholar] [CrossRef]
- Facchinelli, A.; Sacchi, E.; Mallen, L. Multivariate statistical and GIS-based approach to identify heavy metal sources in soils. Environ. Pollut. 2001, 114, 313–324. [Google Scholar] [CrossRef]
- Science Communication Unit―University of the West of England. Science for Environment Policy In-depth Report: Soil Contamination: Impacts on Human Health; Science Communication Unit―University of the West of England: Bristol, UK, 2013. [Google Scholar]
- Peralta-Videa, J.R.; Lopez, M.L.; Narayan, M.; Saupe, G.; Gardea-Torresdey, J. The biochemistry of environmental heavy metal uptake by plants: Implications for the food chain. Int. J. Biochem. Cell Biol. 2009, 41, 1665–1677. [Google Scholar] [CrossRef]
- Jones, A.; Panagos, P.; Barcelo, S.; Bouraoui, F.; Bosco, C.; Dewitte, O.; Gardi, C.; Erhard, M.; Hervás, J.; Hiederer, R.; et al. The State of Soil in Europe―A Contribution of the JRC to the European Environment Agency’s State and Outlook Report―SOER 2010; Publications Office: Luxembourg, 2012.
- Van-Camp, L.; Bujarrabal, B.; Gentile, A.R.; Jones, R.J.A.; Montanarella, L.; Olazabal, C.; Selvaradjou, S.-K. Reports of the Technical Working Groups Established under the Thematic Strategy for Soil Protection; European Communities: Luxembourg, 2004. [Google Scholar]
- Salminen, R.; Batista, M.J.; Bidovec, M.; Demetriades, A.; De Vivo, B.; De Vos, W.; Duris, M.; Gilucis, A.; Gregorauskiene, V.; Halamic, J.; et al. Geochemical atlas of Europe. Part 1, Background Information, Methodology and Maps; Salminen, R., Ed.; Geological Survey of Finland: Espoo, Finland, 2005; ISBN 951-690-921-3.
- Tóth, G.; Jones, A.; Montanarella, L. LUCAS Topsoil Survey. Methodology, Data and Results; EUR 26102 EN; European Community, Publications Office of the European Union: Luxembourg, 2013.
- He, Z.L.; Yang, X.E.; Stoffella, P.J. Trace elements in agroecosystems and impacts on the environment. J. Trace Elem. Med. Biol. 2005, 19, 125–140. [Google Scholar] [CrossRef]
- Diacono, M.; Montemurro, F. Long-term effects of organic amendments on soil fertility. A review. Agron. Sustain. Dev. 2010, 30, 401–422. [Google Scholar] [CrossRef]
- Brenna, S.; D’Alessio, M.; Solaro, S. Carta dei suoli della Lombardia, Scala 1:250.000; S.E.L.C.A.: Firenze, Italy, 2004. [Google Scholar]
- Soil Atlas of Europe; EUR 21676 EN; European Soil Bureau Network, European Commission: Luxembourg, 2005; ISBN 92-894-8120-X.
- Costantini, E.A.; Dazzi, C. (Eds.) The Soils of Italy; Springer: Dordrecht, The Netherlands, 2013. [Google Scholar]
- ISSS; ISRIC; FAO. World Reference Base for Soil Resources; FAO: Rome, Italy, 1998; ISBN 92-5-104141-5. [Google Scholar]
- USDA Soil Survey Staff. Keys to Soil Taxonomy, 9th ed.; USDA NRCS: Washington, DC, USA, 2003.
- per le Politiche Agricole, M. Metodi ufficiali di analisi chimica del suolo. DM Del. 1999, 13, 1999. [Google Scholar]
- Zhang, C.; Manheim, F.T.; Hinde, J.; Grossman, J.N. Statistical characterization of a large geochemical database and effect of sample size. Appl. Geochem. 2005, 20, 1857–1874. [Google Scholar] [CrossRef]
- Zygmont, C.; Smith, M.R. Robust factor analysis in the presence of normality violations, missing data, and outliers: Empirical questions and possible solutions. Quant. Methods Psychol. 2014, 10, 40–55. [Google Scholar] [CrossRef]
- Kaiser, H.F. The varimax criterion for analytic rotation in factor analysis. Psychometrika 1958, 23, 187–200. [Google Scholar] [CrossRef]
- Biscaye, P.E. Mineralogy and sedimentation of recent deep-sea clay in the Atlantic Ocean and adjacent seas and oceans. Bull. Geol. Soc. Am. 1965, 76, 803–832. [Google Scholar] [CrossRef]
- Moore, D.M.; Reynolds, R.C. X-ray Diffraction and the Identification and Analysis of Clay Minerals; Oxford University Press: New York, NY, USA, 1989. [Google Scholar]
- Bradl, H.; Kim, C.; Kramar, U.; StÜben, D. Heavy Metals in the Environment: Origin, Interaction and Remediation; Interface; Elsevier B.V.: Amsterdam, The Netherlands, 2005; ISBN 9780120883813. [Google Scholar]
- ARPA Piemonte 5. Suolo. In Lo Stato dell’Ambiente in Piemonte 2012; ARPA Piemonte: Torino, Italy, 2012; p. 23. [Google Scholar]
- Sinclair, A.J. Statistical interpretation of soil geochemical data. In Exploration Geochemistry: Design and Interpretation of Soil Surveys; Robertson, J.M., Ed.; Reviews in Economic Geology 3, Society of Economic Geologists; Society of Economic Geologists: Littleton, CO, USA, 1986; pp. 97–115. [Google Scholar]
- Gough, L.P.; Severson, L.C.; Jackson, L.L. Baseline element concentration in soils and plants, Bull Island, Cape Romain, National Wildlife Refuge, South Carolina, USA. Water Air Soil Pollut. 1994, 74, 1–17. [Google Scholar] [CrossRef]
- Chen, M.; Ma, L.Q.; Harris, W.G. Baseline concentrations of 15 trace elements in Florida surface soils. J. Environ. Qual. 1999, 28, 1173–1181. [Google Scholar] [CrossRef]
- Reimann, C.; Garrett, R.G. Geochemical background―Concept and reality. Sci. Total Environ. 2005, 350, 12–27. [Google Scholar] [CrossRef]
- Sacchi, E.; Brenna, S.; Fornelli Genot, S.; Sale, V.M.; Azzolina, L.; Leoni, M.A. Analisi del Contenuto in Rame ed Altri Metalli nei Suoli Agricoli Lombardi; Regione Lombardia Quaderni della Ricerca n.61; Regione Lombardia: Milan, Italy, 2007. [Google Scholar]
- Lgs, D. 152/2006. Norme in materia ambientale. Gazz. Uff. Ser. Gen. 2006, 88, 1–425. [Google Scholar]
- Regolamento relativo agli interventi di bonifica, di ripristino ambientale e di messa in sicurezza, d’emergenza, operativa e permanente, delle aree destinate alla produzione agricola e all’allevamento, ai sensi dell’articolo 241 del decreto legislativo 3. Gazz. Uff. Ser. Gen. 2019, 132, 1–13.
- Lgs, D. 99/92. Attuazione della direttiva 86/278/CEE concernente la protezione dell’ambiente, in particolare del suolo, nell’utilizzazione dei fanghi di depurazione in agricoltura. Gazz. Uff. Ser. Gen. 1992, 38, 113–119. [Google Scholar]
- Reimann, C.; De Caritat, P. Distinguishing between natural and anthropogenic sources for elements in the environment: Regional geochemical surveys versus enrichment factors. Sci. Total Environ. 2005, 337, 91–107. [Google Scholar] [CrossRef] [PubMed]
- Sposito, G. The Chemistry of Soils, 2nd ed.; Oxford University Press: Oxford, UK, 2008; ISBN 978-0-19-531369-7. [Google Scholar]
- Sacchi, E.; Brenna, S.; Setti, M.; Leoni, M.A.; Garzetti, F.; Dallera, D. I metalli pesanti nei suoli agrari della Provincia di Pavia. Atti Ticinensi di Sci. della Terra 2007, 45, 83–97. [Google Scholar]
- Cenci, R.; Lodigiani, G.; Benedetti, A.; Beone, G.M.; Bouraoui, F.; Brangi, A.; Brenna, S.; Carlon, C.; Filippi, N.; Casale, M.; et al. Il Suolo della Provincia di Pavia (Valutazione della Concentrazione di Composti Organici e Inorganici Persistenti Attraverso lo Sviluppo di una Rete di Monitoraggio del Suolo); Cenci, R., Lodigiani, G., Eds.; Edizioni Torchio De’ Ricci: Certosa di Pavia, Italy, 2006; ISBN 92-894-8619-8. [Google Scholar]
- Lombini, A.; Dinelli, E.; Ferrari, C.; Simoni, A. Plant―soil relationships in the serpentinite screes of Mt. Prinzera (Northern Apennines, Italy). J. Geochem. Explor. 1998, 64, 19–33. [Google Scholar] [CrossRef]
- Apollaro, C.; Fuoco, I.; Brozzo, G.; Rosa, R. De Release and fate of Cr (VI) in the ophiolitic aquifers of Italy: The role of Fe (III) as a potential oxidant of Cr (III) supported by reaction path modelling Science of the Total Environment Release and fate of Cr (VI) in the ophiolitic aquifers. Sci. Total Environ. 2019, 660, 1459–1471. [Google Scholar] [CrossRef]
- ARPA Piemonte Stato dell’Ambiente in Piemonte. Relazione 2019. Available online: http://relazione.ambiente.piemonte.it/2019/it/territorio/stato/suolo-contaminazione (accessed on 24 March 2020).
- Gherardi, M.; Pontalti, F.; Vianello, G.; Antisari Vittori, L. Heavy metals in the soil-plant system: Monitoring urban and extra-urban parks in the Emilia Romagna Region (Italy). Agrochimica 2009, 53, 196–208. [Google Scholar]
- Tomadin, L.; Varani, L. Provenance and downstream mineralogical evolution of the muds transported by the Po River (Northern Italy). Mineral. Petrogr. Acta 1998, 41, 205–224. [Google Scholar]
- Pettine, M.; Camusso, M.; Martinotti, W.; Marchetti, R.; Passino, R.; Queirazza, G. Soluble and particulate metals in the Po River: Factors affecting concentrations and partitioning. Sci. Total Environ. 1994, 145, 243–265. [Google Scholar] [CrossRef]
- Caucia, F.P.; Maninoni, L.T. Composizione mineralogica dei terreni delle risaie del pavese e del novarese. MICRO Not. Mineral. 2004, 1, 13–24. [Google Scholar]
- Sacchi, E.; Acutis, M.; Bartoli, M.; Brenna, S.; Delconte, C.A.; Laini, A.; Pennisi, M. Origin and fate of nitrates in groundwater from the central Po plain: Insights from isotopic investigations. Appl. Geochem. 2013, 34, 164–180. [Google Scholar] [CrossRef]
- Martens, D.C.; Westermann, D.T. Fertilizer Applications for Correcting Micronutrient Deficiencies. In Micronutrients in Agriculture; Mortvedt, J.J., Ed.; SSSA Book Ser. 4; Soil Science Society of America: Madison, WI, USA, 1991; pp. 549–592. [Google Scholar]
- Pirzadeh, M.; Afyuni, M.; Khoshgoftarmanesh, A.; Schulin, R. Micronutrient status of calcareous paddy soils and rice products: Implication for human health. Biol. Fertil. Soils 2010, 46, 317–322. [Google Scholar] [CrossRef]
- ISTAT. I Distetti Industriali 2011―9° Censimento Dell’Industria e dei Servizi e Censimento Delle Istituzioni non Profit; ISTAT: Roma, Italy, 2015; ISBN 978-88-458-1859-2.
- Biasioli, M.; Barberis, R.; Ajmone-Marsan, F. The influence of a large city on some soil properties and metals content. Sci. Total Environ. 2006, 356, 154–164. [Google Scholar] [CrossRef] [PubMed]
- Manta, D.S.; Angelone, M.; Bellanca, A.; Neri, R.; Sprovieri, M. Heavy metals in urban soils: A case study from the city of Palermo (Sicily), Italy. Sci. Total Environ. 2002, 300, 229–243. [Google Scholar] [CrossRef]
- Amjadian, K.; Sacchi, E.; Rastegari Mehr, M. Heavy metals (HMs) and polycyclic aromatic hydrocarbons (PAHs) in soils of different land uses in Erbil metropolis, Kurdistan Region, Iraq. Environ. Monit. Assess. 2016, 188, 605. [Google Scholar] [CrossRef] [PubMed]
- Rastegari Mehr, M.; Keshavarzi, B.; Moore, F.; Sacchi, E.; Lahijanzadeh, A.R.; Eydivand, S.; Jaafarzadeh, N.; Naserian, S.; Setti, M.; Rostami, S. Contamination level and human health hazard assessment of heavy metals and polycyclic aromatic hydrocarbons (PAHs) in street dust deposited in Mahshahr, southwest of Iran. Hum. Ecol. Risk Assess. 2016, 22, 1726–1748. [Google Scholar] [CrossRef]
- Dazzi, C.; Lo Papa, G. Soil threats. In The soils of Italy; Costantini, E.A.C., Dazzi, C., Eds.; Springer: Dordrecht, The Netherlands, 2013; pp. 205–246. [Google Scholar]
- Chaignon, V.; Sanchez-Neira, I.; Herrmann, P.; Jaillard, B.; Hinsinger, P. Copper bioavailability and extractability as related to chemical properties of contaminated soils from a vine-growing area. Environ. Pollut. 2003, 123, 229–238. [Google Scholar] [CrossRef]
- Komárek, M.; Čadková, E.; Chrastný, V.; Bordas, F.; Bollinger, J.C. Contamination of vineyard soils with fungicides: A review of environmental and toxicological aspects. Environ. Int. 2010, 36, 138–151. [Google Scholar] [CrossRef]
- Mantovi, P.; Bonazzi, G.; Maestri, E.; Marmiroli, N. Accumulation of copper and zinc from liquid manure in agricultural soils and crop plants. Plant Soil 2003, 250, 249–257. [Google Scholar] [CrossRef]
- Moolenaar, S.W.; Beltrami, P. Heavy metal balances of an Italian soil as affected by sewage sludge and bordeaux mixture applications. J. Environ. Qual. 1998, 27, 828–835. [Google Scholar] [CrossRef]
- Directive, C. Council Directive 86/278/EEC of 12 June 1986 on the protection of the environment, and in particular of the soil, when sewage sludge is used in agriculture. Off. J. Eur. Communities 1986, 181, 6–12. [Google Scholar]








| Top Layer | Cu | Ni | Pb | Zn | Cd | Mn | Cd > DL |
|---|---|---|---|---|---|---|---|
| Number of samples | 1449 | 1449 | 1449 | 1449 | 1449 | 1449 | 1057 |
| Mean | 34.5 | 45.9 | 50.1 | 89.9 | 0.55 | 555 | 0.75 |
| Mode | 15.4 | 20.4 | 22.8 | 73.4 | ≤DL | 424 | 0.2 |
| Standard deviation | 40.6 | 64.1 | 181.1 | 112.8 | 1.24 | 336 | 1.40 |
| Kurtosis | 102.11 | 176.85 | 707.15 | 267.54 | 550.45 | 27.09 | 455.97 |
| Skewness | 8.19 | 10.91 | 25.00 | 14.29 | 19.20 | 3.03 | 17.95 |
| Minimum | 0.4 | 0.4 | 0.2 | 6.8 | ≤DL | 2 | 0.02 |
| Maximum | 672 | 1222 | 5640 | 2728 | 37.7 | 4939 | 37.69 |
| Percentiles 25 | 17.8 | 20.0 | 22.4 | 59.6 | ≤DL | 328 | 0.20 |
| 50 | 24.4 | 28.9 | 31.6 | 77.4 | 0.20 | 514 | 0.40 |
| 75 | 36.0 | 49.5 | 48.6 | 98.2 | 0.63 | 712 | 0.98 |
| 90 | 60.2 | 99.4 | 73.6 | 111.6 | 1.42 | 936 | 1.70 |
| 95 | 88.8 | 119.7 | 103.6 | 136.5 | 2.00 | 1082 | 2.00 |
| Deep layer | Cu | Ni | Pb | Zn | Cd | Mn | Cd > DL |
| Number of samples | 981 | 981 | 981 | 981 | 981 | 981 | 807 |
| Mean | 19.3 | 48.2 | 17.4 | 57.2 | 0.55 | 506 | 0.67 |
| Mode | 8.60 | 19.8 | 0.20 | 23.0 | ≤DL | 234 | 0.20 |
| Standard deviation | 11.4 | 50.9 | 16.1 | 64.4 | 0.84 | 396 | 0.89 |
| Kurtosis | 4.60 | 41.63 | 83.75 | 311.65 | 13.80 | 12.50 | 12.02 |
| Skewness | 1.65 | 4.94 | 6.31 | 15.64 | 3.23 | 2.81 | 3.04 |
| Minimum | 2.4 | 2.0 | 0.2 | 3.6 | ≤DL | 14 | 0.03 |
| Maximum | 93.2 | 686.0 | 285.0 | 1477.0 | 7.00 | 3455 | 7.00 |
| Percentiles 25 | 11.2 | 21.6 | 8.43 | 32.9 | 0.10 | 241.8 | 0.16 |
| 50 | 17.4 | 33.8 | 15.0 | 51.2 | 0.20 | 418.0 | 0.37 |
| 75 | 25.0 | 54.0 | 21.4 | 71.5 | 0.66 | 644.0 | 0.80 |
| 90 | 34.1 | 98.6 | 31.2 | 91.2 | 1.55 | 905.9 | 1.61 |
| 95 | 41.0 | 133.6 | 39.4 | 103.8 | 2.00 | 1080 | 2.16 |
| Top Layer | Geometric Mean | Geometric SD | Baseline Concentration Range |
|---|---|---|---|
| Cd (>DL) | 0.46 | 2.51 | 0.07–2.90 |
| Cu | 26.71 | 1.90 | 7.40–96.4 |
| Ni | 33.21 | 2.06 | 7.82–141 |
| Pb | 32.94 | 2.16 | 7.06–154 |
| Zn | 76.59 | 1.60 | 29.9–196 |
| Mn | 466 | 1.89 | 130–1665 |
| Deep Layer | Geometric Mean | Geometric SD | Baseline Concentration Range |
| Cd (>DL) | 0.37 | 2.91 | 0.04–3.14 |
| Cu | 16.5 | 1.78 | 5.19–52.2 |
| Ni | 35.0 | 2.18 | 7.36–166 |
| Pb | 12.5 | 2.61 | 1.84–84.9 |
| Zn | 47.4 | 1.82 | 14.3–157 |
| Mn | 400 | 2.00 | 100–1592 |
© 2020 by the authors. Licensee MDPI, Basel, Switzerland. This article is an open access article distributed under the terms and conditions of the Creative Commons Attribution (CC BY) license (http://creativecommons.org/licenses/by/4.0/).
Share and Cite
Sacchi, E.; Brenna, S.; Fornelli Genot, S.; Leoni, A.; Sale, V.M.; Setti, M. Potentially Toxic Elements (PTEs) in Cultivated Soils from Lombardy (Northern Italy): Spatial Distribution, Origin, and Management Implications. Minerals 2020, 10, 298. https://doi.org/10.3390/min10040298
Sacchi E, Brenna S, Fornelli Genot S, Leoni A, Sale VM, Setti M. Potentially Toxic Elements (PTEs) in Cultivated Soils from Lombardy (Northern Italy): Spatial Distribution, Origin, and Management Implications. Minerals. 2020; 10(4):298. https://doi.org/10.3390/min10040298
Chicago/Turabian StyleSacchi, Elisa, Stefano Brenna, Stefania Fornelli Genot, Alessandra Leoni, Vanna Maria Sale, and Massimo Setti. 2020. "Potentially Toxic Elements (PTEs) in Cultivated Soils from Lombardy (Northern Italy): Spatial Distribution, Origin, and Management Implications" Minerals 10, no. 4: 298. https://doi.org/10.3390/min10040298
APA StyleSacchi, E., Brenna, S., Fornelli Genot, S., Leoni, A., Sale, V. M., & Setti, M. (2020). Potentially Toxic Elements (PTEs) in Cultivated Soils from Lombardy (Northern Italy): Spatial Distribution, Origin, and Management Implications. Minerals, 10(4), 298. https://doi.org/10.3390/min10040298

