A UAV Path-Planning Method Based on Multi-Mechanism Improved Dung Beetle Optimizer Algorithm in Complex Constrained Environments
Abstract
1. Introduction
2. Mathematical Model of Path Planning
2.1. Environment and Path Model
2.2. Constraints for Path Planning
2.2.1. Flight Altitude Constraints
2.2.2. Flight Attitude Constraints
2.2.3. Safety Distance Constraints
2.3. Objective Functions for Path Planning
2.3.1. Path Length
2.3.2. Collision Avoidance
2.3.3. Flight Altitude Cost
2.3.4. Smoothness
3. MMDBO for Solving UAV Path Planning
3.1. Population Initialization
3.2. Dynamic Global Exploration Mechanism
3.3. Adaptive T-Distribution-Based Perturbation Mechanism
3.4. Dynamic Weight Updating Mechanism
3.5. Implementation of the MMDBO in UAV Path Planning
| Algorithm 1: MMDBO |
| Input: Population size , optimization dimension , total number of iterations Initialize MMDBO ’s population by Equation (12); While () do For i = 1: Population size of the particle swarm do Get and update the ball-rolling dung beetle’s positioning by Equation (13); Determine the brood ball’s position by using standard DBO strategy [31]; Update the small dung beetle’s position by Equation (14); Update the thief’s position by Equation (17); Update ; Calculate the fitness of each particle by Equation (11); ; End for End while Return and fitness. Output: Generate paths from best solution in . |
3.6. Time Complexity Analysis
4. Results and Discussion
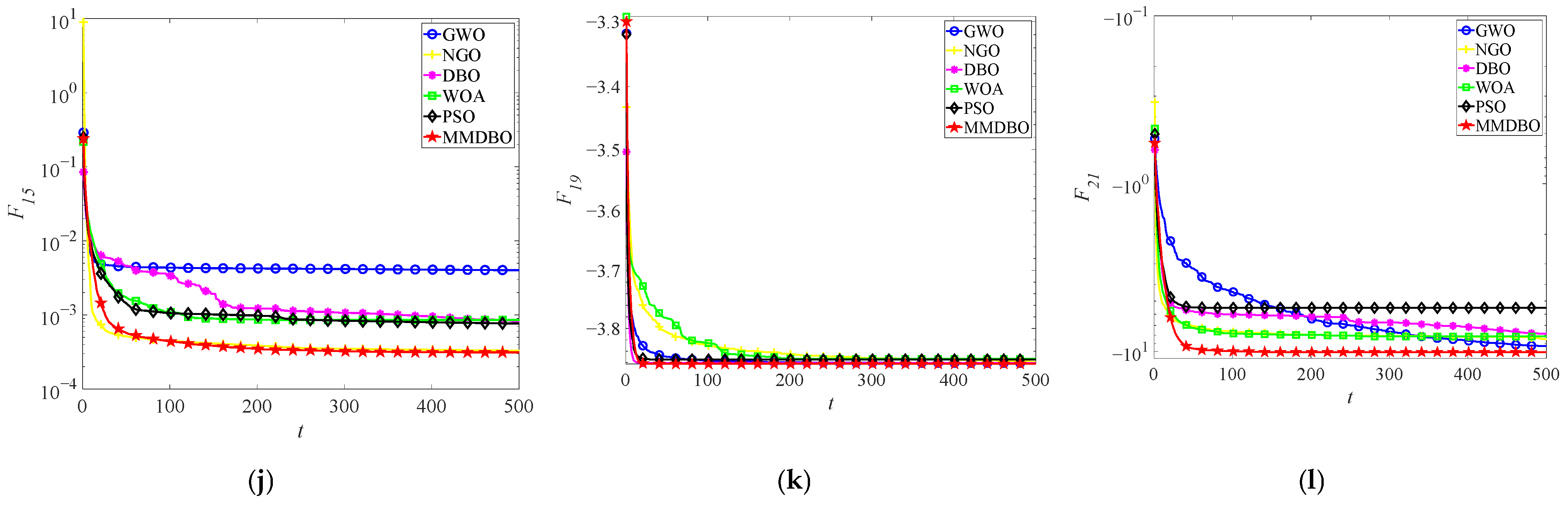
4.1. Performance on Benchmark Functions
4.2. Experimental Validation
5. Conclusions
Author Contributions
Funding
Data Availability Statement
Conflicts of Interest
References
- Pan, Z.; Zhang, C.; Xia, Y.; Xiong, H.; Shao, X. An improved artificial potential field method for path planning and formation control of the multi-UAV systems. IEEE Trans. Circuits Syst. II Express Briefs 2022, 69, 1129–1133. [Google Scholar] [CrossRef]
- Bapireddygari, H.; Anu, V.M. UAV-based aerial imaging and path optimization to combat mosquito-borne diseases. Pathog. Glob. Health 2025, 119, 198–209. [Google Scholar] [CrossRef] [PubMed]
- Si, J.; Xu, Y.; Niu, T.; Wang, L.; Li, B.; Deng, C.; Wang, S.; Wang, J. Dynamic docking algorithm for UGV to UAV based on single planning under disturbed conditions. ISA Trans. 2025, 157, 496–509. [Google Scholar] [CrossRef] [PubMed]
- Kanellopoulos, D.; Sharma, V.K.; Panagiotakopoulos, T.; Kameas, A. Networking architectures and protocols for IoT applications in smart cities: Recent developments and perspectives. Electronics 2023, 12, 2490. [Google Scholar] [CrossRef]
- Wang, Y.; Chen, Y. Quasi-static path planning for continuum robots by sampling on implicit manifold. IEEE Int. Conf. Robot Autom. 2024, 2024, 8728–8734. [Google Scholar] [CrossRef]
- Niu, J.; Shen, C.; Zhang, L.; Li, Q.; Ma, H. A multi-objective path optimization method for plant protection robots based on improved A*-IWOA. PeerJ Comput. Sci. 2024, 10, e2620. [Google Scholar] [CrossRef]
- Aggarwal, S.; Kumar, N. Path planning techniques for unmanned aerial vehicles: A review, solutions, and challenges. Comput. Commun. 2020, 149, 270–299. [Google Scholar] [CrossRef]
- Du, P.; He, X.; Cao, H.; Garg, S.; Kaddoum, G.; Hassan, M.M. AI-based energy-efficient path planning of multiple logistics UAVs in intelligent transportation systems. Comput. Commun. 2023, 207, 46–55. [Google Scholar] [CrossRef]
- Zhang, M.; Liu, S.; Zhou, Q.; Han, X. A novel path planning scheme based on Fast-IBi-RRT* algorithm for industrial robots. Appl. Intell. 2025, 55, 785. [Google Scholar] [CrossRef]
- Zhou, K.; Wang, K.; Wang, Y.; Qu, X. A risk-based unmanned aerial vehicle path planning scheme for complex air-ground environments. Risk Anal. 2024. [Google Scholar] [CrossRef]
- Zhang, W.; Li, J.; Yu, W.; Ding, P.; Wang, J.; Zhang, X. Algorithm for UAV path planning in high obstacle density environments: RFA-star. Front. Plant. Sci. 2024, 15, 1391628. [Google Scholar] [CrossRef] [PubMed]
- Ye, C.; Shao, P.; Zhang, S.; Wang, W. Three-dimensional unmanned aerial vehicle path planning utilizing artificial gorilla troops optimizer incorporating combined mutation and quadratic interpolation operators. ISA Trans. 2024, 149, 196–216. [Google Scholar] [CrossRef] [PubMed]
- Zhao, J.; Deng, C.; Yu, H.; Fei, H.; Li, D. Path planning of unmanned vehicles based on adaptive particle swarm optimization algorithm. Comput. Commun. 2024, 216, 112–129. [Google Scholar] [CrossRef]
- Zhang, X.; Duan, H. An improved constrained differential evolution algorithm for unmanned aerial vehicle global route planning. Appl. Soft Comput. 2015, 26, 270–284. [Google Scholar] [CrossRef]
- Dijkstra, E.W. A note on two problems in connexion with graphs. Numer. Math. 1959, 1, 269–271. [Google Scholar] [CrossRef]
- Hart, P.E.; Nilsson, N.J.; Raphael, B. A formal basis for the heuristic determination of minimum cost paths. IEEE Trans. Syst. Sci. Cybern. 1968, 4, 100–107. [Google Scholar] [CrossRef]
- Behera, G.C.; Bagal, D.K.; Muduli, P.K.; Maghrabi, L.A.; Mohanta, H.C. Parametric optimization of torsional parameters of ferrocement “U” wrapped beams using recent meta-heuristic optimization algorithms. Materials 2023, 16, 6727. [Google Scholar] [CrossRef]
- Li, H.; Li, N.; Guo, Y.; Yuan, H.; Lei, B. Meta-heuristic device-free localization algorithm under multiple path effect. Entropy 2023, 25, 1025. [Google Scholar] [CrossRef]
- Fu, B.; Chen, L.; Zhou, Y.; Zheng, D.; Wei, Z.; Dai, J.; Pan, H. An improved A* algorithm for the industrial robot path planning with high success rate and short length. Robot. Auton. Syst. 2018, 106, 26–37. [Google Scholar] [CrossRef]
- Liu, L.; Yao, J.; He, D.; Chen, J.; Huang, J.; Xu, H.; Wang, B.; Guo, J. global dynamic path planning fusion algorithm combining jump-A* algorithm and dynamic window approach. IEEE Access 2021, 9, 19632–19638. [Google Scholar] [CrossRef]
- Kennedy, J.; Eberhart, R. Particle swarm optimization. In Proceedings of the ICNN’95—International Conference on Neural Networks, Perth, WA, Australia, 27 November–1 December 1995; IEEE: New York, NY, USA, 1995; Volume 1944, pp. 1942–1948. [Google Scholar]
- Yu, Z.; Si, Z.; Li, X.; Wang, D.; Song, H. A novel hybrid particle swarm optimization algorithm for path planning of UAVs. IEEE Internet Things J. 2022, 9, 22547–22558. [Google Scholar] [CrossRef]
- Mirjalili, S.; Mirjalili, S.M.; Lewis, A. grey wolf optimizer. Adv. Eng. Softw. 2014, 69, 46–61. [Google Scholar] [CrossRef]
- Feng, W.-Q.; Yang, Y.; Yang, L.-F.; Fu, Y.-J.; Xu, K.-J. unmanned aerial vehicle logistics distribution path planning based on improved grey wolf optimization algorithm. Symmetry 2025, 17, 2178. [Google Scholar] [CrossRef]
- Ibrahim, A.T.; Hassan, I.H.; Abdullahi, M.; Kana, A.F.D.; Abubakar, A.H.; Mohammed, M.T.; Gabralla, L.A.; Rusydi, M.K.; Chiroma, H. hybrid attention-enhanced xception and dynamic chaotic whale optimization for brain tumor diagnosis. Bioengineering 2025, 12, 747. [Google Scholar] [CrossRef] [PubMed]
- Dai, Y.; Yu, J.; Zhang, C.; Zhan, B.; Zheng, X. A novel whale optimization algorithm of path planning strategy for mobile robots. Appl. Intell. 2023, 53, 10843–10857. [Google Scholar] [CrossRef]
- Zhang, F. Multi-strategy improved northern goshawk optimization algorithm and application. IEEE Access 2024, 12, 34247–34264. [Google Scholar] [CrossRef]
- Yang, Y.; Sun, L.; Fu, Y.; Feng, W.; Xu, K. Three-dimensional UAV trajectory planning based on improved sparrow search algorithm. Symmetry 2025, 17, 2071. [Google Scholar] [CrossRef]
- Tang, K.; Zhang, L. An enhanced whale optimization algorithm with outpost and multi-population mechanisms for high-dimensional optimization and medical diagnosis. PLoS ONE 2025, 20, e0325272. [Google Scholar] [CrossRef]
- Xue, J.; Shen, B. Dung beetle optimizer: A new meta-heuristic algorithm for global optimization. J. Supercomput. 2023, 79, 7305–7336. [Google Scholar] [CrossRef]
- Ye, M.; Zhou, H.; Yang, H.; Hu, B.; Wang, X. Multi-strategy improved dung beetle optimization algorithm and its applications. Biomimetics 2024, 9, 291. [Google Scholar] [CrossRef]
- Duong, T.T.N.; Bui, D.-N.; Phung, M.D. Navigation variable-based multi-objective particle swarm optimization for UAV path planning with kinematic constraints. Neural Comput. Appl. 2025, 37, 5683–5697. [Google Scholar] [CrossRef]
- Guo, C.; Huang, L.; Tian, K. Combinatorial optimization for UAV swarm path planning and task assignment in multi-obstacle battlefield environment. Appl. Soft Comput. 2025, 171, 112773. [Google Scholar] [CrossRef]
- Huang, F.; Zhu, Y.; Zhou, Z. Irregular euclidean distance constellation design for quadrature index modulation. IEEE Commun. Lett. 2023, 27, 2928–2932. [Google Scholar] [CrossRef]
- Mirjalili, S.; Mirjalili, S.M.; Hatamlou, A. Multi-verse optimizer: A nature-inspired algorithm for global optimization. Neural Comput. Appl. 2016, 27, 495–513. [Google Scholar] [CrossRef]









| Algorithm Category | Algorithm Name | Advantages | Disadvantages |
|---|---|---|---|
| Classical Traditional Algorithms | Dijkstra’s Algorithm | 1. Simple to implement and understand; 2. Ensures global optimal solution for single-source shortest path; 3. High stability and reproducibility; 4. Suitable for static networks with non-negative edge weights. | 1. Inapplicable to dynamic environments; 2. Low efficiency in large-scale networks; 3. Ignores practical constraints; 4. Invalid for negative weight edges. |
| A* | 1. Higher search efficiency than Dijkstra; 2. Guarantees optimal path with proper heuristic function; 3. Flexible heuristic function customization. | 1. Sensitive to heuristic function design; 2. Poor dynamic adaptability; 3. Weak support for high-dimensional/multi-constraint problems. | |
| Meta-Heuristic Algorithms | PSO | 1. Simple structure and few parameters; 2. Fast initial convergence; 3. Good for continuous space optimization; 4. Expandable for multi-objective tasks. | 1. Prone to local optimum in late iteration; 2. Requires manual parameter tuning; 3. Needs discretization for discrete path planning. |
| GWO | 1. No gradient information needed; 2. Strong global search ability; 3. Few parameters and high robustness; 4. Good for multi-modal functions. | 1. Slow late convergence; 2. Reduced efficiency in high-dimensional problems; 3. Needs improvement for dynamic environments. | |
| WOA | 1. Strong global exploration; 2. Simple implementation with few parameters; 3. Good for non-convex/multi-modal problems. | 1. Population initialization affects convergence; 2. Weak local development ability; 3. Needs improved coding for discrete tasks. | |
| NGO | 1. Strong adaptability and high convergence accuracy; 2. Balanced global/local search; 3. Good for high-dimensional optimization. | 1. Higher complexity than GWO/WOA; 2. Population size impacts performance; 3. Few path-planning applications. | |
| SSA | 1. Strong dynamic adaptability with early warning mechanism; 2. Balanced search ability and fast convergence; 3. Sensitive to dynamic obstacles. | 1. Difficult parameter tuning; 2. Prone to premature convergence in large-scale tasks; 3. Poor path smoothness. | |
| DBO | 1. Strong global search, hard to fall into local optimum; 2. Fast convergence and high accuracy; 3. Good for high-dimensional tasks; 4. Few parameters and high robustness. | 1. High computational complexity in large-scale tasks; 2. Weak late local development; 3. Needs improvement for discrete path optimization. | |
| MMDBO | 1. Strong global search; 2. effectiveness in escaping local optima; 3. Fast convergence and high accuracy. | 1. High computational complexity in obstacle-dense environments; 2. Sensitive to parameter configuration. |
| Functions | PSO | WOA | NGO | GWO | DBO | MMDBO | |
| Ave | 0.00015255 | 1.096 × 10−86 | 2.7666 × 10−87 | 1.4579 × 10−27 | 9.0801 × 10−101 | 0 | |
| Std | 0.00043209 | 2.6134 × 10−71 | 8.111 × 10−87 | 3.4764 × 10−27 | 9.0527 × 10−100 | 0 | |
| Opt | 2.7627 × 10−8 | 2.5924 × 10−70 | 5.6285 × 10−90 | 8.9262 × 10−30 | 3.5292 × 10−162 | 0 | |
| Runtime/s | 0.016 | 0.0315 | 0.0369 | 0.0398 | 0.0376 | 0.0471 | |
| Ave | 0.77597 | 1.0468 × 10−49 | 1.4973 × 10−45 | 9.1928 × 10−17 | 5.2207 × 10−49 | 1.2891 × 10−243 | |
| Std | 1.477 | 7.3783 × 10−49 | 2.018 × 10−45 | 8.2948 × 10−17 | 5.2138 × 10−48 | 0 | |
| Opt | 0.0082835 | 5.9447 × 10−59 | 1.3175 × 10−46 | 1.1304 × 10−17 | 2.1774× 10−83 | 1.1374 × 10−286 | |
| Runtime/s | 0.0165 | 0.0379 | 0.0398 | 0.0418 | 0.0386 | 0.0416 | |
| Ave | 80.2441 | 41,441.557 | 2.7564 × 10−22 | 4.4445 × 10−5 | 3.7333 × 10−46 | 0 | |
| Std | 91.5147 | 13,330.513 | 1.6378 × 10−21 | 0.00026933 | 3.7329 × 10−45 | 0 | |
| Opt | 10.3247 | 1651.8321 | 1.2378 × 10−30 | 4.0754 × 10−9 | 3.7571 × 10−144 | 0 | |
| Runtime/s | 0.0736 | 0.1019 | 0.1531 | 0.0979 | 0.0980 | 0.1042 | |
| Ave | 2.5779 | 49.5737 | 2.1667 × 10−37 | 7.4506 × 10−7 | 9.0233 × 10−50 | 3.5996 × 10−239 | |
| Std | 1.2243 | 27.9733 | 3.5603 × 10−37 | 7.8328 × 10−7 | 8.0577 × 10−49 | 0 | |
| Opt | 0.59245 | 0.28911 | 6.5366 × 10−39 | 3.9133 × 10−8 | 6.0399 × 10−82 | 2.7626 × 10−283 | |
| Runtime/s | 0.0164 | 0.0289 | 0.0375 | 0.0393 | 0.0371 | 0.0401 | |
| Functions | PSO | WOA | NGO | GWO | DBO | MMDBO | |
|---|---|---|---|---|---|---|---|
| Ave | 67.0223 | 1.7053 × 10−15 | 0 | 2.7192 | 1.5775 | 0 | |
| Std | 18.2575 | 1.2659 × 10−14 | 0 | 3.6578 | 4.5813 | 0 | |
| Opt | 26.8713 | 0 | 0 | 0 | 0 | 0 | |
| Runtime | 0.0212 | 0.0330 | 0.0415 | 0.0420 | 0.0403 | 0.0419 | |
| Ave | 2.4621 | 4.0856 × 10−15 | 6.3949 × 10−15 | 1.0182 × 10−13 | 9.5923 × 10−16 | 8.8818 × 10−16 | |
| Std | 0.91579 | 2.3414 × 10−15 | 1.7764 × 10−15 | 1.7273 × 10−14 | 4.9989 × 10−16 | 0 | |
| Opt | 0.0038924 | 8.8818 × 10−16 | 4.4409 × 10−15 | 7.5495 × 10−14 | 8.8818 × 10−16 | 8.8818 × 10−16 | |
| Runtime | 0.0208 | 0.0367 | 0.0411 | 0.0416 | 0.0412 | 0.0419 | |
| Ave | 0.036137 | 0.0094176 | 0 | 0.0046581 | 0.0010513 | 0 | |
| Std | 0.042748 | 0.045792 | 0 | 0.0092141 | 0.010513 | 0 | |
| Opt | 4.4406 × 10−7 | 0 | 0 | 0 | 0 | 0 | |
| Runtime | 0.0261 | 0.0408 | 0.0490 | 0.0459 | 0.0444 | 0.0458 | |
| Ave | 0.78356 | 0.026849 | 9.046 × 10−5 | 0.046287 | 0.0020577 | 1.9228 × 10−5 | |
| Std | 1.0901 | 0.0548 | 0.00065384 | 0.030103 | 0.012093 | 0.00018773 | |
| Opt | 2.7908 × 10−8 | 0.0032169 | 6.3764 × 10−8 | 0.012071 | 1.2618 × 10−8 | 2.2819 × 10−11 | |
| Runtime | 0.1196 | 0.1534 | 0.2472 | 0.1465 | 0.1455 | 0.1495 | |
| Functions | PSO | WOA | NGO | GWO | DBO | MMDBO | |
|---|---|---|---|---|---|---|---|
| Ave | 3.4805 | 2.6504 | 2.2827 | 4.749 | 1.5125 | 0.998 | |
| Std | 2.7271 | 2.7563 | 2.6191 | 4.1557 | 1.2682 | 5.4664 × 10−17 | |
| Opt | 0.998 | 0.998 | 0.998 | 0.998 | 0.998 | 0.998 | |
| Runtime | 0.1726 | 0.2095 | 0.3716 | 0.1788 | 0.2003 | 0.2063 | |
| Ave | 0.00076186 | 0.00074166 | 0.00032933 | 0.0046057 | 0.00076183 | 0.00031219 | |
| Std | 0.00038432 | 0.00078666 | 5.0684 × 10−5 | 0.0081673 | 0.0003807 | 4.535 × 10−5 | |
| Opt | 0.00030749 | 0.00030819 | 0.00030749 | 0.0003075 | 0.00030749 | 0.00030749 | |
| Runtime | 0.0088 | 0.0339 | 0.0330 | 0.0159 | 0.0335 | 0.0350 | |
| Ave | −3.8551 | −3.8539 | −3.8592 | −3.8616 | −3.8612 | −3.8628 | |
| Std | 0.077302 | 0.017187 | 0.016677 | 0.0023865 | 0.0031685 | 2.2115 × 10−15 | |
| Opt | −3.8628 | −3.8628 | −3.8628 | −3.8628 | −3.8628 | −3.8628 | |
| Runtime | 0.0109 | 0.0410 | 0.0384 | 0.0167 | 0.0363 | 0.0397 | |
| Ave | −5.4968 | −8.1475 | −8.4428 | −9.3007 | −7.862 | −10.1022 | |
| Std | 3.272 | 2.8735 | 3.6155 | 2.0733 | 2.5204 | 0.5098 | |
| Opt | −10.1532 | −10.1532 | −10.1532 | −10.1532 | −10.1532 | −10.1532 | |
| Runtime | 0.0137 | 0.033 | 0.0437 | 0.0209 | 0.0397 | 0.0440 | |
| Scenario | No. | Obstacle/Threat | Position/(x,y,z) | /m | /m |
|---|---|---|---|---|---|
| 2 | 1 | Cylinder | (450,550,250) | 70 | 250 |
| 2 | Cylinder | (600,250,250) | 70 | 150 | |
| 3 | Sphere | (500,700,250) | 80 | / | |
| 4 | Sphere | (700,650,250) | 50 | / | |
| 3 | 1 | Cylinder | (300,400,250) | 50 | 200 |
| 2 | Cylinder | (400,200,250) | 80 | 150 | |
| 3 | Cylinder | (450,450,250) | 50 | 250 | |
| 4 | Cylinder | (500,650,250) | 80 | 200 | |
| 5 | Cylinder | (600,300,250) | 100 | 150 | |
| 6 | Sphere | (300,600,250) | 100 | / | |
| 7 | Sphere | (700,650,250) | 50 | / | |
| 8 | Sphere | (750,450,250) | 80 | / |
| Comb. | Level 1 | Level 2 | Level 3 | Level 4 |
|---|---|---|---|---|
| Weight |
| Scenario | Comb. | ||||
|---|---|---|---|---|---|
| 1 | Level 1 | 953.9(11.3) | 30.6(3.8) | 8.9(1.4) | 0(0) |
| Level 2 | 984.0(20.1) | 18.2(1.5) | 7.9(1.2) | 0(0) | |
| Level 3 | 966.9(23.5) | 31.0(2.9) | 4.9(0.6) | 0(0) | |
| Level 4 | 958.9(9.1) | 26.2(2.9) | 7.9(0.8) | 0(0) | |
| 2 | Level 1 | 971.6(32.3) | 29.0(2.8) | 8.3(1.9) | 0.2(0.6) |
| Level 2 | 1024.9(65.6) | 19.5(3.1) | 8.2(1.0) | 9.8 × 10−4(0.003) | |
| Level 3 | 1018.1(54.7) | 35.2(7.6) | 5.9(1.1) | 3.8 × 10−3(0.01) | |
| Level 4 | 978.5(25.3) | 25.5(2.6) | 8.0(1.4) | 0(0) | |
| 3 | Level 1 | 1050.3(36.6) | 34.1(4.5) | 8.0(1.0) | 0.0102(0.03) |
| Level 2 | 1136.3(58.9) | 22.4(3.2) | 8.1(1.4) | 6.1 × 10−5(1.9 × 10−4) | |
| Level 3 | 1083.4(40.4) | 38.9(7.4) | 5.7(0.6) | 0(0) | |
| Level 4 | 1057.6(28.5) | 31.6(5.9) | 7.1(0.9) | 0(0) |
| Scenario | Algorithm | Runtime(s) | ||||
|---|---|---|---|---|---|---|
| 1 | PSO | 957.6(12.9) | 25.2(2.6) | 8.4(1.6) | 0(0) | 113.4 |
| DBO | 962.1(16.8) | 27.9(4.6) | 9.5(1.9) | 0(0) | 112.3 | |
| MMDBO (Level 4) | 958.9(9.1) | 26.2(2.9) | 7.9(0.8) | 0(0) | 112.9 | |
| 2 | PSO | 985.9(27.7) | 26.5(2.9) | 8.8(2.0) | 0(0) | 116.3 |
| DBO | 983.4(32.9) | 28(4.4) | 8.9(2.4) | 0.001(0.004) | 113.5 | |
| MMDBO (Level 4) | 978.5(25.3) | 25.5(2.6) | 8.0(1.4) | 0(0) | 118.7 | |
| 3 | PSO | 1118.0(137.3) | 39.5(12.0) | 8.4(0.4) | 0(0) | 117.9 |
| DBO | 1108.9(41.1) | 38.6(8) | 8.4(1.9) | 0(0) | 114.2 | |
| MMDBO (Level 4) | 1057.6(28.5) | 31.6(5.9) | 7.1(0.9) | 0(0) | 120.3 |
| Algorithm Comparison | Scenario 1 | Scenario 2 | Scenario 3 | |||
|---|---|---|---|---|---|---|
| MMDBO vs. PSO | p = 0.0041 | Significant (p < 0.05) | p = 0.0022 | Significant (p < 0.05) | p = 0.0015 | Significant (p < 0.05) |
| MMDBO vs. DBO | p = 0.0024 | Significant (p < 0.05) | p = 0.0034 | Significant (p < 0.05) | p = 0.0027 | Significant (p < 0.05) |
| PSO vs. DBO | p = 0.0026 | Significant (p < 0.05) | p = 0.056 | Not significant (p > 0.05) | p = 0.0032 | Significant (p < 0.05) |
Disclaimer/Publisher’s Note: The statements, opinions and data contained in all publications are solely those of the individual author(s) and contributor(s) and not of MDPI and/or the editor(s). MDPI and/or the editor(s) disclaim responsibility for any injury to people or property resulting from any ideas, methods, instructions or products referred to in the content. |
© 2026 by the authors. Licensee MDPI, Basel, Switzerland. This article is an open access article distributed under the terms and conditions of the Creative Commons Attribution (CC BY) license.
Share and Cite
Zhang, L.; Li, Y.; Yu, Y.; Retscher, G. A UAV Path-Planning Method Based on Multi-Mechanism Improved Dung Beetle Optimizer Algorithm in Complex Constrained Environments. Symmetry 2026, 18, 383. https://doi.org/10.3390/sym18020383
Zhang L, Li Y, Yu Y, Retscher G. A UAV Path-Planning Method Based on Multi-Mechanism Improved Dung Beetle Optimizer Algorithm in Complex Constrained Environments. Symmetry. 2026; 18(2):383. https://doi.org/10.3390/sym18020383
Chicago/Turabian StyleZhang, Lin, Yan Li, Yang Yu, and Guenther Retscher. 2026. "A UAV Path-Planning Method Based on Multi-Mechanism Improved Dung Beetle Optimizer Algorithm in Complex Constrained Environments" Symmetry 18, no. 2: 383. https://doi.org/10.3390/sym18020383
APA StyleZhang, L., Li, Y., Yu, Y., & Retscher, G. (2026). A UAV Path-Planning Method Based on Multi-Mechanism Improved Dung Beetle Optimizer Algorithm in Complex Constrained Environments. Symmetry, 18(2), 383. https://doi.org/10.3390/sym18020383

