The Hunt for Supersymmetry at the Tevatron
Abstract
: During the Tevatron data-taking period from April 2001 to September 2011 (Run-II), several searches for supersymmetric particles were performed. The results from searches by the CDF and DØ collaborations are concisely reviewed. This includes results up to the summer conferences of 2013. Model-independent and model-dependent limits on new particle production are set, and interpretations in supersymmetric models are given. Several limits from the Large Electron Positron (LEP) era have been extended. Specific results are placed into the context of the Tevatron performance expectations and a few of the current results from searches at the Large Hadron Collider (LHC).1. Introduction
The search for supersymmetric particles was pioneered at the Super Proton Synchrotron (SPS) and Large Electron Positron (LEP) colliders at CERN (Conseil Européen pour la Recherche Nucléaire) and has been extensively advanced at the Tevatron (chiefly Run-II with data taken 2001–2011). A wide range of analyses is presented, illustrating major improvements in the analysis sensitivities. This review is not inclusive of all searches for supersymmetric particles, but rather, is intended to give an overview of several important results and relating them to the underlying theoretical framework. For details of specific experimental analysis techniques and the event selections of the individual search channels, the reader is referred to the publications by the CDF and DØ collaborations. After the first few years of data-taking with rather low instantaneous luminosity, the Tevatron collider achieved significantly higher collision rates in the second half of Run-II. The total delivered luminosity is about 12 fb−1, of which about 10 fb−1 were recorded by each experiment. Figure 1 [1] shows the delivered Run-II luminosity between 2001 and 2011.
The discovery of a supersymmetric particle would extend the Standard Model (SM) of particle physics and lead the way to a new level of understanding of the fundamental elements of our Universe.
Supersymmetric particle searches at the Tevatron are reviewed for di-photon signatures in the gauge-mediated supersymmetry breaking (GMSB) interpretation (Section 2.1), tri-lepton signatures (Section 2.2), gluinos and scalar quarks (Section 2.3), scalar tops (Section 2.4), scalar bottoms (Section 2.5) and charged massive particles (Section 2.6). In Section 3, first, LHC results [2] are compared with the Tevatron results, and a brief outlook is given. An overview of the reviewed analyses is given in the Appendix A.
2. Supersymmetric Particle Searches at the Tevatron
In the production of supersymmetric particles (sparticles), the lightest supersymmetric particle (LSP) is stable (if the so-called R-parity is conserved) and escapes detection, leading to missing momentum and missing energy in the recorded events. Examples of such events are shown in Figure 2 [3–5]. The events reported by the DØ and CDF collaborations have jets and large missing energy (for DØ [3,4], large HT is defined as the sum of the transverse jet momenta, and for CDF [5], it is defined as the sum of the transverse jet energies).
Previous combined results from the LEP experiments have set limits on several sparticles with masses close to the kinematic reach. Figure 3 [6] shows the excluded region in the tan β versus LSP mass plane in the Minimal Supersymmetric extentions of the Standard Model (MSSM) and in the Gauge Mediated Symmetry Breaking (GMSB) model. The position in the GMSB parameter space of an intriguing CDF eeγγ candidate from the Tevatron Run-I is indicated (dashed line) [7]. The GMSB interpretation for this event was later excluded at 95% Confidence Level (CL) by the LEP experiments.
2.1. Di-Photon (GMSB Interpretation)
In the GMSB model, chargino-neutralino production has been searched for by the CDF and DØ collaborations. In the GMSB model, the lightest neutralino, , is the Next-to-Lightest Supersymmetric Particle (NLSP) and decays to a gravitino, G̃, and a photon. In this model, the LSP is the gravitino, which is a very light and weakly interacting particle. The production reaction is illustrated in Figure 4. The expected signal can be well separated from the background events [8]. There is no indication of a signal in the early data, and combined limits on the chargino mass from CDF [9] and DØ [8] were given [10]. Large progress has been made in recent years, and the results using 6.3 fb−1 for DØ and 2.6 fb−1 for CDF are shown in Figures 5 [11] and 6 [12]. The experimental sensitivity on the production cross-section at 95% CL is now, below 7 fb. As a result, in the SPS8 (Snowmass Points and Slopes, parameters in scenario 8) benchmark, the DØ collaboration excluded an effective Supersymmetry breaking scale below 124 TeV at 95% CL, as well as the lightest neutralino and lightest chargino masses below 175 GeV and 330 GeV, respectively. A search for a long-lived particle that decays into a pair of photons resulted in a 95% CL lower mass limit of 101 GeV on the lightest neutralino at a 5-ns lifetime [13]. Recently, updated results for searches for massive, long-lived particles that decay to photons in the exclusive photon and missing energy final state have been reported by the CDF collaboration [14]. Figure 7 shows a simulated signal and the experimental measurement. No indication of a signal is observed.
2.2. Tri-Lepton Signatures
The sparticle production with a tri-lepton final state is illustrated in Figure 8. This scenario is called “Supersymmetry golden mode” because of the small expected background level. As an example, Figure 9a shows early results for the μμℓ final state [15–18]. Furthermore, the other tri-lepton final states (eμℓ, eeℓ, eτ, μτ) were studied. Good agreement between data and simulated background for the various final states with tri-lepton signatures was observed. The data does not show any indication of a supersymmetric signal above the background.
With increasing luminosities, the expectations from 2005 for the chargino mass reach were 170, 210, 235 and 265 GeV with one, two, four and 8 fb−1, respectively, for a scenario with a maximal leptonic branching ratio, as shown in Figure 9b [19].
Examples of the updated DØ results with 2.3 fb−1 are shown in Figure 10 [20] and CDF results in Figure 11 [21,22]. With 5.8 fb−1 CDF data, a chargino mass below 168 GeV is excluded at 95% CL in the minimal SUperGRAvity (mSUGRA) model. The CDF collaboration also searched for final states involving tau leptons. Results from these searches are shown in Figures 12 and 13 [23,24].
2.3. Gluinos and Scalar Quarks
Depending on the masses of squarks and gluinos, either , g̃g̃ or q̃g̃ could be produced. For gluinos heavier than squarks, squark pair-production dominates, leading to a signature of two acoplanar jets and missing energy from the escaping neutralino. If the squarks are heavier than the gluinos, gluino pair-production is expected, leading to four or more jets. If both masses are about equal, squark-gluino production is expected. Figure 14 [25] shows a summary of the production cross-sections for different reactions involving supersymmetric particles. The mass range for a cross-section of about 1 pb is largest for scalar quark pair-production. The figure also shows the mass limits from early results with 0.3 fb−1 [3,4] and sensitivity expectations for two, four and 8 fb−1 luminosity per experiment [19].
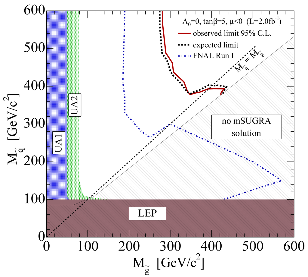
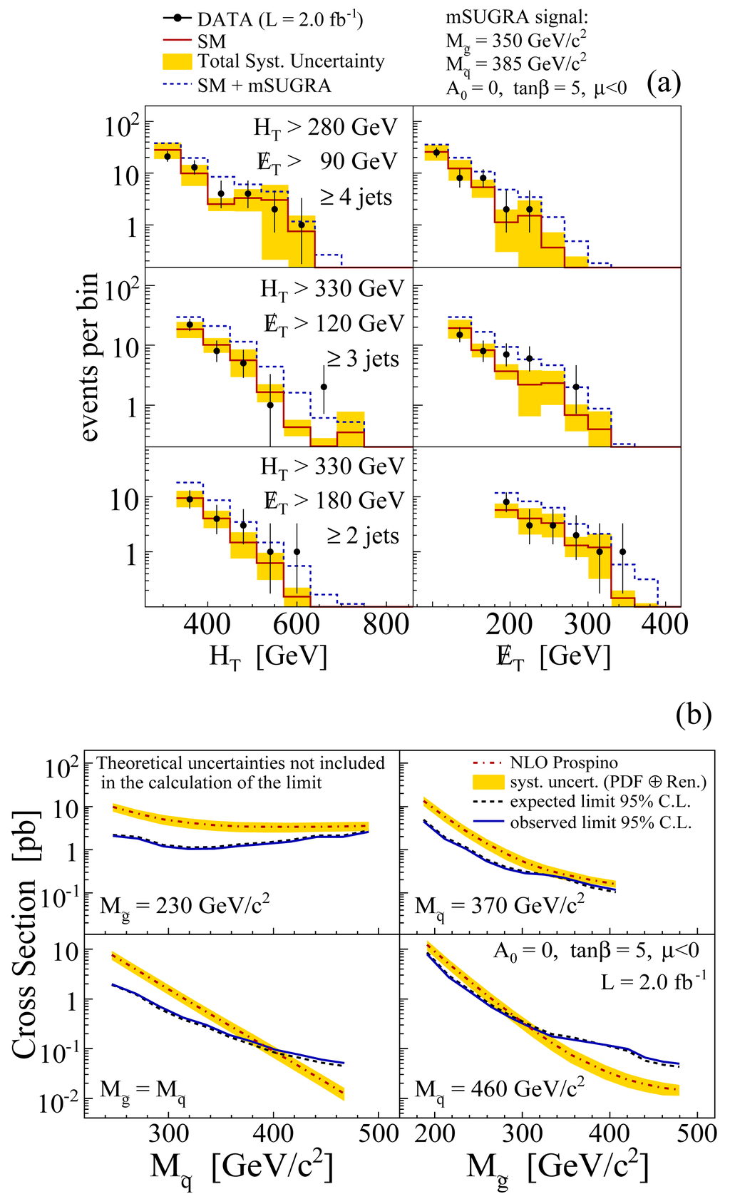
These expectations are compared to the results from analyses with higher data statistics. Results from DØ with 2.1 fb−1 are shown in Figures 1516 and 17 [26], and results from CDF with 2.0 fb−1 are shown in Figures 18 and 19 [27]. For both experiments, the achieved sensitivity for gluino masses is about 300 GeV at 95% CL for large squark masses. This is consistent with the expectations from 2005 (Figure 14b [19]). No indication of a signal is observed, and limits are set in the (mg̃, mq̃) and (m0,m1/2) planes.
2.4. Scalar Tops
Scalar top quarks (stops) decay almost instantly. The most important decay modes in the Tevatron kinematic reach are illustrated in Figure 20. The signature of pair-production of light scalar top quarks is characterized by two c-quark jets and missing energy in the decay mode. In 2005 (0.163 fb−1 analyzed luminosity), the experimental cross-section sensitivity approached the expected signal cross-section (Figure 21a [36,37]) at a stop mass of about 110 GeV.
Higher luminosity was required to reach sensitivity for the scalar top mass of up to about 160 to 180 GeV, as shown in Figure 21b [36,37]. Scalar top results from the DØ collaboration with 1 fb−1 for the mode are shown in Figure 22 [38]. Results from the CDF collaboration with 2.6 fb−1, including the development of the excluded stop-neutralino mass region, are shown in Figures 23 and 24 [39].
As seen in Figure 24b, a minimum stop-neutralino mass difference of at least about 35 GeV is required for sensitivity at 95% CL. This is in contrast to e+e− colliders, like the LEP [6] or the International Linear Collider (ILC) [40,41], which have also sensitivity for small mass differences.
In the first part of this section, the mode was addressed. In the following, the mode reviewed. An early DØ search for the reaction was performed with 0.339 fb−1 data, and the results are shown in Figure 25 [45]. Updated DØ results for the search in the electron plus muon and di-electron final states were released by the DØ collaboration for 1.0 fb−1 data [46]. CDF scalar top quark search results with 1.0 fb−1 for the ee, eμ, and μμ, channels are shown in Figures 26 and 27 [47] for the mode. Recent results from DØ with 5.4 fb−1 are shown in Figures 28 and 29 [48] for the eμ, final state.
The DØ collaboration searched for reactions involving τ leptons ( and ) using 7.3 fb−1. Three neural networks are trained to identify tau decays corresponding to τ± → π±ν(τ1), τ± → π±π0ν(τ2), and τ± → π±π±π∓ (π0)ν (τ3). Two signal points are chosen [mt̃1, mν̃] = (180,60) GeV and (120,80) GeV, labeled “Signal A” and “Signal B” in the following, to illustrate the impact of the selection criteria for large mt̃1 and Δm (Signal A) and for low mt̃ and Δm (Signal B). The selection results are shown in Figure 30 for the higgsino scenario. Limits are shown in Figure 31 for the wino and higgsino scenarios [49].
2.5. Scalar Bottoms
In the kinematic reach under investigation, decays are expected, leading to two b-jets and missing energy in the final state of sbottom pair-production. In order to demonstrate the progress at the Tevatron, first, the early results are shown. The DØ missing ET and mass limits in the sbottom-neutralino plane are shown in Figure 32 [52,53] for 0.31 fb−1. Recent CDF results with 2.65 fb−1 are shown in Figure 33 [54], and results from the DØ collaboration with 5.2 fb−1 are shown in Figure 34 [55]. The signal topology of two b-quarks and missing energy is identical to the one from the Higgs boson search pp̄ → ZH → νν̄bb̄ [56–58].
The increase of the sensitivity and the extension of the excluded region to higher sbottom masses are illustrated. Note that in Figure 34b for a 100 GeV sbottom mass, sensitivity is achieved for a mass difference of about 30 GeV, and for a 150 GeV sbottom for a mass difference of about 50 GeV In contrast to these large values, the LEP e+e− collider achieved sensitivity over the whole kinematic reach for a mass difference close to
2.6. Charged Massive Particles
Many quasi-stable particles could appear in supersymmetric models (In particular, the next to lightest supersymmetric particle can have a long lifetime). Searches for quasi-stable particles were performed and interpretations given in several supersymmetric models. The production of stable scalar tau leptons would result in a signature in the detector similar to a pair of muons, but with mass and speed inconsistent with the production of muons. The speed β = υ/c of these charged massive particles is expected to be significantly different compared to muons, as shown in Figure 35a [59]. In the nearly mass-degenerate neutralino-chargino scenario, which occurs naturally in the anomaly-mediated symmetry breaking (AMSB) model, limits are shown on the chargino mass (Figure 35b). Figure 35c shows an example in the MSSM when the chargino is higgsino-like.
Recent results from the DØ collaboration with 5.2 (6.3) fb−1 luminosity exclude a pair-produced long-lived gaugino-like chargino below 267 (278) GeV and higgsino-like charginos below 217 (244) GeV at 95% CL [60,61], as well as long-lived scalar top quarks with mass below 285 GeV These results are shown in Figures 36 and 37.
The scalar top quarks can have a distinct signature, since they appear in charged or neutral stop hadrons. These hadrons may flip their charge as they pass through the detector. In the simulation, approximately 60% of stop hadrons are charged following initial hadronization, i.e., 84% of the events will have at least one charged stop hadron. Furthermore, scalar top hadrons may flip their charge through nuclear interactions, as they pass through material.
It is assumed that stop hadrons have a probability of 2/3 of being charged after multiple nuclear interactions and anti-stop hadrons, a probability of 1/2 of being charged, consistent with the numbers of possible scalar top and anti-stop hadronic final states. CDF performed a search for long-lived charged massive particles produced in 1.0 fb−1 using a high transverse-momentum pT muon trigger. The search sets an upper bound on the production cross-section. Interpreting this result within the context of a stable scalar top-quark model resulted in a lower limit at 95% CL on the particle mass of 249 GeV, as shown in Figure 38 [62].
3. LHC
In 2005, it was planned that the LHC would operate up to 14 TeV, which is about seven times the center-of-mass energy of the Tevatron. Sensitivity prospects for discovering supersymmetric particles were given for this LHC operation scenario. In the first stage, the LHC operated at 7 TeV center-of-mass energy in 2011, increasing to 8 TeV in 2012. Although the corresponding production cross-sections are reduced compared to the design center-of-mass energy, the increased LHC energy compared to the Tevatron greatly extends the reach to discover new particles.
In the search for supersymmetric particles, the LHC has great potential at 14 TeV for a discovery within a short period of data-taking. In order to compare the long-term expectations and the actual achieved sensitivities, an example from 2005 of the expectations at 14 TeV to discover supersymmetry is shown in Figure 39 [63], assuming the mSUGRA model. A variety of supersymmetric reactions are in reach of the LHC sensitivity. While a signature from supersymmetry cannot escape detection at the LHC, determining the precise model structure is a very challenging task. Further precision measurements would be possible at a linear collider, as reviewed, for example, in [64,65]. It will be particular difficult for the LHC to determine the relevant scalar top parameters in the cosmologically interesting region of stop-neutralino co-annihilation, where a future linear collider can perform more precise measurements [40,41].
The first LHC results allow, in some cases, a direct comparison with the Tevatron results. Two examples of LHC search results are used for this comparison, first, searches with di-photons and, second, searches for scalar quarks.
As reviewed for the Tevatron (Section 2.1), the LHC results (ATLAS (A Toroidal LHC Apparatus) [66]) are also presented for a specific scenario in the framework of the supersymmetric model, the SPS8 benchmark for gauge-mediated supersymmetry breaking. Similar results were obtained by CMS (Compact Muon Solenoid) [67]. Table 1 compares the limits on the excluded effective Supersymmetry breaking scale, the lightest neutralino mass and the lightest chargino mass between the DØ results (6.3 fb−1 data taken at 1.96 TeV) and the ATLAS results (1.07 fb−1 data taken at 7 TeV). It is interesting to note that the LHC superseded the limits with about 1/6 of the luminosity collected at the Tevatron. Figures 5 and 40 show the missing ET distributions, as well as the SPS8 limits for the Tevatron (DØ) and LHC (ATLAS), respectively.
In the following, the Tevatron results for squark-gluino searches are compared with recent LHC results. The LHC results are also placed into the context of the 14 TeV sensitivity predictions (Figure 39). The squark-gluino searches presented here rely on the separation of QCD background and supersymmetric signal events with a multi-jet and missing energy characteristic. In order to achieve this, a so-called razor variable is defined by the CMS collaboration, which gives the name to this analysis [68]. For the ATLAS collaboration, the ratio, , is used for the separation of signal and background, where HT is the scalar sum of the jet momenta [69]. It is a measure of the significance of the ɆT in the event. No indication of a signal was observed. The resulting limits in the (m0, m1/2) plane are shown in Figure 41 in the framework of the mSUGRA model (constrained MSSM, CMSSM). The early result from ATLAS nicely displays the increase in sensitivity compared to the Tevatron results (as given in Figure 17 for DØ with 2.1 fb−1 and in Figure 19 for CDF with 2.0 fb−1). Recently, ATLAS and CMS published updated results with about 20 fb−1 data, each taken at 8 TeV [70,71]. Thus, the lower Tevatron gluino mass limit increased from about 300 GeV (CDF [27], DØ [26]) to a current LHC mass limit above about 1.1 TeV (ATLAS [70], CMS [71]). The LHC has already largely extended the excluded parameter region of supersymmetric models compared to the Tevatron results. This extension is mostly due to the about 3.5–4.0 times higher center-of-mass energy at the LHC. It is also remarkable that first LHC results with 4.7 fb−1 data taken at 7 TeV (2011 running period) excluded a parameter region quite similar to the sensitivity prediction for 1 fb−1 at 14 TeV (Figure 39).
The search for scalar top quarks allows a direct comparison between the Tevatron and the first LHC results. At the Tevatron, a scalar top quark mass was excluded up to about 180 GeV (for example, CDF Figure 24 [39] 2.6 fb−1 at 2 TeV), while at the LHC for small mass values of the lightest supersymmetric particle, scalar top quark mass values up to around 650 GeV are excluded (for example, CMS Figure 42 [72] 19.5 fb−1 at 8 TeV).
4. Conclusions
The search at the Tevatron for supersymmetric particles was characterized as an era of sensitivity increases compared to the previous results at LEP and a preparation phase for the LHC operation. Results from the Tevatron are reviewed in the context of sensitivity improvements over the last, about, eight years (2005 to 2013). The sensitivity predictions from 2005 agree remarkably well with the achieved results using the full Tevatron dataset. The Tevatron results show impressive progress in sensitivity for supersymmetric signatures involving di-photons, tri-leptons, scalar quarks and gluinos, scalar top and scalar bottom quarks and for charged massive particles. These scientific advances are also based on many new and optimized search techniques and methods, which are directly applicable to current searches at the LHC. The first LHC results based on seven and 8 TeV center-of-mass energies are compared with the 14 TeV LHC predictions from 2005; and they agree well, taking into account the reduced operation energy in the first LHC stage. Examples of Tevatron and initial LHC results have been compared, and the LHC has much extended the sensitivity with respect to the Tevatron results from the 100 GeV scale to the terascale. The achieved experimental Tevatron results show that sensitivities can be reliably predicted for long-term planning of future performances at particle colliders. At the Tevatron, a major step towards discovering supersymmetry or ruling it out was made, and the LHC has taken over this exciting field of research.
Acknowledgments
I would like to thank the colleagues from the LEP, Tevatron and LHC communities for fruitful discussions and for giving suggestions for this review. In particular, I would like to express my thanks to Anna Lipniacka and David Toback for their detailed comments on the manuscript.
Conflicts of Interest
The author declares no conflict of interest.
Appendix: Overview of Reviewed Analyses
| Search reaction | Experiment | Final state | (fb−1) | Ref. note spring 2005 | (fb−1) | Ref. note update |
|---|---|---|---|---|---|---|
| CDF + DØ | γγ + ɆT | 0.202 + 0.263 | 0504004 [10] | |||
| DØ | γγ + ɆT | 6.3 | 1008.2133 [11] | |||
| →G̃γW+G̃γZ | CDF | γγ + ɆT | 2.6 | 0910.3606 [12] | ||
| DØ | τℓℓ + ɆT | 0.325 | 4740 [15] | |||
| →ℓ̃+νℓ̃ℓ− | DØ | eτℓ + ɆT | 0.325 | 4741 [16] | ||
| DØ | μτtℓ + ɆT | 0.326 | 4742 [17] | |||
| DØ | ee(eμ)(/μμ)(μτ)ℓ + ɆT | 2.3 | 0901.0646 [20] | |||
| CDF | ee(μμ) + ɆT | 5.8 | 10636 [22] | |||
| CDF | eτ (μτ) + ɆT | 6.0 | 10611 [23] | |||
| DØ | jets+ ɆT | 0.31 | 4737 [3,4] | |||
| DØ | jets+ ɆT | 2.1 | 0712.3805 [26] | |||
| CDF | jets+ ɆT | 2.0 | 0811.2512 [27] | |||
| CDF | c-jets+ ɆT | 0.163 | 7457 [36] | |||
| DØ | c-jets+i ɆT | 1.0 | 0803.2263 [38] | |||
| CDF | c-jets+ ɆT | 2.6 | 9834 [39] | |||
| DØ | bbμμ + ɆT | 0.339 | 4866 [45] | |||
| DØ | bb̄ee(eμμ) + ɆT | 1.0 | 0811.0459 [46] | |||
| → ν̃ℓ+ b ν̃ℓ +b | DØ | bb̄eμ + ɆT | 5.4 | 1009.5950 [48] | ||
| CDF | bb̄ee(eμ)(μμ) + ɆT | 1.0 | 1009.0266 [47] | |||
| DØ | bb̄μτ(ττ) + ɆT | 7.3 | 1202.1978 [49] | |||
| DØ | bb̄ + ɆT | 0.31 | 4832 [52] | |||
| DØ | bb̄ + ɆT | 5.2 | 1005.2222 [55] | |||
| CDF | 2.65 | 1005.3600 [54] | ||||
| DØ | “heavy μμ” | 0.390 | 4746 [59] | |||
| DØ | “heavy μμ” | 5.2 | 1110.3302 [60] | |||
| DØ | “heavy μμ” | 6.3 | 1211.2466 [61] | |||
| CDF | “heavy μμ” | 1.0 | 0902.1266 [62] | |||
References and Notes
- Fermilab Operations. Available online: http://www-bdnew.fnal.gov/operations/lum/lum.html (accessed on 30 December 2013).
- As the LHC results are continuously being updated, for an up-to-date status of the LHC search results for supersymmetric particles, the reader is referred to the webpages of the ATLAS ( https://twiki.cern.ch/twiki/bin/view/AtlasPublic) and CMS ( http://cms.web.cern.ch/org/cms-papers-and-results) collaborations.
- DØ Collaboration. Search for Squarks and Gluinos in the Jet + Missing ET Topology. Available online: http://www-D0.fnal.gov/Run2Physics/WWW/results/prelim/NP/N31/N31.pdf (accessed on 13 March 2014).
- DØ Collaboration. Search for squarks and gluinos in events with jets and missing transverse energy in pp̄ collisions at . Phys. Lett. B 2006, 638, 119–127. [Google Scholar] [CrossRef]
- CDF Collaboration. Large Ht Event. 2005. Available online: http://www-cdf.fnal.gov/physics/exotic/exotic.html (accessed on 30 December 2013). [Google Scholar]
- LEP Supersymmetry Working Group (ALEPH, DELPHI, L3 and OPAL Collaborations). LEPSUSYWG, ALEPH, DELPHI, L3 and OPAL experiments, note LEPSUSYWG/04-07.1. 2004. Available online: http://lepsusy.web.cern.ch (accessed on 30 December 2013). [Google Scholar]
- CDF Collaboration. Search for New Physics in Diphoton Events in pp̄ Collisions at . Phys. Rev. Lett. 1998, 81, 1791–1796. [Google Scholar] [CrossRef]
- DØ Collaboration. Search for Supersymmetry with Gauge-Mediated Breaking in Diphoton Events at DØ. Phys. Rev. Lett. 2005, 94, 041801. [Google Scholar] [CrossRef]
- CDF Collaboration. Search for anomalous production of diphoton events with missing transverse energy at CDF and limits on gauge-mediated supersymmetry-breaking models. Phys. Rev. D 2005, 71, 031104. [Google Scholar] [CrossRef]
- CDF and DØ Collaborations. Combination of CDF and DØ Limits on a Gauge Mediated SUSY Model Using Diphoton and Missing Transverse Energy Channel. Available online: http://arxiv.org/abs/hep-ex/0504004 (accessed on 13 March 2014).
- DØ Collaboration. Search for diphoton events with large missing transverse energy in 6.3 fb−1 of pp̄ collisions at . Phys. Rev. Lett. 2010, 105, 221802. [Google Scholar] [CrossRef]
- CDF Collaboration. Search for Supersymmetry with Gauge-Mediated Breaking in Diphoton Events with Missing Transverse Energy at CDF II. Phys. Rev. Lett. 2010, 104. [Google Scholar] [CrossRef]
- CDF Collaboration. Search for Heavy Long-Lived particles that Decay to Photons at CDF II. Phys. Rev. Lett. 2007, 99. [Google Scholar] [CrossRef]
- CDF Collaboration. The Search For New Physics in the Exclusive γdelayed+ ɆT Signature in pp Collisions at . Available online: http://www-cdf.fnal.gov/physics/exotic/r2a/20121006.delayedphoton/CDF_Exclusive_GMet_PublicNote_2012.pdf (access on 13 March 2014).
- DØ Collaboration. Search for the Associated Production of Chargino and Neutralino in Final States with Three Leptons involving τ Leptons. Avaiable online: http://www-d0.fnal.gov/Run2Physics/WWW/results/prelim/NP/N30/N30.pdf (accessed on 13 March 2014).
- DØ Collaboration. Search for the Associated Production of Charginos and Neutralinos in the e+τ(had)+ℓ Final State. Available online: http://www-d0.fnal.gov/Run2Physics/WWW/results/prelim/NP/N28/N28.pdf (accessed on 13 March 2014).
- DØ Collaboration. Search for the Associated Production of Chargino and Neutralino in the the μ+τ(had)+ℓ Final State. Available online: http://www-d0.fnal.gov/Run2Physics/WWW/results/prelim/NP/N29/N29.pdf (accessed on 13 March 2014).
- DØ Collaboration. Search for Supersymmetry via Associated Production of Charginos and Neutralinos in Final States with Three Leptons. Phys. Rev. Lett. 2005, 95, 151805. [Google Scholar] [CrossRef]
- DØ Collaboration. Tri-Lepton Expectations. 2005. Available online: http://www.fnal.gov/directorate/program_planning/studies/projections09_06_05.htm (accessed on 30 December 2013). [Google Scholar]
- DØ Collaboration. Search for associated production of charginos and neutralinos in the trilepton final state using 2.3 ft−1 of data. Phys. Lett. B 2009, 680, 34–43. [Google Scholar] [CrossRef]
- CDF Collaboration. Search for Supersymmetry in pp̄ Collisions at Using the Trilepton Signature of Chargino-Neutralino Production. Phys. Rev. Lett. 2008, 101, 251801. [Google Scholar] [CrossRef]
- CDF Collaboration. Search for trilepton new physics and chargino-neutralino production at the Collider Detector at Fermilab. Available online: http://www-cdf.fnal.gov/physics/exotic/r2a/20110826.trilepton_6fb/cdfl0636.pdf (accessed on 13 March 2014).
- CDF Collaboration. Search for Chargino-Neutralino Associated Production in Dilepton Final States with Tau Leptons. Available online: http://www-cdf.fnal.gov/physics/exotic/r2a/20110809_sstau/Home_riles/cdfl0611_susy_dilepton_tau.pdf (accessed on 13 March 2014).
- CDF Collaboration. Search for Supersymmetry with Like-Sign Lepton-Tau Events at CDF. Phys. Rev. Lett. 2013, 110, 201802. [Google Scholar] [CrossRef]
- Barger, V.; Wagner, C.E.M.; et al. Report of the SUGRA Working Group for Run II of the Tevatron. Available online: http://arxiv.org/abs/hep-ph/0003154 (accessed on 13 March 2014).
- DØ Collaboration. Search for squarks and gluinos in events with jets and missing transverse energy using 2.1 fb−1of pp collision data at . Phys. Lett. 2008, 660, 449–457. [Google Scholar] [CrossRef]
- CDF Collaboration. Inclusive Search for Squark and Gluino Production in pp̄ Collisions at . Phys. Rev. Lett. 2009, 102, 121801. [Google Scholar] [CrossRef]
- UA1 Collaboration. Events with Large Missing Transverse Energy at the CERN Collider: III. Mass Limits on Supersymmetric Particles. Phys. Lett. B 1987, 198, 261–270. [Google Scholar] [CrossRef]
- UA2 Collaboration. A search for squark and gluino production at the CERN pp Collider. Phys. Lett. B 1990, 235, 363–372. [Google Scholar] [CrossRef]
- DØ Collaboration. Search for Squarks and Gluinos in pp̄ Collisions at . Phys. Rev. Lett. 1995, 75, 618–623. [Google Scholar] [CrossRef]
- DØ Collaboration. Search for Squarks and Gluinos in Events Containing Jets and a Large Imbalance in Transverse Energy. Phys. Rev. Lett. 1999, 83, 4937–4942. [Google Scholar] [CrossRef]
- CDF Collaboration. Search for Gluinos and Scalar Quarks in pp̄ Collisions at Using the Missing Energy plus Multijets Signature. Phys. Rev. Lett. 2002, 88, 041801. [Google Scholar] [CrossRef]
- ALEPH Collaboration. Search for scalar quarks in e+e− collisions at up to 209 GeV. Phys. Lett. B 2002, 537, 5–20. [Google Scholar] [CrossRef]
- L3 Collaboration. Search for scalar leptons and scalar quarks at LEP. Phys. Lett. B 2004, 580, 37–49. [Google Scholar] [CrossRef]
- LEP SUSY Working Group (ALEPH, DELPHI, L3 and OPAL Collaborations). Interpretation of the Results in Minimal SUGRA. 2002. Note LEPSUSYWG/02-06.2. Available online: http://lepsusy.web.cern.ch (accessed on 30 December 2013). [Google Scholar]
- CDF Collaboration. Search for Direct Pair Production of Scalar Top Quark in pp̄ Collisions at 1.96 TeV. Available online: http://www-cdf.fnal.gov/physics/exotic/r2a/20041028.stop_ccmet/cdf7457_stop_c_chi01_pub.pdf (accessed on 13 March 2014).
- Tevatron Run II Physics Projections. The Case for Run-II: Submission to the Particle Physics Project Prioritization Panel. The CDF and DØ Experiments. 2005. Available online: http://www-cdf.fnal.gov/physics/projections (accessed on 30 December 2013). [Google Scholar]
- DØ Collaboration. Search for scalar top quarks in the acoplanar charm jets and missing transverse energy final state in pp collisions at . Phys. Lett. B 2008, 665, 1–8. [Google Scholar] [CrossRef]
- CDF Collaboration. Search for scalar top decaying into c+χ̃0in the MET+jets sample. Available online: www-cdf.fnal.gov/physics/exotic/r2a/20090709.stop_charm/public_note/publicnote_stop_jul09_v02.ps (accessed on 13 March 2014).
- Carena, M.; Finch, A.; Freitas, A.; Milsténe, C.; Nowak, H.; Sopczak, A. Analyzing the Scalar Top Co-Annihilation Region at the ILC. Phys. Rev. D 2005, 72, 115008. [Google Scholar] [CrossRef]
- Freitas, A.; Milsténe, C.; Schmitt, M.; Sopczak, A. A method for the precision mass measurement of the stop quark at the International Linear Collider. JHEP 2008, 09, 076. [Google Scholar] [CrossRef]
- LEP SUSY Working Group (ALEPH, DELPHI, L3 and OPAL Collaborations). Combined LEP Stop and Sbottom Results 183-208 GeV. Note LEPSUSYWG/04-02.1. 2004. Available online: http://lepsusy.web.cern.ch (accessed on 30 December 2013). [Google Scholar]
- CDF Collaboration. Search for Direct Pair Production of Supersymmetric Top and Supersymmetric Bottom Quarks in pp̄ Collisions at . Phys. Rev. D 2007, 76, 072010. [Google Scholar] [CrossRef]
- DØ Collaboration. Search for the pair production of scalar top quarks in the acoplanar charm jet topology in pp̄ collisions at . Phys. Lett. B 2007, 645, 119–127. [Google Scholar] [CrossRef]
- DØ Collaboration. Search of the lightest scalar top decays at DØ. Available online: http://www-d0.fnal.gov/Run2PhysicsAVWW/results/prelim/NP/N35/N35.pdf (accessed on 13 March 2014).
- DØ Collaboration. Search for the lightest scalar top quark in events with two leptons in pp collisions at . Phys. Lett. B 2009, 675, 289–296. [Google Scholar] [CrossRef]
- CDF Collaboration. Search for the Supersymmetric partner of the top quark in pp̄ collisions at . Phys. Rev. D 82. [CrossRef]
- DØ Collaboration. Search for pair production of the scalar top quark in the electron+muon final state. Phys. Lett. B 2011, 696, 321–327. [Google Scholar] [CrossRef]
- DØ Collaboration. Search for pair production of the scalar top quark in muon+tau final states. Phys. Lett. B 2012, 710, 578–586. [Google Scholar] [CrossRef]
- DØ Collaboration. Search for 3- and 4-body decays of the scalar top quark in pp̄ collisions at . Phys. Lett. B 2004, 581, 147–155. [Google Scholar] [CrossRef]
- Nakamura, K. Review of particle physics. J. Phys. G 2010, 37, 075021. [Google Scholar] [CrossRef]
- DØ Collaboration. Search for Direct Production of Scalar Bottom Quarks with the DØ Detector in pp̄ Collisions at . Available online: http://www-d0.fnal.gov/Run2Physics/WWW/results/prelim/NP/N34/N34.pdf (accessed on 13 March 2014).
- DØ Collaboration. Search for pair production of scalar bottom quarks in pp̄ collisions at . Phys. Rev. Lett. 2006, 97, 171806. [Google Scholar] [CrossRef]
- CDF Collaboration. Search for the Production of Scalar Bottom Quarks in pp̄ collisions at . Phys. Rev. Lett. 2010, 105, 081802. [Google Scholar] [CrossRef]
- DØ Collaboration. Search for scalar bottom quarks and third-generation leptoquarks in pp̄ collisions at . Phys. Lett. B 2010, 693, 95–101. [Google Scholar] [CrossRef]
- DØ Collaboration. Search for the standard-model Higgs boson in the ZH → νν̄bb̄ channel in 6.4 ft−1of pp collisions at . Available online: http://www-d0.fnal.gov/Run2PhysicsAVWW/results/prelim/fflGGS/H90/H90.pdf (accessed on 13 March 2014).
- DØ Collaboration. Updated search for the standard model Higgs boson in the ZH → νν̄bb̄ channel in 9.5 ft−1 of pp̄ collisions at . Available online: http://www-d0.fnal.gov/Run2PhysicsAVWW/results/prelim/HIGGS/H133/H133.pdf (accessed on 13 March 2014).
- DØ Collaboration. Search for the standard model Higgs boson in the ZH → νν̄bb̄ channel in 9.5 ft−1 of pp̄ collisions at . Phys. Lett. B 2012, 716, 285–293. [Google Scholar] [CrossRef]
- DØ Collaboration. A Search for Charged Massive Stable Particles at DØ. Available online: http://www-d0.fnal.gov/Run2PhysicsAVWW/results/prelim/NP/N27/N27.pdf (accessed on 13 March 2014).
- DØ Collaboration. A Search for charged massive long-lived particles. Phys. Rev. Lett. 2012, 108, 121802. [Google Scholar] [CrossRef]
- DØ Collaboration. Search for charged massive long-lived particles at . Phys. Rev. D 2013, 87, 052011. [Google Scholar] [CrossRef]
- CDF Collaboration. Search for Long-Lived Massive Charged Particles in 1.96 TeV pp̄ Collisions. Phys. Rev. Lett. 2009, 103, 021802. [Google Scholar] [CrossRef]
- Paige, F.E. SUSY signatures at LHC. In Czech. J. Phys., Proceedings of the 10th International Conference on Supersymmety and Unification of Fundamental Interactions (SUSY'02), Hamburg, Germany, 17–23 June 2002; 2005; 55, pp. B185–B196. [Google Scholar]
- Sopczak, A. Exploring Supersymmetry at a Future Global e+e−Linear Collider. Proceedings of the Talk at the 11th International Conference on Supersymmety and Unification of Fundamental Interactions (SUSY'03), Supersymmetry in the Desert, University of Arizona, Tucson, AZ, USA, 5–10 June 2003; Available online: http://arxiv.org/abs/hep-ph/0403087 (accessed on 13 March 2014).
- Nojiri, M.M.; Plehn, T.; Polesello, G. Physics Beyond the Standard Model: Supersymmetry. Available online: http://arxiv.org/abs/0802.3672 (accessed on 13 March 2014).
- ATLAS Collaboration. Search for Diphoton Events with Large Missing Transverse Momentum in 1 fb−1 of 7 TeV proton-proton collision data with the ATLAS detector. Phys. Lett. B 2012, 710, 519–537. [Google Scholar] [CrossRef]
- CMS Collaboration. Search for Supersymmetry in Events with Photons and Missing Transverse Energy. CMS-PAS-SUS-12-001, 2012. JHEP 2013, 03, 111. [Google Scholar] [CrossRef]
- CMS Collaboration. Inclusive Search for Supersymmetry Using Razor Variables in pp Collisions at 7 TeV. Phys. Rev. Lett. 2013, 111, 081802. [Google Scholar] [CrossRef]
- ATLAS Collaboration. Search for New Phenomena in Final States with Large Jet Multiplicities and Missing Transverse Momentum using pp Collisions with the ATLAS Detector. JHEP 2011, 11, 099. [Google Scholar] [CrossRef]
- ATLAS Collaboration. Search for new phenomena in final states with large jet multiplicities and missing transverse momentum at proton-proton collisions using the ATLAS experiment. JHEP 2013, 10, 130. [Google Scholar] [CrossRef]
- CMS Collaboration. Search for SUSY using razor variables in events with b-jets in pp collisions at 8 TeV. Available online: https://cds.cern.ch/record/1596446/files/SUS-13-004-pas.pdf (accessed on 13 March 2014).
- CMS Collaboration. Search for top-squark pair production in the single lepton final state in pp collisions at 8 TeV. Eur. Phys. J. C 2013, 73, 2677. [Google Scholar] [CrossRef]










































| Accelerator (Experiment) | Λ (GeV) | (GeV) | (GeV) |
|---|---|---|---|
| Tevatron (DØ) | 124 | 175 | 330 |
| LHC (ATLAS) | 145 | 205 | 396 |
© 2014 by the authors; licensee MDPI, Basel, Switzerland. This article is an open access article distributed under the terms and conditions of the Creative Commons Attribution license ( http://creativecommons.org/licenses/by/3.0/).
Share and Cite
Sopczak, A. The Hunt for Supersymmetry at the Tevatron. Symmetry 2014, 6, 111-147. https://doi.org/10.3390/sym6010111
Sopczak A. The Hunt for Supersymmetry at the Tevatron. Symmetry. 2014; 6(1):111-147. https://doi.org/10.3390/sym6010111
Chicago/Turabian StyleSopczak, André. 2014. "The Hunt for Supersymmetry at the Tevatron" Symmetry 6, no. 1: 111-147. https://doi.org/10.3390/sym6010111
APA StyleSopczak, A. (2014). The Hunt for Supersymmetry at the Tevatron. Symmetry, 6(1), 111-147. https://doi.org/10.3390/sym6010111