Next Article in Journal
DecompPatchTST: A Hybrid Framework Fusing Learnable Polynomials and Patch Transformers for Time-Series Forecasting
Previous Article in Journal
A Generalized Bi-Quadratic–Drygas Functional System in Non-Archimedean Normed Spaces over p-Adic Numbers
 
 
Font Type:
Arial Georgia Verdana
Font Size:
Aa Aa Aa
Line Spacing:
Column Width:
Background:
Article

Doping Strategies in Murunskite

1
Department of Physics, Faculty of Science, University of Zagreb, Bijenička Cesta 32, 10000 Zagreb, Croatia
2
Institute of Solid State Physics, TU Wien, Wiedner Hauptstraße 8-10/E138, 1040 Vienna, Austria
3
Institute for Quantum Matter, William H. Miller III Department of Physics and Astronomy, Johns Hopkins University, 3400 N Charles St., Baltimore, MD 21218, USA
4
Institute of Physics, Bijenička Cesta 46, 10000 Zagreb, Croatia
5
Faculty of Physics and Applied Computer Science, AGH University of Kraków, Al. Mickiewicza 30, 30-059 Kraków, Poland
6
Institute of Nuclear Physics Polish Academy of Sciences, ul. Radzikowskiego 152, 31-342 Kraków, Poland
7
Vinča Institute of Nuclear Sciences, National Institute of the Republic of Serbia, University of Belgrade, Mike Petrovića Alasa 12–14, Vinča, 11351 Belgrade, Serbia
8
Ruđer Bošković Institute, Bijenička Cesta 54, 10000 Zagreb, Croatia
9
Stavropoulos Center for Complex Quantum Matter, Department of Physics and Astronomy, University of Notre Dame, Notre Dame, IN 46556, USA
*
Authors to whom correspondence should be addressed.
These authors contributed equally to this work.
Symmetry 2026, 18(3), 515; https://doi.org/10.3390/sym18030515
Submission received: 22 January 2026 / Revised: 25 February 2026 / Accepted: 5 March 2026 / Published: 17 March 2026
(This article belongs to the Special Issue Symmetry and Textured Ceramics)

Abstract

Murunskite (K2FeCu3S4) is a layered sulfosalt chalcogenide that occupies a unique position between the cuprate and iron pnictide families: it shares electronic characteristics with the former and adopts the crystal structure of the latter. Despite a completely random distribution of magnetic Fe within a nonmagnetic Cu matrix, murunskite exhibits a well-defined quarter-zone antiferromagnetic transition at 97 K and complete orbital order below 30 K. These findings reveal the unexpected emergence of long-range order in a high-entropy-like environment. This inherent robustness to site disorder in a layered structure makes murunskite a paradigmatic system for further studies. Here, we investigate doping strategies in murunskite to assess how its electronic and magnetic properties can be tuned. Using melt-growth techniques, we achieve substitutions at the magnetic metal site (Fe), spacer cation (K), and sulfur ligand (S), which significantly influence transport and magnetic properties. In addition, we use ionic-liquid gating on the parent compound and observe a gate-dependent suppression of resistivity, confirming the potential for electrostatic control over transport. Our results demonstrate the chemical and electronic plasticity of murunskite, offering a valuable platform for co-engineering disorder, magnetism, and transport, and opening avenues to explore quantum phenomena in correlated and high-entropy materials.

1. Introduction

High-temperature superconductivity and magnetism have driven solid-state physics for several decades. Since the discovery of cuprate superconductors [1], followed by the iron pnictides [2], these two families of materials have been investigated in great depth, while the recently discovered nickelates [3] have opened a third, still-emerging platform for unconventional high-temperature superconductivity. In parallel, magnetism has provided a unifying framework for understanding correlated electrons, quantum criticality, and emergent quasiparticles, underpinning advances in spintronics and topological materials [4,5,6,7]. The interplay between superconductivity and magnetism continues to shape fundamental questions about pairing mechanisms, competing orders, and tunable quantum phases, motivating the search for new materials that bridge these domains.
Murunskite (K2FeCu3S4) has recently emerged as a promising platform for the study of unconventional electronic phases [8]. Initial interest was sparked by its structural and electronic positioning between cuprates and iron-based pnictides [9]. Like the parent compounds of cuprates, murunskite is a semiconductor with a + + (quarter-zone) type of antiferromagnetic (AFM) order below 100 K; on the other hand, it is isostructural to metallic pnictides such as KFe2As2, with a ThCr2Si2-type tetragonal lattice. This dual nature designates murunskite as a bridging compound that offers unique perspectives on the interplay between structural motifs and electronic functionality, with superconductivity as the most exciting prospect. All the strangeness of cuprates (which includes the pseudogap phenomenon and the superconducting mechanism) is tied to exactly one (charge-transfer) localized hole per CuO2 unit that is metallized upon doping [10,11,12,13,14], induced by the changing character of the Cu-O ligand bond, from ionic to covalent [15]. In pnictides, by contrast, the itinerant carriers reside in Fe 3d t2g orbitals with relatively inert ligand participation [8,16]. However, in murunskite, the sulfur-ligand 3p orbitals are partially open even in the insulating parent phase, offering a rare opportunity to explore ligand-based metallization routes outside conventional oxygen- and arsenic-based systems [8].
Further interest has been spurred by a recent finding that the antiferromagnetic order in murunskite was of a completely unexpected nature, opening a fresh avenue in the study of magnetism. It arises from complex interactions among one quarter of Fe ions randomly distributed across three quarters of closed-shell Cu+ sites. Despite the real-space randomness, neutron and Mössbauer spectroscopy reveal the emergence of nearly commensurate AFM order characterized by multiple propagation vectors and an apparent orbital transition of Fe from a mixed-valence state (Fe2+/Fe3+) to a homogeneous, magnetically ordered state [17]. This evokes intriguing parallels to high-entropy alloys (HEAs), since in both cases, properties typically associated with order, such as band-structure-driven conductivity, emerge from substantial site disorder [18,19,20,21]. In murunskite, however, order first appears in the magnetic sector; hence the term “high-entropy magnetism” [17]. This intrinsic robustness against disorder, together with the possibility of cleaving the material and potentially isolating thin flakes, also makes it a promising candidate for quantum-device applications. These discoveries suggest that sulfur ligands not only mediate magnetic exchange but also actively facilitate electronic phase transitions, pointing toward novel functionalization mechanisms that are distinct from, or combine elements of, those present in cuprates and pnictides [8].
When considering such intriguing properties observed in an entirely novel compound, the next logical question is how flexible the compound is and to what extent it can be modified so that those properties can be tuned. One compelling route toward functionalization involves metallization, either by external pressure or chemical substitution. Prior work has shown that applying hydrostatic pressure to murunskite rapidly suppresses the semiconducting gap, as observed via optical transmittance and resistivity measurements under pressure in a diamond-anvil cell [9]. These results suggest that the system is poised near a metal–insulator transition, potentially accessible through various doping channels.
Murunskite has so far been obtained only as a high-quality single crystal of the parent compound, so no derivatives have yet been explored. However, there is a lesson to be learned from the late 1990s, when copper-containing quaternary sulfides, AMx Cu 2 x S2, were discovered. At that time, the primary synthesis method involved high-temperature (850–950 °C) sulfurization of stoichiometric mixtures of alkali/alkaline-earth carbonates and transition-metal oxides under flowing CS2/Ar. This approach enabled continuous oxygen–sulfur exchange and produced quaternary sulfide powders within hours. The resulting materials were typically reported to exhibit spin-glass-like magnetic behavior. However, as we recently demonstrated in the case of murunskite, high-quality single crystals are essential for a comprehensive understanding of these complex systems. The powder samples obtained via sulfurization were characterized as spin-glass systems, while hydrothermally synthesized polycrystalline samples (crystallite sizes of 100–300 nm) were characterized as spin-glass or superparamagnetic systems [22,23]. In contrast, our detailed study of murunskite single crystals revealed clear long-range antiferromagnetic ordering with a complex evolution of the magnetic response with temperature [17].
In this work, we first establish systematic chemical control over both magnetic and charge responses in murunskite by combining chemical substitution with site-specific doping. We implement partial and complete substitutions at the magnetic metal site (Fe), the spacer cation (K), and the chalcogen ligand (S). Each site substitution modulates metal–ligand hybridization and local valence, enabling targeted tuning of structural, electronic, and magnetic properties. Next, to adjust carrier density further and probe possible field-induced phase transitions, we employ ionic liquid gating [24], which provides electrostatic doping via an electric double layer at the sample surface and can, in principle, induce metallicity or even superconductivity without introducing structural disorder.
Our overarching goal is to chart the doping phase space of murunskite and identify electronic pathways from the insulating magnetic state to metallic or potentially superconducting regimes, capitalizing on its position at the intersection of cuprate- and pnictide-like functionality.

2. Results

2.1. Crystal Structure and X-Ray Diffraction

The crystal structure of the parent compound, murunskite K2FeCu3S4, and a graphical overview of the substitution and doping directions are shown in Figure 1. To probe the structural flexibility of the system, chemical substitution was carried out on all three crystallographic positions. The sulfur ligand was replaced with tellurium, the largest chalcogen. Additionally, isovalent substitution of the potassium site with larger alkali metals and aliovalent substitution with barium were carried out. We use the term doping interchangeably with aliovalent substitution to emphasize, where appropriate, the resulting change in electron count relative to the parent compound. Since one of our main goals was to explore the evolution of magnetic properties in the dilute magnetic regime relative to the parent compound, the targeted compositions were limited to 25% magnetic ions and 75% copper ions on the transition-metal site, and only the 3D transition metals from manganese to nickel were investigated.
Single crystals of the parent compound, murunskite, were successfully grown using three methods. Compounds with cobalt, manganese, and barium substitutions were obtained using growth from the melt (Routes A and B, see Experimental details), while the tellurium-substituted compounds were grown by self-flux growth (Route C, see Experimental details). Interestingly, nickel did not enter the structure via any of the synthesis routes, but instead formed the reported isostructural KNi2S2 compound [25].
Single crystals were mechanically extracted from the ceramic bulk. In synthesis routes A and B, the typical size was 2 × 2 × 1 mm. In contrast, single crystals grown by chalcogenide flux growth (route C) formed as thin flakes, comparable in size in the ab plane but with significantly reduced thickness in the c-direction ( 0.05 mm). The colors of the single crystals ranged from dark blue to black. The primary impurity phases in the bulk product, when present, were KCu4S3 in sulfur-based compounds (marked by stars in the powder diffraction pattern of the fully substituted Co compound K2.06Co1.43Cu2.46S4.05), elemental copper in the manganese compound, and K2Cu5Te5 in tellurium-based compounds. However, intralayer mixing was not observed; therefore, impurity phases could be easily separated by color and morphology, as they crystallize in different crystal structures.
The crystal structure and phase purity of the compounds were analyzed by powder X-ray diffraction (PXRD) and are presented in Figure 2a,b. Rietveld refinement was performed using the FullProf suite [26], and the results are provided in the SI (Figures S1 and S2).
The compositions reported in Figure 2c were determined using a scanning electron microscope equipped with energy-dispersive X-ray spectroscopy (SEM-EDX). Cleaved non-charging samples are ideal for SEM-EDX measurements, and the measurement error is estimated at one atomic percentage (1 at%). The compositions in Figure 2c represent the average of at least three measurements taken at different positions on each crystal. The standard deviation for each element is within the measurement error. The largest deviation from the ideal A2FeCu3Te4 composition (A = K, Rb, Cs) was observed in the tellurium-based compounds, likely due to higher oxygen affinity combined with the small sample thickness; it appears as impurity phases in PXRD and as a peak in the EDX spectrum around 0.5 keV (Figure S3).

2.2. Resistivity and Magnetic Susceptibility

Building on previous reports on the transport properties of the parent compound K2FeCu3S4 [9], we investigated the temperature-dependent resistivity of its chemically substituted analogs to understand how cationic and anionic substitutions influence the compounds’ functionality. All measurements were performed using the standard four-probe technique over the temperature range of 2–300 K on a Quantum Design Physical Property Measurement System (PPMS), and magnetization was measured using a Quantum Design MPMS SQUID magnetometer.
Substituting Fe with Co leads to a systematic reduction in resistivity across the solid-solution series K2 Fe 1 x Co x Cu3S4 as shown in Figure 3a. The parent compound K2FeCu3S4 is the most insulating, with electrical resistivity exceeding 106 Ω·cm at room temperature, consistent with previous reports on its semiconducting nature and strong electronic correlations [17]. Low-temperature data are unavailable for the most resistive samples because, upon cooling, their resistivity exceeds the PPMS measurement range in the four-probe configuration used in this study. As Co content increases, the room-temperature resistivity drops by several orders of magnitude, approaching, but not attaining in the conventional sense, metallic or degenerate-semiconductor behavior in the fully Co-substituted sample. Finally, we note that the apparent drops in resistivity observed for K2Fe0.8Co0.2Cu2.8S4 are artifacts, most likely, as is frequently encountered in such measurements, caused by incomplete curing or mechanical instability of the electrical contacts during cooling to low temperatures.
Isovalent substitution of Fe with Mn also results in a pronounced suppression of resistivity (Figure 3c). K2Mn1.8Cu2.2S4 displays significantly lower resistivity than its Fe-based counterpart, but higher than the Co-based compound.
In the context of the novel and unconventional magnetism observed in the parent murunskite compound, notable changes in magnetic behavior are evident in the in-plane magnetic susceptibility measurements (zero-field-cooled and field-cooled) shown in Figure 3b. A gradual evolution from antiferromagnetic behavior, with the Néel temperature ( T N ) of 97 K in the parent compound, to ferromagnetic behavior with a Curie temperature of 120 K is observed across the Fe–Co solid-solution series. An even more pronounced change appears in the out-of-plane measurements, shown for each individual Co- and Mn-containing compound in the Supplementary Information (Figure S4). Upon substituting 20% of Fe with Co, the first ferromagnetic transition emerges at approximately 60 K. At 50% Fe-to-Co substitution, a second transition appears at 120 K in addition to the 60 K transition. In the fully Co-substituted compound, only the higher-temperature 120 K transition remains.
In contrast to Fe and Co, which exhibit pronounced anisotropy between in-plane and out-of-plane magnetic susceptibility, the manganese-substituted samples show identical behavior in both directions. The high-temperature paramagnetic response is followed by a splitting of the ZFC and FC curves upon cooling below 25 K, indicative of spin-glass or superparamagnetic behavior.

2.3. Ionic Liquid Gating

To investigate the electrostatic tunability of charge transport in K2FeCu3S4, we employed ionic liquid gating using a soft ion-gel dielectric. The gel was prepared according to previously reported procedures [24], employing a polymer–ionic liquid composite to produce a mechanically stable, high-capacitance interface. The gel sheet was applied directly onto the sample surface, and a gate voltage was applied via a gold electrode embedded in the gel, enabling the formation of an EDL at the gel–sample interface (Figure 4).
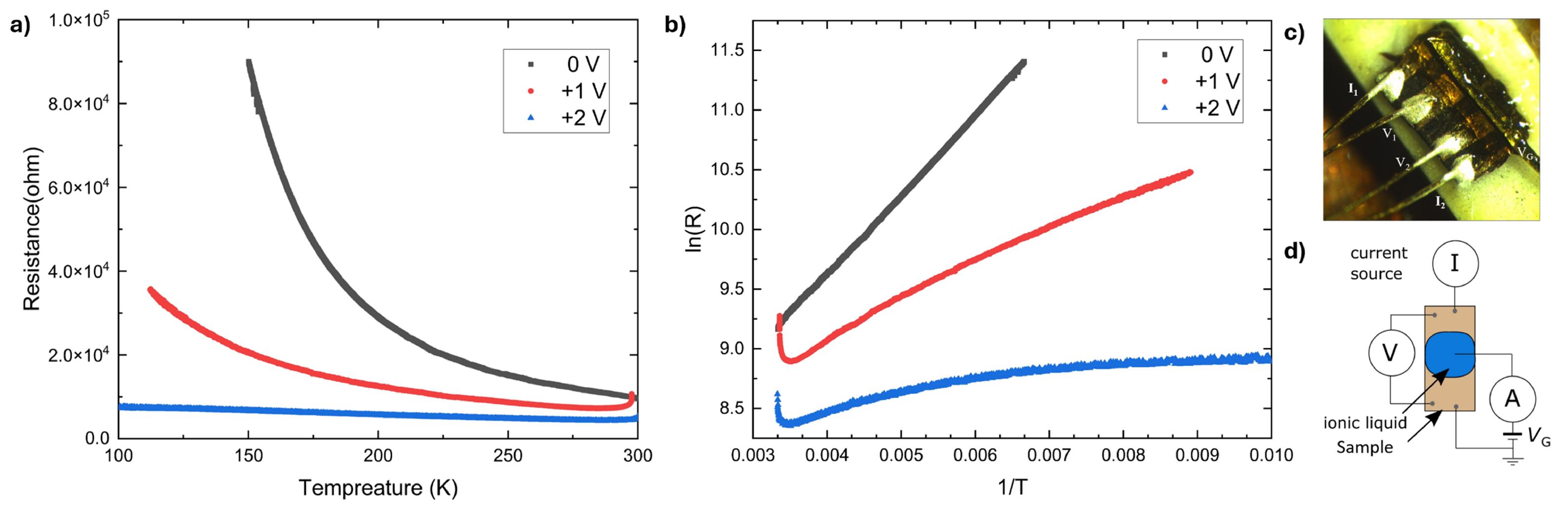
Temperature-dependent electrical resistivity measurements were performed under applied gate voltages of + 1 V and + 2 V on the same sample. As shown in Figure 4a, the resistance decreases systematically with increasing positive gate voltage across the entire temperature range. At 150 K, the resistance changes from ∼80 kΩ at 0 V to ∼20 kΩ at + 1 V and further to ∼6.5 kΩ at + 2 V. This pronounced resistance suppression indicates enhanced n-type (electron) accumulation at the surface, consistent with electrostatic doping via electric double-layer (EDL) formation. Conversely, applying a gate bias of 2 V increases the resistivity, as expected from reduced electron density (Figure S6).
These results demonstrate that K2FeCu3S4 is highly responsive to electrostatic tuning, with ionic-liquid gating providing a non-invasive, effective means of modulating its electronic transport. Due to the sample’s sensitivity and ionic-gel degradation at higher gate voltages, full metallization was not achieved. These findings complement chemical doping studies and underscore the promise of murunskite as a gate-tunable correlated material near the metal–insulator transition.

3. Discussion

3.1. Synthesis

All three synthesis pathways, detailed in Methods, successfully produced single crystals of the extended murunskite family. The two methods (A and B) of growing from the melt yielded comparable results, as expected. The synthesis of sulfide precursors in Route A had a different outcome than in Route B only for the iron compounds. There, it produced a mixture of ternary sulfides (chalcopyrite CuFeS2 and bornite Cu5FeS4). In contrast, in cobalt and manganese compounds, Route A yielded simple binary metal sulfides, the same as the precursors in Route B.
The subsequent reaction with potassium also had similar outcomes, with small differences. The in situ exothermic reaction of sulfide and potassium in Route A allows for more thorough homogenization of the mixture without the need for additional steps. The product is sufficiently stable to be loaded in carbon-coated quartz tubes without the need for alumina crucibles. On the other hand, the pre-reaction of potassium with sulfide in Route B provides a more stable and easily reproducible synthesis pathway.
In contrast, Route C is a one-step synthesis method that is easily reproducible and minimizes the risk of introducing impurities. It also avoids the need to handle reactive alkali metals, substituting them with stable carbonates. The excess chalcogen serves as a self-flux, producing significantly thinner samples. In addition, these samples had corrugated and sometimes porous surfaces, as visible in the SEM images of the parent compound shown in the SI (Figure S6). The remaining flux must be washed away or mechanically removed. Route C has proved very useful in producing large quantities of single-phase product in sulfur-based murunskite members with composition and properties comparable to crystals produced by Routes A and B.
Single crystals of tellurium-based compounds can be obtained by all three methods. However, crystals produced by Routes A and B were significantly smaller than their sulfur analogues, typically up to 0.3 × 0.3 mm. Route C yields larger thin flakes of tellurium-based crystals, but these exhibit significantly higher affinity toward oxygen, which leads to the appearance of oxide impurities observed in PXRD and EDX, hindering reliable measurement of physical properties. However, the presence of the I4/mmm structure with expected shifts to lower 2 θ values with increasing alkali-metal ionic radius shows successful substitution at the spacer position, similar to reported substitutions in sulfur-based compounds [23,27]. Further optimization of Route A and Route B synthesis parameters for tellurium-based compounds is in progress.
In summary, growth from the melt can produce large single crystals in the extended murunskite family, while the chalcogen flux method is a simple one-step synthesis that can be used to produce large quantities of single-phase material for specific measurements like neutron powder diffraction and preparation of sputtering targets for thin film synthesis.

3.2. Structure and Compositional Stability

All compounds obtained and studied here were grown as single crystals. The crystals were subsequently ground and characterized by PXRD. All measurements confirmed the I 4 / m m m space group. Only in the case of the fully substituted Co compound was a minor spurious phase observed, which we attribute to the presence of KCu 4 S 3 . In this ThCr2Si2-type structure, spacer atoms are ionically bonded to the chalcogen within (Cu,M)X2 layers formed by edge-sharing MS4 tetrahedra. Additionally, each M atom lies at the center of a square of M congeners.
A systematic shift in diffraction peak positions and corresponding lattice parameters is observed for the various substitutions, as shown in Figure 2. The most pronounced change comes from chalcogen substitution of S with Te due to the largest size difference. Targeted tuning of interatomic distances without altering the total electron count can be achieved through alkali-metal substitution. Doping at the transition metal site leads to a smaller but expected change in lattice parameters, consistent with the decreasing ionic radius in tetrahedral coordination from Mn2+ (0.8 Å) to Fe2+ (0.77 Å) and Co2+ (0.72 Å) [28]. Gradual Fe/Co substitution shows a slight non-monotonic variation reflecting subtle distortions in the unit cell, possibly arising from cation-size mismatch and redistribution of electronic density within the Cu–S layers.
PXRD structural analysis shows that a wide range of substitution and doping strategies are achievable without destabilizing the parent I4/mmm structure. This behavior contrasts with the proposed mechanism of structural destabilization in ternary ThCr2Si2-type compounds with increasing valence electron count (VEC), where the main driving force of instability is metal–metal antibonding interactions at the Fermi level [29]. Despite having comparatively large VEC values in our reported quaternary chalcogenides, the separation of orbital contributions, with fully occupied Cu d orbitals in the valence band and Fe states in the conduction band, probably plays a stabilizing role [9]. This effect could also provide a design principle for the synthesis of new quaternary chalcogenides with targeted electronic and magnetic properties [30].
The preferred compositions observed in the compounds in which iron is fully substituted by cobalt and manganese suggest a strong connection between stoichiometry and charge distribution within the sulfide layers. This relationship is further supported by examining the limit cases of the parent murunskite system. On the copper side, the structural limit appears to be β -BaCu2S2 [31]. No isostructural potassium analogue is known, but partial substitution of K into BaCu2S2 is reported to be limited to approximately 35% [32]. The closest related potassium compound, KCu4S3, crystallizes in a different tetragonal structure (P4/mmm). Both K-substituted BaCu2S2 and KCu4S3 are metallic due to hole doping in the sulfur bands at the Fermi level, while copper remains in the +1 oxidation state. On the opposite iron-rich end, the limit is K0.8Fe1.6S2, a member of the doped iron chalcogenides. It is a semiconductor, while the Se and Te analogs are high-temperature superconductors. The excess positive charge from iron is stabilized through partial occupancies at both the spacer and Fe sites. A comparable trend can be observed in murunskite. The parent compound K2FeCu3S4 appears to be a limit case in this quaternary system, in which further reduction of the iron-to-copper ratio was not achievable, but compounds with higher iron content, K2Fe2Cu2S4 (also reported as KFeCuS2), were reported both in powder and single-crystal form [33]. Similarly, the cobalt-limit compound, K0.8Co2S2, has a reported single-crystal structure with a partially occupied potassium site [34].

3.3. Electronic Transport Across the Substitution Series

Although the lattice parameters change little upon substituting iron with cobalt or manganese (consistent with their similar ionic radii), the magnetic and electronic properties differ markedly. In the context of this work, these contrasts highlight the pronounced chemical and electronic plasticity of murunskite, underscoring its potential as a platform for tuning functionality. Without entering into a detailed characterization of each synthesized composition, we emphasize the general trend that the electrical conductivity of murunskite can be substantially modified by substitution and doping.
The parent compound, K2FeCu3S4, exhibits the highest resistivity among all measured samples. More broadly, iron-based murunskite sulfides have the highest resistivities, as seen both in the reported polycrystalline parent compound and related compounds in which silver substitutes for copper [35]. By contrast, cobalt- and manganese-based samples have significantly lower resistivities, albeit with varying transport properties: iron- and cobalt-containing compounds show near-typical semiconducting behavior, whereas the manganese-based compound exhibits more complex transport, including a transition below 150 K, with resistivity nearly temperature-independent below 120 K. Given that both Mn2+ and Fe2+ preserve charge balance, this resistivity reduction may stem from differences in magnetic coupling and local crystal-field effects, as proposed for related systems [36].
Progressive substitution of iron with cobalt results in a systematic decrease in resistivity with increasing cobalt content, suggesting the possibility of fine-tuning and eventually closing the band gap. Correspondingly, the activation energy, Ea, decreases with increasing cobalt content from 286 meV in K2FeCu3S4 to 14 meV in the fully substituted Co compound K2Co1.4Cu2.6S4, as shown in Table S2. The fully substituted cobalt sample remains semiconducting but with a significantly reduced band gap. Further optimization of the synthesis parameters is underway to overcome the observed compositional instabilities and to grow high-quality single crystals of K2Co1Cu3S4, for which metallic behavior has been reported in powder form [22,23].

3.4. Evolution of Magnetic Order

Similarly, the magnetic behavior of the cobalt- and manganese-based systems differs markedly from the long-range antiferromagnetic order observed in the parent iron-based compound. The manganese-based compound shows no anisotropy between in-plane and out-of-plane measurements. It exhibits antiferromagnetic coupling but no clear magnetic transition, even near the temperature where a change in slope is observed in the resistivity data. This behavior was previously investigated by neutron powder diffraction and attributed to complex antiferromagnetic ordering with a Néel temperature of approximately 160 K [37]. Together with the unexpectedly low ordered magnetic moment, these observations suggest low-dimensional magnetic coupling or competition among multiple magnetic structures.
In contrast, the fully substituted cobalt compound shows a clear ferromagnetic transition near 120 K, in good agreement with prior measurements on powder samples [22,38], and the cobalt limit compound (K0.8Co2S2) [34]. Moreover, partial substitution of iron with cobalt results in a systematic and gradual crossover of the in-plane magnetic response between the two end members. However, additional out-of-plane ferromagnetic transitions near 70 K and 220 K in mixed Fe/Co compounds cannot be readily explained by referring to the end members.
In the parent compound, the observed larger-than-expected magnetic moment was attributed to Fe–Fe dimer formation [17]. A similar effect is observed in the mixed Fe/Co compounds. The effective magnetic moment, calculated by fitting the high-temperature magnetic susceptibility data to the Curie-Weiss law, as shown in Figure S5, gradually decreases with increasing cobalt content. However, we also observe a deviation from Curie–Weiss behavior that grows with Co content, which precludes a reliable determination of the effective magnetic moment (particularly for the fully substituted Co compound) and indicates complex magnetic interactions up to room temperature. The synthesis of additional members of this solid-solution series is underway, together with more detailed magnetic characterization.

3.5. Electrostatic Tuning via Ionic Liquid Gating

We used ionic-liquid gating because it enables substantial electrostatic carrier accumulation, with the carrier type (electron or hole) set by the polarity of the applied gate voltage. Through the formation of an electric double layer (EDL) at ionic-liquid/sample interfaces, this method efficiently metallizes the sample, routinely achieving interfacial carrier densities on the order of 1014 cm−2 [39]. Such extreme charge modulation has been shown to induce a variety of emergent phases, including superconductivity [40,41,42] and insulator-to-metal transitions [43,44]. Moreover, EDL gating provides a disorder-free route to tune carrier density in correlated systems, enabling direct access to electronic instabilities without chemical substitution.
However, gating bulk samples with ionic liquids presents significant challenges compared to thin films, primarily due to the limited penetration depth of the EDL and the difficulty of achieving uniform carrier modulation throughout the material. In practice, ionic-liquid gating of bulk crystals can involve immersing the sample in the ionic liquid, as demonstrated in Refs. [45,46], or using patterned electrodes on the sample surface, as in Ref. [47]. Here, we introduce a polymer-sheet-based ionic gel that gates bulk samples while avoiding contact between the ionic liquid and the electrical leads used for resistivity measurements. To the best of our knowledge, this is the first demonstration of bulk gating with a polymer ionic gel, and the architecture also mitigates adverse effects from aggressive ionic liquids such as DMFE (N,N-Dimethyl-N-(2-methoxyethyl)-N-(2-fluoroethyl)ammonium)-TFSI (bis(trifluoromethylsulfonyl)imide).
In murunskite K2FeCu3S4, the pronounced electrostatic suppression of resistivity signals proximity to a carrier-density-driven transition, consistent with a narrow, correlation-renormalized energy scale near a metal–insulator boundary. The strong polarity dependence of the gating response identifies electrons as the dominant carriers, indicating that even modest chemical potential shifts substantially reorganize the low-energy electronic structure. Notably, the resistivity reduction induced by electron-accumulating EDL gating closely parallels the trend observed under Mn and Co substitution, suggesting that both electrostatic doping and aliovalent substitution act primarily through carrier-density modification rather than structural distortion or disorder-driven bandwidth effects. By extending EDL control to bulk crystals, the polymer-sheet-based ionic-gel architecture enables stable four-probe transport measurements and broadens electrostatic phase control beyond thin-film geometries. Together, these results establish K2FeCu3S4 as a gate-tunable correlated platform and demonstrate a viable pathway for carrier-density-controlled phase manipulation in bulk quantum materials.

4. Conclusions

The present study demonstrates that murunskite K2FeCu3S4 exhibits a remarkable degree of structural resilience and electronic tunability under both chemical substitution and electrostatic control. Systematic substitutions on the transition-metal site reveal that the I4/mmm lattice remains intact across a wide range of perturbations. The subtle evolution of lattice parameters with Co content indicates continuous modulation of local crystal fields and hybridization within the Fe/Co-S tetrahedral layers, yet no collapse of the I4/mmm symmetry is observed.
Chemical substitution on the Fe site provides an effective pathway to tune the electronic ground state. Both Co and Mn doping strongly suppress the insulating behavior of the parent compound, indicating an approach to metallicity. These changes occur despite only subtle modifications of the lattice parameters, underscoring the dominant role of electronic hybridization and magnetic interactions over structural distortions. The parallel evolution of magnetic order from antiferromagnetic correlations in the parent compound to ferromagnetic correlations in cobalt-substituted systems further emphasizes the intimate coupling between charge transport and magnetism in this high-entropy environment.
Complementary electrostatic doping via ionic-gel gating demonstrates non-invasive tuning of conductivity in the parent K2FeCu3S4 compound. A positive gate bias leads to a pronounced drop in resistivity, confirming efficient surface charge accumulation through electric-double-layer formation. The continuous and gate-controlled suppression of resistivity suggests that the gating field alone, without chemical substitution, can push the system toward a conducting state. Meanwhile, electrostatic tuning via ionic-liquid gating has recently been demonstrated as an effective route to metallization in layered chalcogenides [48,49]. Together, these results indicate that murunskite is electronically soft and lies near a (percolative) metallization threshold accessible by multiple doping routes.
Overall, the chemical and electrostatic gating results point to murunskite as a structurally robust and electronically flexible system that can be continuously tuned from localized magnetic order toward itinerant charge transport, a crossover regime in which unconventional superconductivity tends to emerge. The next step is to explore whether this tunability can drive the system into a coherent metallic or even superconducting state. Pressure-dependent transport and higher carrier-density gating experiments are particularly promising for probing the emergence of such electronic phases. The demonstrated robustness of the I4/mmm lattice and the active involvement of sulfur ligands provide an encouraging foundation for manipulating murunskite toward the superconducting regime.

5. Experimental Details

5.1. Synthesis

Single crystals of the reported compounds in the murunskite family were prepared by three synthesis routes. Two of these involved growth from the melt, which differed in the source of metal sulfides and in the sequence of pre-reaction and crystallization steps. The third method was self-flux growth from chalcogenide melts. In all methods, a 5% excess of potassium was added. The heating profiles for crystal growth followed those previously reported for the parent murunskite compound. Typically, the final mixture was heated to 900–950 °C at a rate of 100 °C/h, kept at that temperature for 24 h, and then slowly cooled (<5 °C/h) to 750–780 °C to grow single crystals from the melt.
In Route A, the MCu3S4 sulfide precursors were synthesized from the pure elements with two pre-reactions at 450 and 700 °C, then mixed with elemental potassium inside a glovebox with an inert atmosphere. During intimate mixing with K, transient sparking was observed, followed by a brief exothermic reaction in situ. After homogenization, the charge was transferred to a carbon-coated quartz tube, vacuum-sealed, and placed in a box furnace for crystallization.
In Route B, commercial FeS and CuS (>99.9% purity) were combined with stoichiometric chunks of K, loaded into an alumina crucible, sealed in an evacuated quartz tube, and pre-reacted at 600 °C for 1 day. The pre-reacted charge was reground, loaded into a smaller carbon-coated quartz tube, then placed inside a larger quartz tube, evacuated, sealed, and transferred to a box furnace for crystallization.
In Route C, alkali-metal carbonates and elemental transition-metal powders were ground with excess chalcogen ( 10 × the stoichiometric amount), and placed in an alumina crucible with a lid. Heating and crystal growth were performed in a box furnace under nitrogen flow.

5.2. X-Ray Study

Precursors, powders, and single crystals of all reported samples were characterized by powder X-ray diffraction (PXRD) at room temperature using a diffractometer with Cu K α radiation ( λ = 1.5148 Å) operating at 45 kV and 40 mA, equipped with a diffracted-beam graphite monochromator, in reflection mode over a 2 θ range of 10–90°, with a step size of 0.013°. Small amounts of single crystals were thoroughly powdered in an argon glovebox and placed on a low-background holder for measurement.

5.3. Compositional Analysis

Sample morphology and composition were characterized by scanning electron microscopy (SEM, ZEISS GeminiSEM 300 with an Oxford Instruments EDX detector). Energy-dispersive X-ray spectroscopy (EDX) was performed on multiple single-crystal samples to obtain precise elemental ratio information.

5.4. Magnetic Measurements

Temperature-dependent magnetization measurements on single crystals were performed using an MPMS-5T superconducting quantum interference device (SQUID) magnetometer.

5.5. Electrical Measurements

Electrical resistivity measurements were carried out using a conventional four-point probe configuration. Two types of electrical contacts were employed, depending on sample quality and contact resistance. In the first approach, four gold electrodes were deposited on the sample surface by thermal evaporation. Electrical connections were then made using annealed gold wires attached with low-temperature silver paste. In the second approach, indium wires were mechanically pressed onto the sample surface to form electrical contacts, which were found to significantly reduce contact resistance and minimize Schottky barriers at the sample–electrode interface. Contacts prepared solely with silver paste exhibited very high contact resistance and were therefore avoided for resistivity measurements.

5.6. Ionic Liquid Gating

The gel was prepared following the method described in Ref. [24]. The prepared gel was baked at 80 °C for 24 h in a vacuum to remove residual moisture and then deposited onto the sample. The duration of sample loading into the cryostat was minimized to prevent reintroduction of moisture. To facilitate precise measurement of resistivity, gold electrodes were fabricated on the sample following the standard four-probe geometry, rather than a source–drain configuration typically used in transistor devices. A 50 μm gold wire was mechanically flattened and embedded within the ionic gel to function as the gate electrode. A Keithley 2450 source meter was employed to apply the gate voltage and monitor the leakage current. The applied current (ISD ∼ 1 μA) used for the four-probe resistivity measurements was about three orders of magnitude larger than the average leakage current (Ig ∼ 1–20 nA), demonstrating the effectiveness of gating.

Supplementary Materials

The following supporting information can be downloaded at https://www.mdpi.com/article/10.3390/sym18030515/s1, Figure S1: Rietveld refinements of powder X-ray diffraction patterns for K2 Fe 1 x Co x Cu3S4 samples with various levels of Co substitution at the metal site. Panels (a–d) show refinements for progressively increasing Co content (nominal compositions indicated in each panel), displaying the experimental data (black dots), calculated profiles (red lines), difference curves (blue lines), and Bragg-peak positions (magenta ticks). Panel (g) shows a refinement that includes a minor secondary phase, KFeCu4S3 (orange ticks). The good agreement between the observed and calculated patterns across the series indicates successful Co incorporation at the metal site without any significant changes in the crystal structure; Figure S2: Rietveld refinements of powder X-ray diffraction patterns for A–Fe–Cu–Ch compounds with substitutions at the spacer cation (A = K/Ba, K, Rb, Cs) and chalcogen (Ch = S, Te) sites. Panels (a–d) show refinements for the compositions indicated in each panel, displaying the experimental data (black dots), calculated profiles (red lines), difference curves (blue lines), and Bragg-peak positions (magenta ticks). The good agreement between the observed and calculated patterns across all compositions indicates successful substitution at the spacer cation and chalcogen sites without any significant changes in the crystal structure. Figure S3 shows the EDX summed spectrum from elemental mapping of the Cs-based telluride sample, showing the presence of Te, Cu, K, and Fe. In addition to the expected constituents, a distinct low-energy peak near 0.5 keV is observed, corresponding to oxygen; Figure S4: Temperature dependence of the dc magnetic susceptibility ( χ dc ) measured from 2 to 300 K for the series: K2Fe0.8Co0.2Cu2.8S4 (a), K2Fe0.5Co0.6Cu2.9S4 (b), K2Co1.4Cu2.6S4 (c), and K2Mn1.8Cu2.2S4 (d), measured with the magnetic field applied both in-plane and out-of-plane.; Figure S5: SEM images of (a) the parent compound synthesized via Routes A and C, (b) transition-metal-substituted samples, and (c) alkali-metal-substituted samples. EDS-derived compositions are annotated in each panel. Scale bar: 100 μm; Figure S6: Effect of positive and negative gate voltage on the electrical resistivity of murunskite, demonstrating electron accumulation (resistivity decrease) under positive bias and electron depletion (resistivity increase) under negative bias via electrostatic gating. Figure S7. SEM images of (a) the parent compound synthesized via Routes A and C, (b) transitionmetal– substituted samples, and (c) alkali-metal–substituted samples. EDS-derived compositions are annotated in each panel. Scale bar: 100 μm. Table S1. Summary of attempted synthesis routes for substituted murunskite compositions. Table S2. Characteristic parameters (activation energy in milli-electronvolts, effective magnetic moment in Bohr magnetons, and Curie-Weiss temperature in Kelvins) calculated from thermal activation model for resistivity and Curie-Weiss for magnetic susceptibility.

Author Contributions

Conceptualization, L.F., D.K.S., and N.B.; methodology, P.R., D.T., N.S.D., M.Č., W.S., Y.U., W.T., and M.N.; formal analysis, P.R., D.T., W.S., N.S.D., and P.P.; investigation, P.R., D.T., J.M., N.P., N.S.D., G.P., K.J.G., and W.S.; resources, P.R., D.T., J.M., N.P., M.Č., T.I., and M.N.; data curation, P.R., D.T., N.S.D., K.J.G., W.S., and M.N.; writing—original draft preparation, P.R., D.T., N.S.D., D.K.S., and N.B.; writing—review and editing, D.T., L.F., D.K.S., and N.B.; visualization, P.R., D.T., N.S.D., K.J.G., W.S., and M.N.; supervision, Y.U., W.T., P.P., M.N., L.F., D.K.S., and N.B.; project administration, Y.U., W.T., P.P., M.N., L.F., D.K.S., and N.B.; funding acquisition, Y.U., W.T., P.P., M.N., L.F., D.K.S., and N.B. All authors have read and agreed to the published version of the manuscript.

Funding

The work at the University of Zagreb was supported by the Croatian Science Foundation under Project No. IP-2022-10-3382 and the project CeNIKS co-financed by the Croatian Government and the European Union through the European Regional Development Fund-Competitiveness and Cohesion Operational Program (Grant No. KK.01.1.1.02.0013). The work at TU Wien was supported by the Austrian Science Fund (FWF) [10.55776/F86; 10.55776/P35945]. DT acknowledges funding through the William H. Miller III Postdoctoral Fellowship in the Department of Physics and Astronomy, Johns Hopkins University. The work at the Institute of Physics was supported by the Croatian Science Foundation under Project No. IP-2020-02-9666 and UIP-2019-04-2154, the project KaCIF co-financed by the Croatian Government and the European Union through the European Regional Development Fund-Competitiveness and Cohesion Operational Program (Grant No. KK.01.1.1.02.0012), and the project Ground states in competition—strong correlations, frustration and disorder—FrustKor financed by the Croatian Government and the European Union through the National Recovery and Resilience Plan 2021–2026. The work at AGH University was supported by the National Science Centre, Poland, grant OPUS: 2021/41/B/ST3/03454; the “Excellence Initiative–Research University” program for AGH University of Krakow; and the subsidy of the Ministry of Science and Higher Education of Poland.

Data Availability Statement

The original contributions presented in this study are included in the article/Supplementary Materials. Further inquiries can be directed to the corresponding authors.

Conflicts of Interest

The authors declare no conflicts of interest.

Abbreviations

HEAsHigh-entropy alloys
PXRDPowder X-ray diffraction
SEM-EDXScanning electron microscope with energy dispersive X-ray spectroscopy
EDLElectric double layer
DMFE-TFSI(N,N-Dimethyl-N-(2-methoxyethyl)-N-(2-fluoroethyl)ammonium) bis(trifluoromethylsulfonyl)imide
VECValence electron count
SQUIDSuperconducting quantum interference device

References

  1. Bednorz, J.G.; Müller, K.A. Possible high Tc superconductivity in the Ba-La-Cu-O system. Z. Phys. B Condens. Matter 1986, 64, 189–193. [Google Scholar] [CrossRef]
  2. Kamihara, Y.; Watanabe, T.; Hirano, M.; Hosono, H. Iron-based layered superconductor La [O1−x Fx] FeAs (x = 0.05 − 0.12) with Tc = 26 K. J. Am. Chem. Soc. 2008, 130, 3296–3297. [Google Scholar] [CrossRef]
  3. Li, D.; Lee, K.; Wang, B.Y.; Osada, M.; Crossley, S.; Lee, H.R.; Cui, Y.; Hikita, Y.; Hwang, H.Y. Superconductivity in an infinite-layer nickelate. Nature 2019, 572, 624–627. [Google Scholar] [CrossRef]
  4. Žutić, I.; Fabian, J.; Sarma, S.D. Spintronics: Fundamentals and applications. Rev. Mod. Phys. 2004, 76, 323–350. [Google Scholar] [CrossRef]
  5. Löhneysen, H.v.; Rosch, A.; Vojta, M.; Wölfle, P. Fermi-liquid instabilities at magnetic quantum phase transitions. Rev. Mod. Phys. 2007, 79, 1015–1075. [Google Scholar] [CrossRef]
  6. Savary, L.; Balents, L. Quantum spin liquids: A review. Rep. Prog. Phys. 2016, 80, 016502. [Google Scholar] [CrossRef]
  7. Tokura, Y.; Yasuda, K.; Tsukazaki, A. Magnetic topological insulators. Nat. Rev. Phys. 2019, 1, 126–143. [Google Scholar] [CrossRef]
  8. Barišić, N.; Šunko, D.K. Cuprates, pnictides and sulfosalts: Lessons in functional materials. arXiv 2025, arXiv:2512.20530. [Google Scholar] [CrossRef]
  9. Tolj, D.; Ivšić, T.; Živković, I.; Semeniuk, K.; Martino, E.; Akrap, A.; Reddy, P.; Klebel-Knobloch, B.; Lončarić, I.; Forró, L.; et al. Synthesis of murunskite single crystals: A bridge between cuprates and pnictides. Appl. Mater. Today 2021, 24, 101096. [Google Scholar] [CrossRef]
  10. Barišić, N.; Chan, M.K.; Veit, M.J.; Dorow, C.J.; Ge, Y.; Tang, Y.; Tabis, W.; Yu, G.; Zhao, X.; Greven, M. Evidence for a universal Fermi-liquid scattering rate throughout the phase diagram of the copper-oxide superconductors. arXiv 2015, arXiv:1507.07885. [Google Scholar] [CrossRef]
  11. Barišić, N.; Chan, M.K.; Veit, M.J.; Dorow, C.J.; Ge, Y.; Li, Y.; Tabis, W.; Tang, Y.; Yu, G.; Zhao, X.; et al. Evidence for a universal Fermi-liquid scattering rate throughout the phase diagram of the copper-oxide superconductors. New J. Phys. 2019, 21, 113007. [Google Scholar] [CrossRef]
  12. Pelc, D.; Popčević, P.; Požek, M.; Greven, M.; Barišić, N. Unusual behavior of cuprates explained by heterogeneous charge localization. Sci. Adv. 2019, 5, eaau4538. [Google Scholar] [CrossRef]
  13. Nicholls, R.; Hinlopen, R.; Ayres, J.; Kotte, T.; Forster, T.; Park, J.; Sourd, J.; Carrington, A.; Hussey, N. Doping dependence of the low temperature planar carrier density in overdoped YBa2Cu3O7−δ. arXiv 2025, arXiv:2506.14342. [Google Scholar] [CrossRef]
  14. Klebel-Knobloch, B.; Tabiś, W.; Gala, M.A.; Barišić, O.S.; Sunko, D.K.; Barišić, N. Transport properties and doping evolution of the Fermi surface in cuprates. Sci. Rep. 2023, 13, 13562. [Google Scholar] [CrossRef]
  15. Barišić, N.; Sunko, D.K. High-T c cuprates: A story of two electronic subsystems. J. Supercond. Nov. Magn. 2022, 35, 1781–1799. [Google Scholar] [CrossRef]
  16. Borisenko, S.; Evtushinsky, D.; Liu, Z.H.; Morozov, I.; Kappenberger, R.; Wurmehl, S.; Büchner, B.; Yaresko, A.; Kim, T.; Hoesch, M.; et al. Direct observation of spin–orbit coupling in iron-based superconductors. Nat. Phys. 2016, 12, 311–317. [Google Scholar] [CrossRef]
  17. Tolj, D.; Reddy, P.; Živković, I.; Akšamović, L.; Soh, J.R.; Komȩdera, K.; Biało, I.; Chogondahalli Muniraju, N.K.; Ivšić, T.; Novak, M.; et al. High-entropy magnetism of murunskite. Adv. Funct. Mater. 2025, 35, 2500099. [Google Scholar] [CrossRef]
  18. Tsai, M.H.; Yeh, J.W. High-entropy alloys: A critical review. Mater. Res. Lett. 2014, 2, 107–123. [Google Scholar] [CrossRef]
  19. Miracle, D.B.; Senkov, O.N. A critical review of high entropy alloys and related concepts. Acta Mater. 2017, 122, 448–511. [Google Scholar] [CrossRef]
  20. He, Q.; Yang, Y. On lattice distortion in high entropy alloys. Front. Mater. 2018, 5, 42. [Google Scholar] [CrossRef]
  21. Moniri, S.; Yang, Y.; Ding, J.; Yuan, Y.; Zhou, J.; Yang, L.; Zhu, F.; Liao, Y.; Yao, Y.; Hu, L.; et al. Three-dimensional atomic structure and local chemical order of medium-and high-entropy nanoalloys. Nature 2023, 624, 564–569. [Google Scholar] [CrossRef]
  22. Oledzka, M.; Lee, J.G.; Ramanujachary, K.V.; Greenblatt, M. Synthesis and characterization of quaternary sulfides with ThCr2Si2-type structure: KCo2−xCuxS2 (0.5 ≤ x ≤ 1.5) and ACoCuS2 (A = K, Rb, Cs). J. Solid State Chem. 1996, 127, 151–160. [Google Scholar] [CrossRef]
  23. Zhang, G.; Chen, H.; Xie, Y.; Huang, F. Facile synthesis, magnetic, electrical and photoelectric properties of layered quaternary chalcogenides K2FeCu3Q4 (Q = S and Se). CrystEngComm 2014, 16, 1810–1816. [Google Scholar] [CrossRef]
  24. Lee, K.H.; Kang, M.S.; Zhang, S.; Gu, Y.; Lodge, T.P.; Frisbie, C.D. “Cut and stick” rubbery ion gels as high capacitance gate dielectrics. Adv. Mater. 2012, 24, 4457–4462. [Google Scholar] [CrossRef]
  25. Neilson, J.R.; McQueen, T.M.; Llobet, A.; Wen, J.; Suchomel, M.R. Charge density wave fluctuations, heavy electrons, and superconductivity in KNi2S2. Phys. Rev. B 2013, 87, 045124. [Google Scholar] [CrossRef]
  26. Rodríguez-Carvajal, J. The FullProf Suite. IUCr Newsl. 2001, 26, 12–19. [Google Scholar]
  27. Mouallem-Bahout, M.; Peña, O.; Gaudé, J.; Carel, C.; Ouammou, A.; Nadiri, A. Two quaternary sulfides Rb2Cu3FeS4 and Rb2Cu3MnS4: Magnetic interactions and electrical behavior. Main Group Chem. 2000, 3, 97–102. [Google Scholar] [CrossRef]
  28. Shannon, R.D. Revised effective ionic radii and systematic studies of interatomic distances in halides and chalcogenides. Found. Crystallogr. 1976, 32, 751–767. [Google Scholar] [CrossRef]
  29. Hlukhyy, V.; Trots, D.; Fässler, T.F. First-order phase transition in BaNi2Ge2 and the influence of the valence electron count on distortion of the ThCr2Si2 structure type. Inorg. Chem. 2017, 56, 1173–1185. [Google Scholar] [CrossRef] [PubMed]
  30. Viti, M.A.; Li, Z.; Kao, S.S.; Wolverton, C.; Kanatzidis, M.G. Electronic structure progression across the ACu2Q2 (MQ2)n semiconductor series. J. Am. Chem. Soc. 2025, 148, 705–713. [Google Scholar] [CrossRef] [PubMed]
  31. Ouammou, A.; Mouallem-Bahout, M.; Peña, O.; Halet, J.F.; Saillard, J.Y.; Carel, C. Physical properties and electronic structure of ternary barium copper sulfides. J. Solid State Chem. 1995, 117, 73–79. [Google Scholar] [CrossRef]
  32. Zhang, X.; Hogan, T.; Kannewurf, C.R.; Kanatzidis, M.G. Sulfur p-band hole generation in β-BaCu2S2: Synthesis of metallic KxBa1−xCu2S2 from molten mixed K–Ba polysulfide salts. J. Alloys Compd. 1996, 236, 1–5. [Google Scholar] [CrossRef]
  33. Oledzka, M.; Ramanujachary, K.V.; Greenblatt, M. Synthesis and characterization of new quaternary selenides with ThCr2Si2-type structure: ACuMnSe2 (A = K, Rb, Cs). Mater. Res. Bull. 1998, 33, 855–866. [Google Scholar] [CrossRef]
  34. Chen, X.; Duan, L.; Liu, L.; Zhao, J.; Dai, G.; Li, W.; Wang, X.; Jin, C. Crystal growth, magnetic properties, and critical behavior of the itinerant ferromagnet K0.79Co2S2. Phys. Rev. B 2025, 112, 214402. [Google Scholar] [CrossRef]
  35. Wang, B.; Guo, Z.; Sun, F.; Deng, J.; Lin, J.; Wu, D.; Yuan, W. The transition between antiferromagnetic order and spin-glass state in layered chalcogenides KFeAgCh2 (Ch = Se, S). J. Solid State Chem. 2019, 272, 126–130. [Google Scholar] [CrossRef]
  36. Kobayashi, T.; Tanaka, K.; Miyasaka, S.; Tajima, S. Importance of Fermi surface topology for in-plane resistivity anisotropy in hole- and electron-doped Ba(Fe1−xTMx)2As2 (TM = Cr, Mn, and Co). J. Phys. Soc. Jpn. 2015, 84, 094707. [Google Scholar] [CrossRef]
  37. Virtue, A.; Zhou, X.; Wilfong, B.; Lynn, J.W.; Taddei, K.; Zavalij, P.; Wang, L.; Rodriguez, E.E. Magnetic order effects on the electronic structure of KMnS2 (M = Cu, Li) with the ThCr2Si2-type structure. Phys. Rev. Mater. 2019, 3, 044411. [Google Scholar] [CrossRef]
  38. Zhang, G.; Cao, J.; Zhao, C.; Han, B.; Ma, C.; Gao, Z.; Zeng, T. Facile synthesis and magnetic and electrical properties of layered chalcogenides K2CoCu3Q4 (Q = S and Se). Dalton Trans. 2018, 47, 14968–14974. [Google Scholar] [CrossRef]
  39. Yuan, H.; Shimotani, H.; Tsukazaki, A.; Ohtomo, A.; Kawasaki, M.; Iwasa, Y. High-density carrier accumulation in ZnO field-effect transistors gated by electric double layers of ionic liquids. Adv. Funct. Mater. 2009, 19, 1046–1053. [Google Scholar] [CrossRef]
  40. Nakagawa, Y.; Kasahara, Y.; Nomoto, T.; Arita, R.; Nojima, T.; Iwasa, Y. Gate-controlled BCS-BEC crossover in a two-dimensional superconductor. Science 2021, 372, 190–195. [Google Scholar] [CrossRef]
  41. Ye, J.T.; Zhang, Y.J.; Akashi, R.; Bahramy, M.S.; Arita, R.; Iwasa, Y. Superconducting dome in a gate-tuned band insulator. Science 2012, 338, 1193–1196. [Google Scholar] [CrossRef]
  42. Lu, J.M.; Zheliuk, O.; Leermakers, I.; Yuan, N.F.Q.; Zeitler, U.; Law, K.T.; Ye, J.T. Evidence for two-dimensional Ising superconductivity in gated MoS2. Science 2015, 350, 1353–1357. [Google Scholar] [CrossRef]
  43. Saito, Y.; Iwasa, Y. Ambipolar insulator-to-metal transition in black phosphorus by ionic-liquid gating. ACS Nano 2015, 9, 3192–3198. [Google Scholar] [CrossRef]
  44. Shimizu, S.; Shioya, H.; Hatano, T.; Miwa, K.; Oiwa, A.; Ono, S. Electrically induced insulator-to-metal transition in InP-based ion-gated transistor. Sci. Rep. 2024, 14, 30364. [Google Scholar] [CrossRef] [PubMed]
  45. Segawa, K.; Ren, Z.; Sasaki, S.; Tsuda, T.; Kuwabata, S.; Ando, Y. Ambipolar transport in bulk crystals of a topological insulator by gating with ionic liquid. Phys. Rev. B—Condens. Matter Mater. Phys. 2012, 86, 075306. [Google Scholar] [CrossRef]
  46. Hameed, S.; Voigt, B.; Dewey, J.; Moore, W.; Pelc, D.; Das, B.; El-Khatib, S.; Garcia-Barriocanal, J.; Luo, B.; Seaton, N.; et al. Electrochemical mechanism of ionic-liquid gating in antiferromagnetic Mott-insulating NiS2 single crystals. Phys. Rev. Mater. 2022, 6, 064601. [Google Scholar] [CrossRef]
  47. Syers, P.; Kim, D.; Fuhrer, M.S.; Paglione, J. Tuning bulk and surface conduction in the proposed topological Kondo insulator SmB6. Phys. Rev. Lett. 2015, 114, 096601. [Google Scholar] [CrossRef]
  48. Wang, F.; Zhang, Y.; Wang, Z.; Zhang, H.; Wu, X.; Bao, C.; Li, J.; Yu, P.; Zhou, S. Ionic liquid gating induced self-intercalation of transition metal chalcogenides. Nat. Commun. 2023, 14, 4945. [Google Scholar] [CrossRef]
  49. Sohier, T.; Gibertini, M.; Martin, I.; Morpurgo, A.F. Unconventional gate-induced superconductivity in transition-metal dichalcogenides. Phys. Rev. Res. 2025, 7, 013290. [Google Scholar] [CrossRef]
Figure 1. Structural framework and substitutional flexibility in murunskite (K2FeCu3S4). (a) Crystal structure of the layered K–Fe/Cu–S compound, showing K (purple), S (yellow), and mixed Fe/Cu sites (brown/blue). (b) Substitution pathways at the alkali-metal site: K can be replaced by Rb (red), Cs (dark red), or Ba/K mixtures (half-purple/half-dark-purple). (c) Substitution pathways at the chalcogen site: S can be substituted with Te (dark green). (d) Substitution pathways at the transition-metal site: the Fe/Cu site can be progressively substituted to reach the targeted mixing levels shown schematically by the colored atomic spheres, including Fe–Cu, Fe–Co–Cu (brown/green/blue), Co–Cu (green/blue), and Mn–Cu (magenta/blue). The colored sectors represent the planned substitution fractions within a single crystallographic site.
Figure 1. Structural framework and substitutional flexibility in murunskite (K2FeCu3S4). (a) Crystal structure of the layered K–Fe/Cu–S compound, showing K (purple), S (yellow), and mixed Fe/Cu sites (brown/blue). (b) Substitution pathways at the alkali-metal site: K can be replaced by Rb (red), Cs (dark red), or Ba/K mixtures (half-purple/half-dark-purple). (c) Substitution pathways at the chalcogen site: S can be substituted with Te (dark green). (d) Substitution pathways at the transition-metal site: the Fe/Cu site can be progressively substituted to reach the targeted mixing levels shown schematically by the colored atomic spheres, including Fe–Cu, Fe–Co–Cu (brown/green/blue), Co–Cu (green/blue), and Mn–Cu (magenta/blue). The colored sectors represent the planned substitution fractions within a single crystallographic site.
Symmetry 18 00515 g001
Figure 2. Diffraction signatures and structural metrics across chemically tuned murunskite. (a) X-ray diffraction patterns for Co-substituted K2FeCu3S4 (stars mark an impurity phase). (b) Substitution at the alkali-metal and chalcogen sites (Ba, Rb, Cs, and Te). (c) Quantitative SEM-EDX analyses and extracted structural parameters demonstrate how chemical substitution tunes lattice constants and bond distances across the series.
Figure 2. Diffraction signatures and structural metrics across chemically tuned murunskite. (a) X-ray diffraction patterns for Co-substituted K2FeCu3S4 (stars mark an impurity phase). (b) Substitution at the alkali-metal and chalcogen sites (Ba, Rb, Cs, and Te). (c) Quantitative SEM-EDX analyses and extracted structural parameters demonstrate how chemical substitution tunes lattice constants and bond distances across the series.
Symmetry 18 00515 g002
Figure 3. Temperature-dependent resistivity of Co-doped K2FeCu3S4 single crystals (a), and the corresponding dc magnetic susceptibility measured at H = 1000 Oe under zero-field-cooled (ZFC) and field-cooled (FC) protocols (b). Temperature-dependent resistivity of Fe, Mn, and Co-substituted compounds (c), and the corresponding dc magnetic susceptibility measured at H = 1000 Oe under ZFC and FC protocols (d).
Figure 3. Temperature-dependent resistivity of Co-doped K2FeCu3S4 single crystals (a), and the corresponding dc magnetic susceptibility measured at H = 1000 Oe under zero-field-cooled (ZFC) and field-cooled (FC) protocols (b). Temperature-dependent resistivity of Fe, Mn, and Co-substituted compounds (c), and the corresponding dc magnetic susceptibility measured at H = 1000 Oe under ZFC and FC protocols (d).
Symmetry 18 00515 g003
Figure 4. (a) Temperature-dependent resistance of K2FeCu3S4 under different gate voltages, showing a clear reduction in resistance under positive bias. (b) ln ( R ) vs 1 / T , highlighting the exponential suppression of resistance at low temperatures. (c) Optical image of the murunskite-S sample with ionic gel and four-probe contacts for resistivity measurements. (d) Schematic illustration of the ionic-gel/liquid gating technique.
Figure 4. (a) Temperature-dependent resistance of K2FeCu3S4 under different gate voltages, showing a clear reduction in resistance under positive bias. (b) ln ( R ) vs 1 / T , highlighting the exponential suppression of resistance at low temperatures. (c) Optical image of the murunskite-S sample with ionic gel and four-probe contacts for resistivity measurements. (d) Schematic illustration of the ionic-gel/liquid gating technique.
Symmetry 18 00515 g004
Disclaimer/Publisher’s Note: The statements, opinions and data contained in all publications are solely those of the individual author(s) and contributor(s) and not of MDPI and/or the editor(s). MDPI and/or the editor(s) disclaim responsibility for any injury to people or property resulting from any ideas, methods, instructions or products referred to in the content.

Share and Cite

MDPI and ACS Style

Reddy, P.; Tolj, D.; Mužević, J.; Penić, N.; Dhami, N.S.; Pransu, G.; Grzywa, K.J.; Sas, W.; Čebela, M.; Ivšić, T.; et al. Doping Strategies in Murunskite. Symmetry 2026, 18, 515. https://doi.org/10.3390/sym18030515

AMA Style

Reddy P, Tolj D, Mužević J, Penić N, Dhami NS, Pransu G, Grzywa KJ, Sas W, Čebela M, Ivšić T, et al. Doping Strategies in Murunskite. Symmetry. 2026; 18(3):515. https://doi.org/10.3390/sym18030515

Chicago/Turabian Style

Reddy, Priyanka, Davor Tolj, Jana Mužević, Nikolina Penić, Naveen Singh Dhami, Gaurav Pransu, Karol J. Grzywa, Wojciech Sas, Maria Čebela, Trpimir Ivšić, and et al. 2026. "Doping Strategies in Murunskite" Symmetry 18, no. 3: 515. https://doi.org/10.3390/sym18030515

APA Style

Reddy, P., Tolj, D., Mužević, J., Penić, N., Dhami, N. S., Pransu, G., Grzywa, K. J., Sas, W., Čebela, M., Ivšić, T., Utsumi, Y., Tabiś, W., Popčević, P., Novak, M., Forró, L., Sunko, D. K., & Barišić, N. (2026). Doping Strategies in Murunskite. Symmetry, 18(3), 515. https://doi.org/10.3390/sym18030515

Note that from the first issue of 2016, this journal uses article numbers instead of page numbers. See further details here.

Article Metrics

Back to TopTop