Machine Learning-Based Diffusion Processes for the Estimation of Stand Volume Yield and Growth Dynamics in Mixed-Age and Mixed-Species Forest Ecosystems
Abstract
1. Introduction
- First, we introduce a system of three-dimensional Gompertz-type stochastic differential equations that incorporates both fixed effect parameters and random effects, which differentiate the dynamics for different forest stands.
- Second, we obtain closed-form formulas for the three-dimensional transition probability density function, estimate its parameters using the approximated maximum likelihood procedure and data from 48 experimental permanent plots in central Lithuania, and apply them to formalize our stand volume per hectare dynamic model using the integration operation and the stem volume regression equation.
- Third, we analyze the evolution of stand volume per hectare, its current and mean annual increments concerning various stand-size attributes.
2. Materials and Methods
2.1. Process-Driven Framework
- with the mean vector defined in the following form:
2.2. Approximate Maximum Likelihood Procedure
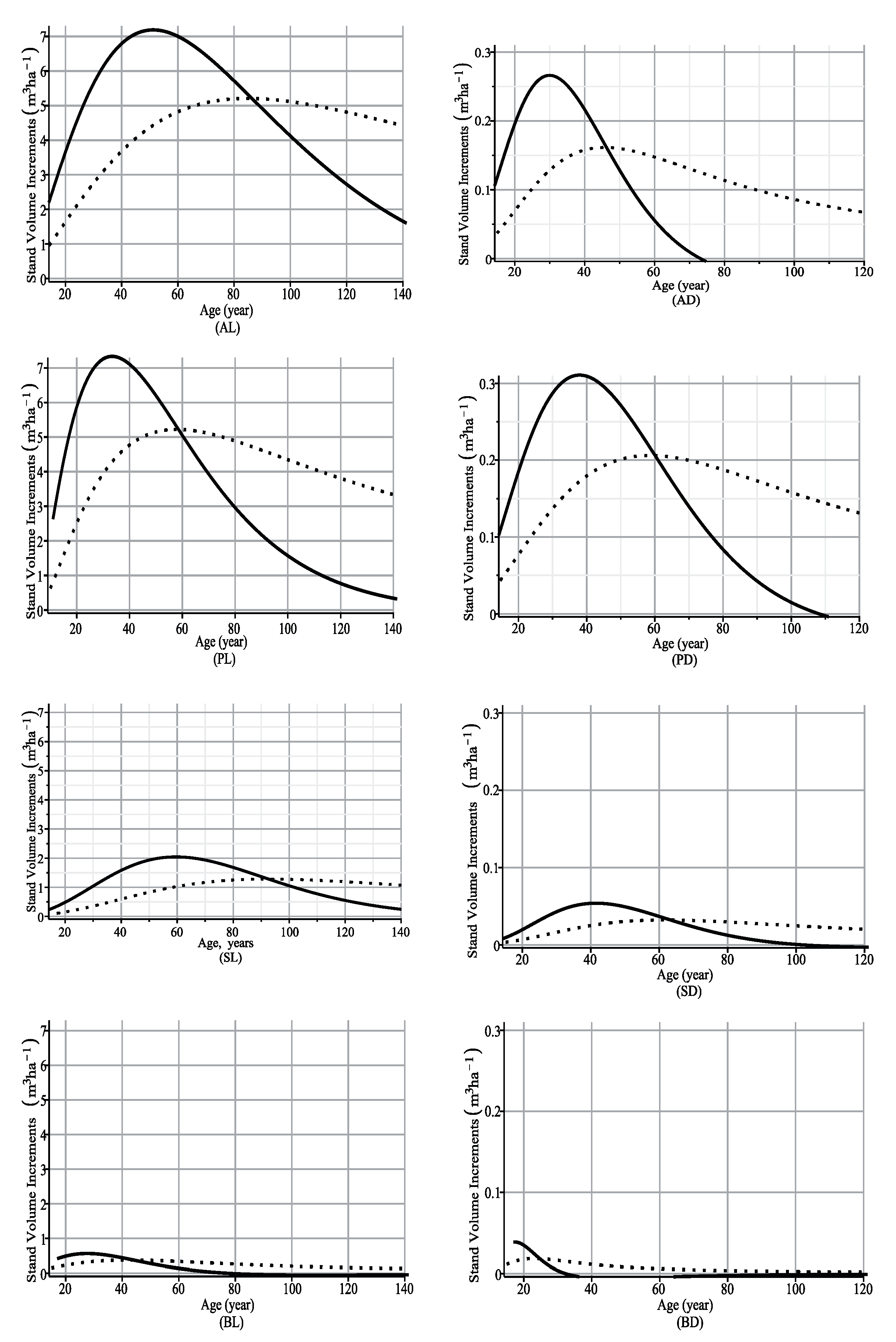
2.3. Evolution of Stand Volume per Hectare
2.4. Study Area and Data
3. Results and Discussion
3.1. Parameter Estimation
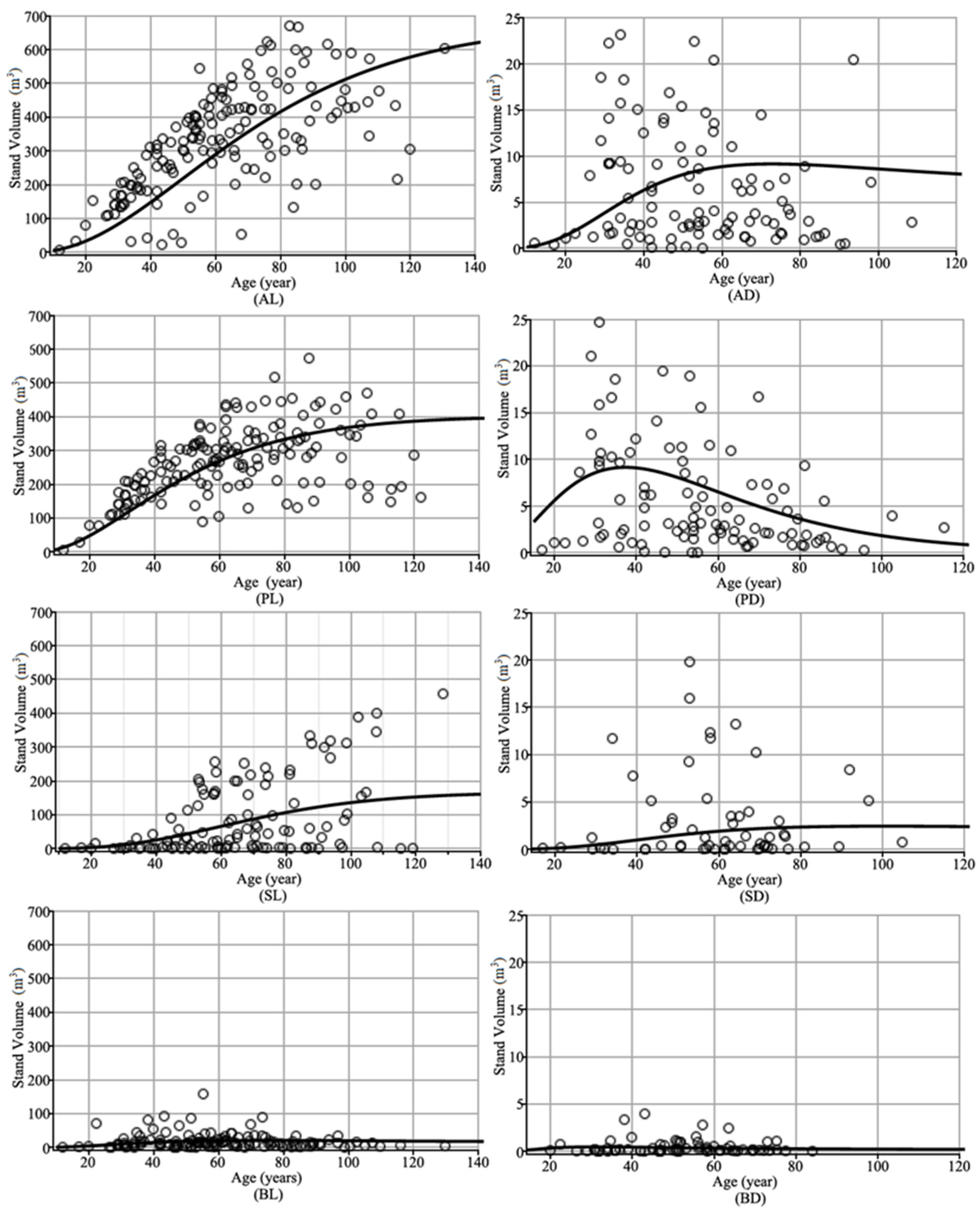
3.2. Analysis of Stand Volume Trajectories Utilizing a Fixed Effect Methodology
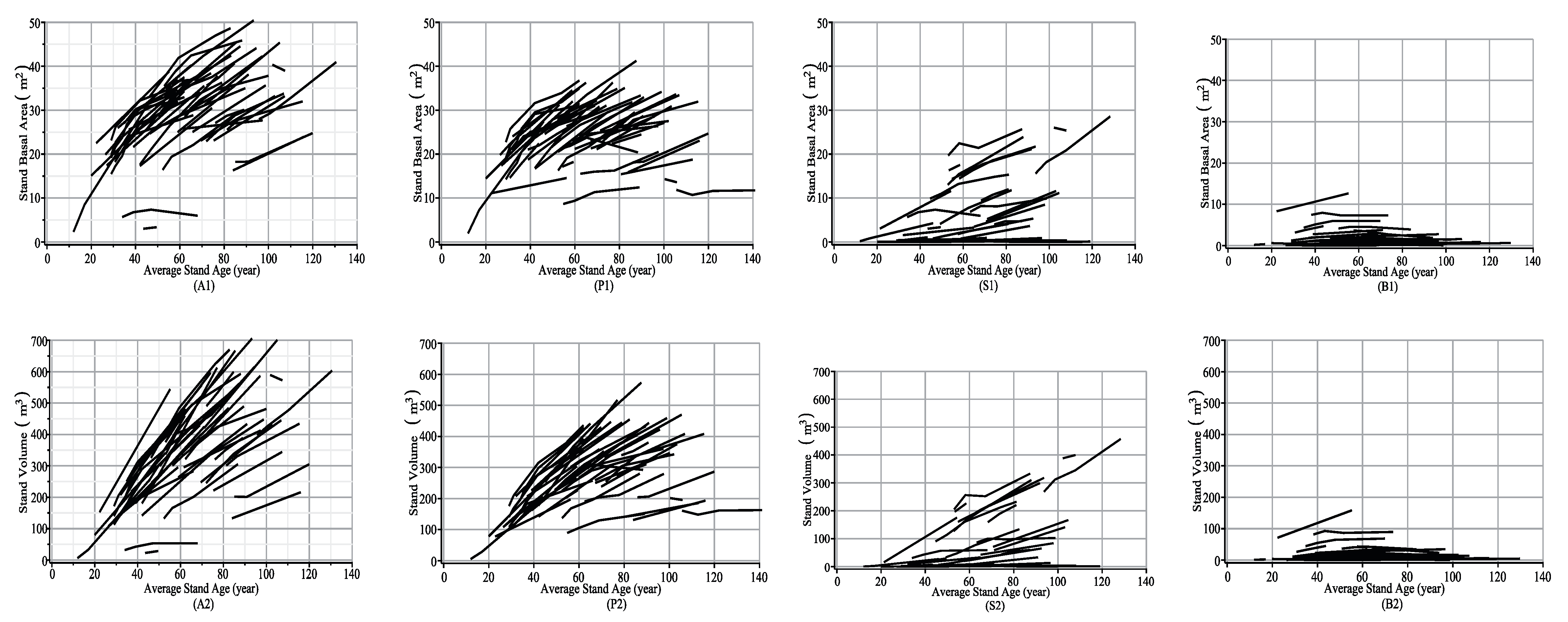
3.3. Analysis of Stand Volume Trajectories Utilizing a Mixed Effect Methodology
4. Conclusions
Funding
Data Availability Statement
Acknowledgments
Conflicts of Interest
References
- Gifford, T.S.; Zobel, J.M.; Hillard, S.C.; Edgar, C.B. Comprehensive review and evaluation of whole stand volume yield models for the aspen forest type in Minnesota, USA. Forestry 2023, 96, 561–574. [Google Scholar] [CrossRef]
- Ogana, F.N.; Green, P.C.; Radtke, P. Modeling the growth and yield of natural hardwood stands in the southern United States using the Forest Inventory and Analysis data. For. Ecol. Manag. 2025, 586, 122722. [Google Scholar] [CrossRef]
- Kohyama, T.I.; Sheil, D.; Sun, I.F.; Niiyama, K.; Suzuki, E.; Hiura, T.; Nishimura, N.; Hoshizaki, K.; Wu, S.-H.; Chao, W.-C.; et al. Contribution of tree community structure to forest productivity across a thermal gradient in eastern Asia. Nat. Commun. 2023, 14, 1113. [Google Scholar] [CrossRef] [PubMed]
- Maleki, K.; Astrup, R.; Kuehne, C.; McLean, J.P.; Antón-Fernández, C. Stand-level growth models for long-term projections of the main species groups in Norway. Scand. J. For. Res. 2022, 37, 130–143. [Google Scholar] [CrossRef]
- Papartė, M.; Bikuvienė, I.; Mozgeris, G. Evolution of forest inventory and management planning system in Lithuania. Balt. For. 2025, 31, 789. [Google Scholar] [CrossRef]
- Li, J.; Chen, D.; Yang, X.; Fan, N.; Wang, Y.; Zhang, Z. Effects of stand density, age, and drought on the size-growth relationships in Larix principis-rupprechtii forests. Forests 2024, 15, 413. [Google Scholar] [CrossRef]
- Augustaitis, A.; Pivoras, A. Sap Flow Density of the Prevailing Tree Species in a Hemiboreal Forest under Contrasting Meteorological and Growing Conditions. Forests 2024, 15, 1158. [Google Scholar] [CrossRef]
- Wijenayake, P.R.; Shitara, T.; Hirata, A.; Matsui, T.; Kubota, Y.; Masaki, T. Changes in forest ecosystem stability under climate change in a temperate landscape. Front. For. Global. Change 2025, 7, 1501987. [Google Scholar] [CrossRef]
- Bekesiene, S.; Nikitin, A.; Nechyporuk, S. Modeling Dynamic Regime Shifts in Diffusion Processes: Approximate Maximum Likelihood Estimation for Two-Threshold Ornstein–Uhlenbeck Models. Mathematics 2025, 13, 3450. [Google Scholar] [CrossRef]
- Herczyński, A.; Zenit, R. Symmetry and Symmetry-Breaking in Fluid Dynamics. Symmetry 2024, 16, 621. [Google Scholar] [CrossRef]
- Dietrich, F.; Makeev, A.; Kevrekidis, G.; Evangelou, N.; Bertalan, T.; Reich, S.; Kevrekidis, I.G. Learning effective stochastic differential equations from microscopic simulations: Linking stochastic numerics to deep learning. Chaos 2023, 33, 023121. [Google Scholar] [CrossRef]
- Cui, P.; Deng, Z.; Hu, W.; Zhu, J. SDE-HNN: Accurate and Well-Calibrated Forecasting Using Stochastic Differential Equations. ACM Trans. Knowl. Discov. Data 2025, 19, 54. [Google Scholar] [CrossRef]
- Gao, T.T.; Barzel, B.; Yan, G. Learning interpretable dynamics of stochastic complex systems from experimental data. Nat. Commun. 2024, 17, 6029. [Google Scholar] [CrossRef]
- Kohyama, T.S.; Potts, M.D.; Kohyama, T.I.; Kassim, A.R.; Ashton, P.S. Demographic properties shape tree size distribution in a Malaysian rain forest. Am. Nat. 2015, 185, 367–379. [Google Scholar] [CrossRef] [PubMed]
- Ishihara, M.I.; Konno, Y.; Umeki, K.; Ohno, Y.; Kikuzawa, K. A new model for size-dependent tree growth in forests. PLoS ONE 2016, 11, e0152219. [Google Scholar] [CrossRef]
- Petrauskas, E.; Rupšys, P. Diffusion Mechanisms for Both Living and Dying Trees Across 37 Years in a Forest Stand in Lithuania’s Kazlų Rūda Region. Symmetry 2025, 17, 213. [Google Scholar] [CrossRef]
- Rupšys, P. Compatible basal area models for live and dying trees using diffusion processes. J. For. Res. 2025, 36, 36. [Google Scholar] [CrossRef]
- Rupšys, P. Real-time Trajectory Modelling of the Mean Tree Volume in a Forest Stand Through a Nonsymmetric Diffusion Process Analogy. Contemp. Math. 2026; in press. [Google Scholar]
- Braumann, C.A. Introduction to Stochastic Differential Equations with Applications to Modeling in Biology and Finance; Wiley: Hoboken, NJ, USA, 2019. [Google Scholar]
- Mackevičius, V. Introduction to Stochastic Analysis: Integrals and Differential Equations; ISTE/Wiley: London, UK, 2011. [Google Scholar] [CrossRef]
- Gompertz, B. On the nature of the function expressive of the law of human mortality, and on a new mode of determining the value of life contingencies. Philos. Trans. R. Soc. Lond. 1825, 115, 513–583. [Google Scholar]
- Rupšys, P. Understanding the Evolution of Tree Size Diversity within the Multivariate Nonsymmetrical Diffusion Process and Information Measures. Mathematics 2019, 7, 761. [Google Scholar] [CrossRef]
- Ramos-Ábalos, E.M.; Gutiérrez-Sánchez, R.; Nafidi, A. Powers of the Stochastic Gompertz and Lognormal Diffusion Processes, Statistical Inference and Simulation. Mathematics 2020, 8, 588. [Google Scholar] [CrossRef]
- Rupšys, P. Modeling Dynamics of Structural Components of Forest Stands Based on Trivariate Stochastic Differential Equation. Forests 2019, 10, 506. [Google Scholar] [CrossRef]
- Nafidi, A.; Makroz, I.; Gutiérrez Sánchez, R.; Ramos-Ábalos, E. Multivariate stochastic Vasicek diffusion process: Computational estimation and application to the analysis of and concentrations. Stoch. Environ. Res. Risk Assess. 2024, 38, 2581–2590. [Google Scholar] [CrossRef]
- Rupšys, P.; Petrauskas, E. Evolution of the bivariate tree diameter and height distributions via the stand age: Von Bertalanffy bivariate diffusion process approach. J. For. Res. 2019, 24, 16–26. [Google Scholar] [CrossRef]
- Monagan, M.B.; Geddes, K.O.; Heal, K.M.; Labahn, G.; Vorkoetter, S.M.; Mccarron, J. Maple Advanced Programming Guide; Maplesoft: Waterloo, ON, Canada, 2007. [Google Scholar]
- Gurung, B.; Prajneshu, G. Gompertz Stochastic Differential Equation growth model with discrete delay: Application in forecasting all India marine and inland fish production. Indian J. Fish. 2018, 65, 95–98. [Google Scholar]
- Baltazar-Larios, F.; Delgado-Vences, F.; Ornelas, A. Parameter estimation and model selection for stochastic differential equations for biological growth. Environ. Ecol. Stat. 2025, 32, 195–227. [Google Scholar] [CrossRef]
- Lu, H.; Ma, H.; Sun, Z.; Wang, J. Analysis and prediction on vehicle ownership based on an improved stochastic Gompertz diffusion process. J. Adv. Transp. 2017, 2017, 4013875. [Google Scholar] [CrossRef]
- Rupšys, P. The use of copulas to practical estimation of multivariate stochastic differential equation mixed effects models. AIP Conf. Proc. 2015, 1684, 080011. [Google Scholar] [CrossRef]
- Itó, K. On Stochastic Differential Equations; Memoirs of the American Mathematical Society: New York, NY, USA, 1951; Volume 4, pp. 1–51. [Google Scholar]
- Krikštolaitis, R.; Mozgeris, G.; Petrauskas, E.; Rupšys, P. A Statistical Dependence Framework Based on a Multivariate Normal Copula Function and Stochastic Differential Equations for Multivariate Data in Forestry. Axioms 2023, 12, 457. [Google Scholar] [CrossRef]
- Joe, H. Accuracy of Laplace approximation for discrete response mixed models. Comput. Stat. Data Anal. 2008, 52, 5066–5074. [Google Scholar] [CrossRef]
- Davidian, M.; Giltinan, D. Nonlinear models for repeated measurements: An overview and update. J. Agric. Biol. Environ. Stat. 2003, 8, 387–419. [Google Scholar] [CrossRef]
- Walters, D.K.; Ek, A.R. Whole stand yield and density equations for fourteen forest types in Minnesota. North. J. Appl. For. 1993, 10, 75–85. [Google Scholar] [CrossRef]
- Heikes, D.D.; Gifford, T.S.; Zobel, J.M. Whole Stand Yield and Density Equations for the Basswood Forest Type in the Lake States. For. Sci. 2025, 71, 783–791. [Google Scholar] [CrossRef]
- Canadas-Lopez, A.; Gamboa-Trujillo, P.; Wehenkel, C. Growth and yield models for Centrolobium ochroxylum Rose ex Rudd in silvopastoral systems of Ecuadorian western lowlands. Front. For. Glob. Change 2025, 8, 1577103. [Google Scholar] [CrossRef]
- Rupšys, P.; Petrauskas, E. Development of q-exponential models for tree height, volume, and stem profile. Int. J. Phys. Sci. 2010, 5, 2369–2378. [Google Scholar]
- Yue, S. The bivariate lognormal distribution to model a multivariate flood episode. Hydrol. Process. 2000, 14, 2575–2588. [Google Scholar] [CrossRef]
- Fisher, R.A. On the mathematical foundations of theoretical statistics. Philos. Trans. R. Soc. Lond. Ser. A 1922, 222, 309–368. [Google Scholar] [CrossRef]
- Myroniuk, V.; Svynchuk, V.; Terentiev, A.; Matushevych, L.; Bala, O.; Lesnik, O.; Melnyk, O. Estimating current annual volume increment of pine stands using one-time tree measurements on temporary sample plots. J. For. Res. 2025, 31, 45–53. [Google Scholar] [CrossRef]
- Chen, Y.H.; Chai, Z. Comparative analysis of volume growth processes of Masson pine and Chinese fir forests in different regions of southern China. PeerJ 2025, 13, e18706. [Google Scholar] [CrossRef] [PubMed]
- Konôpka, B.; Pajtík, J.; Marčiš, P.; Šebeň, V. Aboveground Biomass Productivity Relates to Stand Age in Early-Stage European Beech Plantations, Western Carpathians. Plants 2025, 14, 2992. [Google Scholar] [CrossRef]
- Pretzsch, H.; Biber, P.; Schütze, G.; Uhl, E.; Rötzer, T. Forest stand growth dynamics in Central Europe have accelerated since 1870. Nat. Commun. 2014, 5, 4967. [Google Scholar] [CrossRef]
- Gavrikov, V.L. A theory to link relationships of stand volume, density, mean diameter and height in forestry data. J. For. Res. 2021, 32, 15–20. [Google Scholar] [CrossRef]
- Eslamdoust, J.; Vasiliauskas, S.; Little, T.; Ashiq, M.W. Height–diameter modeling of tree species in boreal and mixed forests using a mixed-effects approach and stand-level variables. For. Sci. Technol. 2025, 1–14. [Google Scholar] [CrossRef]
- Mehtätalo, L.; Räty, M.; Mehtätalo, J. A new growth curve and fit to the National Forest Inventory data of Finland. Ecol. Model. 2025, 501, 111006. [Google Scholar] [CrossRef]












| Data | Number of Plots (Trees) | Min | Max | Mean | St. Dev. | Number of Plots (Trees) | Min | Max | Mean | St. Dev. |
|---|---|---|---|---|---|---|---|---|---|---|
| Live trees | Dying trees | |||||||||
| Mixed species | ||||||||||
| t (year) | 156 (58,829) | 12.0 | 130.6 | 62.3 | 24.0 | 107 (16,857) | 12.0 | 108.5 | 53.2 | 19.5 |
| d (cm) | 156 (58,829) | 2.5 | 33.2 | 18.7 | 6.1 | 107 (16,857) | 2.3 | 25.0 | 13.6 | 4.3 |
| h (m) | 151 (10,796) | 2.4 | 29.4 | 19.1 | 5.3 | 102 (4555) | 2.4 | 30.1 | 15,7 | 4.9 |
| p (m2) | 156 (58,829) | 1.8 | 36.4 | 11.8 | 6.1 | 107 (16,857) | 1.6 | 38.7 | 9.3 | 5.1 |
| b (cm2) | 156 (58,829) | 7.0 | 978.3 | 349.1 | 201.4 | 107 (16,857) | 6.2 | 520.9 | 190.0 | 113.3 |
| v (m3) | 156 (58,829) | 0.002 | 1.441 | 0.421 | 0.301 | 107 (16,857) | 0.002 | 0.970 | 0.237 | 0.187 |
| B (m2⸱ha−1) | 156 (58,829) | 2.3 | 50.4 | 29.3 | 9.3 | 107 (16,857) | 0.001 | 4.9 | 0.8 | 0.9 |
| V (m3⸱ha−1) | 156 (58,829) | 6.183 | 705.684 | 336.534 | 157.091 | 107 (16,857) | 0.015 | 35.241 | 8.086 | 8.189 |
| Pine species | ||||||||||
| t (year) | 150 (36,689) | 12.0 | 141.2 | 64.0 | 25.1 | 104 (10,620) | 12.0 | 126.3 | 55.0 | 21.5 |
| d (cm) | 150 (36,689) | 3.0 | 45.0 | 23.0 | 7.9 | 104 (10,620) | 2.5 | 39.9 | 17.4 | 7.1 |
| h (m) | 147 (6774) | 2.7 | 32.4 | 21.8 | 6.2 | 98 (2630) | 2.8 | 32.1 | 17.9 | 6.9 |
| p (m2) | 150 (36,689) | 1.8 | 36.6 | 11.9 | 5.9 | 104 (10,620) | 1.6 | 38.7 | 9.7 | 5.4 |
| b (cm2) | 150 (36,689) | 9.1 | 1638.7 | 491.7 | 307.3 | 104 (10,620) | 6.9 | 1334.9 | 296.7 | 244.8 |
| v (m3) | 150 (36,689) | 0.002 | 2.267 | 0.595 | 0.478 | 104 (10,620) | 0.002 | 1.806 | 0.330 | 0.324 |
| B (m2⸱ha−1) | 150 (36,689) | 2.0 | 41.2 | 23.8 | 6.9 | 104 (10,620) | 0.001 | 4.8 | 0.7 | 0.8 |
| V (m3⸱ha−1) | 150 (36,689) | 5.211 | 573.252 | 266.617 | 104.091 | 104 (10,620) | 0.012 | 35.571 | 5.953 | 6.744 |
| Spruce species | ||||||||||
| t (year) | 111 (18,738) | 12.0 | 128.4 | 66.0 | 23.7 | 60 (5049) | 12.0 | 104.8 | 57.9 | 17.7 |
| d (cm) | 111 (18,738) | 1.2 | 29.1 | 13.4 | 5.4 | 60 (5049) | 0.9 | 21.7 | 9.6 | 4.1 |
| h (m) | 90 (3485) | 1.5 | 25.5 | 14.0 | 5.3 | 45 (1670) | 1.5 | 28.5 | 11.0 | 5.4 |
| p (m2) | 111 (18,738) | 3.0 | 77.6 | 11.4 | 8.4 | 60 (5049) | 2.7 | 21.3 | 8.7 | 4.3 |
| b (cm2) | 111 (18,738) | 1.7 | 838.0 | 187.6 | 144.1 | 60 (5049) | 1.3 | 369.8 | 106.8 | 88.2 |
| v (m3) | 111 (18,738) | 0.0003 | 1.342 | 0.226 | 0.220 | 60 (5049) | 0.0003 | 0.880 | 0.160 | 0.174 |
| B (m2⸱ha−1) | 111 (18,738) | 0.006 | 28.6 | 6.8 | 7.8 | 60 (5049) | 0.0002 | 1.5 | 0.2 | 0.3 |
| V (m3⸱ha−1) | 111 (18,738) | 0.045 | 457.437 | 87.545 | 110.775 | 60 (5049) | 0.002 | 15.343 | 2.665 | 4.142 |
| Birch species | ||||||||||
| t (year) | 128 (3270) | 12.0 | 129.2 | 60.0 | 22.8 | 69 (1104) | 12.0 | 84.0 | 51.2 | 15.4 |
| d (cm) | 128 (3270) | 3.9 | 46.9 | 18.7 | 7.8 | 69 (1104) | 2.4 | 41.5 | 13.7 | 6.5 |
| h (m) | 88 (510) | 3.8 | 31.8 | 18.7 | 6.5 | 34 (182) | 3.2 | 29.0 | 14.5 | 6.6 |
| p (m2) | 128 (3270) | 2.4 | 47.4 | 11.6 | 6.5 | 69 (1104) | 2.1 | 24.6 | 8.5 | 3.9 |
| b (cm2) | 128 (3270) | 14.7 | 1727.6 | 352.7 | 264.2 | 69 (1104) | 5.7 | 1352.7 | 198.7 | 191.6 |
| v (m3) | 128 (3270) | 0.005 | 1.671 | 0.367 | 0.288 | 69 (1104) | 0.002 | 1.185 | 0.189 | 0.192 |
| B (m2⸱ha−1) | 128 (3270) | 0.007 | 12.6 | 1.7 | 2.0 | 69 (1104) | 0.002 | 0.6 | 0.1 | 0.1 |
| V (m3⸱ha−1) | 128 (3270) | 0.041 | 158.370 | 18.288 | 22.853 | 69 (1104) | 0.0 | 6.730 | 0.619 | 1.137 |
| Tree Species | Variable | ||||||
|---|---|---|---|---|---|---|---|
| Living trees | |||||||
| Pine | Diameter | 0.0815 (0.0005) | 0.0198 (0.0001) | −20.086 (0.24) | - | 0.0008 (1.3 × 10−5) | 0.0027 (0.0004) |
| Occupied area | 0.0633 (0.0006) | 0.0177 (0.0003) | −1.9263 (0.045) | 1.1978 (0.0291) | 0.0074 (0.0001) | 0.0083 (0.0012) | |
| Height | 0.1279 (0.0008) | 0.0358 (0.0003) | −9.5142 (0.2671) | - | 0.0009 (2.9 × 10−5) | 0.0052 (0.0008) | |
| Spruce | Diameter | 0.0967 (0.0011) | 0.0296 (0.0005) | −1.5744 (0.0583) | - | 0.0098 (0.0002) | 0.0102 (0.0017) |
| Occupied area | 0.0568 (0.001) | 0.018 (0.0004) | −0.8857 (0.054) | 2.1211 (0.0482) | 0.0131 (0.0003) | 0.01 (0.0017) | |
| Height | 0.0845 (0.0022) | 0.0245 (0.0008) | −3.3976 (0.2627) | - | 0.0046 (0.0003) | 0.0065 (0.0012) | |
| Birch | Diameter | 0.1422 (0.0022) | 0.0427 (0.0008) | −4.7118 (0.1953) | - | 0.0071 (0.0003) | 0.0158 (0.0025) |
| Occupied area | 0.0585 (0.0026) | 0.0177 (0.0011) | −2.0636 (0.1909) | 2.0184 (0.125) | 0.0083 (0.0005) | 0.0093 (0.0015) | |
| Height | 0.1632 (0.0096) | 0.04 (0.0022) | −37.454 (2.0801) | - | 0.0005 (4.3 × 10−5) | 0.0051 (0.0009) | |
| Mixed | Diameter t | 0.0905 (0.0006) | 0.0252 (0.0002) | −6.3143 (0.079) | - | 0.0051 (0.0001) | 0.0074 (0.0011) |
| Occupied area | 0.0578 (0.0005) | 0.0179 (0.0002) | −1.3723 (0.0316) | 1.7773 (0.0236) | 0.0097 (0.0001) | 0.0099 (0.0014) | |
| Height | 0.0655 (0.001) | 0.0155 (0.0003) | −28.358 (0.5052) | - | 0.0004 (1.3 × 10−5) | 0.0024 (0.0003) | |
| Dying trees | |||||||
| Pine | Diameter | 0.1044 (0.0009) | 0.0292 (0.0003) | −7.3251 (0.1474) | - | 0.0021 (4.9 × 10−5) | 0.0067 (0.001) |
| Occupied area | 0.0618 (0.0012) | 0.0181 (0.0006) | −0.9726 (0.0471) | 1.1978 (0.0361) | 0.0095 (0.0002) | 0.0115 (0.0017) | |
| Height | 0.151 (0.0025) | 0.0395 (0.0005) | −24.1669 (0.8295) | - | 0.0003 (1.6 × 10−5) | 0.0046 (0.0007) | |
| Spruce | Diameter | 0.1415 (0.0027) | 0.0564 (0.0013) | −0.5799 (0.0552) | - | 0.0185 (0.0007) | 0.0233 (0.0044) |
| Occupied area | 0.0539 (0.0021) | 0.018 (0.0011) | −0.6066 (0.0734) | 2.1211 (0.0804) | 0.015 (0.0007) | 0.0102 (0.0021) | |
| Height | 0.1019 (0.0041) | 0.0297 (0.0016) | −1.2044 (0.1618) | - | 0.0095 (0.0009) | 0.0135 (0.003) | |
| Birch | Diameter | 0.4667 (0.0232) | 0.1865 (0.0096) | 0.0487 (0.018) | - | 0.0504 (0.0018) | 0.0937 (0.0305) |
| Occupied area | 0.0554 (0.0055) | 0.0177 (0.0024) | −2.8847 (0.4101) | 2.0184 (0.2102) | 0.0064 (0.0007) | 0.0091 (0.0016) | |
| Height | 0.3191 (0.0211) | 0.1108 (0.0066) | −2.9596 (0.7469) | - | 0.0121 (0.0018) | 0.0454 (0.0096) | |
| Mixed | Diameter | 0.1813 (0.0015) | 0.0659 (0.0006) | −1.2632 (0.0452) | - | 0.0192 (0.0004) | 0.0201 (0.0029) |
| Occupied area | 0.0555 (0.001) | 0.0179 (0.0005) | −0.8279 (0.0383) | 1.7773 (0.0334) | 0.0115 (0.0002) | 0.0112 (0.0016) | |
| Height | 0.1228 (0.0025) | 0.0364 (0.0009) | −3.1174 (0.188) | - | 0.007 (0.0004) | 0.0113 (0.0017) | |
| Tree Species | ||||||
|---|---|---|---|---|---|---|
| Live trees | Dying trees | |||||
| Mixed | 0.4511 (0.0033) | 0.9224 (0.0013) | 0.4732 (0.0075) | 0.4622 (0.0061) | 0.942 (0.0017) | 0.5114 (0.0109) |
| Pine | 0.5179 (0.0038) | 0.9198 (0.0019) | 0.5099 (0.009) | 0.5376 (0.0069) | 0.9357 (0.0024) | 0.5632 (0.0133) |
| Spruce | 0.3732 (0.0063) | 0.9487 (0.0017) | 0.4376 (0.0137) | 0.4234 (0.0116) | 0.9551 (0.0022) | 0.531 (0.0176) |
| Birch | 0.336 (0.0155) | 0.917 (0.0071) | 0.2908 (0.0407) | 0.2155 (0.0287) | 0.906 (0.0134) | 0.2013 (0.0717) |
| Tree Species | B (%) | AB (%) | RMSE (%) | R2 | B (%) | AB (%) | RMSE (%) | R2 |
|---|---|---|---|---|---|---|---|---|
| Live trees | Dying trees | |||||||
| All | −1.357 (−0.4) | 56.341 (16.7) | 68.814 (20.4) | 0.8066 | −0.858 (−11.9) | 2.334 (32.6) | 3.585 (50.1) | 0.757 |
| Pine | −14.125 (−5.3) | 6.284 (6.1) | 20.778 (7.8) | 0.9599 | −1.106 (−18.5) | 1.178 (19.7) | 2.028 (34.0) | 0.907 |
| Spruce | 7.868 (8.9) | 17.941 (20.4) | 32.766 (37.3) | 0.9118 | 1.246 (41.8) | 1.291 (43.3) | 2.531 (84.9) | 0.6843 |
| Birch | −2.385 (−13.0) | 2.779 (15.1) | 4.825 (26.3) | 0.9551 | −0.129 (−25.1) | 0.142 (27.8) | 0.277 (54.1) | 0.8734 |
Disclaimer/Publisher’s Note: The statements, opinions and data contained in all publications are solely those of the individual author(s) and contributor(s) and not of MDPI and/or the editor(s). MDPI and/or the editor(s) disclaim responsibility for any injury to people or property resulting from any ideas, methods, instructions or products referred to in the content. |
© 2026 by the author. Licensee MDPI, Basel, Switzerland. This article is an open access article distributed under the terms and conditions of the Creative Commons Attribution (CC BY) license.
Share and Cite
Rupšys, P. Machine Learning-Based Diffusion Processes for the Estimation of Stand Volume Yield and Growth Dynamics in Mixed-Age and Mixed-Species Forest Ecosystems. Symmetry 2026, 18, 194. https://doi.org/10.3390/sym18010194
Rupšys P. Machine Learning-Based Diffusion Processes for the Estimation of Stand Volume Yield and Growth Dynamics in Mixed-Age and Mixed-Species Forest Ecosystems. Symmetry. 2026; 18(1):194. https://doi.org/10.3390/sym18010194
Chicago/Turabian StyleRupšys, Petras. 2026. "Machine Learning-Based Diffusion Processes for the Estimation of Stand Volume Yield and Growth Dynamics in Mixed-Age and Mixed-Species Forest Ecosystems" Symmetry 18, no. 1: 194. https://doi.org/10.3390/sym18010194
APA StyleRupšys, P. (2026). Machine Learning-Based Diffusion Processes for the Estimation of Stand Volume Yield and Growth Dynamics in Mixed-Age and Mixed-Species Forest Ecosystems. Symmetry, 18(1), 194. https://doi.org/10.3390/sym18010194

