Superconducting Gap Symmetry of LaFeP(O,F) Observed by Impurity Doping Effect
Abstract
:1. Introduction
2. Materials and Methods
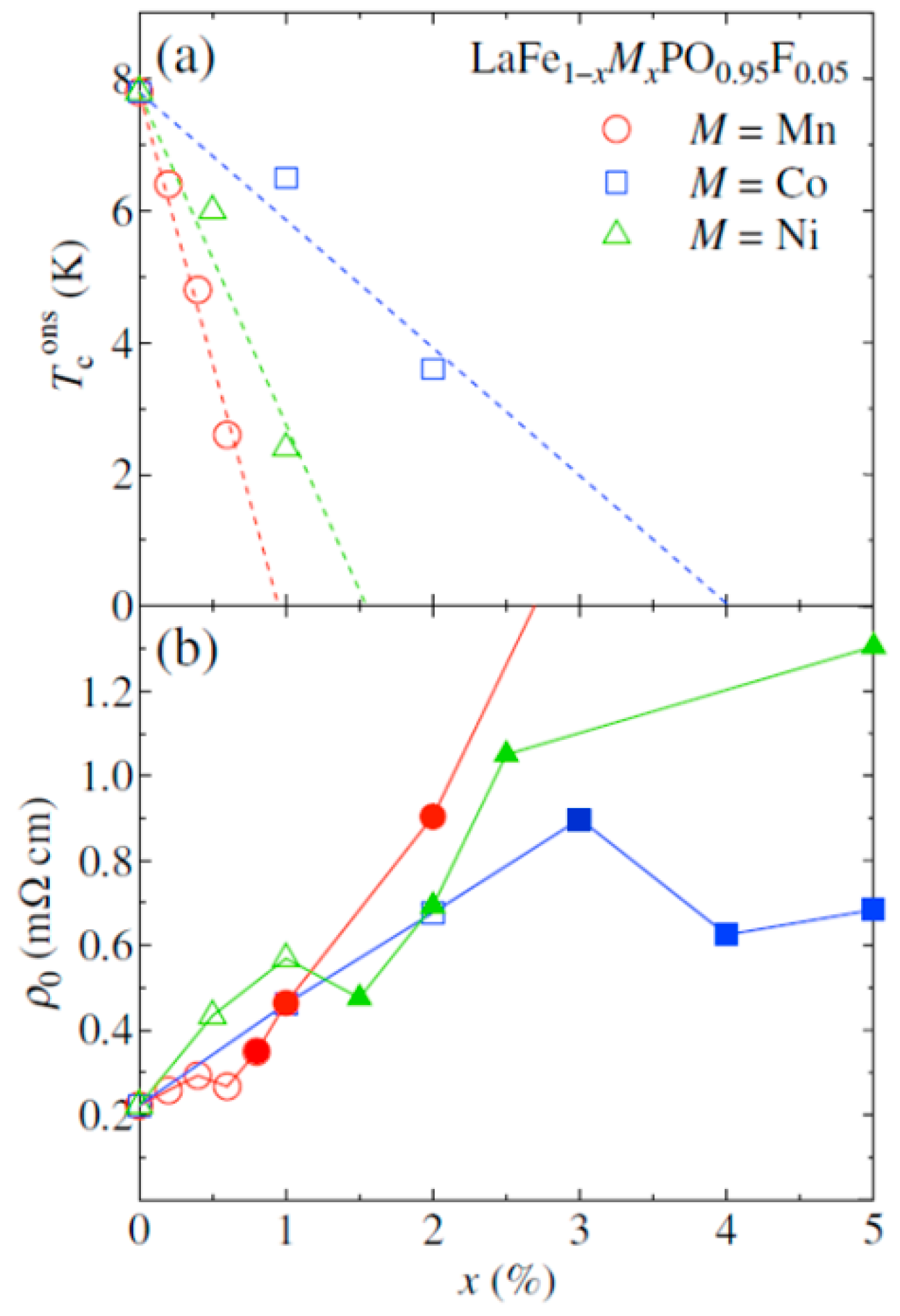
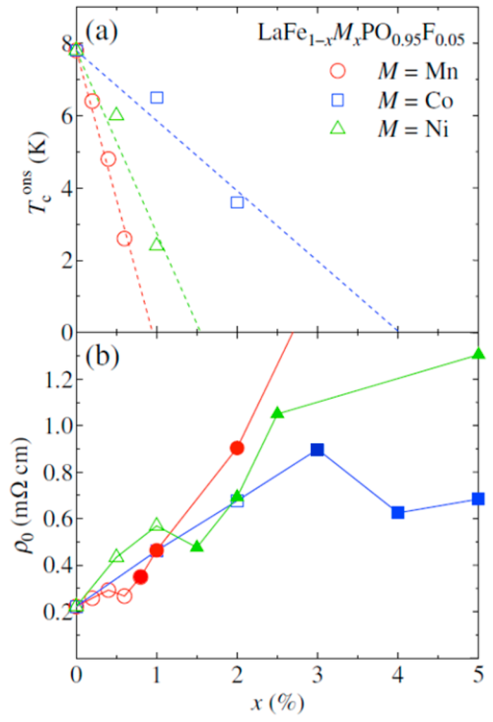
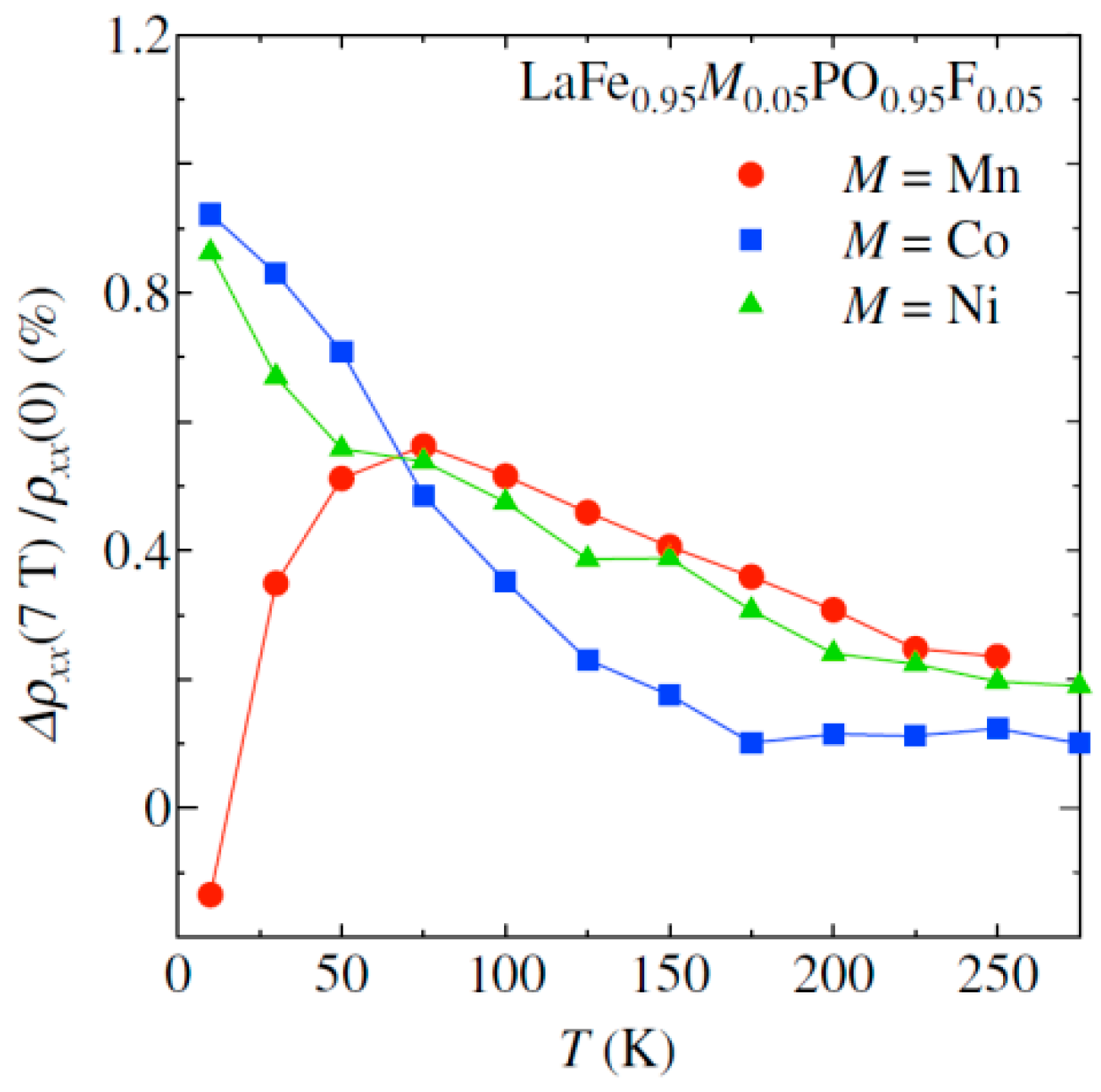
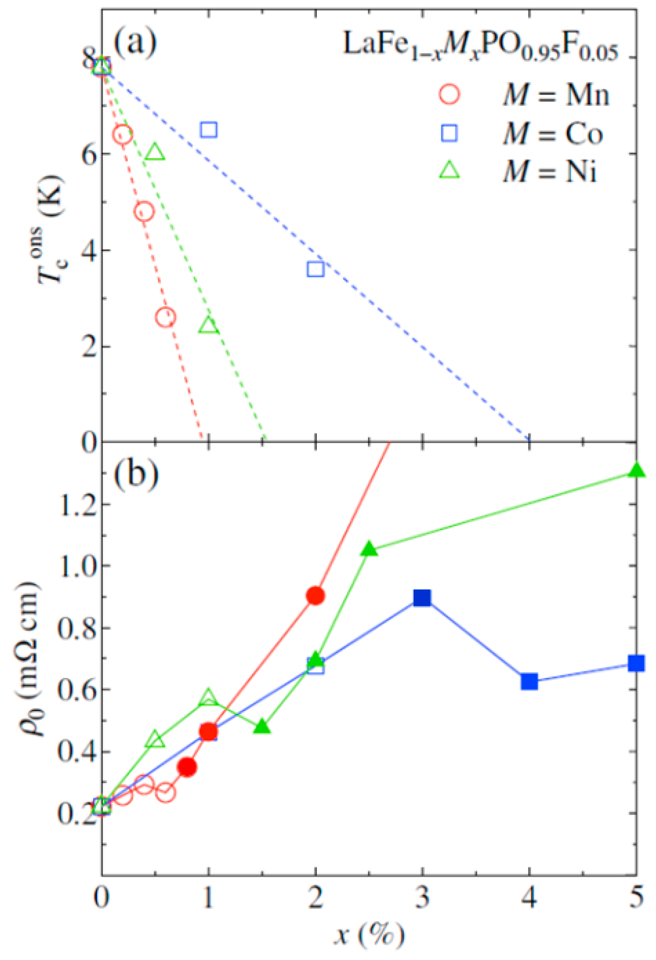
3. Results
4. Discussion
5. Conclusions
Acknowledgments
Author Contributions
Conflicts of Interest
References
- Kamihara, Y.; Hiramatsu, H.; Hirano, M.; Kawamura, R.; Yanagi, H.; Kamiya, T.; Hosono, H. Iron-Based Layered Superconductor: LaOFeP. J. Am. Chem. Soc. 2006, 128, 10012–10013. [Google Scholar] [CrossRef] [PubMed]
- Kamihara, Y.; Watanabe, T.; Hirano, M.; Hosono, H. Iron-Based Layered Superconductor La[O1−xFx]FeAs (x = 0.05–0.12) with Tc = 26 K. J. Am. Chem. Soc. 2008, 130, 3296–3297. [Google Scholar] [CrossRef] [PubMed]
- Hosono, H.; Kuroki, K. Iron-based superconductors: Current status of materials and pairing mechanism. Phys. C 2015, 514, 399–422. [Google Scholar] [CrossRef]
- Kuroki, K.; Usui, H.; Onari, S.; Arita, R.; Aoki, H. Pnictogen height as a possible switch between high-Tc nodeless and low-Tc nodal pairings in the iron-based superconductors. Phys. Rev. B 2009, 79. [Google Scholar] [CrossRef]
- Mazin, I.I.; Singh, D.J.; Johannes, M.D.; Du, M.H. Unconventional Superconductivity with a Sign Reversal in the Order Parameter of LaFeAsO1−xFx. Phys. Rev. Lett. 2008, 101. [Google Scholar] [CrossRef] [PubMed]
- Kontani, H.; Onari, S. Orbital-Fluctuation-Mediated Superconductivity in Iron Pnictides: Analysis of the Five-Orbital Hubbard-Holstein. Model. Phys. Rev. Lett. 2010, 104. [Google Scholar] [CrossRef] [PubMed]
- Onari, S.; Kontani, H. Self-consistent Vertex Correction Analysis for Iron-based Superconductors: Mechanism of Coulomb Interaction-Driven Orbital Fluctuations. Phys. Rev. Lett. 2012, 109. [Google Scholar] [CrossRef] [PubMed]
- Ding, H.; Richard, P.; Nakayama, K.; Sugawara, K.; Arakane, T.; Sekiba, Y.; Takayama, A.; Souma, S.; Sato, T.; Takahashi, T.; et al. Observation of Fermi-surface–dependent nodeless superconducting gaps in Ba0.6K0.4Fe2As2. Europhys. Lett. 2008, 83. [Google Scholar] [CrossRef]
- Kondo, T.; Santander-Syro, A.F.; Copie, O.; Liu, C.; Tillman, M.E.; Mun, E.D.; Schmalian, J.; Bud’ko, S.L.; Tanatar, M.A.; Canfield, P.C.; et al. Momentum Dependence of the Superconducting Gap in NdFeAsO0.9F0.1 Single Crystals Measured by Angle Resolved Photoemission Spectroscopy. Phys. Rev. Lett. 2008, 101. [Google Scholar] [CrossRef] [PubMed]
- Nakai, Y.; Iye, T.; Kitagawa, S.; Ishida, K.; Kasahara, S.; Shibauchi, T.; Matsuda, Y.; Terashima, T. 31P and 75As NMR evidence for a residual density of states at zero energy in superconducting BaFe2(As0.67P0.33)2. Phys. Rev. B 2010, 81. [Google Scholar] [CrossRef]
- Hashimoto, K.; Yamashita, M.; Kasahara, S.; Senshu, Y.; Nakata, N.; Tonegawa, S.; Ikada, K.; Serafin, A.; Carrington, A.; Terashima, T.; et al. Line nodes in the energy gap of superconducting BaFe2(As1−xPx)2 single crystals as seen via penetration depth and thermal conductivity. Phys. Rev. B 2010, 81. [Google Scholar] [CrossRef]
- Hashimoto, K.; Kasahara, S.; Katsumata, R.; Mizukami, Y.; Yamashita, M.; Ikeda, H.; Terashima, T.; Carrington, A.; Matsuda, Y.; Shibauchi, T. Nodal versus Nodeless Behaviors of the Order Parameters of LiFeP and LiFeAs Superconductors from Magnetic Penetration-Depth Measurements. Phys. Rev. Lett. 2012, 108. [Google Scholar] [CrossRef] [PubMed]
- Kinouchi, H.; Mukuda, H.; Kitaoka, Y.; Shirage, P.M.; Fujihisa, H.; Gotoh, Y.; Eisaki, H.; Iyo, A. Emergent phases of nodeless and nodal superconductivity separated by antiferromagnetic order in iron-based superconductor (Ca4Al2O6)Fe2(As1−xPx)2: 75As- and 31P-NMR studies. Phys. Rev. B 2013, 87. [Google Scholar] [CrossRef]
- Thomale, R.; Platt, C.; Hanke, W.; Hu, J.; Bernevig, B.A. Exotic d-Wave Superconducting State of Strongly Hole-Doped KxBa1-xFe2As2. Phys. Rev. Lett. 2011, 107. [Google Scholar] [CrossRef] [PubMed]
- Guguchia, Z.; Amato, A.; Kang, J.; Luetkens, H.; Biswas, P.K.; Prando, G.; von Rohr, F.; Bukowski, Z.; Shengelaya, A.; Keller, H.; et al. Direct evidence for a pressure-induced nodal superconducting gap in the Ba0.65Rb0.35Fe2As2 superconductor. Nat. Commun. 2015, 6. [Google Scholar] [CrossRef] [PubMed]
- Prando, G.; Hartmann, T.; Schottenhamel, W.; Guguchia, Z.; Sanna, S.; Ahn, F.; Nekrasov, I.; Blum, C.G.F.; Wolter, A.U.B.; Wurmehl, S.; et al. Mutual Independence of Critical Temperature and Superfluid Density under Pressure in Optimally Electron-Doped Superconducting LaFeAsO1−xFx. Phys. Rev. Lett. 2015, 114. [Google Scholar] [CrossRef] [PubMed]
- Fletcher, J.D.; Serafin, A.; Malone, L.; Analytis, J.G.; Chu, J.-H.; Erickson, A.S.; Fisher, I.R.; Carrington, A. Evidence for a Nodal-Line Superconducting State in LaFePO. Phys. Rev. Lett. 2009, 102. [Google Scholar] [CrossRef] [PubMed]
- Yamashita, M.; Nakata, N.; Senshu, Y.; Tonegawa, S.; Ikada, K.; Hashimoto, K.; Sugawara, H.; Shibauchi, T.; Matsuda, Y. Thermal conductivity measurements of the energy-gap anisotropy of superconducting LaFePO at low temperatures. Phys. Rev. B 2009, 80. [Google Scholar] [CrossRef]
- Sutherland, M.; Dunn, J.; Toews, W.H.; O’Farrell, E.; Analytis, J.; Fisher, I.; Hill, R.W. Low-energy quasiparticles probed by heat transport in the iron-based superconductor LaFePO. Phys. Rev. B 2012, 85. [Google Scholar] [CrossRef]
- Suzuki, S.; Miyasaka, S.; Tajima, S.; Kida, T.; Hagiwara, M. Systematic Study on Fluorine-Doping Dependence of Superconducting and Normal State Properties in LaFePO1−xFx. J. Phys. Soc. Jpn. 2009, 78, 114712. [Google Scholar] [CrossRef]
- Yanagi, H.; Watanabe, T.; Kodama, K.; Iikubo, S.; Shamoto, S.; Kamiya, T.; Hirano, M.; Hosono, H. Antiferromagnetic bipolar semiconductor LaMnPO with ZrCuSiAs-type structure. J. Appl. Phys. 2009, 105. [Google Scholar] [CrossRef]
- Yanagi, H.; Kawamura, R.; Kamiya, T.; Kamihara, Y.; Hirano, M.; Nakamura, T.; Osawa, H.; Hosono, H. Itinerant ferromagnetism in the layered crystals LaCoOX (X = P,As). Phys. Rev. B 2008, 77. [Google Scholar] [CrossRef]
- Watanabe, T.; Yanagi, H.; Kamiya, T.; Kamihara, Y.; Hiramatsu, H.; Hirano, M.; Hosono, H. Nickel-Based Oxyphosphide Superconductor with a Layered Crystal Structure, LaNiOP. Inorg. Chem. 2007, 46, 7719–7721. [Google Scholar] [CrossRef] [PubMed]
- Ning, F.; Ahilan, K.; Imai, T.; Sefat, A.S.; Jin, R.; McGuire, M.A.; Sales, B.C.; Mandrus, D. 59Co and 75As NMR Investigation of Electron-Doped High Tc Superconductor BaFe1.8Co0.2As2 (Tc = 22 K). J. Phys. Soc. Jpn. 2008, 77. [Google Scholar] [CrossRef]
- Tucker, G.S.; Pratt, D.K.; Kim, M.G.; Ran, S.; Thaler, A.; Granroth, G.E.; Marty, K.; Tian, W.; Zarestky, J.L.; Lumsden, M.D.; et al. Competition between stripe and checkerboard magnetic instabilities in Mn-doped BaFe2As2. Phys. Rev. B 2012, 86. [Google Scholar] [CrossRef]
- Thaler, A.; Hodovanets, H.; Torikachvili, M.S.; Ran, S.; Kracher, A.; Straszheim, W.; Yan, J.Q.; Mun, E.; Canfield, P.C. Physical and magnetic properties of Ba(Fe1−xMnx)2As2 single crystals. Phys. Rev. B 2011, 84. [Google Scholar] [CrossRef]
- Mizuhashi, K.; Takenaka, K.; Fukuzumi, Y.; Uchida, S. Effect of Zn doping on charge transport in YBa2Cu3O7-δ. Phys. Rev. B 1995, 52, R3884–R3887. [Google Scholar] [CrossRef]
- Analytis, J.G.; Chu, J.-H.; Erickson, S.; Kucharczyk, C.; Serafin, A.; Carrington, A.; Cox, C.; Kauzlarich, S.M.; Hope, H.; Fisher, I.R. Bulk superconductivity and disorder in single crystals of LaFePO. arXiv:0810.5368v3.
- Sato, M.; Kobayashi, Y.; Lee, S.C.; Takahashi, H.; Satomi, E.; Miura, Y. Studies of Effects of Impurity Doping and NMR Measurements of La 1111 and/or Nd 1111 Fe-Pnictide Superconductors. J. Phys. Soc. Jpn. 2010, 79. [Google Scholar] [CrossRef]
- Satomi, E.; Lee, S.C.; Kobayashi, Y.; Sato, M. Superconducting Transition Temperatures and Transport Properties of LaFe1-yRuyAsO0.89F0.11 and LaFeAsO0.89-xF0.11+x. J. Phys. Soc. Jpn. 2010, 79. [Google Scholar] [CrossRef]
- Kawamata, T.; Satomi, E.; Kobayashi, Y.; Itoh, M.; Sato, M. Study of Ni-Doping Effect of Specific Heat and Transport Properties for LaFe1-yNiyAsO0.89F0.11. J. Phys. Soc. Jpn. 2011, 80. [Google Scholar] [CrossRef]
- Guo, Y.F.; Shi, Y.G.; Yu, S.; Belik, A.A.; Matsushita, Y.; Tanaka, M.; Katsuya, Y.; Kobayashi, K.; Nowik, I.; Felner, I.; et al. Large decrease in the critical temperature of superconducting LaFeAsO0.85 compounds doped with 3% atomic weight of nonmagnetic Zn impurities. Phys. Rev. B 2010, 82. [Google Scholar] [CrossRef]
- Miyasaka, S.; Takemori, A.; Kobayashi, T.; Suzuki, S.; Saijo, S.; Tajima, S. Two Fermi Surface States and Two Tc-Rising Mechanisms Revealed by Transport Properties in RFeP1-xAsxO0.9F0.1 (R = La, Pr, and Nd). J. Phys. Soc. Jpn. 2013, 82. [Google Scholar] [CrossRef]
- Lai, T.; Takemori, A.; Miyasaka, S.; Engetsu, F.; Mukuda, H.; Tajima, S. Evolution of the phase diagram of LaFeP1−xAsxO1−yFy (y = 0–0.1). Phys. Rev. B 2014, 90. [Google Scholar] [CrossRef]




© 2016 by the authors; licensee MDPI, Basel, Switzerland. This article is an open access article distributed under the terms and conditions of the Creative Commons Attribution (CC-BY) license (http://creativecommons.org/licenses/by/4.0/).
Share and Cite
Miyasaka, S.; Suzuki, S.; Tajima, S. Superconducting Gap Symmetry of LaFeP(O,F) Observed by Impurity Doping Effect. Symmetry 2016, 8, 80. https://doi.org/10.3390/sym8080080
Miyasaka S, Suzuki S, Tajima S. Superconducting Gap Symmetry of LaFeP(O,F) Observed by Impurity Doping Effect. Symmetry. 2016; 8(8):80. https://doi.org/10.3390/sym8080080
Chicago/Turabian StyleMiyasaka, Shigeki, Sinnosuke Suzuki, and Setsuko Tajima. 2016. "Superconducting Gap Symmetry of LaFeP(O,F) Observed by Impurity Doping Effect" Symmetry 8, no. 8: 80. https://doi.org/10.3390/sym8080080
APA StyleMiyasaka, S., Suzuki, S., & Tajima, S. (2016). Superconducting Gap Symmetry of LaFeP(O,F) Observed by Impurity Doping Effect. Symmetry, 8(8), 80. https://doi.org/10.3390/sym8080080
 
         
                                                

 
                        