Generalizable Potential Supplier Recommendation Under Small-Sized Datasets via Adaptive Feature Perception Model
Abstract
1. Introduction
2. Fundamental Theory
2.1. Problem Setup
2.2. Supply Preference Network
2.3. Graph Convolutional Neural Network
3. Potential Supplier Recommendation Approach
3.1. Adaptive Feature Perception Model
3.1.1. Model Structure
3.1.2. Hybrid Loss Function
- Contrastive learning module
- 2.
- Reconstruct the feature module
3.2. Feature Matching
3.3. Recommendation Process
4. Experiment and Analysis
4.1. Experiment Descriptions
4.2. Case Study
4.2.1. Data Preprocessing
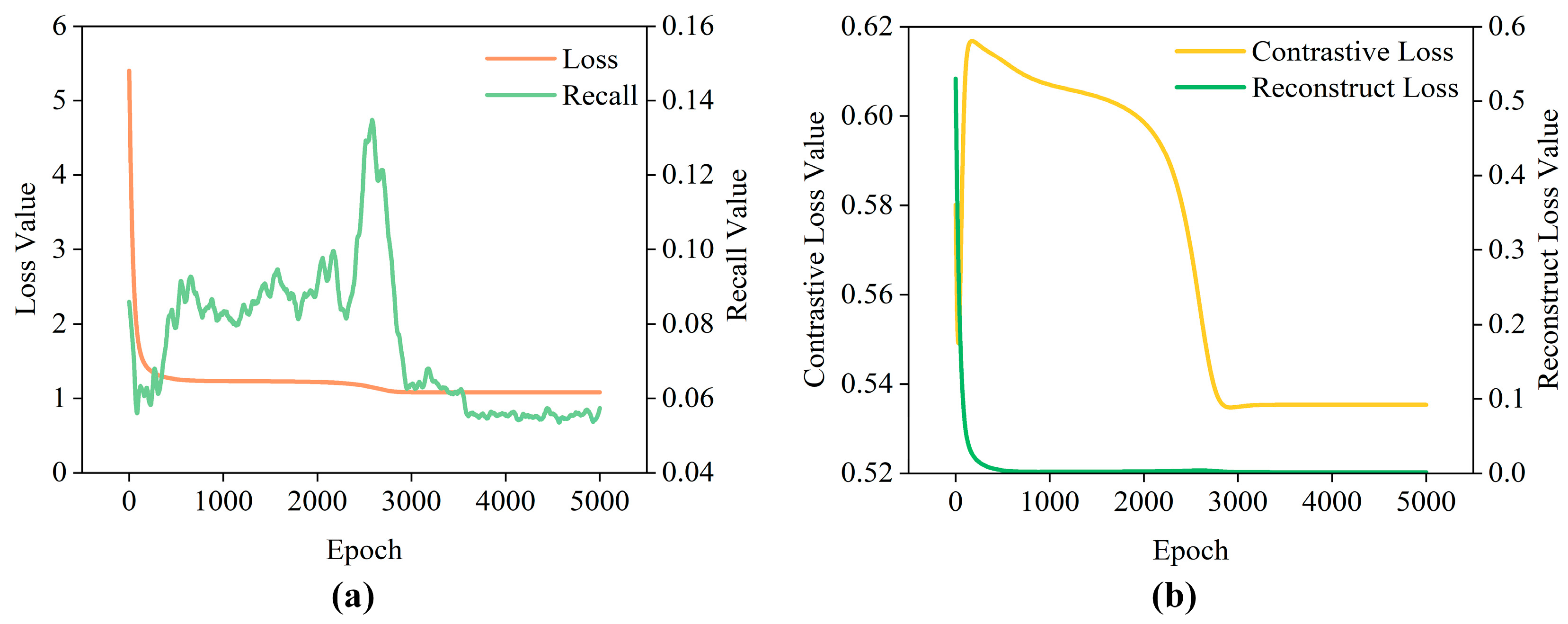
4.2.2. Experimental Evaluation
4.2.3. Ablation Study
4.3. Discussion
5. Conclusions
Author Contributions
Funding
Data Availability Statement
Conflicts of Interest
References
- Hamidu, Z.; Boachie-mensah, F.; Issau, K. Supply chain resilience and performance of manufacturing firms: Role of supply chain disruption. J. Manuf. Technol. Manag. 2023, 34, 361–382. [Google Scholar] [CrossRef]
- Vlachos, I.; Malindretos, G. Supply chain redesign in the aquaculture supply chain: A longitudinal case study. Prod. Plan. Control 2023, 34, 748–764. [Google Scholar] [CrossRef]
- Brandao, M.S.; Godinho-Filho, M. Is a multiple supply chain management perspective a new way to manage global supply chains toward sustainability? J. Clean. Prod. 2022, 375, 134046. [Google Scholar] [CrossRef]
- Hou, P.W.; Zhao, Y.R.; Li, Y.T. Strategic analysis of supplier integration and encroachment in an outsourcing supply chain. Transp. Res. Part E Logist. Transp. Rev. 2023, 177, 103238. [Google Scholar] [CrossRef]
- Bowen, F.; Siegler, J. The role of visibility in supply chain resiliency: Applying the Nexus supplier index to unveil hidden critical suppliers in deep supply networks. Decis. Support Syst. 2024, 176, 114063. [Google Scholar] [CrossRef]
- Jagani, S.; Marsillac, E.; Hong, P. The Electric Vehicle Supply Chain Ecosystem: Changing Roles of Automotive Suppliers. Sustainability 2024, 16, 1570. [Google Scholar] [CrossRef]
- Wu, X.Y.; Yang, M.; Liang, L. Government should be merciful or strict: Penalizing defaulting suppliers in emergency supply chains. Socio Econ. Plan. Sci. 2024, 92, 101821. [Google Scholar] [CrossRef]
- Niu, W.J.; Xue, W.L.; Xia, J.; Lu, F. Decarbonizing a supply chain with an unreliable supplier: Implications for profitability and sustainability. Comput. Ind. Eng. 2024, 197, 110573. [Google Scholar] [CrossRef]
- Lee, D.H.; Kim, K. Business transaction recommendation for discovering potential business partners using deep learning. Expert Syst. Appl. 2022, 201, 117222. [Google Scholar] [CrossRef]
- Tu, Y.C.; Li, W.X.; Song, X.; Gong, K.Q.; Liu, L.; Qin, Y.H.; Liu, S.; Liu, M. Using graph neural network to conduct supplier recommendation based on large-scale supply chain. Int. J. Prod. Res. 2024, 62, 8595–8608. [Google Scholar] [CrossRef]
- Chen, H.B.; Wang, Z.J.; Yu, X.S.; Zhong, Q. Research on the anti-risk mechanism of mask green supply chain from the perspective of cooperation between retailers, suppliers, and financial institutions. Int. J. Environ. Res. Public Health 2022, 19, 16744. [Google Scholar] [CrossRef]
- Wang, H.; Wang, Y.; Sun, R.; Li, B. Global convergence of maml and theory-inspired neural architecture search for few-shot learning. In Proceedings of the IEEE/CVF Conference on Computer Vision and Pattern Recognition, New Orleans, LA, USA, 18–24 June 2022; pp. 9797–9808. [Google Scholar]
- Liu, Y.; Cao, J.; Li, B.; Hu, W. Learning to explore distillability and sparsability: A joint framework for model compression. IEEE Trans. Pattern Anal. Mach. Intell. 2022, 45, 3378–3395. [Google Scholar] [CrossRef] [PubMed]
- Chatterjee, S.; Hazra, D.; Byun, Y.-C. GAN-based synthetic time-series data generation for improving prediction of demand for electric vehicles. Expert Syst. Appl. 2025, 264, 125838. [Google Scholar] [CrossRef]
- Kong, L.X.; Zheng, G.; Brintrup, A. A federated machine learning approach for order-level risk prediction in supply chain financing. Int. J. Prod. Econ. 2024, 268, 109095. [Google Scholar] [CrossRef]
- Rackl, J.; Menapace, L. Coordination in agri-food supply chains: The role of geographical indication certification. Int. J. Prod. Econ. 2025, 280, 109494. [Google Scholar] [CrossRef]
- Tabachova, Z.; Diem, C.; Borsos, A.; Burger, C.; Thurner, S. Estimating the impact of supply chain network contagion on financial stability. J. Financ. Stab. 2024, 75, 101336. [Google Scholar] [CrossRef]
- Pasa, L.; Navarin, N.; Sperduti, A. Polynomial-based graph convolutional neural networks for graph classification. Mach. Learn. 2022, 111, 1205–1237. [Google Scholar] [CrossRef]
- Chen, J.S.; Li, B.Y.; He, K. Neighborhood convolutional graph neural network. Knowl. Based Syst. 2024, 295, 111861. [Google Scholar] [CrossRef]
- Zhou, Y.C.; Huo, H.T.; Hou, Z.W.; Bu, L.B.; Wang, Y.F.; Mao, J.Y.; Lv, X.; Bu, F. An end-to-end hyperbolic deep graph convolutional neural network framework. CMES Comput. Model. Eng. Sci. 2024, 139, 537–563. [Google Scholar] [CrossRef]
- Wang, J.H.; Shi, Y.L.; Yu, H.; Yan, Z.M.; Li, H.; Chen, Z.J. A novel KG-based recommendation model via relation-aware attentional GCN. Knowl. Based Syst. 2023, 275, 110702. [Google Scholar] [CrossRef]
- Zhu, J.W.; Han, X.; Deng, H.H.; Tao, C.; Zhao, L.; Wang, P.; Lin, T.; Li, H. KST-GCN: A knowledge-driven spatial-temporal graph convolutional network for traffic forecasting. IEEE Trans. Intell. Transp. Syst. 2022, 23, 15055–15065. [Google Scholar] [CrossRef]
- Ma, T.F.; Lin, X.; Song, B.S.; Yu, P.S.; Zeng, X.X. Kg-mtl: Knowledge graph enhanced multi-task learning for molecular interaction. IEEE Trans. Knowl. Data Eng. 2022, 35, 7068–7081. [Google Scholar] [CrossRef]
- Sun, B.; Kong, D.H.; Wang, S.F.; Li, J.H.; Yin, B.C.; Luo, X.N. GAN for vision, KG for relation: A two-stage network for zero-shot action recognition. Pattern Recognit. 2022, 126, 108563. [Google Scholar] [CrossRef]
- Liu, X.Y.; Tang, T.; Ding, N. Social network sentiment classification method combined Chinese text syntax with graph convolutional neural network. Egypt. Inform. J. 2022, 23, 1–12. [Google Scholar] [CrossRef]
- Mao, Z.H.; Wang, H.; Jiang, B.; Xu, J.; Guo, H.F. Graph convolutional neural network for intelligent fault diagnosis of machines via knowledge graph. IEEE Trans. Ind. Inform. 2024, 20, 7862–7870. [Google Scholar] [CrossRef]
- Liu, C.W.; Wang, K.X.; Wu, A.M. Management and monitoring of multi-behavior recommendation systems using graph convolutional neural networks. Int. J. Found. Comput. Sci. 2022, 33, 583–601. [Google Scholar] [CrossRef]
- He, Y.C.; Mao, Y.J.; Xie, X.F.; Gu, W.R. An improved recommendation based on graph convolutional network. J. Intell. Inf. Syst. 2022, 59, 801–823. [Google Scholar] [CrossRef]
- Meng, T.; Shou, Y.T.; Ai, W.; Du, J.Y.; Liu, H.Y.; Li, K.Q. A multi-message passing framework based on heterogeneous graphs in conversational emotion recognition. Neurocomputing 2024, 569, 127109. [Google Scholar] [CrossRef]
- Zhao, M.; Yang, J.; Zhang, J.P.; Wang, S.L. Aggregated graph convolutional networks for aspect-based sentiment classification. Inf. Sci. 2022, 600, 73–93. [Google Scholar] [CrossRef]
- Liu, Z.W.; Yang, D.; Wang, Y.J.; Lu, M.J.; Li, R.R. EGNN: Graph structure learning based on evolutionary computation helps more in graph neural networks. Appl. Soft Comput. 2023, 135, 110040. [Google Scholar] [CrossRef]
- Maurya, S.K.; Liu, X.; Murata, T. Simplifying approach to node classification in graph neural networks. J. Comput. Sci. 2022, 62, 101695. [Google Scholar] [CrossRef]
- Jiang, Y.L.; Lin, H.J.; Li, Y.; Rong, Y.; Cheng, H.; Huang, X. Exploiting node-feature bipartite graph in graph convolutional networks. Inf. Sci. 2023, 628, 409–423. [Google Scholar] [CrossRef]
- Sabbaqi, M.; Isufi, E. Graph-time convolutional neural networks: Architecture and theoretical analysis. IEEE Trans. Pattern Anal. Mach. Intell. 2023, 45, 14625–14638. [Google Scholar] [CrossRef]
- Benini, M.; Bongini, P.; Trentin, E. GrapHisto: A robust representation of graph-structured data for graph convolutional networks. Neural Process. Lett. 2025, 57, 10. [Google Scholar] [CrossRef]
- Apicella, A.; Isgro, F.; Pollastro, A.; Prevete, R. Adaptive filters in graph convolutional neural networks. Pattern Recognit. 2023, 144, 109867. [Google Scholar] [CrossRef]
- GB/T 4754-2017; National Economic Industry Classification. National Bureau of Statistics. China National Institute of Standardization: Beijing, China, 2017. [Google Scholar]









| Index | Listed | Technology-Innovation | … | Medium-Scale | Large-Scale |
|---|---|---|---|---|---|
| 0 | 0 | 0.6 | … | 0 | 0 |
| 1 | 0 | 0.6 | … | 0 | 0 |
| … | … | … | … | … | … |
| 812 | 0 | 0.8 | … | 1 | 0 |
| 813 | 0 | 0.2 | … | 0 | 1 |
| Listed Company | Suppliers |
|---|---|
| 0 | 0, 1, 2, 3, 4, 5, 6 |
| 1 | 7, 8, 9, 10 |
| … | … |
| 141 | 807, 808, 809, 810 |
| 142 | 811, 812, 813, 140 |
| Number | Methods | Recall@10 | Confidence Interval (95%) Under Recall@10 | Recall@16 | Confidence Interval (95%) Under Recall@16 | Runtime (Seconds) |
|---|---|---|---|---|---|---|
| 1 | Supplier mean | 0.0497 | -- | 0.0745 | -- | 0.0046 |
| 2 | GNN | 0.0131 | (0.0102, 0.0159) | 0.0204 | (0.0165, 0.0242) | 6.6669 |
| 3 | GCNN | 0.0450 | (0.0404, 0.0498) | 0.068 | (0.0608, 0.0752) | 7.4734 |
| 4 | MF | 0.0575 | (0.0500, 0.0649) | 0.0666 | (0.0564, 0.0768) | 2.4601 |
| 5 | CBF | 0.0444 | -- | 0.0710 | -- | 0.0901 |
| 6 | Proposed method | 0.0792 | (0.0693, 0.0890) | 0.1146 | (0.1025, 0.1267) | 36.8489 |
| Number | Methods | Recall@10 | Confidence Interval (95%) Under Recall@10 | Recall@16 | Confidence Interval (95%) Under Recall@16 |
|---|---|---|---|---|---|
| 1 | GCNN (Contrastive+ON) | 0.0258 | (0.0216, 0.0301) | 0.036 | (0.0318, 0.0402) |
| 2 | GCNN (Reconstruct+ON) | 0.0433 | (0.0387, 0.0479) | 0.0636 | (0.0583, 0.0689) |
| 3 | GCNN (Hybrid+SN) | 0.0624 | (0.0555, 0.0693) | 0.0942 | (0.0846, 0.1039) |
| 4 | Proposed method (Hybrid+ON) | 0.0792 | (0.0693, 0.0890) | 0.1146 | (0.1025, 0.1267) |
| Masking Ratio | Recall@10 (mean ± std) | Relative Drop | Recall@16 (mean ± std) | Relative Drop |
|---|---|---|---|---|
| 0% (Baseline) | 0.0792 ± 0.0138 | -- | 0.1146 ± 0.0168 | -- |
| 5% | 0.0601 ± 0.0032 | 24.12% | 0.0852 ± 0.0179 | 25.65% |
| 10% | 0.0585 ± 0.0022 | 26.14% | 0.0833 ± 0.0130 | 27.31% |
| 15% | 0.0605 ± 0.0046 | 23.61% | 0.0884 ± 0.0052 | 22.86% |
Disclaimer/Publisher’s Note: The statements, opinions and data contained in all publications are solely those of the individual author(s) and contributor(s) and not of MDPI and/or the editor(s). MDPI and/or the editor(s) disclaim responsibility for any injury to people or property resulting from any ideas, methods, instructions or products referred to in the content. |
© 2025 by the authors. Licensee MDPI, Basel, Switzerland. This article is an open access article distributed under the terms and conditions of the Creative Commons Attribution (CC BY) license (https://creativecommons.org/licenses/by/4.0/).
Share and Cite
Wu, Q.; Tang, L.; Chen, Z.; Zhang, X. Generalizable Potential Supplier Recommendation Under Small-Sized Datasets via Adaptive Feature Perception Model. Symmetry 2025, 17, 1152. https://doi.org/10.3390/sym17071152
Wu Q, Tang L, Chen Z, Zhang X. Generalizable Potential Supplier Recommendation Under Small-Sized Datasets via Adaptive Feature Perception Model. Symmetry. 2025; 17(7):1152. https://doi.org/10.3390/sym17071152
Chicago/Turabian StyleWu, Qinglong, Lingling Tang, Zhisen Chen, and Xiaochen Zhang. 2025. "Generalizable Potential Supplier Recommendation Under Small-Sized Datasets via Adaptive Feature Perception Model" Symmetry 17, no. 7: 1152. https://doi.org/10.3390/sym17071152
APA StyleWu, Q., Tang, L., Chen, Z., & Zhang, X. (2025). Generalizable Potential Supplier Recommendation Under Small-Sized Datasets via Adaptive Feature Perception Model. Symmetry, 17(7), 1152. https://doi.org/10.3390/sym17071152

