A New Hyperchaotic Map and Its Manifold of Conditional Symmetry
Abstract
1. Introduction
- The proposed discrete hyperchaotic map has an elegant structure hosting two-dimensional offset boosting, where a single constant rescales the average values of all variables simultaneously.
- The proposed two-dimensional discrete hyperchaotic system satisfies the polarity balance required for conditional symmetric construction. By introducing an absolute value function, conditional symmetry is coined, and consequently, the derived version generates a pair of coexisting attractors of conditional symmetry.
- Circuit implementation based on the hardware of CH32 verifies the unique dynamics of the proposed map and confirms its derived version of conditional symmetry.
- Three classical intelligent optimization algorithms are also enhanced by introducing the hyperchaotic sequences, including Ant Colony Optimization (ACO), Grey Wolf Optimizer (GWO), and Sparrow Search Algorithm (SSA), which are subsequently employed in robot path planning, showing their effectiveness and higher performance.
2. The Model of a 2-D Hyperchaotic Map and Its Basic Dynamics
2.1. System Model
2.2. Fixed Points and Their Stability
2.3. Basic Dynamics
2.3.1. Bifurcation Analysis Under the Parameter of a
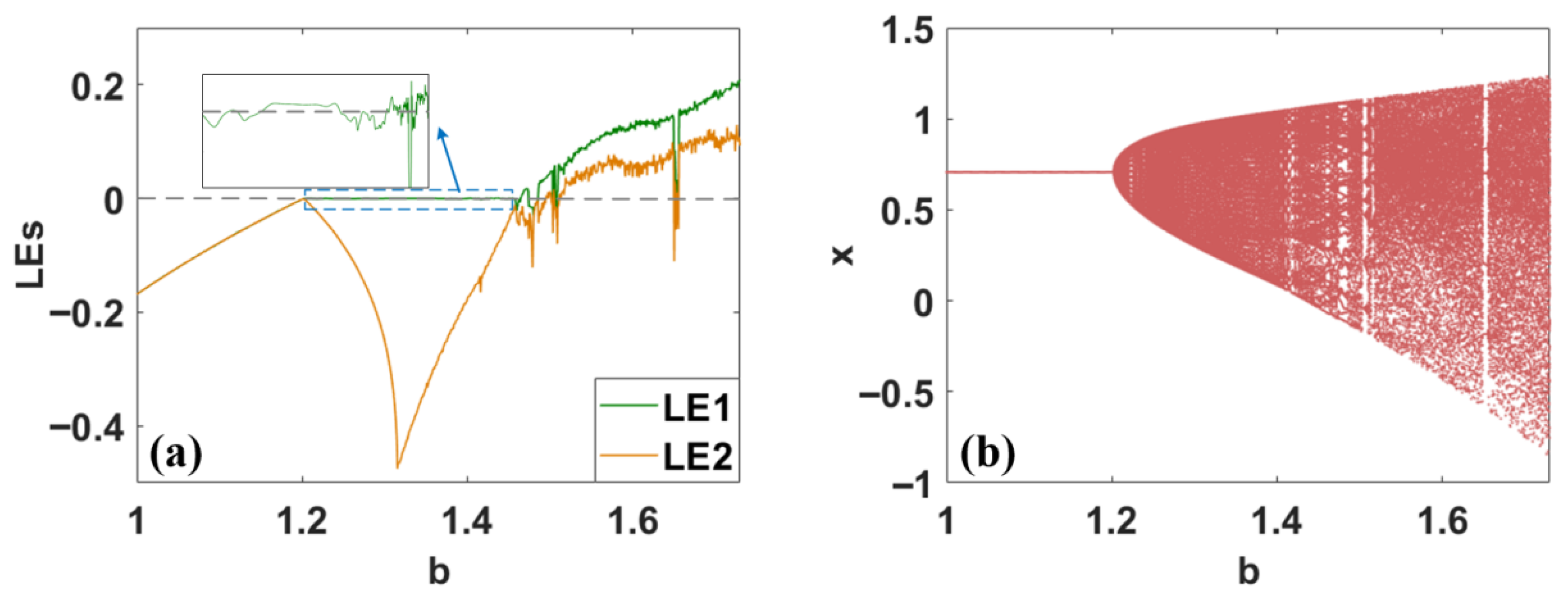
2.3.2. Bifurcation Analysis Under the Parameter of b
2.3.3. Bifurcation Analysis Under the Parameter of c
3. Two-Dimensional Offset Boosting
3.1. Case 1: a + b = 1
3.2. Case 2: a + b ≠ 1
4. Manifold of Conditional Symmetry
5. Circuit Implementation Based on CH32
6. Application in Path Optimization
7. Conclusions
Author Contributions
Funding
Data Availability Statement
Conflicts of Interest
References
- Lorenz, E.N. Deterministic nonperiodic flow. J. Atmos. Sci. 1963, 20, 130–141. [Google Scholar] [CrossRef]
- Feigenbaum, M.J. Quantitative universality for a class of nonlinear transformations. J. Stat. Phys. 1978, 19, 25–52. [Google Scholar] [CrossRef]
- Li, T.Y.; Yorke, J.A. Period three implies chaos. Am. Math. Mon. 1975, 82, 985–992. [Google Scholar] [CrossRef]
- Holden, A.V. Chaos; Princeton University Press: Princeton, NJ, USA, 2014. [Google Scholar]
- Wiener, N. The homogeneous chaos. Am. J. Math. 1938, 60, 897–936. [Google Scholar] [CrossRef]
- Kapitaniak, T. Continuous control and synchronization in chaotic systems. Chaos Solitons Fractals 1995, 6, 237–244. [Google Scholar] [CrossRef]
- Wang, Y.W.; Guan, Z.H. Generalized synchronization of continuous chaotic system. Chaos Solitons Fractals 2006, 27, 97–101. [Google Scholar] [CrossRef]
- Chen, G.; Dong, X. On feedback control of chaotic continuous-time systems. IEEE Trans. Circuits Syst. I Fundam. Theory Appl. 1993, 40, 591–601. [Google Scholar] [CrossRef]
- Boukabou, A.; Chebbah, A.; Mansouri, N. Predictive control of continuous chaotic systems. Int. J. Bifurc. Chaos 2008, 18, 587–592. [Google Scholar] [CrossRef]
- Clemente-López, D.; Munoz-Pacheco, J.M.; Rangel-Magdaleno, J.J. A review of the digital implementation of continuous-time fractional-order chaotic systems using FPGAs and embedded hardware. Arch. Comput. Methods Eng. 2023, 30, 951. [Google Scholar] [CrossRef]
- Zhang, X.; Li, C.; Dong, E.; Zhao, Y.; Liu, Z. A conservative memristive system with amplitude control and offset boosting. Int. J. Bifurc. Chaos 2022, 32, 2250057. [Google Scholar] [CrossRef]
- Li, C.; Gao, Y.; Lei, T.; Li, R.Y.M.; Xu, Y. Two independent offset controllers in a three-dimensional chaotic system. Int. J. Bifurc. Chaos 2024, 34, 2450008. [Google Scholar] [CrossRef]
- Johnson, J.M.; Bajaj, A.K. Amplitude modulated and chaotic dynamics in resonant motion of strings. J. Sound Vib. 1989, 128, 87–107. [Google Scholar] [CrossRef]
- Li, C.; Jiang, Y.; Ma, X. On offset boosting in chaotic system. Chaos Theory Appl. 2021, 3, 47–54. [Google Scholar] [CrossRef]
- Dong, C. Dynamic analysis of a novel 3D chaotic system with hidden and coexisting attractors: Offset boosting, synchronization, and circuit realization. Fractal Fract. 2022, 6, 547. [Google Scholar] [CrossRef]
- Ramar, R. Design of a new chaotic system with sine function: Dynamic analysis and offset boosting control. Chaos Theory Appl. 2023, 5, 118–126. [Google Scholar] [CrossRef]
- Martelli, M. Introduction to Discrete Dynamical Systems and Chaos; John Wiley & Sons: Hoboken, NJ, USA, 2011. [Google Scholar]
- Kocarev, L.; Szczepanski, J.; Amigó, J.M.; Tomovski, I. Discrete chaos-i: Theory. IEEE Trans. Circuits Syst. I Regul. Pap. 2006, 53, 1300–1309. [Google Scholar] [CrossRef]
- Elaydi, S.N. Discrete Chaos: With Applications in Science and Engineering; Chapman and Hall/CRC: Boca Raton, FL, USA, 2007. [Google Scholar]
- Ott, E.; Grebogi, C.; Yorke, J.A. Controlling chaos. Phys. Rev. Lett. 1990, 64, 1196–1199. [Google Scholar] [CrossRef]
- Boccaletti, S.; Kurths, J.; Osipov, G.; Valladares, D.L.; Zhou, C.S. The synchronization of chaotic systems. Phys. Rep. 2002, 366, 1–101. [Google Scholar] [CrossRef]
- Kong, S.; Li, C.; Jiang, H.; Lai, Q.; Jiang, X. A 2D hyperchaotic map with conditional symmetry and attractor growth. Chaos Interdiscip. J. Nonlinear Sci. 2021, 31, 043121. [Google Scholar] [CrossRef] [PubMed]
- Ostrovskii, V.Y.; Rybin, V.G.; Karimov, A.I.; Butusov, D.N. Inducing multistability in discrete chaotic systems using numerical integration with variable symmetry. Chaos Solitons Fractals 2022, 165, 112794. [Google Scholar] [CrossRef]
- Ren, L.; Mou, J.; Banerjee, S.; Zhang, Y. A hyperchaotic map with a new discrete memristor model: Design, dynamical analysis, implementation and application. Chaos Solitons Fractals 2023, 167, 113024. [Google Scholar] [CrossRef]
- Jin, J.; Chen, W.; Ouyang, A.; Yu, F.; Liu, H. A time-varying fuzzy parameter zeroing neural network for the synchronization of chaotic systems. IEEE Trans. Emerg. Top. Comput. Intell. 2023, 8, 364–376. [Google Scholar] [CrossRef]
- Liu, X.; Zhao, L.; Jin, J. A noise-tolerant fuzzy-type zeroing neural network for robust synchronization of chaotic systems. Concurr. Comput. Pract. Exp. 2024, 36, e8218. [Google Scholar] [CrossRef]
- Pourasad, Y.; Ranjbarzadeh, R.; Mardani, A. A new algorithm for digital image encryption based on chaos theory. Entropy 2021, 23, 341. [Google Scholar] [CrossRef]
- Yang, F.; An, X. A new discrete chaotic map application in image encryption algorithm. Phys. Scr. 2022, 97, 035202. [Google Scholar] [CrossRef]
- Alhadawi, H.S.; Majid, M.A.; Lambić, D.; Ahmad, M. A novel method of S-box design based on discrete chaotic maps and cuckoo search algorithm. Multimed. Tools Appl. 2021, 80, 7333–7350. [Google Scholar] [CrossRef]
- Yu, F.; Wang, X.; Guo, R.; Ying, Z.; Cai, S.; Jin, J. Dynamical analysis, hardware implementation, and image encryption application of new 4D discrete hyperchaotic maps based on parallel and cascade memristors. Integration 2025, 104, 102475. [Google Scholar] [CrossRef]
- Grassi, G. Chaos in the real world: Recent applications to communications, computing, distributed sensing, robotic motion, bio-impedance modelling and encryption systems. Symmetry 2021, 13, 2151. [Google Scholar] [CrossRef]
- Tutsoy, O.; Barkana, D.E. Model free adaptive control of the under-actuated robot manipulator with the chaotic dynamics. ISA Trans. 2021, 118, 106–115. [Google Scholar] [CrossRef]
- Parhi, D.R. Chaos-based optimal path planning of humanoid robot using hybridized regression-gravity search algorithm in static and dynamic terrains. Appl. Soft Comput. 2023, 140, 110236. [Google Scholar]
- Rossler, O.E. An equation for hyperchaos. Phys. Lett. A 1979, 71, 155–157. [Google Scholar] [CrossRef]
- Tian, H.; Yi, X.; Zhang, Y.; Wang, Z.; Xi, X.; Liu, J. Dynamical analysis, feedback control circuit implementation, and fixed-time sliding mode synchronization of a novel 4D chaotic system. Symmetry 2025, 17, 1252. [Google Scholar] [CrossRef]
- Chong, Z.; Wang, C.; Zhang, H.; Zhang, S. Sine-Transform-Based Dual-Memristor Hyperchaotic Map and Analog Circuit Implementation. IEEE Trans. Instrum. Meas. 2025, 74, 1–14. [Google Scholar] [CrossRef]
- Erkan, U.; Toktas, A.; Lai, Q. 2D hyperchaotic system based on Schaffer function for image encryption. Expert Syst. Appl. 2023, 213, 119076. [Google Scholar] [CrossRef]
- Zhou, S.; Qiu, Y.; Wang, X.; Zhang, Y. Novel image cryptosystem based on new 2D hyperchaotic map and dynamical chaotic S-box. Nonlinear Dyn. 2023, 111, 9571–9589. [Google Scholar] [CrossRef]
- Teng, L.; Wang, X.; Yang, F.; Xian, Y. Color image encryption based on cross 2D hyperchaotic map using combined cycle shift scrambling and selecting diffusion. Nonlinear Dyn. 2021, 105, 1859–1876. [Google Scholar] [CrossRef]
- Farid, H.; Simoncelli, E.P. Differentiation of discrete multidimensional signals. IEEE Trans. Image Process. 2004, 13, 496–508. [Google Scholar] [CrossRef] [PubMed]
- Dorigo, M.; Birattari, M.; Stutzle, T. Ant colony optimization. IEEE Comput. Intell. Mag. 2007, 1, 28–39. [Google Scholar] [CrossRef]
- Mirjalili, S.; Mirjalili, S.M.; Lewis, A. Grey wolf optimizer. Adv. Eng. Softw. 2014, 69, 46–61. [Google Scholar] [CrossRef]
- Xue, J.; Shen, B. A novel swarm intelligence optimization approach: Sparrow search algorithm. Syst. Sci. Control Eng. 2020, 8, 22–34. [Google Scholar] [CrossRef]
- Hairer, E.; Lubich, C.; Wanner, G. Structure-preserving algorithms for ordinary differential equations. In Geometric Numerical Integration; Springer: Berlin/Heidelberg, Germany, 2006; Volume 31. [Google Scholar]
- Wang, B.; Jiang, Y. Structure-preserving algorithms with uniform error bound and long-time energy conservation for highly oscillatory Hamiltonian systems. J. Sci. Comput. 2023, 95, 66. [Google Scholar] [CrossRef]
- Hu, W.; Xu, M.; Zhang, F.; Xiao, C.; Deng, Z. Dynamic analysis on flexible hub-beam with step-variable cross-section. Mech. Syst. Signal Process. 2022, 180, 109423. [Google Scholar] [CrossRef]
- Hu, W.; Xiao, C.; Deng, Z. Dynamic Symmetry Breaking and Generalized Multi-symplectic Method for Non-conservative Systems. In Geometric Mechanics and Its Applications; Springer Nature Singapore: Singapore, 2023; pp. 203–275. [Google Scholar]




















| a | Attractor Type | Lyapunov Exponents |
|---|---|---|
| −1.3079 | Quasi-periodicity | 0, −0.1410 |
| −0.888 | Periodic points | −0.0036, −0.2042 |
| −0.88 | Chaos | 0.0913, −0.2100 |
| −0.8 | Hyperchaos | 0.1466, 0.0366 |
| −0.7383 | Periodic points | −0.0331, −0.0331 |
| −0.7 | Hyperchaos | 0.1853, 0.0931 |
| b | Attractor Type | Lyapunov Exponents |
|---|---|---|
| 1.2255 | Quasi-periodicity | 0, −0.0362 |
| 1.4535 | Quasi-periodicity | 0, −0.0295 |
| 1.47 | Chaos | 0.0126, −0.0323 |
| 1.5 | Hyperchaos | 0.0466, 0.0026 |
| 1.655 | Periodic points | −0.0212, −0.0187 |
| 1.7 | Hyperchaos | 0.1853, 0.0931 |
| c | Attractor Type | Lyapunov Exponents |
|---|---|---|
| −1 | Hyperchaos | 0.1853, 0.0931 |
| −0.945 | Periodic points | −0.0622, −0.0619 |
| −0.8 | Hyperchaos | 0.0654, 0.0301 |
| −0.79 | Chaos | 0.061, −0.0054 |
| −0.7628 | Periodic points | −0.0024, −0.005 |
| −0.746 | Chaos | 0.0109, −0.043 |
| −0.52 | Quasi-periodicity | 0, −0.0369 |
| −0.49 | Periodic points | −0.0086, −0.0086 |
Disclaimer/Publisher’s Note: The statements, opinions and data contained in all publications are solely those of the individual author(s) and contributor(s) and not of MDPI and/or the editor(s). MDPI and/or the editor(s) disclaim responsibility for any injury to people or property resulting from any ideas, methods, instructions or products referred to in the content. |
© 2026 by the authors. Licensee MDPI, Basel, Switzerland. This article is an open access article distributed under the terms and conditions of the Creative Commons Attribution (CC BY) license.
Share and Cite
Hu, Z.; Li, C.; Qi, X.; Antoniades, I.P.; Volos, C. A New Hyperchaotic Map and Its Manifold of Conditional Symmetry. Symmetry 2026, 18, 212. https://doi.org/10.3390/sym18020212
Hu Z, Li C, Qi X, Antoniades IP, Volos C. A New Hyperchaotic Map and Its Manifold of Conditional Symmetry. Symmetry. 2026; 18(2):212. https://doi.org/10.3390/sym18020212
Chicago/Turabian StyleHu, Zhenxin, Chunbiao Li, Xiaolong Qi, Ioannis P. Antoniades, and Christos Volos. 2026. "A New Hyperchaotic Map and Its Manifold of Conditional Symmetry" Symmetry 18, no. 2: 212. https://doi.org/10.3390/sym18020212
APA StyleHu, Z., Li, C., Qi, X., Antoniades, I. P., & Volos, C. (2026). A New Hyperchaotic Map and Its Manifold of Conditional Symmetry. Symmetry, 18(2), 212. https://doi.org/10.3390/sym18020212

