Electro-Optical Properties of Excitons in CdSe Nanoplatelets
Abstract
1. Introduction
2. The Method
- 1.
- 2.
- Having calculated the amplitudes, we use them in Equation (3) and, in the long wave approximation, determine the NPL susceptiblity.
- 3.
- The so obtained susceptibility enables to calculate the optical functions (electro-reflectivity, transmissivity, absorption).
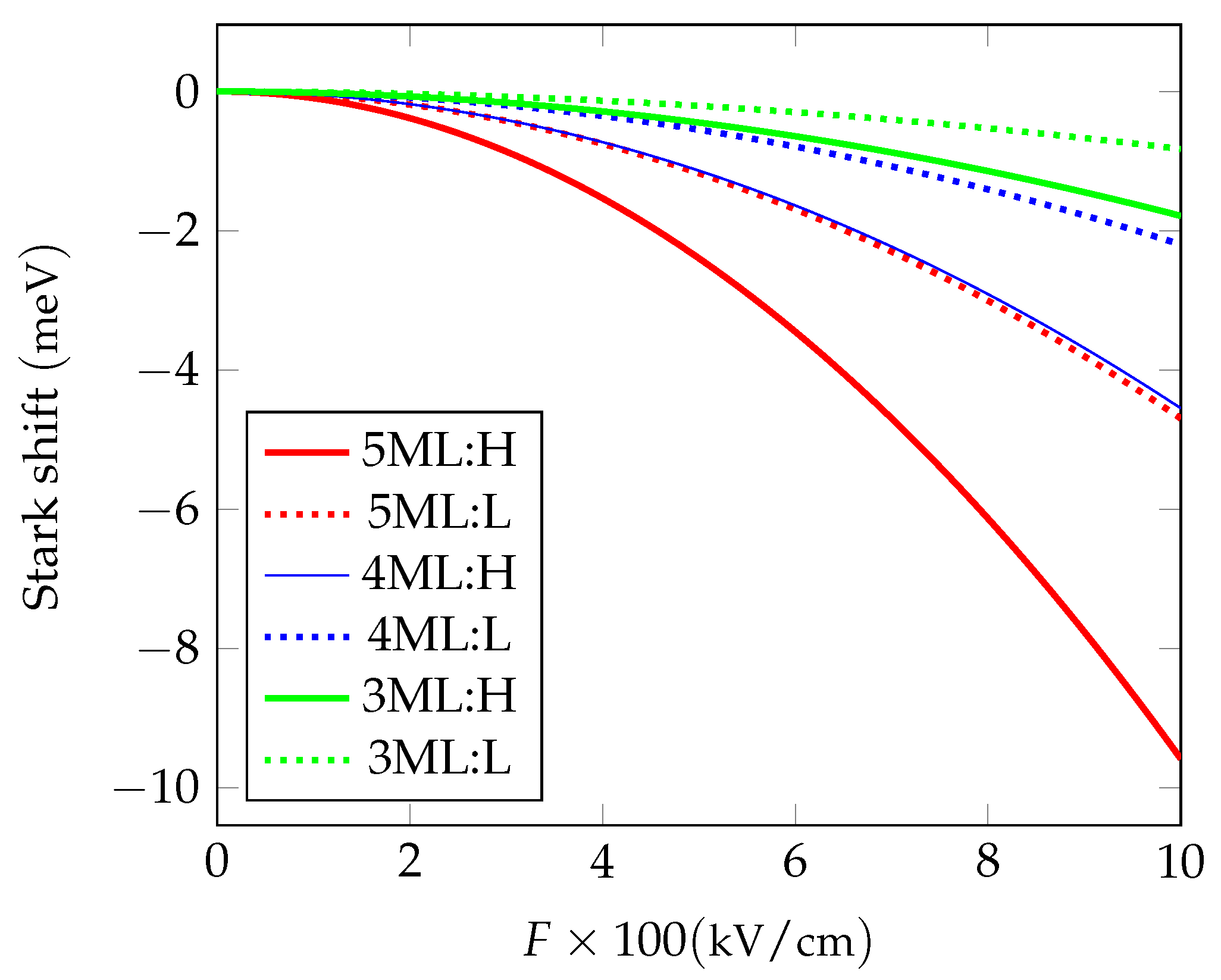
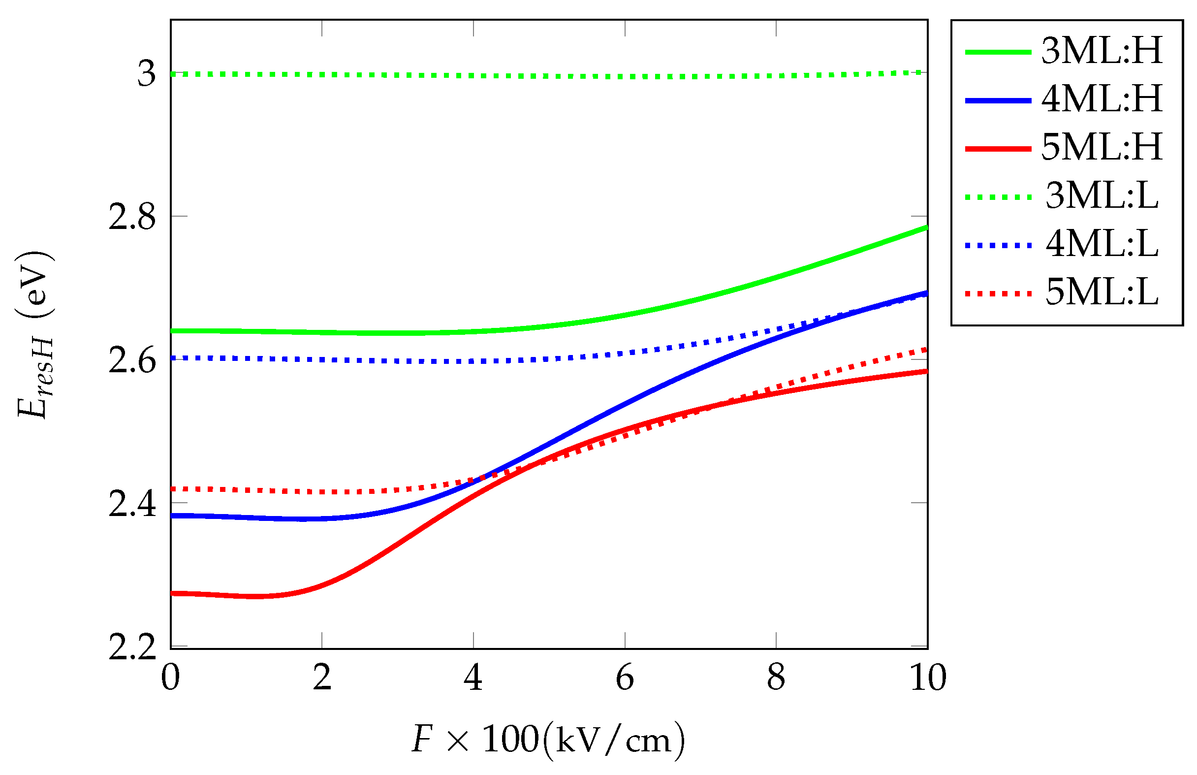
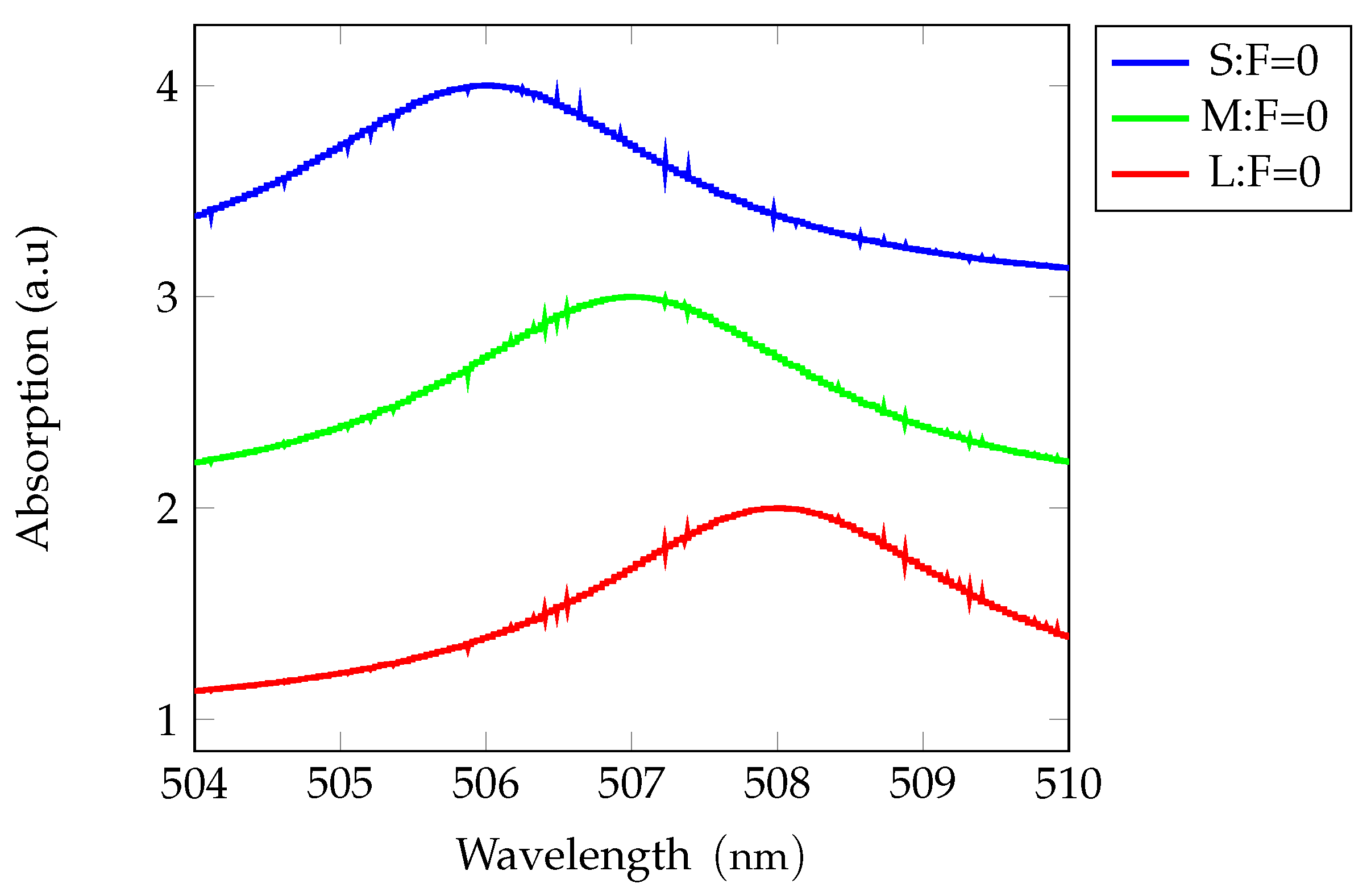
3. The Electric Field Parallel to the Z-Axis
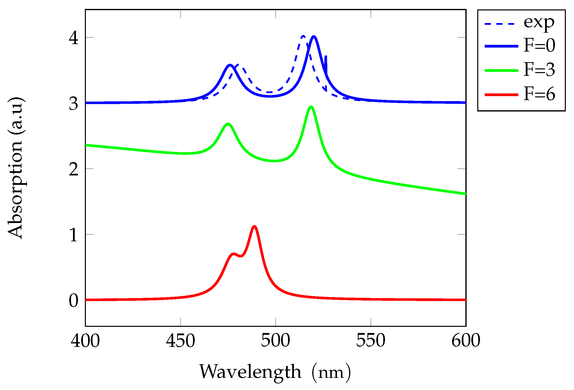
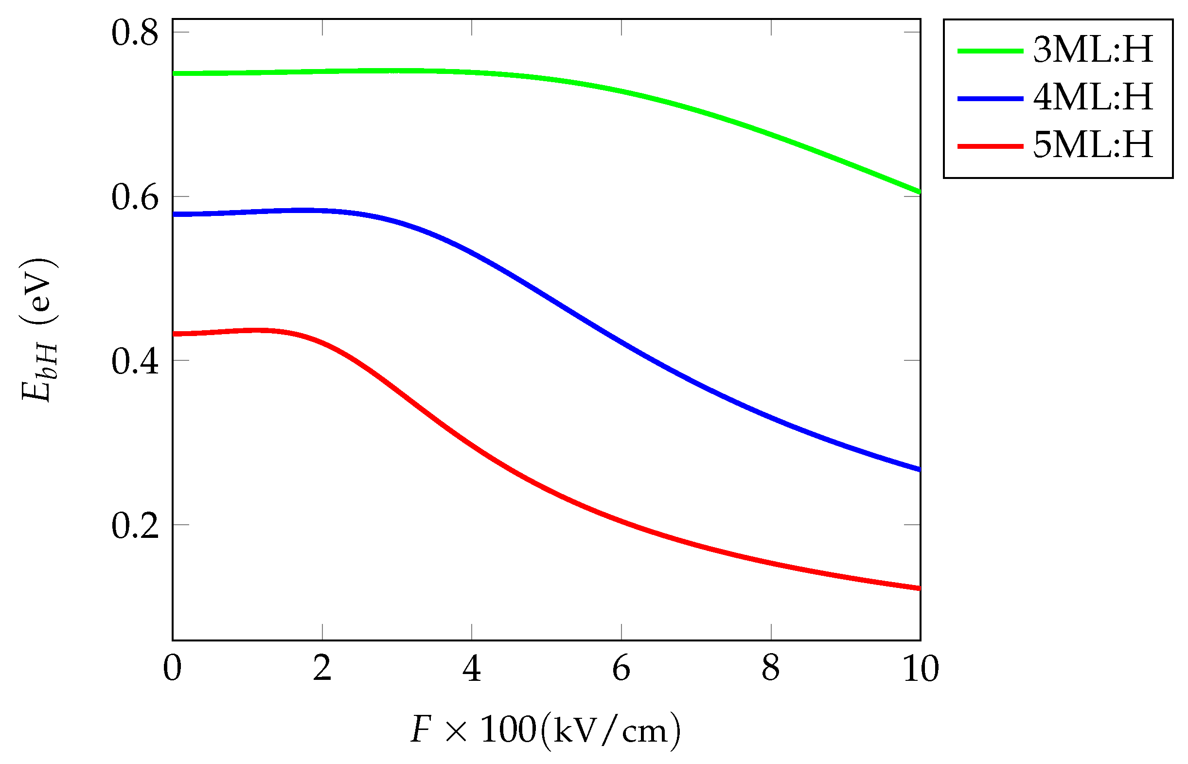
4. Results of Specific Calculations for
- 3ML ,
- 4ML ,
- 5ML .
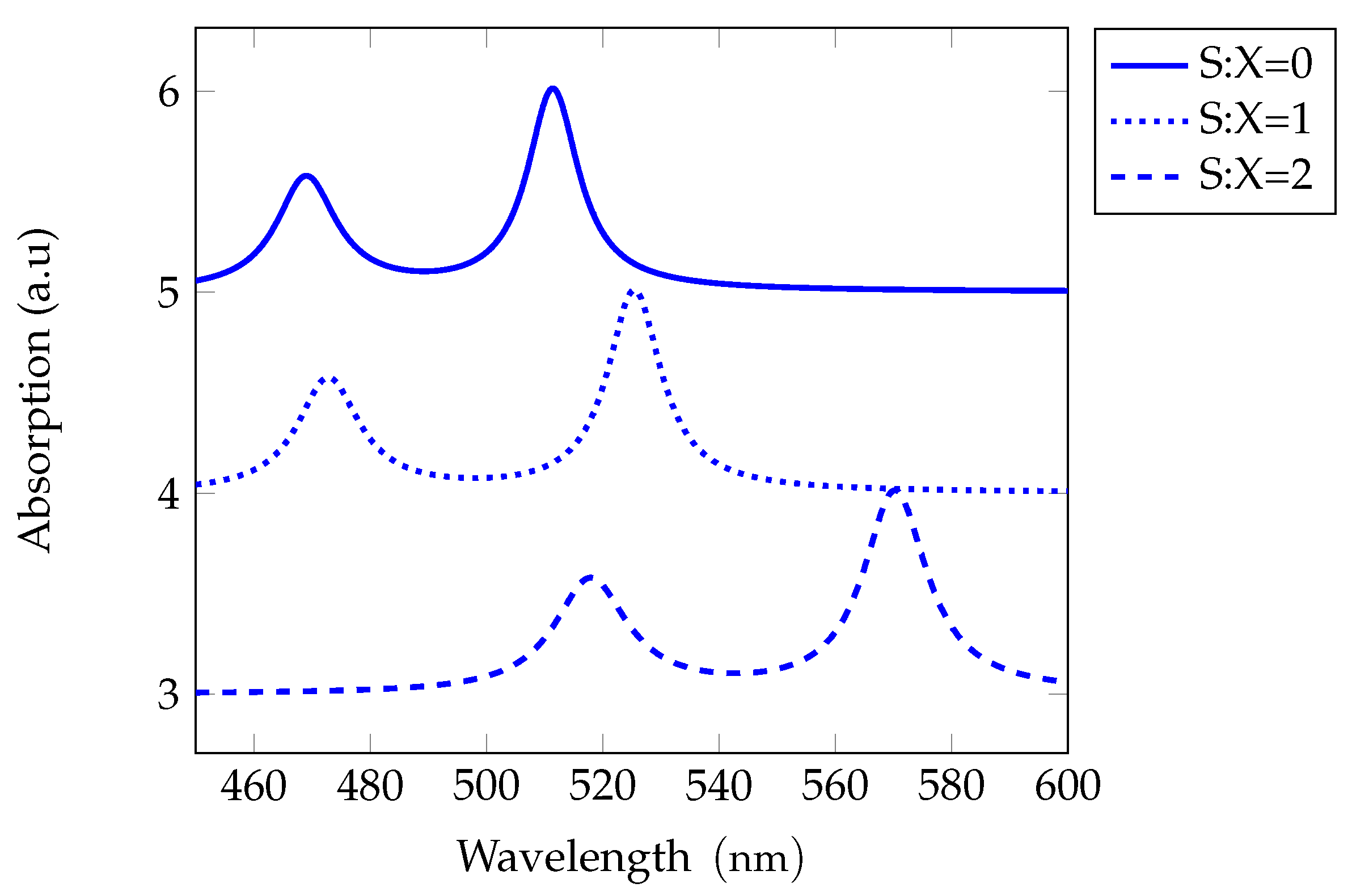
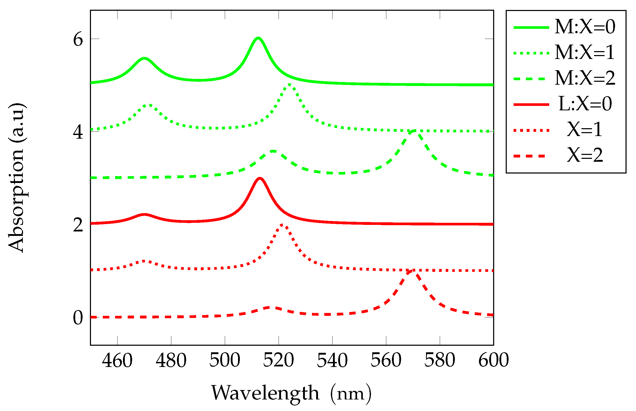
5. The Electric Field Parallel to the NPL Plane, Excitation Below Gap
6. Quantum-Confined Franz–Keldysh Effect
7. Conclusions
Funding
Data Availability Statement
Conflicts of Interest
Appendix A. Calculations of Stark Shift and Oscillator Strengths for F‖z
Appendix B. Calculations of Stark Shift and Oscillator Strengths for F in NPL Plane
References
- Joo, J.; Son, J.S.; Kwon, S.G.; Yu, J.H.; Hyeon, T. Low-temperature solution-phase synthesis of quantum well structured CdSe nanoribbons. J. Am. Chem. Soc. 2006, 128, 5632. [Google Scholar] [CrossRef] [PubMed]
- Achtstein, A.W.; Schliwa, A.; Prudnikau, A.; Hardzei, M.; Artemyev, M.V.; Thomsen, C.; Woggon, U. Electronic Structure and Exciton-Phonon Interaction in Two-Dimensional Colloidal CdSe Nanosheets. Nano Lett. 2012, 12, 3151–3157. [Google Scholar] [CrossRef]
- Benchamekh, R.; Gippius, N.A.; Even, J.; Nestoklon, M.O.; Jancu, J.M.; Ithurria, S.; Dubertret, B.; Efros, A.L.; Voisin, P. Tight-binding calculations of image-charge effects in colloidal nanoscale platelets of CdSe. Phys. Rev. B 2014, 89, 035307. [Google Scholar] [CrossRef]
- Zelewski, S.J.; Nawrot, K.C.; Żak, A.; Gładysiewicz, M.; Nyk, M.; Kudrawiec, R. Exciton Binding Energy of Two-Dimensional Highly Luminescent Colloidal Nanostructures Determined from Combined Optical and Photoacoustic Spectroscopies. J. Phys. Chem. Lett. 2019, 10, 3459. [Google Scholar] [CrossRef]
- Shornikova, E.V.; Yakovlev, D.R.; Gippius, N.A.; Qiang, G.; Dubertret, B.; Khan, A.H.; Di Giacomo, A.; Moreells, I.; Bayer, M. Exciton binding energy in CdSe nanoplatelets measured by one- and two-photon absorption. Nano Lett. 2021, 21, 10525. [Google Scholar] [CrossRef]
- Brumberg, A.; Harvey, S.M.; Philbin, J.P.; Diroll, T.; Lee, B.; Crooker, S.A.; Wasielewski, M.R.; Rabani, E.; Schaller, R.D. Determination of the In-Plane Exciton Radius in 2D CdSe Nanoplatelets via Magneto-optical Spectroscopy. ACS Nano 2019, 13, 8589. [Google Scholar] [CrossRef]
- Yu, J.; Chen, R. Optical properties and applications of two-dimensional CdSe nanoplatelets. InfoMat 2020, 2, 905. [Google Scholar] [CrossRef]
- Dutta, A.; Medda, A.; Patra, A. Recent Advances and Perspectives on Colloidal Semiconductor Nanoplatelets for Optoelectronic Applications. J. Phys. Chem. C 2021, 125, 20. [Google Scholar] [CrossRef]
- Geiregat, P.; Rodá, C.; Tanghe, I.; Singh, S.; Alessio Di Di Giacomo, A.; Lebrun, D.; Grimaldi, G.; Maes, J.; Van Thourhout, D.; Moreels, I.; et al. Localization-limited exciton oscillator strength in colloidal CdSe nanoplatelets revealed by the optically induced stark effect. Light Sci. Appl. 2021, 10, 112. [Google Scholar] [CrossRef] [PubMed]
- Gonçalves, I.M.; Medda, A.; Bautista, J.E.Q.; Campos, C.L.A.V.; Ghosh, S.; Patra, A.; Gomes, S.L.A. Saturable absorption and third-order nonlinear refraction of 2D CdSe nanoplatelets resonant with heavy-hole excitonic transitions. Appl. Phys. Lett. 2023, 123, 251108. [Google Scholar] [CrossRef]
- Akhmetova, A.; Kainarbay, A.; Daurenbekov, D.; Nurakhmetov, T.; Zhangylyssov, K.; Yussupbekova, B. Effect of Nanoplatelets Thickness on Photoluminescent, Optical, and Electronic Properties of Synthesized CdTe Semiconductor Nanoplatelets. Crystals 2023, 13, 1450. [Google Scholar] [CrossRef]
- Koshkinbayev, Y.; Ospanova, A.; Akhmetova, A.; Nurakhmetov, T.; Kainarbay, A.; Zhangylyssov, K.; Dorofeev, S.; Vinokurov, A.; Bubenov, S.; Daurenbekov, D. The Influence of Temperature and Stoichiometry on the Optical Properties of CdSe. Nanomaterials 2024, 14, 1794. [Google Scholar] [CrossRef] [PubMed]
- Ngo, H.T. Optical and Electronic Properties of Colloidal CdSe Nanoplatelets and Related Heterostructures. Doctoral Dissertation, Universiteit Gent, Gent, Belgium, 2024. [Google Scholar]
- Czajkowski, G. Dynamics of excitons in CdSe nanoplatelets. arXiv 2025, arXiv:2511.02857. [Google Scholar] [CrossRef]
- da Silva, C.R.; Bechstedt, F.; Teles, L.K.; Marques, M. Electronic and Optical Properties of highly Complex Ga2O3 Polymorphs using approximate quasiparticle DFT+A+1/2. J. Phys. Chem. C 2025, 129, 3179–3198. [Google Scholar] [CrossRef]
- Grillo, S.; Cignarella, C.; Bechstedt, F.; Gori, P.; Palumno, M.; Campi, D.; Marzari, N.; Pulci, O. Quasiparticle Effects and Strong Excitonic Features in Exfoliable 1D Semiconducting Materials. ACS Nano 2026, 20, 2664. [Google Scholar] [CrossRef]
- Capellini, G.; Furthmüller, J.; Bechstedt, F.; Botti, S. Electronic and Optical Properties of Alkaline Earth Metal Fluoride Crystals with the Inclusion of Many-Body Effects: A Comparative Study on Rutile MgF2 and Cubic SrF2. Symmetry 2023, 15, 539. [Google Scholar] [CrossRef]
- Furthmüller, J.; Bechstedt, F.; Botti, S.; Cappellini, G. Influence of spin-orbit interaction and self-consistency on quasiparticle electronic structure and exciton optical spectra beyond Tamm-Dancoff: The case of BaF2 and SrF2. Phys. Rev. B 2025, 112, 195112. [Google Scholar] [CrossRef]
- Miller, D.A.B.; Chemla, D.S.; Damen, T.C.; Gossard, A.C.; Wiegmann, W.; Wood, T.H.; Burrus, C.A. Band-Edge Electroabsorption in Quantum Well Structures: The Quantum-Confined Stark Effect. Phys. Rev. Lett. 1984, 53, 2173. [Google Scholar] [CrossRef]
- Achtstein, A.W.; Prudnikau, A.V.; Ermolenko, M.; Gurinovich, L.I.; Gaponenko, S.V.; Woggon, U.; Baranov, A.V.; Leonov, M.Y.; Rukhlenko, I.D.; Fedorov, A.V.; et al. Electroabsorption by 0D, 1D, and 2D Nanocrystals: A Comparative Study of CdSe Colloidal Quantum Dots, Nanorods, and Nanoplatelets. ACS Nano 2014, 8, 7678–7686. [Google Scholar] [CrossRef]
- Ziemkiewicz, D.; Czajkowski, G.; Karpiński, K.; Zielińska-Raczyńska, S. Electro-optical properties of excitons in Cu2O quantum wells. I. Discrete states. Phys. Rev. B 2021, 104, 075303. [Google Scholar] [CrossRef]
- Baghdasaryan, D.A.; Harutyunyan, V.A.; Sarkisyan, H.A. Linear and non-linear electrooptical transitions in CdSe nanoplatelets. Opt. Quantum Electron. 2024, 56, 1221. [Google Scholar] [CrossRef]
- Rong, Y.; Huo, Y.; Fei, E.T.; Fiorentino, M.; Tan, M.R.T.; Ochalski, T.; Huyet, G.; Thylen, L.; Chacinski, M.; Kamins, T.I.; et al. High speed optical modulation in Ge quantum wells using quantum confined stark effect. Front. Optoelectron. 2012, 5, 82. [Google Scholar] [CrossRef]
- Ziemkiewicz, D.; Knez, D.; Garcia, E.P.; Zielińska-Raczyńska, S.; Czajkowski, G.; Salandrino, A.; Kharintsev, S.S.; Noskov, A.I.; Potma, E.O.; Fishman, D.A. Two-Photon Absorption in Silicon Using Real Density Matrix Approach. J. Chem. Phys. 2024, 161, 144117. [Google Scholar] [CrossRef] [PubMed]
- Landau, L.D.; Lifshitz, E.M. Electrodynamics of Continuous Media, 2nd ed.; Lifshitz, E.M., Pitaevskii, L.P., Eds.; Pergamon Press: Oxford, UK, 1984; ISBN 0-08-030276-9. [Google Scholar]
- Caicedo-Davila, S.; Caprioglio, P.; Lehmann, F.; Levcenco, S.; Stolterfoht, M.; Neher, D.; Kronik, L.; Abou-Ras, D. Effects of Quantum and Dielectric Confinement on the Emission of Cs-Pb-Br Composites. Adv. Func. Mater. 2023, 33, 2305240. [Google Scholar] [CrossRef]
- Kurtina, D.A.; Long, H.; Chang, S.; Vasiliev, R.B. Solvent effect on chiroptical properties of chiral atomically thin CdSe nanoplatelets capped with enantiomeric ligands. Opt. Mat. 2025, 158, 116483. [Google Scholar] [CrossRef]
- Abramowitz, M.; Stegun, I. (Eds.) Handbook of Mathematical Functions; Dover Publications: New York, NY, USA, 1964; ISBN 0-486-61272-4. [Google Scholar]
- Kalt, H.; Klingshirn, C.F. Semiconductor Optics; Springer Nature: Cham, Switzerland, 2019. [Google Scholar] [CrossRef]
- Zielińska-Raczyńska, S.; Ziemkiewicz, D.; Czajkowski, G. Electro-optical properties of Cu2O for P excitons in the regime of Franz-Keldysh oscillations. Phys. Rev. B 2018, 97, 165205. [Google Scholar] [CrossRef]
- Ziemkiewicz, D.; Czajkowski, G.; Karpiński, K.; Zielińska-Raczyńska, S. Electro-optical properties of excitons in Cu2O quantum wells. II.Continuum states II. Phys. Rev. B 2021, 104, 075304. [Google Scholar] [CrossRef]
- Miller, D.A.B.; Chemla, D.S.; Schmitt-Rink, S. Relation between electroabsorption in bulk semiconductors and in quantum wells: The quantum-confined Franz-Keldysh effect. Phys. Rev. B 1986, 33, 6976. [Google Scholar] [CrossRef]











| Parameter | 3ML | 4ML | 5ML |
|---|---|---|---|
| 1 | 1.33 | 1.67 | |
| 0.2567 | 0.2015 | 0.1635 | |
| 0.3208 | 0.2519 | 0.2044 | |
| 1.236 | 1.575 | 1.94 | |
| 1.1925 | 0.9754 | 0.8153 | |
| 0.4957 | 0.4337 | 0.3879 | |
| 0.4149 | 0.3659 | 0.3302 | |
| 0.8121 | 0.6887 | 0.5963 | |
| 0.2112 | 0.167 | 0.1362 | |
| 0.1586 | 0.13 | 0.1094 | |
| 1.236 | 1.575 | 1.94 | |
| 0.989 | 1.26 | 1.55 | |
| 0.266 | 0.325 | 0.389 | |
| 0.765 | 0.867 | 0.961 | |
| 918.13 | 686.81 | 530 | |
| 221.13 | 162.1 | 130 | |
| 579.53 | 352.26 | 277.58 | |
| 1139.4 | 816.8 | 636 | |
| 1497.4 | 1036.5 | 783.1 | |
| 96.98 | 76.12 | 61.77 | |
| 73.58 | 60.20 | 51.28 | |
| 450.5 | 368.5 | 308 | |
| 156.74 | 138.23 | 124,66 | |
| 86.88 | 69.67 | 57.49 | |
| 1.6243 | 1.8789 | 2.1062 | |
| 0.3929 | 0.4269 | 0.4488 | |
| 0.20 | 0.18 | 0.17 | |
| 0.22 | 0.19 | 0.18 |
| lat. extension | 1 | 2 | 3 | 4 | 5 | 6 |
| 1 | 1.26 | 1.553 | 1.26 | 1.26 | 1.26 | |
| 27 | 9 | 10.25 | 9 | 10.25 | 27 | |
| 27 | 7.15 | 6.6 | 7.15 | 8.134 | 21.455 | |
| 1SH | 2640.44 | 2382.2 | 2242.2 | 2540 | 2537.7 | 2531 |
| 469.2 | 520.5 | 553 | 488.6 | 489 | 490.4 | |
| 1SL | 3178.4 | 2745.25 | 2498.4 | 2761 | 2758.7 | 2752 |
| 390 | 451.68 | 496.31 | 449.5 | 449.8 | 450.9 | |
| 0.625 | 0.22 | 0.19 | 0.22 | 0.19 | 0.625 | |
| 4.16 | 4.77 | 5.47 | 4.77 | 4.6 | 4.96 | |
| 3.72 | 3.75 | 4.77 | 3.75 | 4.44 | 4.41 | |
| 4.63 | 2.53 | 2.86 | 2.53 | 2.86 | 2.86 |
| Param. | |||
| 3.283 | 3.22 | 3.03 | |
| 10.78 | 10.375 | 9.22 | |
| 1.89 | 1.82 | 1.62 | |
| 4.72 | 4.55 | 4.04 | |
| 4.5 | 4.33 | 3.85 | |
| 227.9 | 226.38 | 281.76 | |
| 2450.166 | 2448 | 2441 | |
| 506 | 506.54 | 508 | |
| 2670.166 | 2668 | 2661 | |
| 464.39 | 464.77 | 466 | |
| 243.52 | 243.04 | 241.67 | |
| 2408.3 | 2410.5 | 2417.36 | |
| 514.88 | 514.41 | 512.95 | |
| 2628.3 | 2630.5 | 2637.6 | |
| 471.8 | 471.4 | 470.12 | |
| 288.15 | 287.46 | 278.72 | |
| 2360.2 | 2362.84 | 2377.42 | |
| 525.36 | 524.79 | 521.57 | |
| 2580 | 2582.84 | 2597.42 | |
| 480.6 | 480.1 | 477.4 | |
| 478.49 | 481.63 | 477.2 | |
| 2174.45 | 2173 | 2177.42 | |
| 570.25 | 570.63 | 569.48 | |
| 2394.45 | 2393.0 | 2397.4 | |
| 517.86 | 518.18 | 517.22 |
Disclaimer/Publisher’s Note: The statements, opinions and data contained in all publications are solely those of the individual author(s) and contributor(s) and not of MDPI and/or the editor(s). MDPI and/or the editor(s) disclaim responsibility for any injury to people or property resulting from any ideas, methods, instructions or products referred to in the content. |
© 2026 by the author. Licensee MDPI, Basel, Switzerland. This article is an open access article distributed under the terms and conditions of the Creative Commons Attribution (CC BY) license.
Share and Cite
Czajkowski, G. Electro-Optical Properties of Excitons in CdSe Nanoplatelets. Symmetry 2026, 18, 386. https://doi.org/10.3390/sym18020386
Czajkowski G. Electro-Optical Properties of Excitons in CdSe Nanoplatelets. Symmetry. 2026; 18(2):386. https://doi.org/10.3390/sym18020386
Chicago/Turabian StyleCzajkowski, Gerard. 2026. "Electro-Optical Properties of Excitons in CdSe Nanoplatelets" Symmetry 18, no. 2: 386. https://doi.org/10.3390/sym18020386
APA StyleCzajkowski, G. (2026). Electro-Optical Properties of Excitons in CdSe Nanoplatelets. Symmetry, 18(2), 386. https://doi.org/10.3390/sym18020386
