Nonlinear Dynamics of M-Lump and Hybrid Solutions of a Novel (2+1)-Dimensional Generalized Sawada-Kotera Equation
Abstract
1. Introduction
2. M-Lump Solutions of Equation (4)
2.1. 2-Lump Solutions of Equation (4)
2.2. 3-Lump Solutions of Equation (4)
3. Hybrid Solutions of Equation (4)
3.1. Hybrid Solution Between 1-Lump Solution and 1-Stripe Soliton Solution of Equation (4)
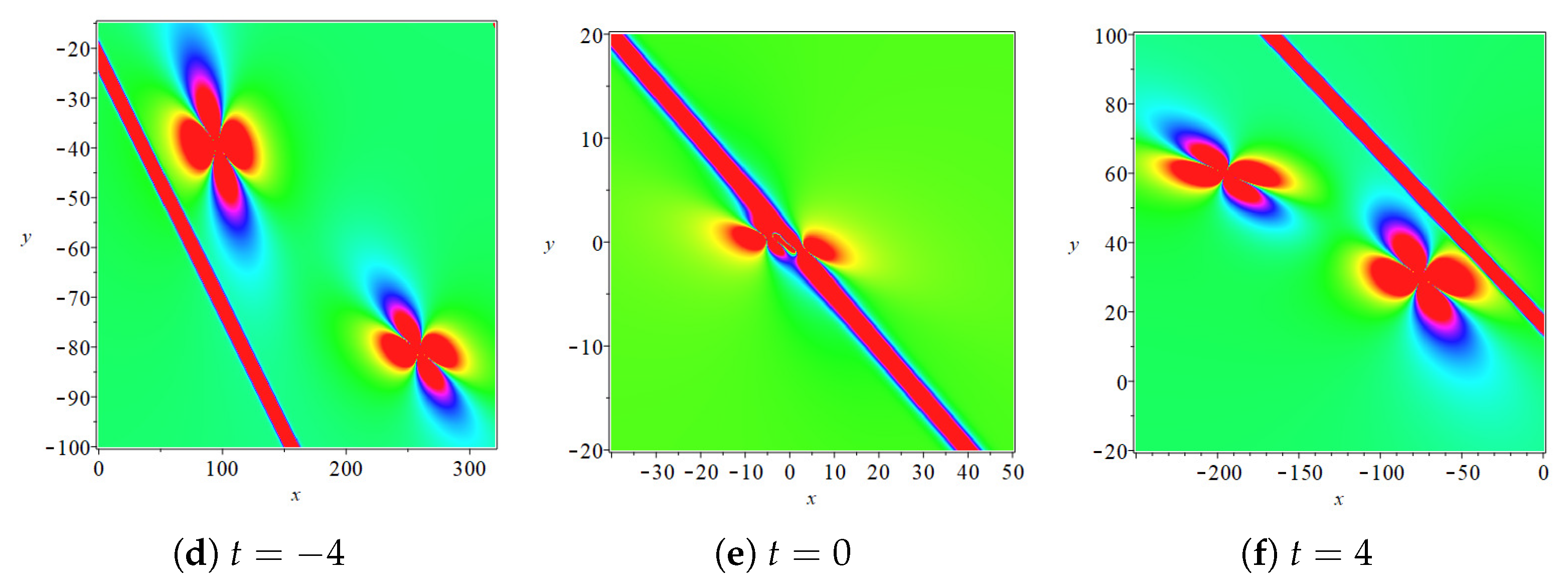
3.2. Hybrid Solution Between 2-Lump Solution and 1-Stripe Soliton Solution of Equation (4)
4. Conclusions
Author Contributions
Funding
Data Availability Statement
Conflicts of Interest
References
- Xu, L.; Wang, D.S.; Wen, X.Y.; Jiang, Y.L. Exotic Localized Vector Waves in a Two-Component Nonlinear Wave System. J. Nonlinear Sci. 2020, 30, 537–564. [Google Scholar] [CrossRef]
- Ma, W.X.; Fan, E.G. Linear superposition principle applying to Hirota bilinear equations. Comput. Math. Appl. 2011, 61, 950–959. [Google Scholar] [CrossRef]
- Liu, M.M.; Yu, J.P.; Ma, W.X.; Sun, Y.L.; Khalique, C.M. Dynamic Analysis of lump solutions based on the dimensionally reduced generalized Hirota bilinear KP-Boussinesq equation. Mod. Phys. Lett. B 2023, 37, 2250203. [Google Scholar] [CrossRef]
- Matveev, V.B.; Salle, M.A. Darboux Transformations and Solitons; Springer: Berlin/Heidelberg, Germany, 1992. [Google Scholar]
- Tao, Y.S.; He, J.S. Multisolitons, breathers, and rogue waves for the Hirota equation generated by the Darboux transformation. Phys. Rev. E 2012, 85, 026601. [Google Scholar] [CrossRef] [PubMed]
- Rogers, C.; Schief, W.K. Bäcklund and Darboux Transformations: Geometry and Modern Applications in Soliton Theory; Cambridge University Press: Cambridge, UK, 2002. [Google Scholar]
- Manakov, S.V.; Zakharov, V.E.; Bordag, L.A.; Its, A.R.; Matveev, V.B. Two-dimensional solitons of the Kadomtsev-Petviashvili equation and their interaction. Phys. Lett. A 1977, 63, 205–206. [Google Scholar]
- Ma, W.X. Lump solutions to the Kadomtsev–Petviashvili equation. Phys. Lett. A 2015, 379, 1975–1978. [Google Scholar] [CrossRef]
- Huang, L.L.; Chen, Y. Lump Solutions and Interaction Phenomenon for (2+1)-Dimensional Sawada-Kotera Equation. Commun. Theor. Phys. 2017, 67, 473–478. [Google Scholar]
- Gilson, C.R.; Nimmo, J.J.C. Lump solutions of the BKP equation. Phys. Lett. A 1990, 147, 472. [Google Scholar] [CrossRef]
- Rao, J.G.; Cheng, Y.; He, J.S. Rational and semirational solutions of the nonlocal Davey–Stewartson equations. Stud. Appl. Math. 2017, 139, 568–598. [Google Scholar] [CrossRef]
- Ma, W.X.; Qin, Z.; Lü, X. Lump solutions to dimensionally reduced p-gKP and p-gBKP equations. Nonlinear Dyn. 2016, 84, 923–931. [Google Scholar] [CrossRef]
- Wang, D.S.; Guo, B.L.; Wang, X.L. Long-time asymptotics of the focusing Kundu-Eckhaus equation with nonzero boundary conditions. J. Diff. Equ. 2019, 266, 5209–5253. [Google Scholar] [CrossRef]
- Yu, J.P.; Sun, Y.L. A note on the Gaussons of some new logarithmic evolution equations. Compt. Math. Appl. 2017, 74, 258–265. [Google Scholar] [CrossRef]
- Lü, X.; Chen, S.T.; Ma, W.X. Constructing lump solutions to a generalized Kadomtsev-Petviashvili-Boussinesq equation. Nonlinear Dyn. 2016, 86, 523–534. [Google Scholar] [CrossRef]
- Satsuma, J.; Ablowitz, M.J. Two-dimensional lumps in nonlinear dispersive systems. J. Math. Phys. 1979, 20, 1496–1503. [Google Scholar] [CrossRef]
- Sun, Y.L.; Ma, W.X.; Yu, J.P.; Khalique, C.M. Further study of the localized solutions of the (2+1)-dimensional B-Kadomtsev-Petviashvili equation. Commun. Nonlinear Sci. Numer. Simul. 2022, 107, 106131. [Google Scholar]
- Zhao, Z.L.; He, L.C. M-Lump and Hybrid Solutions of a Generalized (2+1)-Dimensional Hirota–Satsuma–Ito Equation. Appl. Math. Lett. 2021, 111, 106612. [Google Scholar] [CrossRef]
- Zhang, Y.; Liu, Y.P.; Tang, X.Y. M-lump solutions to a (3+1)-dimensional nonlinear evolution equation. Compu. Math. Appl. 2018, 76, 592–601. [Google Scholar] [CrossRef]
- Hirota, R. The Direct Method in Soliton Theory; Cambridge University Press: Cambridge, UK, 2004. [Google Scholar]
- Ma, W.X. Generalized bilinear differential equations. Stud. Nonlinear Sci. 2011, 2, 140–144. [Google Scholar]
- Hietarinta, J. Introduction to the Hirota bilinear method. In Integrability of Nonlinear Systems; Kosmann-Schwarzbach, Y., Grammaticos, B., Tamizhmani, K.M., Eds.; Springer: Berlin/Heidelberg, Germany, 1997; pp. 95–103. [Google Scholar]
- Ma, W.X.; Zhou, Y. Lump and lump-soliton solutions to the Hirota-Satsuma-Ito equation. Commun. Nonlinear Sci. Numer. Simul. 2019, 68, 56–62. [Google Scholar]
- Li, Y.; Yao, R.X.; Xia, Y.R.; Lou, S.Y. Plenty of novel interaction structures of soliton molecules and asymmetric solitons to (2+1)-dimensional Sawada-Kotera equation. Commun. Nonlinear Sci. Numer. Simul. 2021, 100, 105843. [Google Scholar] [CrossRef]
- Geng, X.G. Darboux transformation of the two–dimensional Sawada-Kotera equation. J. Appl. Math. 1989, 4, 494–497. [Google Scholar]
- Yu, J.P.; Ma, W.X.; Sun, Y.L.; Khalique, C.M. N-fold Darboux transformation and conservation laws of the modified Volterra lattice. Mod. Phys. Lett. B 2018, 32, 1850409. [Google Scholar] [CrossRef]
- Ablowitz, M.J.; Villarroel, J. Solutions to the time dependent Schrödinger and the Kadomtsev-Petviashvili equations. Phys. Rev. Lett. 1997, 78, 570–573. [Google Scholar] [CrossRef]
- Ma, W.X.; Abdeljabbar, A. A bilinear Bäcklund transformation of a (3+1)-dimensional generalized KP equation. Appl. Math. Lett. 2012, 25, 1500–1504. [Google Scholar] [CrossRef]
- Yu, J.P.; Sun, Y.L. A direct Bäcklund transformation for a (3+1)-dimensional Kadomtsev-Petviashvili-Boussinesq-like equation. Nonlinear Dyn. 2017, 90, 2263–2268. [Google Scholar] [CrossRef]
- An, B.; Feng, L.; Zhu, J. General M-lump, high-order breather and localized interaction solutions to the (2+1)-dimensional Sawada-Kotera equation. Nonlinear Dyn. 2019, 98, 3885–3897. [Google Scholar] [CrossRef]
- Chen, Y.; Li, M. M-lump and lump–kink solutions of the (2+1)-dimensional Caudrey-Dodd-Gibbon-Kotera-Sawada equation. Pramana J. Phys. 2020, 94, 122. [Google Scholar] [CrossRef]
- Zhang, Y.F.; He, J.S.; Liu, Y. Higher-order rational solutions and hybrid interaction solutions of a bidirectional Sawada–Kotera equation. J. Appl. Anal. Comput. 2021, 11, 2630–2649. [Google Scholar]
- Estévez, P.G.; Prada, J.; Villarroel, J. Lump solitons in a higher-order nonlinear equation in 2+1 dimensions. Phys. Rev. E 2016, 93, 062219. [Google Scholar] [CrossRef] [PubMed]
- Konopelchenko, B.G.; Dubrovsky, V.G. Some new integrable nonlinear evolution equations in 2+1 dimensions. Phys. Lett. A 1984, 102, 15–17. [Google Scholar] [CrossRef]
- Yu, J.P.; Sun, Y.L.; Wang, F.D. N-soliton solutions and long-time asymptotic analysis for a generalized complex Hirota-Satsuma coupled KdV equation. Appl. Math. Lett. 2020, 106, 106370. [Google Scholar] [CrossRef]
- Sawada, K.; Kotera, T. A method for finding N-soliton solutions of the KdV equation and KdV-like equations. Prog. Theor. Phys. 1974, 51, 1355–1367. [Google Scholar] [CrossRef]
- Caudrey, P.J.; Dodd, R.K.; Gibbon, J.D. A new hierarchy of Korteweg-de Vries equations. Proc. R. Soc. Lond. A Math. Phys. Sci. 1976, 351, 407–422. [Google Scholar] [CrossRef]
- Fuchssteiner, B.; Oevel, W. The bi-Hamiltonian structure of integrable systems. J. Math. Phys. 1982, 23, 358–363. [Google Scholar] [CrossRef]
- Gao, L.N.; Zi, Y.Y.; Yin, Y.H.; Ma, W.X.; Lü, X. Bäcklund transformation, multiple wave solutions and lump solutions to a (3+1)-dimensional nonlinear evolution equation. Nonlinear Dyn. 2017, 89, 2233–2240. [Google Scholar] [CrossRef]







Disclaimer/Publisher’s Note: The statements, opinions and data contained in all publications are solely those of the individual author(s) and contributor(s) and not of MDPI and/or the editor(s). MDPI and/or the editor(s) disclaim responsibility for any injury to people or property resulting from any ideas, methods, instructions or products referred to in the content. |
© 2026 by the authors. Licensee MDPI, Basel, Switzerland. This article is an open access article distributed under the terms and conditions of the Creative Commons Attribution (CC BY) license.
Share and Cite
Wang, X.; Yu, J.-P.; Sun, Y.-L. Nonlinear Dynamics of M-Lump and Hybrid Solutions of a Novel (2+1)-Dimensional Generalized Sawada-Kotera Equation. Symmetry 2026, 18, 242. https://doi.org/10.3390/sym18020242
Wang X, Yu J-P, Sun Y-L. Nonlinear Dynamics of M-Lump and Hybrid Solutions of a Novel (2+1)-Dimensional Generalized Sawada-Kotera Equation. Symmetry. 2026; 18(2):242. https://doi.org/10.3390/sym18020242
Chicago/Turabian StyleWang, Xuan, Jian-Ping Yu, and Yong-Li Sun. 2026. "Nonlinear Dynamics of M-Lump and Hybrid Solutions of a Novel (2+1)-Dimensional Generalized Sawada-Kotera Equation" Symmetry 18, no. 2: 242. https://doi.org/10.3390/sym18020242
APA StyleWang, X., Yu, J.-P., & Sun, Y.-L. (2026). Nonlinear Dynamics of M-Lump and Hybrid Solutions of a Novel (2+1)-Dimensional Generalized Sawada-Kotera Equation. Symmetry, 18(2), 242. https://doi.org/10.3390/sym18020242
