Next Article in Journal
Distribution of Antennal Olfactory and Non-Olfactory Sensilla in Different Species of Bees
Next Article in Special Issue
Generalized Chordality, Vertex Separators and Hyperbolicity on Graphs
Previous Article in Journal / Special Issue
The Simultaneous Local Metric Dimension of Graph Families
 
 
Font Type:
Arial Georgia Verdana
Font Size:
Aa Aa Aa
Line Spacing:
Column Width:
Background:
Article

Gromov Hyperbolicity in Mycielskian Graphs

1
Department of Mathematics and Computer Science, Saint Louis University, Avenida del Valle 34, 28003 Madrid, Spain
2
Department of Mathematics, Universidad Carlos III de Madrid, Avenida de la Universidad 30, 28911 Leganés, Spain
*
Author to whom correspondence should be addressed.
Symmetry 2017, 9(8), 131; https://doi.org/10.3390/sym9080131
Submission received: 21 June 2017 / Revised: 14 July 2017 / Accepted: 21 July 2017 / Published: 27 July 2017
(This article belongs to the Special Issue Graph Theory)

Abstract

Since the characterization of Gromov hyperbolic graphs seems a too ambitious task, there are many papers studying the hyperbolicity of several classes of graphs. In this paper, it is proven that every Mycielskian graph G M is hyperbolic and that δ ( G M ) is comparable to diam ( G M ) . Furthermore, we study the extremal problems of finding the smallest and largest hyperbolicity constants of such graphs; in fact, it is shown that 5 / 4 δ ( G M ) 5 / 2 . Graphs G whose Mycielskian have hyperbolicity constant 5 / 4 or 5 / 2 are characterized. The hyperbolicity constants of the Mycielskian of path, cycle, complete and complete bipartite graphs are calculated explicitly. Finally, information on δ ( G ) just in terms of δ ( G M ) is obtained.
MSC:
Primary 05C75; Secondary 05C12

1. Introduction

Hyperbolic spaces (see Section 2 for definitions) were introduced by Mikhail Gromov in the 1980s in the context of geometric group theory (see [1,2,3,4]). Classical Riemannian geometry states that negatively-curved spaces possess an interesting property known as geodesic stability. Namely, near-optimal paths (quasi-geodesics) remain in a neighborhood of the optimal path (geodesic). When Mario Bonk proved in 1996 that geodesic stability was, in fact, equivalent to Gromov hyperbolicity (see [5]), the theory of hyperbolic spaces became a way to grasp the essence of negatively-curved spaces and to translate it to the simpler and more general setting of metric spaces. In this way, a simple concept led to a very rich general theory (see [1,2,3,4]) and, in particular, made hyperbolic spaces applicable to graphs. The theory has also been extensively used in discrete spaces like trees, the Cayley graphs of many finitely-generated groups and random graphs (see, e.g., [6,7,8,9]).
Hyperbolic spaces were initially applied to the study of automatic groups in the science of computation (see, e.g., [10]); indeed, it was proven that hyperbolic groups are strongly geodesically automatic, i.e., there is an automatic structure on the group [11]. The concept of hyperbolicity appears also in discrete mathematics, algorithms and networking [12]. For example, it has been shown empirically in [13] that the Internet topology embeds with better accuracy into a hyperbolic space than into a Euclidean space of comparable dimension (formal proofs that the distortion is related to the hyperbolicity can be found in [14]); furthermore, it is evidenced that many real networks are hyperbolic (see, e.g., [15,16,17,18,19]). Recently, among the practical network applications, hyperbolic spaces were used to study secure transmission of information on the Internet or the way viruses are spread through the network (see [20,21]); also to traffic flow and effective resistance of networks [22,23,24].
In fact, there is a new and growing interest for graph theorists in the study of the mathematical properties of Gromov hyperbolic spaces. (see, for example, [6,7,8,9,14,18,19,20,21,25,26,27,28,29,30,31,32,33,34,35]).
Several researchers have shown interest in proving that the metrics used in geometric function theory are Gromov hyperbolic. For instance, the Kobayashi and Klein–Hilbert metrics are Gromov hyperbolic (under certain conditions on the domain of definition; see [36,37,38]), the Gehring–Osgood j-metric is Gromov hyperbolic but the Vuorinen j-metric is not Gromov hyperbolic, except in the punctured space (see [39]). Furthermore, in [40], the hyperbolicity of the conformal modulus metric μ and the related so-called Ferrand metric λ * have been studied. Gromov hyperbolicity of the Poincaré and the quasi-hyperbolic metrics is also the subject of [34,41,42,43,44,45,46].
Mycielskian graphs (see Section 2 for definitions) are a construction for embedding any undirected graph into a larger graph with higher chromatic number, but avoiding the creation of additional triangles. For example, the simple path graph with two vertices and one edge has chromatic number two, but its Mycielskian graph (which is the cycle graph with five vertices) raises that number to three. Actually, Jan Mycielski proved that there exist triangle-free graphs with an arbitrarily large chromatic number by applying this construction repeatedly to a starting triangle-free graph (see [47]). This means that, on the one hand, this construction enlarges small graphs in order to increase their chromatic number, but on the other hand (as we prove in the present paper), the resulting graph is Gromov hyperbolic; furthermore, its hyperbolicity constant is strongly constrained to a small interval. In this work, we also characterize which graphs yield Mycielskian graphs with hyperbolicity constant in the boundary cases. Note that a constraint value of the hyperbolicity constant is relevant, since it gives an idea of the tree-likeness of the space in question (see [35]).
Computing the hyperbolicity constant of a space is a difficult goal: For any arbitrary geodesic triangle T, the minimum distance from any point p of T to the union of the other two sides of the triangle to which p does not belong to must be calculated. Then, the hyperbolicity constant is the supremum over all the minimum distances of possible choices for p and then over all of the possible choices for T in that space. Anyhow, notice that in general, the main obstacle is locating the geodesics in the space. In [2], the equivalence of the hyperbolicity of any geodesic metric space and the hyperbolicity of a graph associated with it are proven; similar results for Riemannian surfaces (with a very simple graph) can be found in [34,44,45,46]; hence, it is very useful to know hyperbolicity criteria for graphs. It is possible to compute the hyperbolicity constant of a finite graph with n vertices in time O ( n 3.69 ) [48] (this result is improved in [17,49]). There is an algorithm that allows to decide if a Cayley graph (of a presentation with a solvable word problem) is hyperbolic [50]. However, there is no easy method to decide if a general infinite graph is hyperbolic or not.
Thus, a way to approach the problem is to study the hyperbolicity for particular types of graphs. For example, some other authors have obtained results on hyperbolicity for the complement of graphs, chordal graphs, vertex-symmetric graphs, lexicographic product graphs, corona and join of graphs, line graphs, bipartite and intersection graphs, bridged graphs, expanders and median graphs [24,27,28,32,33,35,51,52,53,54,55,56].
If G is a graph, G M denotes its Mycielskian graph (see Section 2 for definitions), and δ ( G M ) stands for its hyperbolicity constant. As usual, we denote by V ( G ) and E ( G ) as the set of vertices and edges of G, respectively. Let us also denote by J ( G ) the union of the set V ( G ) and the midpoints of the edges of G. The diameter of a graph G (the maximum distance between any two points of G) will be denoted by diam ( G ) and the diameter of the set of vertices V ( G ) of G by diam V ( G ) .
The main results of this work deal with the hyperbolicity constant of Mycielskian graphs, as said above. The first of them states that Mycielskian graphs are always hyperbolic and solves the extremal problems of finding the smallest and largest hyperbolicity constants of such graphs. The second and third ones characterize graphs with hyperbolicity constants 5 / 2 and 5 / 4 , the maximum and the minimum values, respectively. The fourth result gives an accurate estimate of δ ( G M ) , and the fifth one allows us to obtain information on δ ( G ) just in terms of δ ( G M ) .
Theorem 1.
Let G be any graph. Then, G M is hyperbolic, 2 diam V ( G M ) 4 and 5 / 2 diam ( G M ) 5 . Furthermore, if G is a complete graph, then δ ( G M ) = 5 / 4 ; otherwise:
5 4 δ ( G M ) min 5 2 , 1 + diam V ( G ) 2
and both bounds of δ ( G M ) are sharp.
Theorem 2.
Let G be any graph. Then, δ ( G M ) = 5 / 2 if and only if there exists a geodesic triangle T : = { x , y , z } in G and G M with:
x , y J ( G ) V ( G ) , z J ( G ) ,
d G ( x , y ) = 5 , d G ( x , z ) 5 , d G ( y , z ) 5 ,
the midpoint p in [ x y ] is a vertex of G and d G ( p , [ x z ] [ y z ] ) = 5 / 2 .
Theorem 10 characterizes the graphs G with δ ( G M ) = 5 / 4 . Since this characterization is not easy to state briefly, we present here nice necessary and sufficient conditions on G for δ ( G M ) = 5 / 4 .
Theorem 3.
Let G be any graph:
If diam ( G ) 2 , then δ ( G M ) = 5 / 4 ,
If δ ( G M ) = 5 / 4 , then diam ( G ) 5 / 2 .
Furthermore, the converses of (4) and (5) do not hold.
The hyperbolicity of a metric space is at most half of its diameter. The following result states an unexpected fact: δ ( G M ) is not only upper bounded by 1 2 diam ( G M ) ; in this case, that upper bound is close to the actual value of the hyperbolicity constant.
Theorem 4.
Let G be any graph. Then:
1 2 diam V ( G M ) δ ( G M ) 1 2 diam ( G M ) .
So far, our main results have obtained information about G M in terms of G. However, it is also interesting to consider what can be said about δ ( G ) in terms of δ ( G M ) . Our next theorem gives a partial answer to this question.
Theorem 5.
If δ ( G M ) 3 / 2 , then δ ( G ) δ ( G M ) .
The outline of the paper will be as follows. In Section 2, some definitions and previous results will be stated. Section 3 contains the proof of the main parts of Theorem 1. Section 4 and Section 5 will present the proofs of Theorem 2 and Theorem 3, respectively. In Section 6, the hyperbolicity constants of the Mycielskian of path, cycle, complete and complete bipartite graphs are calculated explicitly. Apart from the intrinsic interest of these results, they are also employed in the proofs of some of the main results of the paper. Furthermore, it contains the proofs of Theorems 1, 4 and 5. Finally, in Section 7, a characterization for graphs with δ ( G M ) = 5 / 4 is given.
Since the hypotheses in most theorems are simple to check, the main results in this paper can be applied to every graph. An exception is Theorem 10, but even in this case, a rough algorithm is provided, which allows one to check the hypotheses in polynomial time. Furthermore, information on δ ( G M ) from G and on δ ( G ) in terms of G M is found. The main inequalities obtained in this work are applied in Section 6 in order to compute explicitly the hyperbolicity constants of the Mycielskian of some classical examples, such as path, cycle, complete and complete bipartite graphs. Finally, note that Mycielskian graphs are not difficult to identify computationally.

2. Definitions and Background

If γ : [ a , b ] X is a continuous curve in a metric space ( X , d ) , we can define the length of γ as:
l ( γ ) : = sup i = 1 n d ( γ ( t i 1 ) , γ ( t i ) ) : a = t 0 < t 1 < < t n = b .
The curve γ is a geodesic if we have l ( γ | [ t , s ] ) = d ( γ ( t ) , γ ( s ) ) = | t s | for every s , t [ a , b ] (then γ is equipped with an arc-length parametrization). The metric space X is said to be geodesic if for every couple of points in X, there exists a geodesic joining them; we denote by [ x y ] any geodesic joining x and y; this notation is ambiguous, since in general we do not have the uniqueness of geodesics, but it is very convenient. Consequently, any geodesic metric space is connected. The graph G consists of a collection of vertices, denoted by V ( G ) = { v i } and a collection of edges joining vertices, E ( G ) ; the edge joining vertices v i and v j will be denoted by { v i , v j } . Furthermore, N G ( v i ) will stand for the set of neighbors of (or adjacent to) the vertex v i , that is the set of all vertices v V ( G ) for which { v , v i } E ( G ) . All throughout this paper, the metric space X considered is a graph with every edge of length one. In order to consider a graph G as a geodesic metric space, we identify (by an isometry) any edge { v i , v j } E ( G ) with the interval [ 0 , 1 ] in the real line. Thus, the points in Gare the vertices and the points in the interiors of the edges of G. In this way, any connected graph G has a natural distance defined on its points, induced by taking the shortest paths in G, and we can see G as a metric graph. Such a distance will be denoted by d G . Throughout this paper, G denotes a connected (finite or infinite) simple (i.e., without loops and multiple edges) graph such that every edge has length one and E ( G ) . These properties guarantee that G is a geodesic metric space and that G M can be defined. Note that excluding multiple edges and loops is not an important loss of generality, since ([57], Theorems 8 and 10) they reduce the problem of computing the hyperbolicity constant of graphs with multiple edges and/or loops to the study of simple graphs.
A cycle in G is a simple closed curve containing adjacent vertices v 1 , , v n . It will be denoted by [ v 1 , v 2 , , v n , v 1 ] . The notation a b means that the vertices a and b are adjacent.
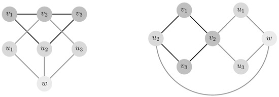
Given a graph G with V ( G ) = { v 1 , , v n } , the Mycielskian graph G M of G contains G itself as a subgraph, together with n + 1 additional vertices { u 1 , , u n , w } , where each vertex u i is the mirror of the vertex v i of G and w is the supervertex. Each vertex u i is connected by an edge to w. In addition, for each edge { v i , v j } of G, the Mycielskian graph includes two edges, { u i , v j } and { v i , u j } (in Figure 1, the process of the construction of the Mycielskian graph for the path graph P 3 is shown). Thus, if G has n vertices and m edges, then G M has 2 n + 1 vertices and 3 m + n edges.
Trivially, for all i , j , d G M ( w , v i ) = d G M ( u i , u j ) = 2 and d G M ( w , u i ) = 1 ; also d G M ( v i , v j ) = min { d G ( v i , v j ) , 4 } and for any point a G M , d G M ( w , a ) 5 / 2 . Note that a can be either a vertex of the graph or any other point belonging to an edge of it. Moreover, the definition of G M makes sense also if n = , i.e., if G is an infinite graph. Since G M is always connected, it would be possible to consider disconnected graphs G, but Theorem 9 shows that, in order to study δ ( G M ) , it suffices to consider just connected graphs.
Finally, let us recall the definition of Gromov hyperbolicity that we will use (we use the notations of [3]).
If X is a geodesic metric space and x 1 , x 2 , x 3 X , the union of three geodesics [ x 1 x 2 ] , [ x 2 x 3 ] and [ x 3 x 1 ] is a geodesic triangle that will be denoted by T = { x 1 , x 2 , x 3 } , and we will say that x 1 , x 2 and x 3 are the vertices of T; it is usual to write also T = { [ x 1 x 2 ] , [ x 2 x 3 ] , [ x 3 x 1 ] } . We say that T is δ -thin if any side of T is contained in the δ -neighborhood of the union of the two other sides. We denote by δ ( T ) the sharp thin constant of T, i.e., δ ( T ) : = inf { δ 0 : T is δ thin } . Given a constant δ 0 , the space X is δ -hyperbolic if every geodesic triangle in X is δ -thin. We denote by δ ( X ) the sharp hyperbolicity constant of X, i.e., δ ( X ) : = sup { δ ( T ) : T is a geodesic triangle in X } [ 0 , ] . We say that X is hyperbolic if X is δ -hyperbolic for some constant δ 0 , i.e., δ ( X ) < . If we have a geodesic triangle with two identical vertices, we call it a bigon. Obviously, every bigon in a δ -hyperbolic space is δ -thin. In the classical references on this subject (see, e.g., [2,3]) appear several different definitions of Gromov hyperbolicity, which are equivalent in the sense that if X is δ -hyperbolic with respect to one definition, then it is δ -hyperbolic with respect to another definition (for some δ related to δ ). We have chosen this definition by its deep geometric meaning [3].
Trivially, any bounded metric space X is ( diam X ) -hyperbolic. A normed real linear space is hyperbolic if and only if it has dimension one. A geodesic space is zero-hyperbolic if and only if it is a metric tree. The hyperbolic plane (with curvature 1 ) is log ( 1 + 2 ) -hyperbolic. Every simply-connected complete Riemannian manifold with sectional curvature verifying K k 2 , for some positive constant k, is hyperbolic. See the classical [1,3] in order to find more examples and further results.
Trees are one of the main examples of hyperbolic graphs. Metric trees are precisely those spaces X with δ ( X ) = 0 . Therefore, the hyperbolicity constant of a geodesic metric space can be seen as a measure of how “tree-like” that space is. This alternative view of the hyperbolicity constant is an interesting subject since the tractability of a problem in many applications is related to the tree-like degree of the space under investigation. (see, e.g., [58]). Furthermore, it is well known that any Gromov hyperbolic space with n points embeds into a tree metric with distortion O ( δ log n ) (see, e.g., [3], p. 33).
If G 1 and G 2 are isomorphic, we write G 1 G 2 . It is clear that if G 1 G 2 , then δ ( G 1 ) = δ ( G 2 ) .
The following well-known result will be used throughout the paper (see, e.g., ([59], Theorem 8) for a proof).
Lemma 1.
Let G be any graph. Then, δ ( G ) diam ( G ) / 2 .
Consider the set T 1 of geodesic triangles T in G that are cycles and such that the three vertices of the triangle T belong to J ( G ) , and denote by δ 1 ( G ) the infimum of the constants λ such that every triangle in T 1 is λ -thin.
The following results, which appear in [60] (Theorems 2.5, 2.7 and 2.6), will be used throughout the paper.
Lemma 2.
For every graph G, we have δ 1 ( G ) = δ ( G ) .
Lemma 3.
For any hyperbolic graph G, there exists a geodesic triangle T T 1 such that δ ( T ) = δ ( G ) .
The next result will narrow the possible values for the hyperbolicity constant δ .
Lemma 4.
Let G be any graph. Then, δ ( G ) is always a multiple of 1 / 4 .
The following results deal with isometric subgraphs and how the hyperbolicity constant behaves.
A subgraph G 0 of the graph G is an isometric subgraph if for all x , y G 0 , we have d G 0 ( x , y ) = d G ( x , y ) . This is equivalent to the fact that d G 0 ( u , v ) = d G ( u , v ) for every u , v V ( G 0 ) . It is known that isometric subgraphs have a lesser hyperbolicity constant (see [57], Lemma 7):
Lemma 5.
Let G 0 be an isometric subgraph of G. Then, δ ( G 0 ) δ ( G ) .
The coming lemma states that the Mycielskians preserve isometric subgraphs, and a nice corollary follows.
Lemma 6.
If G 0 is an isometric subgraph of G, then G 0 M is an isometric subgraph of G M .
Proof. 
Let x , y V ( G 0 M ) . Throughout the proof, V ( G 0 ) = { v 1 , , v n } , W = { u 1 , , u n } and V ( G 0 M ) = V ( G 0 ) W { w } = { v 1 , , v n , u 1 , , u n , w } with w being the supervertex.
Without loss of generality, x , y V ( G 0 ) or x V ( G 0 ) and y W . Otherwise, trivially, if x , y { u 1 , , u n } or if x = w and y V ( G 0 ) , then d G 0 M ( x , y ) = d G M ( x , y ) = 2 ; also trivially, if x = w and y W , then d G 0 M ( x , y ) = d G M ( x , y ) = 1 .
First, let x = v i and y = v j . If d G 0 ( v i , v j ) = d G ( v i , v j ) = 1 , trivially, d G 0 M ( v i , v j ) = d G M ( v i , v j ) = 1 .
If d G 0 ( v i , v j ) = d G ( v i , v j ) = 2 , there exists v r V ( G 0 ) so that { v i , v r } , { v r , v j } E ( G 0 ) . Notice also that d G 0 M ( v i , v j ) d G 0 M ( v i , u r ) + d G 0 M ( u r , v j ) . Suppose there is a path γ G M from v i to v j such that l ( γ ) = 1 ; then, { v i , v j } ] E ( G M ) , and thus, { v i , v j } E ( G ) , giving d G ( v i , v j ) = 1 , which contradicts d G ( v i , v j ) = 2 .
Additionally, if d G 0 ( v i , v j ) = d G ( v i , v j ) > 2 , then there is a geodesic path γ in G 0 and v k v l V ( G 0 ) with { v i , v k } , { v l , v j } E ( G 0 ) and v i , v k , v l , v j γ . Clearly, u k u l . By the triangle inequality, d G 0 M ( v i , v j ) d G 0 M ( v i , u k ) + d G 0 M ( u k , w ) + d G 0 M ( u l , w ) + d G 0 M ( u l , v j ) 4 . Suppose there is a path γ ˜ G M from v i to v j such that l ( γ ˜ ) 3 , then w γ ˜ , and there exists u r V ( M G 0 ) with { v i , u r } , { u r , v j } E ( G M ) ; thus, { v i , v r } , { v r , v j } E ( G ) , giving d G ( v i , v j ) = 2 , which is a contradiction.
Next, let x = v i V ( G 0 ) and y = u j W . Notice that d G 0 M ( v i , u j ) d G 0 M ( v i , w ) + d G 0 M ( w , u j ) = 3 . If { v i , u j } E ( G 0 M ) , then the result trivially holds. If d G 0 M ( v i , u j ) = 2 , then there exists v r V ( G 0 ) with { v i , v r } E ( G 0 ) and { v r , u j } E ( G 0 M ) , and thus, d G M ( v i , u j ) = 2 . Finally, if d G 0 M ( v i , u j ) = 3 , then there is a geodesic γ both in G 0 M an G M , which contains w. ☐
This result has a straightforward consequence.
Corollary 1.
If G 0 is an isometric subgraph of G, then δ ( G M ) δ ( G 0 M ) .
Denote by G the subgraph of G M induced by V ( G M ) { w } . The following result is elementary.
Proposition 1.
Let G be any graph. Then, G is an isometric subgraph of G .
Proof. 
Consider the vertices v i , v j V ( G ) and a geodesic γ in G from v i to v j , say, γ = k = 1 s { x r k , x r k + 1 } with x = v or x = u , r 1 = i and r s = j . It suffices to find a curve γ 0 in G from v i to v j with l ( γ ) = l ( γ 0 ) . Since, by construction, if { x r k , x r k + 1 } E ( G ) , then { v r k , v r k + 1 } E ( G ) , we have that γ 0 = k = 1 s { v r k , v r k + 1 } joins v i and v j with l ( γ ) = l ( γ 0 ) . ☐

3. Proof of the Main Parts of Theorem 1

In order to prove the main parts of Theorem 1, consider first the following weaker version:
Theorem 6.
Let G be any graph. Then, G M is hyperbolic, 2 diam V ( G M ) 4 , 5 / 2 diam ( G M ) 5 and:
5 4 δ ( G M ) 5 2 .
Proof. 
For the upper bounds, notice that for any two vertices u , v G M , d G M ( u , v ) 4 , therefore diam V ( G M ) 4 , diam ( G M ) 5 , and thus, δ ( G M ) 5 / 2 by Lemma 1.
For the lower bounds, recall that d G M ( u , w ) = 2 for every u V ( G ) , and thus, diam V ( G M ) 2 . If { v 1 , v 2 } E ( G ) and p is the midpoint of { v 1 , v 2 } , then d G M ( p , w ) = 5 / 2 and diam ( G M ) 5 / 2 .
For δ ( G M ) , observe that, since E ( G ) , there exists { v 1 , v 2 } E ( G ) , and thus, G M always contains a cycle of length of five, namely C : = [ v 1 , u 2 , w , u 1 , v 2 , v 1 ] . Let x be the midpoint of { v 1 , v 2 } and consider the geodesic bigon T = { x , w } with geodesics γ 1 : = [ x v 1 ] { v 1 , u 2 } { u 2 , w } and γ 2 : = [ x v 2 ] { v 2 , u 1 } { u 1 , w } . If p is the midpoint of the geodesic γ 1 , then one gets δ ( G M ) d G M ( p , γ 2 ) 5 / 4 . ☐
The following lemmas relate diam V ( G M ) with diam V ( G ) for small diameters.
Lemma 7.
Let G be any graph. Then:
(i) 
If x , y G and d G ( x , y ) 9 / 2 , then d G M ( x , y ) = d G ( x , y ) .
(ii) 
If x , y J ( G ) V ( G ) and d G ( x , y ) 5 , then d G M ( x , y ) = d G ( x , y ) .
Proof. 
Since G is a subgraph of G M , we have d G M ( x , y ) d G ( x , y ) .
Assume that x , y G and d G ( x , y ) 9 / 2 , and let γ be a geodesic γ = [ x y ] in G. Define x 0 (respectively, y 0 ) as the closest vertex to x (respectively, y) from γ V ( G ) (it is possible to have x = x 0 and/or y = y 0 ). Since d G ( x 0 , y 0 ) is an integer number and d G ( x , y ) 9 / 2 by hypothesis, we have that: ( 1 )   d G ( x , x 0 ) + d G ( y , y 0 ) 1 / 2   and   d G ( x 0 , y 0 ) 4 , or ( 2 )   d G ( x , x 0 ) + d G ( y , y 0 ) 3 / 2   and   d G ( x 0 , y 0 ) 3 .
Seeking for a contradiction, assume that d G M ( x , y ) < d G ( x , y ) . Thus, there exists a geodesic γ M joining x and y in G M with l ( γ M ) < l ( γ ) , and w γ M by Proposition 1. Define x 0 M (respectively, y 0 M ) as the closest vertex to x (respectively, y) from γ M V ( G M ) .
Since ( 1 ) or ( 2 ) holds, we have d G ( x , x 0 M ) + d G ( y , y 0 M ) 1 / 2 . Since w γ M , d G M ( x 0 M , y 0 M ) = 4 and:
l ( γ M ) = d G M ( x , y ) = d G ( x , x 0 M ) + d G M ( x 0 M , y 0 M ) + d G ( y 0 M , y ) 1 2 + 4 d G ( x , y ) = l ( γ ) ,
which is a contradiction. Then, d G M ( x , y ) = d G ( x , y ) and i ) holds.
Assume now that x , y J ( G ) V ( G ) and d G ( x , y ) 5 . If d G ( x , y ) 9 / 2 , then i ) gives the result. If d G ( x , y ) > 9 / 2 , then d G ( x , y ) = 5 . The argument in the proof of i ) gives:
d G ( x , x 0 ) = d G ( y , y 0 ) = 1 2 , d G M ( x , x 0 M ) = d G M ( y , y 0 M ) = 1 2 ,
and:
d G M ( x , y ) = d G ( x , x 0 M ) + d G M ( x 0 M , y 0 M ) + d G ( y 0 M , y ) = 1 2 + 4 + 1 2 = 5 = d G ( x , y ) .
Therefore, i i ) holds. ☐
Lemma 8.
Let G be any graph. Then:
2 diam V ( G ) 4 iff diam V ( G M ) = diam V ( G ) .
Proof. 
Assume first that 2 diam V ( G ) 4 .
Let k : = diam V ( G ) . Thus:
  • If v i , v j V ( G ) , then clearly d G ( v i , v j ) diam V ( G ) 4 , and by Lemma 7, we conclude d G M ( v i , v j ) = d G ( v i , v j ) .
  • If u i , u j V ( G ) V ( G ) , then d G M ( u i , u j ) = 2 k .
  • If v i V ( G ) and u j V ( G ) V ( G ) , then d G M ( v i , u i ) = 2 k and d G M ( v i , u j ) d G ( v i , v j ) k (if i j ).
  • If α V ( G ) , then d G M ( α , w ) 2 k .
Therefore, diam V ( G M ) diam V ( G ) .
For the other direction, let v i , v j V ( G ) be so that d G ( v i , v j ) 4 . By Lemma 7, we have d G M ( v i , v j ) = d G ( v i , v j ) , and thus, diam V ( G M ) diam V ( G ) .
Assume now that diam V ( G M ) = diam V ( G ) . Theorem 6 gives 2 diam V ( G M ) 4 , and then, 2 diam V ( G ) 4 . ☐
We can prove now the main parts of Theorem 1.
Theorem 7.
Let G be any graph. Then, G M is hyperbolic, 2 diam V ( G M ) 4 and 5 / 2 diam ( G M ) 5 . Furthermore, if G is not a complete graph, then:
5 4 δ ( G M ) min 5 2 , 1 + diam V ( G ) 2 .
Proof. 
Theorem 6 proves all of the statements of Theorem 7 except for the upper bound for δ ( G M ) in the case where diam V ( G ) < 4 .
However, if diam V ( G ) < 4 , then either diam V ( G ) = 1 , in which case G would be isomorphic to a complete graph, or 2 diam V ( G ) < 4 , in which case δ ( G M ) diam ( G M ) / 2 ( 1 + diam V ( G M ) ) / 2 = ( 1 + diam V ( G ) ) / 2 , where the last equality follows from the above result, Lemma 8. ☐
As a consequence of Lemma 8, we obtain the following result.
Corollary 2.
If G is not a complete graph, then diam V ( G M ) diam V ( G ) .
The following result provides information about δ ( G ) in terms of δ ( G M ) .
Theorem 8.
Let G be any graph. If diam V ( G ) 4 , then δ ( G ) δ ( G M ) .
Proof. 
By Lemma 3, there is a geodesic triangle T = { x 1 , x 2 , x 3 } in G (with geodesics γ i j joining x i and x j in G) and p γ 12 with d G ( p , γ 13 γ 23 ) = δ ( G ) and T T 1 . If l ( γ i j ) 9 / 2 , then γ i j is also a geodesic in G M by Lemma 7. If l ( γ i j ) > 9 / 2 , then l ( γ i j ) = 5 and x i , x j J ( G ) V ( G ) ; hence, Lemma 7 gives that γ i j is a geodesic in G M . Therefore, T is also a geodesic triangle in G M . Since d G ( p , γ 13 γ 23 ) d G ( p , { x 1 , x 2 } ) l ( γ 12 ) / 2 5 / 2 , then δ ( G M ) d G M ( p , γ 13 γ 23 ) = d G ( p , γ 13 γ 23 ) = δ ( G ) by Lemma 7. ☐
We say that a vertex v of a (connected) graph Γ is a cut-vertex if Γ { v } is not connected. A graph is bi-connected if it does not contain cut-vertices. Given any edge in Γ , we consider the maximal bi-connected subgraph containing it.
Finally, we have the following result regarding disconnected graphs. Even though in order to study Gromov hyperbolicity, connected graphs are needed, since G M is always connected, the original graph G does not need to be:
Theorem 9.
Let G be any disconnected graph with connected components { G j } j . Then:
δ ( G M ) = max j δ ( G j M ) .
Proof. 
It is well known that the hyperbolicity constant of a graph is the maximum value of the hyperbolicity constant of its maximal bi-connected components. Since G is not connected, the supervertex is the unique cut-vertex in G M , and the subgraphs { G j M } j are the maximal bi-connected components of G M . Hence, the equality holds. ☐
Note that, in order to study δ ( G M ) , it suffices to consider just (connected) graphs G by Theorem 9.

4. Proof of Theorem 2

The next lemma will be a key tool:
Lemma 9.
Let G be any graph. If δ ( G M ) = 5 / 2 , T M : = { x 0 , y 0 , z 0 } is a geodesic triangle in G M , such that δ ( T M ) = 5 / 2 and p [ x 0 y 0 ] with d G M ( p , [ x 0 z 0 ] [ y 0 z 0 ] ) = 5 / 2 , then d G M ( x 0 , y 0 ) = 5 , d G M ( p , x 0 ) = d G M ( p , y 0 ) = 5 / 2 , x 0 , y 0 J ( G ) V ( G ) and p V ( G M ) .
Proof. 
Since d G M ( p , { x 0 , y 0 } ) d G M ( p , [ x 0 z 0 ] [ y 0 z 0 ] ) = 5 / 2 , and p [ x 0 y 0 ] , d G M ( x 0 , y 0 ) = d G M ( x 0 , p ) + d G M ( p , y 0 ) 5 , then d G M ( x 0 , y 0 ) = 5 by Theorem 6. Thus, d G M ( p , x 0 ) = d G M ( p , y 0 ) = 5 / 2 . The equality d G M ( x 0 , y 0 ) = 5 and the fact that diam V ( G M ) 4 , guarantee that x 0 , y 0 J ( G M ) V ( G M ) . In fact, x 0 G for otherwise d G M ( x 0 , w ) 3 / 2 , and since d G M ( y 0 , w ) 5 / 2 , the triangle inequality would give d G M ( x 0 , y 0 ) ( 3 / 2 ) + ( 5 / 2 ) = 4 < 5 . Therefore, x 0 , y 0 J ( G ) V ( G ) . This in turn implies that p V ( G M ) . ☐
When comparing hyperbolicity constants of G and G M , it is useful to compare triangles in those graphs. A useful tool will be a projection, which allows one to associate triangles T G with given triangles T M G M , which do not contain the supervertex, that is T M G . Namely:
Definition 1.
The projection Π : G G is defined as follows:
For a point a G , if a G , then Π ( a ) = a . If a = u i V ( G ) V ( G ) , then Π ( a ) = Π ( u i ) = v i V ( G ) . If a G { G V ( G ) } , then a lies on an edge, say a { v m , u k } ; then, Π ( a ) { v m , Π ( u k ) } G , so that d G ( Π ( a ) , v m ) = d G M ( a , v m ) .
Remark 1.
Observe the following:
  • If γ = [ x y ] is a geodesic in G M and γ G , there exists a geodesic [ Π ( x ) Π ( y ) ] Π ( [ x y ] ) ; in general, equality does not hold, since two different edges in γ might project onto the same edge in E ( G ) (for instance, if γ = { v i , v j } { v j , u i } , then Π ( γ ) = { v i , v j } ; note that l ( γ ) = 2 ); therefore, l ( Π ( γ ) ) l ( γ ) .
  • If l ( [ x y ] ) 1 and x V ( G ) , then [ Π ( x ) Π ( y ) ] = Π ( [ x y ] ) .
  • If T M is a geodesic triangle in G M and Π ( T M ) is a geodesic triangle in G and G M , then Π ( T M ) does not need to be a cycle even if T M is. For instance, if γ 1 = { v i , v j } { v j , v k } and γ 2 = { v i , u j } { u j , v k } , then T M = { γ 1 , γ 2 } is a geodesic bigon in G M , Π ( γ 1 ) = Π ( γ 2 ) = γ 1 are geodesics in G, but Π ( T M ) is not a cycle, although T M is; note that l ( T M ) = 4 (see Figure 2).
However, the following holds:
Lemma 10.
Let G be any graph and Π the projection in Definition 1. If [ x y ] G and l ( [ x y ] ) > 2 , then Π ( [ x y ] ) is a geodesic in G joining Π ( x ) and Π ( y ) . Furthermore, if u V ( G ) V ( G ) [ x y ] , then Π ( u ) [ x y ] .
Proof. 
The statement is trivial if [ x y ] G . Otherwise, it is a consequence of the following fact: If l ( [ x y ] ) > 2 , then we have either { u i , v j } [ x y ] or { v i , v j } [ x y ] for some u i V ( G ) V ( G ) and v i , v j V ( G ) . If { u i , v j } [ x y ] , then { v i , v j } [ x y ] = v j ; if { v i , v j } [ x y ] , then { u i , v j } [ x y ] = v j . ☐
Proof of Theorem 2.
Assume first that δ ( G M ) = 5 / 2 .
By Lemma 3, there is a geodesic triangle T M : = { x 0 , y 0 , z 0 } G M that is a cycle with x 0 , y 0 , z 0 J ( G M ) and p [ x 0 y 0 ] , so that d G M ( p , [ x 0 z 0 ] [ y 0 z 0 ] ) = 5 / 2 . Then, by Lemma 9, x 0 , y 0 J ( G ) V ( G ) , p V ( G M ) , p is the midpoint in [ x 0 y 0 ] , and d G M ( x 0 , y 0 ) = 5 .
The goal is to produce a triangle T from this T M , which is geodesic both in G and G M .
To this end, it will be first shown that the supervertex w T M .
Clearly, w p for d G M ( w , [ x 0 z 0 ] [ y 0 z 0 ] ) 2 < 5 / 2 , since d G M ( w , v ) 2 for all v V ( G M ) . For this same reason, w [ x 0 z 0 ] [ y 0 z 0 ] , for d G M ( p , [ x 0 z 0 ] [ y 0 z 0 ] ) d G M ( p , w ) 2 , since p V ( G M ) . Finally, w [ x 0 y 0 ] , since w , p V ( G M ) and x 0 , y 0 J ( G ) V ( G ) , gives d G M ( w , x 0 ) = d G M ( w , y 0 ) = 5 / 2 = d G M ( x 0 , y 0 ) / 2 , which would mean that w = p , which is a contradiction.
Therefore, w T M , T M G , and d G ( x 0 , y 0 ) = d G M ( x 0 , y 0 ) = 5 , d G ( x 0 , z 0 ) = d G M ( x 0 , z 0 ) 5 and d G ( y 0 , z 0 ) = d G M ( y 0 , z 0 ) 5 .
If we define x : = Π ( x 0 ) = x 0 , y : = Π ( y 0 ) = y 0 , z : = Π ( z 0 ) , then (1) stated in Theorem 2 holds, and Lemma 7 gives d G ( x , y ) = d G M ( x 0 , y 0 ) = 5 , d G ( x , z ) = d G M ( x 0 , z 0 ) 5 , d G ( y , z ) = d G M ( y 0 , z 0 ) 5 . If l ( [ x 0 z 0 ] ) > 2 and l ( [ y 0 z 0 ] ) > 2 , then Π ( [ x 0 y 0 ] ) = [ x y ] , Π ( [ x 0 z 0 ] ) = [ x z ] and Π ( [ y 0 z 0 ] ) = [ y z ] are geodesics in G by Lemma 10. Otherwise, [ x 0 z 0 ] or [ y 0 z 0 ] have length at most two. By symmetry, we can assume that l ( [ y 0 z 0 ] ) 2 ; since d G M ( x 0 , y 0 ) = 5 , we have l ( [ x 0 z 0 ] ) 3 , and Lemma 10 gives that Π ( [ x 0 y 0 ] ) = [ x y ] and Π ( [ x 0 z 0 ] ) = [ x z ] are geodesics in G. Furthermore, Π ( [ y 0 z 0 ] ) contains a geodesic [ y z ] in G. This gives the existence of the geodesic triangle T of Theorem 2 and (2) stated in this same Theorem.
Next, let us show that d G M ( Π ( p ) , [ x 0 z 0 ] [ y 0 z 0 ] ) = d G M ( p , [ x 0 z 0 ] [ y 0 z 0 ] ) = 5 / 2 . If p G , then Π ( p ) = p , and the statement trivially holds. Assume that p G (thus, p V ( G ) V ( G ) ). Since l ( [ x 0 y 0 ] ) = 5 > 2 and p [ x 0 y 0 ] , Lemma 10 gives that Π ( p ) [ x 0 y 0 ] . Since d G M ( p , [ x 0 z 0 ] [ y 0 z 0 ] ) = 5 / 2 , we have Π ( p ) [ x 0 z 0 ] [ y 0 z 0 ] , and we conclude Π ( p ) T M .
Let η be a geodesic joining Π ( p ) and [ x 0 z 0 ] [ y 0 z 0 ] in G M with l ( η ) = d G M ( Π ( p ) , [ x 0 z 0 ] [ y 0 z 0 ] ) , and let q 1 V ( G M ) η , so that q 1 is adjacent to Π ( p ) V ( G ) (so q 1 w ). We have d G M ( Π ( p ) , [ x 0 z 0 ] [ y 0 z 0 ] ) d G M ( Π ( p ) , x 0 ) = d G M ( p , x 0 ) = 5 / 2 .
If q 1 V ( G ) , then { p , q 1 } E ( G ) , and take η to be the curve (not necessarily geodesic) ( η { Π ( p ) , q 1 } ) { p , q 1 } ; then l ( η ) = l ( η ) d G M ( p , [ x 0 z 0 ] [ y 0 z 0 ] ) = 5 / 2 , and we conclude d G M ( Π ( p ) , [ x 0 z 0 ] [ y 0 z 0 ] ) = d G M ( p , [ x 0 z 0 ] [ y 0 z 0 ] ) = 5 / 2 , the desired result.
If q 1 V ( G ) V ( G ) , let q 2 ( V ( G M ) η ) { Π ( p ) } so that q 2 is adjacent to q 1 . Notice that q 2 cannot be the supervertex, for then l ( η ) 3 > 5 / 2 , and it would not be a geodesic; thus, q 2 V ( G ) . Moreover, q 2 [ x 0 z 0 ] [ y 0 z 0 ] since d G M ( Π ( p ) , q 2 ) = d G M ( p , q 2 ) = 2 and d G M ( p , [ x 0 z 0 ] [ y 0 z 0 ] ) = 5 / 2 . Since d G M ( q 2 , J ( G M ) { q 2 } ) = 1 / 2 , one gets l ( η ) 5 / 2 , and we conclude l ( η ) = 5 / 2 .
Therefore, d G M ( Π ( p ) , [ x 0 z 0 ] [ y 0 z 0 ] ) = 5 / 2 . Thus, in order to finish the proof of ( 3 ) , one must show that d G ( Π ( p ) , [ x z ] [ y z ] ) = 5 / 2 .
Since T = { x , y , z } : = { [ x y ] , [ x z ] , [ y z ] } is a geodesic triangle in G and G M , δ ( T ) δ ( G M ) = 5 / 2 . Let us show that δ ( T ) 5 / 2 , thus finishing the proof.
Let D 0 : = d G ( Π ( p ) , [ x z ] [ y z ] ) . Seeking for a contradiction, assume D 0 < 5 / 2 , then, in fact, D 0 2 and D 0 { 0 , 1 , 2 } .
If D 0 = 0 , then Π ( p ) [ x z ] [ y z ] G . Since p [ x 0 z 0 ] [ y 0 z 0 ] and Π ( p ) [ x 0 z 0 ] [ y 0 z 0 ] , we have p = Π ( p ) G . Let p be the mirror vertex of p. Since p [ x 0 z 0 ] [ y 0 z 0 ] , then p [ x 0 z 0 ] [ y 0 z 0 ] . There is v V ( G ) , with { v , p } E ( G ) , and so, d G M ( p , [ x 0 z 0 ] [ y 0 z 0 ] ) d G M ( p , p ) = d G M ( p , v ) + d G M ( v , p ) = 2 < 5 / 2 , a contradiction.
If D 0 = 1 and v [ x z ] [ y z ] satisfies d G ( Π ( p ) , v ) = 1 , then Π ( p ) and v are adjacent. Let u be a vertex with Π ( u ) = v and u [ x 0 z 0 ] [ y 0 z 0 ] ; so 5 / 2 = d G M ( p , [ x 0 z 0 ] [ y 0 z 0 ] ) d G M ( p , u ) 2 , which is a contradiction.
Finally, if D 0 = 2 , then the vertex v [ x 0 z 0 ] [ y 0 z 0 ] , which gives the minimum distance to p, either belongs to the mirror vertices or to G, but in any case, it is adjacent to an adjacent vertex of p; thus, d G M ( p , [ x 0 z 0 ] [ y 0 z 0 ] ) = 2 , which is a contradiction.
In summary, d G M ( p , [ x z ] [ y z ] ) = d G M ( p , [ x 0 z 0 ] [ y 0 z 0 ] ) = 5 / 2 .
Let us show the other implication to conclude that δ ( G M ) = 5 / 2 .
By Theorem 6, δ ( G M ) 5 / 2 .
Let T : = { x , y , z } be the geodesic triangle in G in the hypothesis. Properties (1) and (2) stated in Theorem 2 and Lemma 7 give that T is also a geodesic triangle in G M . Since d G ( p , [ x z ] [ y z ] ) = 5 / 2 , Lemma 7 gives δ ( G M ) d G M ( p , [ x z ] [ y z ] ) = d G ( p , [ x z ] [ y z ] ) = 5 / 2 , finishing the proof. ☐
The proof of Theorem 2 has the following consequence.
Corollary 3.
If the geodesic triangle T in G satisfies (1), (2) and (3) stated in Theorem 2, then T is also a geodesic triangle in G M .
We also have the following corollaries of Theorem 2.
Corollary 4.
If G is a graph with diam V ( G ) = 4 and δ ( G ) = 5 / 2 , then δ ( G M ) = 5 / 2 .
Corollary 5.
If G is a graph such that it does not contain a cycle σ satisfying 10 l ( σ ) 15 , then:
5 / 4 δ ( G M ) 9 / 4 .
Remark 2.
If G contains a cycle σ with 10 l ( σ ) 15 , one cannot say anything more precise about δ ( G M ) apart from the bounds obtained in Theorem 6, which are applicable to all Mycielskian graphs, i.e., 5 / 4 δ ( G M ) 5 / 2 . In the particular case when G is the cycle graph C n , with 10 n 15 , then Proposition 4 gives δ ( G M ) = 5 / 2 ; and if G is the complete graph K n , with n 10 , then δ ( G M ) = 5 / 4 by Proposition 5.
Given a graph G, we define its circumference as:
c ( G ) : = sup { l ( σ ) | σ is a cycle in G } .
Proposition 2.
If G is a graph with c ( G ) < 10 , then:
max { 5 / 4 , δ ( G ) } δ ( G M ) 9 / 4 .
Proof. 
By Corollary 5, it suffices to show δ ( G ) δ ( G M ) . By Lemma 3, there is a geodesic triangle T in G that is a cycle with δ ( T ) = δ ( G ) . Since l ( T ) c ( G ) 9 , if a , b T , then d G ( a , b ) l ( T ) / 2 9 / 2 and d G M ( a , b ) = d G ( a , b ) by Lemma 7. Therefore, T is a geodesic triangle in G M and δ ( G M ) δ ( T ) = δ ( G ) . ☐
Remark 3.
If c ( G ) 10 , one cannot say anything more precise about δ ( G M ) apart from the bounds obtained in Theorem 6, which are applicable to all Mycielskian graphs, i.e., 5 / 4 δ ( G M ) 5 / 2 . In particular, if v 1 V ( C 10 ) , v 2 V ( C n ) with n 10 , and G is the graph obtained from C 10 and C n by identifying the vertices v 1 and v 2 , then Corollary 1, Theorem 6 and Proposition 4 give 5 / 2 = δ ( C 10 M ) δ ( G M ) 5 / 2 and δ ( G M ) = 5 / 2 ; if G is the complete graph K n , with n 10 , then δ ( G M ) = 5 / 4 by Proposition 5.

5. Proof of Theorem 3

Proof. 
Assume first that diam ( G ) 2 . In order to prove δ ( G M ) = 5 / 4 , it will be enough to show that diam ( G M ) 5 / 2 , by Lemma 1.
Note that since diam V ( G ) 2 , then diam V ( G M ) = 2 . Consider x , y J ( G M ) . If x or y is a vertex, then d G M ( x , y ) 5 / 2 . Without loss of generality, x , y J ( G M ) V ( G M ) . Note that d G ( z , v ) 3 / 2 for every z J ( G ) V ( G ) and v V ( G ) , since diam ( G ) 2 .
Trivially, for x , y G , or x , y G M G , or x G and y G M G , one gets d G M ( x , y ) 2 .
When x G and y G G , since d G ( x , v ) 3 / 2 for all vertices v in G, we have d G M ( x , y ) 2 .
Assume that x , y G G . Let a , b V ( G ) , u , v V ( G ) V ( G ) be so that x and y are the midpoints of the edges { u , a } and { v , b } , respectively. It is enough to consider the case where d G M ( a , b ) = 2 and d G M ( a , y ) = 5 / 2 . Since diam ( G ) 2 , we have d G ( { a , Π ( u ) } , b ) = 1 ; since d G ( a , b ) = 2 , we deduce d G ( Π ( u ) , b ) = 1 , and then, { u , b } E ( G M ) . Thus, d G M ( x , y ) 2 .
Finally, consider x G and y G M G . Let a , b V ( G ) so that x { a , b } , and let y { w , u } for some u vertex in the mirror of G. Since diam ( G ) 2 , d G ( x , Π ( u ) ) 3 / 2 , and thus, d G M ( Π ( u ) , { a , b } ) = 1 . By symmetry, one can assume that d G M ( Π ( u ) , b ) = 1 , and so, d G M ( u , b ) = 1 and d G M ( x , y ) d G M ( x , b ) + d G M ( b , u ) + d G M ( u , y ) = 1 / 2 + 1 + 1 / 2 = 2 . This gives the statement (4).
Next, let us show that diam ( G ) > 5 / 2 implies δ ( G M ) > 5 / 4 , proving statement (5) of the Theorem. To this end, we shall construct a geodesic bigon with sides of length three.
Let a , b J ( G ) be so that d G ( a , b ) = 3 . If a , b V ( G ) , then diam V ( G ) 3 , and Proposition 3 and Corollary 6 give δ ( G M ) 3 / 2 (of course, Theorem 3 is not used in the proofs of Proposition 3 and Corollary 6). Therefore, one can assume that a , b J ( G ) V ( G ) .
Let v i , v i + 1 , v j , v j + 1 V ( G ) with a { v i , v i + 1 } and b { v j , v j + 1 } ; note that d G ( { v i , v i + 1 } , { v j , v j + 1 } ) = 2 . By symmetry, we can assume that d G ( v i + 1 , v j ) = 2 . Let x , y J ( G ) V ( G ) with x [ u i v i + 1 ] and y [ v j u j + 1 ] . Consider the geodesic bigon T : = γ 1 γ 2 where γ 1 : = [ x u i ] [ u i w ] [ w u j + 1 ] [ u j + 1 y ] , and γ 2 : = [ x v i + 1 ] [ v i + 1 v j ] [ v j y ] . Therefore, taking p = w , d G M ( p , γ 2 ) = 3 / 2 , and thus, δ ( G M ) δ ( T ) 3 / 2 .
This finishes the proof of both statements.
To show that the converse of (4) does not hold, consider the graph G with four vertices { v i } i = 0 3 and edges { v 0 , v 1 } , { v 1 , v 2 } , { v 2 , v 3 } , { v 3 , v 1 } . Then, diam ( G ) = 5 / 2 and diam ( G M ) = 3 , where the only two points x , y G M that realize the diameter are x { v 2 , v 3 } and y { u 0 , w } . Consider the geodesic bigon T = { γ 1 , γ 2 } given by γ 1 : = [ x v 2 ] [ v 2 v 1 ] [ v 1 u 0 ] [ u 0 y ] and γ 2 : = [ y w ] [ w u 2 ] [ u 2 v 3 ] [ v 3 x ] ; let p γ 1 be so that d G M ( p , v 1 ) = 1 / 4 . Then, d G M ( p , γ 2 ) = d G M ( p , v 1 ) + d G M ( v 1 , u 2 ) = 1 / 4 + 1 , and this bigon has δ ( T ) = 5 / 4 .
Since diam ( G M ) = 3 , we have δ ( G M ) 3 / 2 . Notice that in order to have a geodesic triangle T with δ ( T ) = 3 / 2 , one of its sides must have length three and, therefore, must have x , y as its endpoints. As in the case of the bigon above, for any of these triangles, every vertex in [ x y ] is at a distance at most one of the other two sides. Therefore, all of these triangles satisfy δ ( T ) = 5 / 4 . Therefore, δ ( G M ) = 5 / 4 .
Proposition 4 gives δ ( C 5 M ) = 3 / 2 . Since diam ( C 5 ) = 5 / 2 , the converse of (5) does not hold. ☐

6. Hyperbolicity Constant for Some Particular Mycielskian Graphs and the Proof of Theorems 1, 4 and 5

Computing the hyperbolicity constant of some graphs turns out to be specially useful. Namely, many graphs contain path graphs as isomorphic subgraphs; the cycle graph appeared naturally as a boundary situation for hyperbolicity constant of 5 / 2 ; and finally, graphs isomorphic to the complete one were of interest. In this section, the precise hyperbolicity constants of the Mycielskian graphs for such graphs is calculated.
Proposition 3.
Let P n be the path graph with n vertices. Then:
δ ( P n M ) = 5 / 4 , if n = 2 , 3 , 3 / 2 , if n = 4 , 2 , if n = 5 , 6 , 7 , 9 / 4 , if n 8 .
Proof. 
Denote by v 1 , , v n the vertices of P n with { v i , v i + 1 } E ( P n ) for i = 1 , , n 1 . One can easily check that diam ( P 3 M ) = 5 / 2 (see Figure 3). Since diam ( P 2 M ) = diam ( P 3 M ) = 5 / 2 , Lemma 1 gives δ ( P n M ) 5 / 4 for n = 2 , 3 . Then, Theorem 6 let us get the desired result for n = 2 , 3 .
For P 4 M and P 5 M , a similar argument will be used. First, a triangle T with the desired δ will be constructed, giving the lower bound; then, the diameter of the Mycielskian will give the upper bound.
In P 4 M , consider the triangle T : = { x , y , z } , where x = v 1 , y = v 4 , z = w , and take p as the midpoint of [ v 2 v 3 ] . Here, d G M ( p , [ x z ] [ y z ] ) = 3 / 2 . One can check that diam ( P 4 M ) = 3 . Therefore, Lemma 1 gives 3 / 2 δ ( T ) δ ( P 4 M ) 1 / 2 diam ( P 4 M ) = 3 / 2 .
A similar argument works for P 5 M .
A simple argument will give the result for n 8 .
For n 8 , Theorems 2, 6 and Lemma 4 give δ ( P n M ) 9 / 4 . Consider the geodesic triangle T : = { x , y , z } with x = v 2 , y the midpoint in { v 6 , v 7 } and z = w , and take p the midpoint in [ x y ] P n (see Figure 4). Then, δ ( P n M ) = 9 / 4 , since δ ( P n M ) d P n M ( p , [ x z ] [ y z ] ) = 9 / 4 .
All that is left is to prove that δ ( P 7 M ) = 2 , which will automatically imply δ ( P 6 M ) = 2 as well by Corollary 1, since P 5 P 6 P 7 .
By Lemma 3, let T : = { x , y , z } P 7 M be a geodesic triangle, so that x , y , z J ( P 7 M ) , and let p [ x y ] be so that d P 7 M ( p , [ x z ] [ y z ] ) = δ ( T ) = δ ( P 7 M ) . Seeking for a contradiction, assume that δ ( P 7 M ) > 2 . This would mean δ ( P 7 M ) { 9 / 4 , 5 / 2 } by Lemma 4 and Theorem 6. However, by Theorem 2, δ ( P 7 M ) 5 / 2 , since every geodesic triangle in P 7 has a hyperbolicity constant equal to zero, like any geodesic triangle in any tree. That is:
δ ( P 7 M ) = 9 4 , d P 7 M ( p , { x , y } ) = 9 4 ,
d P 7 M ( x , y ) 9 2 , 5 .
Some observations: x , y P 7 for otherwise d P 7 M ( x , y ) 4 (via w), contradicting (9). Moreover, without loss of generality, we can assume that x J ( P 7 ) V ( P 7 ) always and y J ( P 7 ) V ( P 7 ) if d P 7 M ( x , y ) = 5 and y V ( P 7 ) if d P 7 M ( x , y ) = 9 / 4 . Last, w T for otherwise T would be a cycle of diameter two, and thus, δ ( T ) = 1 .
Suppose that w [ x y ] . By (8) and (9), d P 7 M ( p , w ) 1 / 4 . It is easy to check that [ x z ] [ y z ] P 7 . Thus, we deduce d P 7 M ( w , [ x z ] [ y z ] ) = 2 .
Since x J ( P 7 ) V ( P 7 ) , we have p [ x w ] . Since d P 7 M ( w , [ x z ] [ y z ] ) = 2 , (8) and (9) give d P 7 M ( p , w ) = 1 / 4 . By symmetry, we can assume that x is the midpoint of either { v 1 , v 2 } or { v 2 , v 3 } . Assume that x { v 1 , v 2 } (the case x { v 2 , v 3 } is similar). Since T is a cycle and [ x z ] [ y z ] P 7 , we have v 3 [ x z ] [ y z ] P 7 , [ x v 1 ] { v 1 , u 2 } { u 2 , w } [ z y ] and p { u 2 , w } . Then, 9 / 4 = d P 7 M ( p , [ x z ] [ y z ] ) d P 7 M ( p , v 3 ) d P 7 M ( p , u 2 ) + d P 7 M ( u 2 , v 3 ) = 7 / 4 , a contradiction. Hence, w [ x y ] .
A similar argument shows that w [ x z ] [ y z ] , which contradicts the fact that w T . One concludes that δ ( P 7 M ) 2 , which together with the fact that δ ( P 7 M ) δ ( P 5 M ) = 2 gives the desired result. ☐
Remark 4.
There are several definitions of Gromov hyperbolicity. They are all equivalent in the sense that if X is δ-hyperbolic with respect to the definition A, then it is δ -hyperbolic with respect to the definition B, for some δ (see, e.g., [2,3]).
The definition that we have chosen in the present paper is known as the Rips condition. We decided to select it among others due to its deep geometric meaning (see, e.g., [3]). As an example, the simplest existing proof of the invariance of hyperbolicity by quasi-isometries uses the Rips condition (see [3]) and so does the proof for geodesic stability (see [5]). Furthermore, some results that employ a different definition (such as the four-point condition) also require the Rips condition in their proofs (see, e.g., [27]). The Rips condition also comes up in a natural way when graphs with arbitrarily large edges are considered.
Experience has shown that, although the definitions of hyperbolicity are equivalent, the values of the hyperbolicity constants of a space obtained when different definitions are considered have different behaviors actually.
As an example, the analogue of Proposition 3 for the hyperbolicity constant obtained applying the four-point condition (that we shall denote by δ 4 P C ) says that δ 4 P C ( P 2 M ) = 1 / 2 and δ 4 P C ( P n M ) = 1 for every n 3 .
The following corollary is straightforward, but it is presented here because it is used to simplify the arguments in some other proofs in the paper.
Corollary 6.
Let G be any graph. Then, δ ( G M ) δ P d i a m V ( G ) + 1 M .
Observe that this follows from Corollary 1, since if diam V ( G ) = r , then there exists a geodesic g 0 G joining two vertices with length r. That is, P r + 1 is isomorphic to g 0 , and besides, g 0 is an isometric subgraph.
Proposition 3 and Corollaries 5 and 6 have the following consequence.
Corollary 7.
If G is a graph with diam V ( G ) 7 such that it does not contain a cycle σ satisfying 10 l ( σ ) 15 , then δ ( G M ) = 9 / 4 .
By Lemmas 1 and 8, Proposition 3 and Corollary 6, we obtain the following result.
Corollary 8.
Let G be any graph. Then:
(i) 
If diam V ( G ) = 2 , then 5 / 4 δ ( G M ) 3 / 2 .
(ii) 
If diam V ( G ) = 3 , then 3 / 2 δ ( G M ) 2 .
The next proposition deals with cycle graphs, which illustrate well the result of Theorem 2.
Proposition 4.
Let C n be the cycle graph with n vertices. Then:
δ ( C n M ) = 5 / 4 , if n = 3 , 4 , 3 / 2 , if n = 5 , 6 , 7 / 4 , if n = 7 , 2 , if n = 8 , 9 / 4 , if n = 9 or n 16 , 5 / 2 , if 10 n 15 .
Proof. 
Denote by v 1 , , v n the vertices of C n with edges { v n , v 1 } i = 1 n 1 { v i , v i + 1 } . With the usual notation, u i is the mirror vertex of v i , and w is the supervertex.
For n = 3 , 4 , diam ( C n M ) = 5 / 2 , and thus, δ ( C n M ) 5 / 4 . On the other hand, Theorem 6 gives δ ( C n M ) 5 / 4 .
For n = 5 , diam ( C 5 M ) = 3 , giving 3 / 2 as an upper bound for the hyperbolicity constant. On the other hand, consider the bigon T = { x , y } with x the midpoint of { v 2 , v 3 } and y the midpoint of { u 1 , w } . Denote by [ x y ] the geodesic in T with v 1 [ x y ] ; thus, δ ( C 5 M ) d C 5 M ( v 1 , [ x y ] ) = 3 / 2 .
For n { 6 , 7 , 8 , 9 } , diam ( C n M ) = n / 2 ; thus, the upper bound is n / 4 . Consider the bigon T of antipodal vertices x, y in C n , with T C n . Let p be the midpoint of [ x y ] ; then, δ ( T ) = n / 4 and thus δ ( C n M ) n / 4 , which together with the upper bound, gives δ ( C n M ) = n / 4 .
The range n { 10 , 11 , 12 , 13 , 14 , 15 } automatically follows from Theorem 2.
Finally, if n 16 , then diam V ( C n ) 8 , and Corollary 7 gives the result. ☐
Remark 5.
The analogue of Proposition 4 for the hyperbolicity constant of the four-point condition says that δ 4 P C ( C n M ) = 1 for 3 n 7 , δ 4 P C ( C 8 M ) = 2 , δ 4 P C ( C n M ) = 3 / 2 for 9 n 10 and δ 4 P C ( C n M ) = 1 for every n 11 .
The complete graph has a very constant behavior.
Proposition 5.
Let K n be the complete graph with n vertices. Then:
diam ( K n M ) = 5 2 , δ ( K n M ) = 5 4 , n 2 .
Proof. 
Since K 2 = P 2 and K 3 = C 3 , by Propositions 3 and 4, one gets the result if n < 4 .
For n 4 , Theorem 6 already gives δ ( K n M ) 5 / 4 , so it suffices to estimate the diameter of K n M .
Notice diam V ( K n M ) = 2 . Without loss of generality, take x , y J ( K n M ) ; clearly, if y = v V ( K n M ) , then d K n M ( x , v ) 5 / 2 with equality if x J ( K n ) V ( K n ) and v = w ; if x , y J ( K n M ) V ( K n M ) , then d K n M ( x , v ) 2 with equality if x { v i , v j } , y { u k , w } .
Summing up, diam ( K n M ) = 5 / 2 ; thus, δ ( K n M ) 5 / 4 , which together with Theorem 6 prove the result. ☐
Remark 6.
The analogue of Proposition 5 for the hyperbolicity constant of the four-point condition says that δ 4 P C ( K 2 M ) = 1 / 2 and δ 4 P C ( K n M ) = 1 for every n 3 .
The argument in the proof of Proposition 5 also gives the following result.
Corollary 9.
If diam ( G M ) 5 / 2 , then δ ( G M ) = 5 / 4 .
We can now finish the proof of Theorem 1.
Proof of Theorem 1: The main part follows from Theorem 7 for non-complete graphs. If G is a complete graph, Proposition 5 gives that δ ( G M ) = 5 / 4
For the sharpness of δ ( G M ) 5 / 2 , consider the graphs P 2 and C 10 , where P 2 stands for the path graph of vertices { v 0 , v 1 , v 2 , v 3 } and edges { v 0 , v 1 } , { v 1 , v 2 } , { v 2 , v 3 } , and C 10 is the the cyclic graph with 10 vertices. From Propositions 3 and 4, we get δ ( P 2 M ) = 5 / 4 and δ ( C 10 M ) = 5 / 2 . ☐
Proof of Theorem 4.
Lemma 1 gives the upper bound. If diam V ( G M ) 2 , then Theorem 6 gives δ ( G M ) 5 / 4 > 1 1 2 diam V ( G M ) . If diam V ( G M ) > 2 , then Theorem 6 gives 3 diam V ( G M ) 4 . Therefore, G is not a complete graph by Proposition 5. Thus, Theorem 8, Proposition 3 and Corollary 6 give δ ( G M ) δ P d i a m V ( G ) + 1 M δ P d i a m V ( G M ) + 1 M . Hence, if diam V ( G M ) = 3 , then we have δ ( G M ) 3 / 2 = 1 2 diam V ( G M ) by Proposition 3. If diam V ( G M ) = 4 , then we have δ ( G M ) 2 = 1 2 diam V ( G M ) by Proposition 3. ☐
Proof of Theorem 5.
By Theorem 4, we have diam V ( G M ) 3 . One can check that diam V ( G ) 3 , and Theorem 8 gives δ ( G ) δ ( G M ) . ☐
Proposition 6.
Let K n , m be the complete bipartite graph with n + m vertices. Then:
δ K n , m M = 5 4 , n , m 2 .
Proof. 
As in the proof of Proposition 5, it suffices to show that diam ( K n , m M ) = 5 / 2 .
One can check that diam V ( K n , m M ) = 2 , and for every x J ( K n , m M ) V ( K n , m M ) , we have max y K n , m M d ( x , y ) = 5 / 2 (see Figure 5); then, diam ( K n , m M ) = 5 / 2 . ☐

7. The Case of 5/4

In order to characterize the Mycielskian graphs with hyperbolicity constant 5 / 4 , we define some families of graphs.
Denote by C n the cycle graph with n 3 vertices and by V ( C n ) : = { v 1 ( n ) , , v n ( n ) } the set of their vertices, such that { v n ( n ) , v 1 ( n ) } E ( C n ) and { v i ( n ) , v i + 1 ( n ) } E ( C n ) for 1 i n 1 . Let C 6 be the set of graphs obtained from C 6 by adding a (proper or not) subset of the set of edges { { v 2 ( 6 ) , v 6 ( 6 ) } , { v 4 ( 6 ) , v 6 ( 6 ) } } . Let us define the set of graphs:
F 6 : = { graphs containing , as the induced subgraph , an isomorphic graph to some element of C 6 } .
Let C 7 be the set of graphs obtained from C 7 by adding a (proper or not) subset of the set of edges { { v 2 ( 7 ) , v 6 ( 7 ) } , { v 2 ( 7 ) , v 7 ( 7 ) } , { v 4 ( 7 ) , v 6 ( 7 ) } , { v 4 ( 7 ) , v 7 ( 7 ) } } . Define:
F 7 : = { graphs containing , as the induced subgraph , an isomorphic graph to some element of C 7 } .
Let C 8 be the set of graphs obtained from C 8 by adding a (proper or not) subset of the set { { v 2 ( 8 ) , v 6 ( 8 ) } , { v 2 ( 8 ) , v 8 ( 8 ) } , { v 4 ( 8 ) , v 6 ( 8 ) } , { v 4 ( 8 ) , v 8 ( 8 ) } } . Furthermore, let C 8 be the set of graphs obtained from C 8 by adding a (proper or not) subset of { { v 2 ( 8 ) , v 8 ( 8 ) } , { v 4 ( 8 ) , v 6 ( 8 ) } , { v 4 ( 8 ) , v 7 ( 8 ) } , { v 4 ( 8 ) , v 8 ( 8 ) } } . Define:
F 8 : = { graphs containing , as the induced subgraph , an isomorphic graph to some element of C 8 C 8 } .
Let C 9 be the set of graphs obtained from C 9 by adding a (proper or not) subset of the set of edges { { v 2 ( 9 ) , v 6 ( 9 ) } , { v 2 ( 9 ) , v 9 ( 9 ) } , { v 4 ( 9 ) , v 6 ( 9 ) } , { v 4 ( 9 ) , v 9 ( 9 ) } } . Define:
F 9 : = { graphs containing , as the induced subgraph , an isomorphic graph to some element of C 9 } .
Finally, we define the set F by:
F : = F 6 F 7 F 8 F 9 .
In [53] (Lemma 3.21) appears the following result.
Lemma 11.
Let G be any graph. Then, G F if and only if there is a geodesic triangle T = { x , y , z } in G that is a cycle with x , y , z J ( G ) , L ( [ x y ] ) , L ( [ y z ] ) , L ( [ z x ] ) 3 and δ ( T ) = 3 / 2 = d ( p , [ y z ] [ z x ] ) for some p [ x y ] V ( G ) .
Finally, we obtain a simple characterization of the Mycielskian graphs with hyperbolicity constant 5 / 4 .
Theorem 10.
Let G be any graph. Then, δ ( G M ) = 5 / 4 if and only if diam V ( G ) 2 and G M F .
Proof. 
If δ ( G M ) = 5 / 4 , then G M F . If diam V ( G ) > 2 , then Proposition 3 and Corollary 6 give δ ( G M ) 3 / 2 .
Assume now diam V ( G ) 2 and G M F .
If diam V ( G ) = 1 , then G is a complete graph, and Proposition 5 gives δ ( G M ) = 5 / 4 .
If diam V ( G ) = 2 , then Lemma 8 gives diam V ( G M ) = 2 , and thus, diam ( G M ) 3 .
If diam ( G M ) 5 / 2 , then Lemma 1 gives δ ( G M ) 5 / 4 , and we conclude δ ( G M ) = 5 / 4 by Theorem 1.
If diam ( G M ) = 3 , then δ ( G M ) 3 / 2 by Lemma 1. Besides, δ ( G M ) 5 / 4 by Theorem 1. Hence, Lemma 4 implies δ ( G M ) 5 / 4 , 3 / 2 . Seeking for a contradiction, assume that δ ( G M ) = 3 / 2 . By Lemma 3, there exists a geodesic triangle T = { x , y , z } that is a cycle with x , y , z J ( G M ) and δ ( T ) = 3 / 2 = d ( p , [ y z ] [ z x ] ) for some p [ x y ] . Then, d G M ( p , { x , y } ) d G M ( p , [ y z ] [ z x ] ) = 3 / 2 and d G M ( x , y ) 3 . Since diam ( G M ) = 3 and T is a cycle, we have L ( [ x y ] ) = 3 , L ( [ y z ] ) , L ( [ z x ] ) 3 . Since diam V ( G M ) = 2 , x , y J ( G M ) V ( G M ) , p is the midpoint of [ x y ] , and it is a vertex of G M . Thus, Lemma 11 gives G F , which is the contradiction we were looking for. Hence, δ ( G M ) 3 / 2 , and we conclude δ ( G M ) = 5 / 4 . ☐
We finish this work with a computational remark about Theorem 10.
Let us consider a graph Γ with m edges, a vertex with degree Δ and the other vertices with degree at most Δ 0 Δ . By choosing an edge { v i 1 , v i 2 } E ( Γ ) , an edge { v i 2 , v i 3 } E ( Γ ) ,..., and an edge { v i a 1 , v i a } E ( Γ ) , we can obtain the set of all paths of length a 1 in time O ( m Δ Δ 0 a 3 ) ; hence, we can compute all cycles with length a in time O ( m Δ Δ 0 a 3 ) . Therefore, it is possible to find a subgraph isomorphic to a fixed graph in C a (or in C a ) in time O ( m Δ Δ 0 a 3 ) . Note that there are 4, 16, 16, 16 and 16 graphs in C 6 , C 7 , C 8 , C 8 and C 9 , respectively. Hence, we can find every subgraph of Γ isomorphic to a graph in C 6 C 7 C 8 C 8 C 9 in time O ( m Δ Δ 0 6 ) .
If G is a graph with n vertices, m edges and maximum degree Δ , then G M is a graph with 3 m + n edges, a vertex with degree n and the other vertices with degree at most 2 Δ . Since Δ n 1 , we can know if either G M F or G M F in time O ( ( 3 m + n ) max { 2 Δ , n } ( 2 Δ ) 6 ) = O ( n m Δ 6 ) . Hence, to check the hypothesis G M F is a tractable problem from a computational viewpoint, by using the algorithm sketched before.

Acknowledgments

We would like to thank the referees for their valuable comments, which have improved the paper. This work was supported in part by two grants from Ministerio de Economía y Competititvidad (MTM2013-46374-P and MTM2015-69323-REDT), Spain.

Author Contributions

Ana Granados, Domingo Pestana, Ana Portilla and José M. Rodríguez contributed equally in the results, writing the manuscript and proofreading. All authors have read and approved the final manuscript.

Conflicts of Interest

The authors declare no conflict of interest.

References

  1. Alonso, J.; Brady, T.; Cooper, D.; Delzant, T.; Ferlini, V.; Lustig, M.; Mihalik, M.; Shapiro, M.; Short, H. Notes on word hyperbolic groups. In Group Theory from a Geometrical Viewpoint; Ghys, E., Haefliger, A., Verjovsky, A., Eds.; World Scientific: Singapore, 1992. [Google Scholar]
  2. Bowditch, B.H. Notes on Gromov’s hyperbolicity criterion for path-metric spaces. In Group Theory from a Geometrical Viewpoint, Trieste, 1990; Ghys, E., Haefliger, A., Verjovsky, A., Eds.; World Scientific: River Edge, NJ, USA, 1991; pp. 64–167. [Google Scholar]
  3. Ghys, E.; de la Harpe, P. Sur les Groupes Hyperboliques d’après Mikhael Gromov. In Progress in Mathematics 83; Birkhäuser Boston Inc.: Boston, MA, USA, 1990. [Google Scholar]
  4. Gromov, M. Hyperbolic Groups, in “Essays in Group Theory"; Gersten, S.M., Publ, M.S.R.I., Eds.; Springer: Berlin, Germany, 1987; Volume 8, pp. 75–263. [Google Scholar]
  5. Bonk, M. Quasi-geodesics segments and Gromov hyperbolic spaces. Geom. Dedicata 1996, 62, 281–298. [Google Scholar] [CrossRef]
  6. Chen, W.; Fang, W.; Hu, G.; Mahoney, M.W. On the hyperbolicity of small-world and treelike random graphs. Internet Math. 2013, 9, 434–491. [Google Scholar] [CrossRef]
  7. Jonckheere, E.A.; Lohsoonthorn, P.; Bonahon, F. Scaled Gromov hyperbolic graphs. J. Graph Theory 2007, 2, 157–180. [Google Scholar] [CrossRef]
  8. Shang, Y. Lack of Gromov-hyperbolicity in small-world networks. Cent. Eur. J. Math. 2012, 10, 1152–1158. [Google Scholar] [CrossRef]
  9. Shang, Y. Non-hyperbolicity of random graphs with given expected degrees. Stoch. Models 2013, 29, 451–462. [Google Scholar] [CrossRef]
  10. Oshika, K. Discrete Groups, AMS Bookstore, Iwanami Series on Modern Mathematics, Translations of Mathematical Monographs; Amer Mathematical Society: Providence, RI, USA, 2002; Volume 207. [Google Scholar]
  11. Charney, R. Artin groups of finite type are biautomatic. Math. Ann. 1992, 292, 671–683. [Google Scholar] [CrossRef]
  12. Edwards, K.; Kennedy, W.S.; Saniee, I. Fast Approximation Algorithms for p-Centres in Large δ-Hyperbolic Graphs. Available online: https://arxiv.org/pdf/1604.07359.pdf (accessed on 25 April 2016).
  13. Shavitt, Y.; Tankel, T. On internet embedding in hyperbolic spaces for overlay construction and distance estimation. IEEE/ACM Trans. Netw. 2008, 16, 25–36. [Google Scholar] [CrossRef]
  14. Verbeek, K.; Suri, S. Metric embeddings, hyperbolic space and social networks. In Proceedings of the 30th Annual Symposium on Computational Geometry, Kyoto, Japan, 8–11 June 2014; pp. 501–510. [Google Scholar]
  15. Abu-Ata, M.; Dragan, F.F. Metric tree-like structures in real-life networks: An empirical study. Networks 2016, 67, 49–68. [Google Scholar] [CrossRef]
  16. Adcock, A.B.; Sullivan, B.D.; Mahoney, M.W. Tree-like structure in large social and information networks. In Proceedings of the 2013 IEEE 13th International Conference Data Mining (ICDM), Dallas, TX, USA, 7–10 December 2013; pp. 1–10. [Google Scholar]
  17. Cohen, N.; Coudert, D.; Lancin, A. Exact and Approximate Algorithms for Computing the Hyperbolicity of Large-Scale Graphs; Rapport de Recherche RR-8074; INRIA: Rocquencourt, France, September 2012. [Google Scholar]
  18. Krioukov, D.; Papadopoulos, F.; Kitsak, M.; Vahdat, A.; Boguñá, M. Hyperbolic geometry of complex networks. Phys. Rev. E 2010, 82, 036106. [Google Scholar] [CrossRef] [PubMed]
  19. Montgolfier, F.; Soto, M.; Viennot, L. Treewidth and Hyperbolicity of the Internet. In Proceedings of the 2011 IEEE 10th International Symposium on Network Computing and Applications (NCA), Washington, DC, USA, 25–27 August 2011; pp. 25–32. [Google Scholar]
  20. Jonckheere, E.A. Contrôle du trafic sur les réseaux à géométrie hyperbolique: Vers une théorie géométrique de la sécurité de l’acheminement de l’information. J. Eur. Syst. Autom. 2002, 8, 45–60. [Google Scholar] [CrossRef]
  21. Jonckheere, E.A.; Lohsoonthorn, P. Geometry of network security. In Proceedings of the 2004 American Control Conference, Boston, MA, USA, 30 June–2 July 2004; pp. 111–151. [Google Scholar]
  22. Chepoi, V.; Dragan, F.F.; Vaxès, Y. Core congestion is inherent in hyperbolic networks. In Proceedings of the Twenty-Eighth Annual ACM-SIAM Symposium on Discrete Algorithms, Barcelona, Spain, 16–19 January 2017. [Google Scholar]
  23. Grippo, E.; Jonckheere, E.A. Effective resistance criterion for negative curvature: application to congestion control. In Proceedings of the IEEE Multi-Conference on Systems and Control, Buenos Aires, Argentina, 19–22 September 2016. [Google Scholar]
  24. Li, S.; Tucci, G.H. Traffic Congestion in Expanders, (p, δ)-Hyperbolic Spaces and Product of Trees. Internet Math. 2015, 11, 134–142. [Google Scholar] [CrossRef]
  25. Bandelt, H.-J.; Chepoi, V. 1-Hyperbolic Graphs. SIAM J. Discret. Math. 2003, 16, 323–334. [Google Scholar] [CrossRef]
  26. Boguñá, M.; Papadopoulos, F.; Krioukov, D. Sustaining the Internet with Hyperbolic Mapping. Nat. Commun. 2010, 1, 18. [Google Scholar] [CrossRef] [PubMed]
  27. Brinkmann, G.; Koolen, J.; Moulton, V. On the hyperbolicity of chordal graphs. Ann. Comb. 2001, 5, 61–69. [Google Scholar] [CrossRef]
  28. Carballosa, W.; Rodríguez, J.M.; Sigarreta, J.M.; Villeta, M. Gromov hyperbolicity of line graphs. Electr. J. Comb. 2011, 18, 210. [Google Scholar]
  29. Chepoi, V.; Dragan, F.F.; Estellon, B.; Habib, M.; Vaxès, Y. Notes on diameters, centers, and approximating trees of δ-hyperbolic geodesic spaces and graphs. Electr. Notes Discr. Math. 2008, 31, 231–234. [Google Scholar] [CrossRef]
  30. Diestel, R.; Müller, M. Connected tree-width. Combinatorica 2017. [Google Scholar] [CrossRef]
  31. Frigerio, R.; Sisto, A. Characterizing hyperbolic spaces and real trees. Geom. Dedicata 2009, 142, 139–149. [Google Scholar] [CrossRef]
  32. Koolen, J.H.; Moulton, V. Hyperbolic Bridged Graphs. Europ. J. Comb. 2002, 23, 683–699. [Google Scholar] [CrossRef]
  33. Sigarreta, J.M. Hyperbolicity in median graphs. Proc. Math. Sci. 2013, 123, 455–467. [Google Scholar] [CrossRef]
  34. Tourís, E. Graphs and Gromov hyperbolicity of non-constant negatively curved surfaces. J. Math. Anal. Appl. 2011, 380, 865–881. [Google Scholar] [CrossRef]
  35. Wu, Y.; Zhang, C. Chordality and hyperbolicity of a graph. Electr. J. Comb. 2011, 18, 43. [Google Scholar]
  36. Balogh, Z.M.; Bonk, M. Gromov hyperbolicity and the Kobayashi metric on strictly pseudoconvex domains. Comment. Math. Helv. 2000, 75, 504–533. [Google Scholar] [CrossRef]
  37. Benoist, Y. Convexes hyperboliques et fonctions quasisymétriques. Publ. Math. Inst. Hautes Études Sci. 2003, 97, 181–237. [Google Scholar] [CrossRef]
  38. Karlsson, A.; Noskov, G.A. The Hilbert metric and Gromov hyperbolicity. Enseign. Math. 2002, 48, 73–89. [Google Scholar]
  39. Hästö, P.A. Gromov hyperbolicity of the jG and j ~ G metrics. Proc. Am. Math. Soc. 2006, 134, 1137–1142. [Google Scholar] [CrossRef]
  40. Lindén, H. Gromov hyperbolicity of certain conformal invariant metrics. Ann. Acad. Sci. Fenn. Math. 2007, 32, 279–288. [Google Scholar]
  41. Balogh, Z.M.; Buckley, S.M. Geometric characterizations of Gromov hyperbolicity. Invent. Math. 2003, 153, 261–301. [Google Scholar] [CrossRef]
  42. Bonk, M.; Heinonen, J.; Koskela, P. Uniformizing Gromov Hyperbolic Spaces; Astérisque; Amer Mathematical Society: Providence, RI, USA, 2001; Volume 270. [Google Scholar]
  43. Hästö, P.A.; Portilla, A.; Rodríguez, J.M.; Tourís, E. Gromov hyperbolic equivalence of the hyperbolic and quasihyperbolic metrics in Denjoy domains. Bull. Lond. Math. Soc. 2010, 42, 282–294. [Google Scholar] [CrossRef]
  44. Portilla, A.; Rodríguez, J.M.; Tourís, E. Gromov hyperbolicity through decomposition of metric spaces II. J. Geom. Anal. 2004, 14, 123–149. [Google Scholar] [CrossRef]
  45. Rodríguez, J.M.; Tourís, E. Gromov hyperbolicity through decomposition of metric spaces. Acta Math. Hung. 2004, 103, 53–84. [Google Scholar] [CrossRef]
  46. Rodríguez, J.M.; Tourís, E. Gromov hyperbolicity of Riemann surfaces. Acta Math. Sin. 2007, 23, 209–228. [Google Scholar] [CrossRef]
  47. Mycielski, J. Sur le coloriage des graphes. Colloq. Math. 1955, 3, 161–162. [Google Scholar]
  48. Fournier, H.; Ismail, A.; Vigneron, A. Computing the Gromov hyperbolicity of a discrete metric space. J. Inform. Proc. Lett. 2015, 115, 576–579. [Google Scholar] [CrossRef]
  49. Coudert, D.; Ducoffe, G. Recognition of C4-Free and 1/2-Hyperbolic Graphs. SIAM J. Discret. Math. 2014, 28, 1601–1617. [Google Scholar] [CrossRef]
  50. Papasoglu, P. An algorithm detecting hyperbolicity. In Geometric and Computational Perspectives on Infinite Groups, DIMACS—Series in Discrete Mathematics and Theoretical Computer Science; AMS (Amer Mathematical Society): Providence, RI, USA, 1996; Volume 25, pp. 193–200. [Google Scholar]
  51. Bermudo, S.; Rodríguez, J.M.; Sigarreta, J.M.; Tourís, E. Hyperbolicity and complement of graphs. Appl. Math. Lett. 2011, 24, 1882–1887. [Google Scholar] [CrossRef]
  52. Calegari, D.; Fujiwara, K. Counting subgraphs in hyperbolic graphs with symmetry. J. Math. Soc. Jpn. 2015, 67, 1213–1226. [Google Scholar] [CrossRef]
  53. Carballosa, W.; de la Cruz, A.; Rodríguez, J.M. Gromov Hyperbolicity in Lexicographic Product Graphs. Available online: http://gama.uc3m.es/index.php/jomaro.html (accessed on 19 June 2015).
  54. Carballosa, W.; Rodríguez, J.M.; Sigarreta, J.M. Hyperbolicity in the corona and join of graphs. Aequ. Math. 2015, 89, 1311–1328. [Google Scholar] [CrossRef]
  55. Coudert, D.; Ducoffe, G. On the hyperbolicity of bipartite graphs and intersection graphs. Discret. App. Math. 2016, 214, 187–195. [Google Scholar] [CrossRef]
  56. Martínez-Pérez, A. Chordality properties and hyperbolicity on graphs. Electr. J. Comb. 2016, 23, P3.51. [Google Scholar]
  57. Bermudo, S.; Rodríguez, J.M.; Sigarreta, J.M.; Vilaire, J.-M. Gromov hyperbolic graphs. Discret. Math. 2013, 313, 1575–1585. [Google Scholar] [CrossRef]
  58. Chen, B.; Yau, S.-T.; Yeh, Y.-N. Graph homotopy and Graham homotopy. Discret. Math. 2001, 241, 153–170. [Google Scholar] [CrossRef]
  59. Rodríguez, J.M.; Sigarreta, J.M.; Vilaire, J.-M.; Villeta, M. On the hyperbolicity constant in graphs. Discr. Math. 2011, 311, 211–219. [Google Scholar] [CrossRef]
  60. Bermudo, S.; Rodríguez, J.M.; Sigarreta, J.M. Computing the hyperbolicity constant. Comp. Math. Appl. 2011, 62, 4592–4595. [Google Scholar] [CrossRef]
Figure 1. Construction of the Mycielskian graph of P 3 .
Figure 1. Construction of the Mycielskian graph of P 3 .
Symmetry 09 00131 g001
Figure 2. Projection of a cycle in G of length four onto a path in G of length two.
Figure 2. Projection of a cycle in G of length four onto a path in G of length two.
Symmetry 09 00131 g002
Figure 3. P 3 M has diameter 5 / 2 .
Figure 3. P 3 M has diameter 5 / 2 .
Symmetry 09 00131 g003
Figure 4. For n = 8 , a geodesic triangle T = { x , y , z } in P n M with δ ( T ) = 9 / 4 .
Figure 4. For n = 8 , a geodesic triangle T = { x , y , z } in P n M with δ ( T ) = 9 / 4 .
Symmetry 09 00131 g004
Figure 5. x and y are two points furthest apart in K 3 , 2 M .
Figure 5. x and y are two points furthest apart in K 3 , 2 M .
Symmetry 09 00131 g005

Share and Cite

MDPI and ACS Style

Granados, A.; Pestana, D.; Portilla, A.; Rodríguez, J.M. Gromov Hyperbolicity in Mycielskian Graphs. Symmetry 2017, 9, 131. https://doi.org/10.3390/sym9080131

AMA Style

Granados A, Pestana D, Portilla A, Rodríguez JM. Gromov Hyperbolicity in Mycielskian Graphs. Symmetry. 2017; 9(8):131. https://doi.org/10.3390/sym9080131

Chicago/Turabian Style

Granados, Ana, Domingo Pestana, Ana Portilla, and José M. Rodríguez. 2017. "Gromov Hyperbolicity in Mycielskian Graphs" Symmetry 9, no. 8: 131. https://doi.org/10.3390/sym9080131

APA Style

Granados, A., Pestana, D., Portilla, A., & Rodríguez, J. M. (2017). Gromov Hyperbolicity in Mycielskian Graphs. Symmetry, 9(8), 131. https://doi.org/10.3390/sym9080131

Note that from the first issue of 2016, this journal uses article numbers instead of page numbers. See further details here.

Article Metrics

Back to TopTop