Electroosmotic Slip Flow of Powell–Eyring Fluid in a Parallel-Plate Microchannel
Abstract
1. Introduction
- At low shear rates, it exhibits Newtonian characteristics; at high shear rates, its apparent viscosity diminishes in a manner akin to power-law fluids [41]. The hyperbolic sine function enables a natural transition of shear behavior without requiring piecewise modeling.
- Based on Eyring’s molecular activation energy theory, it treats flow as a transition process where molecules overcome energy barriers. This provides clear physical interpretation and makes it suitable for mechanistic studies (e.g., polymer chain dynamics).
- It simultaneously incorporates Newtonian viscosity, shear-thinning, and viscoelasticity, allowing comprehensive description of flow behavior.
- Without yield stress limitations, it applies to continuously varying flow behaviors such as those of biological fluids or polymer solutions.
2. Governing Equations
2.1. Assumptions
- The fluid is assumed to be incompressible.
- The flow is considered fully developed, resulting in time-independent velocity profiles.
- Gravitational effects on the EOF are negligible.
- The zeta potential exhibits a consistent distribution along the channel’s surface.
- The parallel-plate microchannel configuration is assumed to be homogeneous and symmetric.
- The applied external electric field strength remains within a range that justifies neglecting Joule heating effects.
2.2. Governing Equation
2.3. Electric Potential
2.4. Dimensionless Processing
3. Approximate and Numerical Solutions
3.1. Approximate Solution
3.2. Numerical Solution
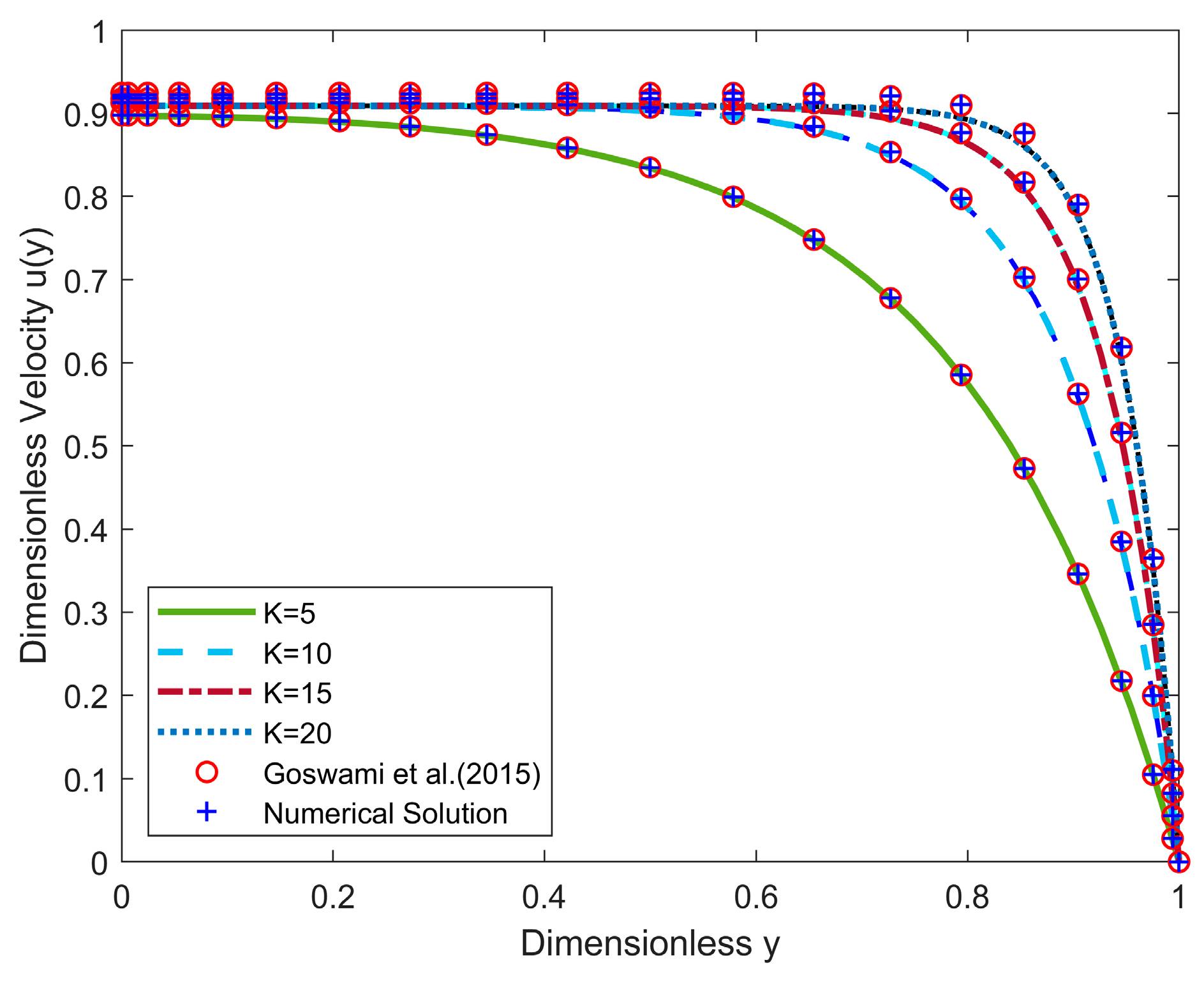
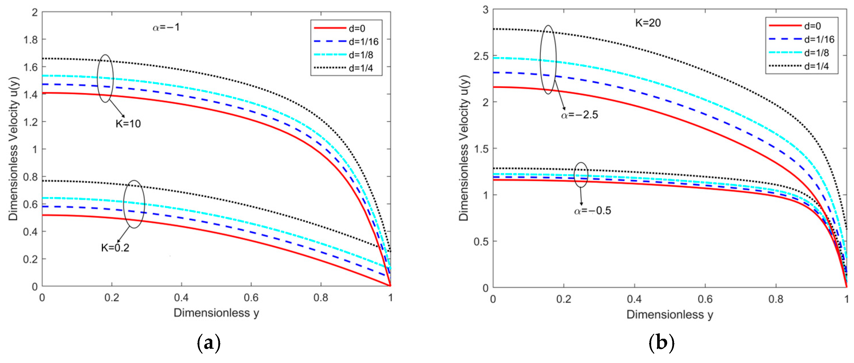
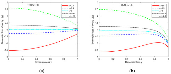
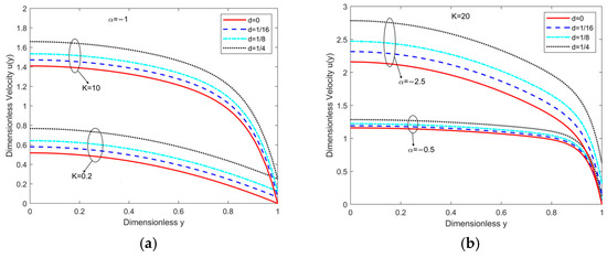
4. Results and Discussion
5. Conclusions
- (1)
- The modified SLLM demonstrates significant superiority in terms of both the number of iterations and accuracy.
- (2)
- The pressure gradient-to-electric field ratio exhibits a nonlinear modulating effect on the EOF velocity.
- (3)
- A thicker EDL significantly constrains flow development, maintaining a parabolic velocity distribution. Conversely, a thinner EDL allows pressure-driven effects to dominate, leading to a velocity profile that approaches the ideal “plug flow” shape.
- (4)
- The shear-thinning characteristics of the Powell–Eyring fluid are particularly pronounced in the central region under high pressure gradients and in the boundary layer region when wall slip is present.
Funding
Data Availability Statement
Acknowledgments
Conflicts of Interest
Correction Statement
Abbreviations
| HPM | Homotopy perturbation method |
| SLLM | Spectral local linearization method |
| EOF | Electroosmotic flow |
| EDL | Electric double layer |
| MEMSs | Micro-Electro-Mechanical Systems |
| MHD | Magnetohydrodynamic |
| RMSEs | Root mean square errors |
References
- Li, Z.; Zhang, B.; Dang, D.; Yang, X.; Yang, W.; Liang, W. A review of microfluidic-based mixing methods. Sens. Actuators A-Phys. 2022, 344, 113757. [Google Scholar] [CrossRef]
- Heydari, A.; Khatibi, M.; Ashrafizadeh, S.N. Fine-tuning ionic transport through hybrid soft nanochannels: The role of polyelectrolyte charge density distribution. Phys. Fluids 2023, 35, 082006. [Google Scholar] [CrossRef]
- Karimzadeh, M.; Khatibi, M.; Ashrafizadeh, S.N. Boost ionic selectivity by coating bullet-shaped nanochannels with dense polyelectrolyte brushes. Phys. Fluids 2022, 34, 122008. [Google Scholar] [CrossRef]
- Ponalagusamy, R. Particulate suspension Jeffrey fluid flow in a stenosed artery with a particle-free plasma layer near the wall. Korea Aust. Rheol. J. 2016, 28, 217–227. [Google Scholar] [CrossRef]
- Ramakrishna, M.; Ponalagusamy, R. Modeling of pulsatile EMHD flow of au-blood in an inclined porous tapered atherosclerotic vessel under periodic body acceleration. Arch. Appl. Mech. 2021, 91, 3421–3447. [Google Scholar] [CrossRef]
- Ponalagusamy, R. Electro-rheological flow of seminal fluid (K-L MODEL) induced by movement of cilia in a circular conduit. Proc. Inst. Mech. Eng. E J. Process Mech. Eng. 2023, 1–18. [Google Scholar] [CrossRef]
- Ponalagusamy, R.; Murugan, D. Effect of electro-magneto-hemodynamic environs on dispersion of solute in the peristaltic motion through a channel with chemical reaction, wall properties and porous medium. Korea Aust. Rheol. J. 2022, 34, 69–90. [Google Scholar] [CrossRef]
- Zhou, W.; Zhang, W.; Liu, Y.; Yu, X.; Chen, Z. Polydopamine-functionalized Poly(ether Ether Ketone) tube for capillary electrophoresis-eass spectrometry. Anal. Chim. Acta 2017, 987, 64–71. [Google Scholar] [CrossRef]
- Roshanak, S.; Reinhard, I.B.; Basil, D.; Yuanzhong, Y.; Kei, S.; Milton, T.W.H. Application of pH-Responsive Poly(2-Dimethyl-aminoethylmethacrylate)-block-poly(acrylic Acid) coatings for the open-tubular capillary electrochromatographic analysis of acidic and basic compounds. Anal. Chim. Acta 2016, 917, 117–125. [Google Scholar] [CrossRef]
- Heydari, A.; Khatibi, M.; Ashrafizadeh, S.N. Manipulation of ionic transport behavior in smart nanochannels by diffuse bipolar soft layer. Phys. Fluids 2024, 36, 112026. [Google Scholar] [CrossRef]
- Khatibi, M.; Ashrafizadeh, S.N. Mitigating Joule heating in smart nanochannels: Evaluating the efficacy of AC vs. DC fields. Int. Commun. Heat Mass Transf. 2024, 154, 107448. [Google Scholar] [CrossRef]
- Khatibi, M.; Ashrafizadeh, S.N. Ion transport in intelligent nanochannels: A comparative analysis of the role of electric field. Anal. Chem. 2023, 95, 18188–18198. [Google Scholar] [CrossRef] [PubMed]
- Heydari, A.; Khatibi, M.; Ashrafizadeh, S.N. Smart nanochannels: Tailoring ion transport properties through variation in nanochannel geometry. Phys. Chem. Chem. Phys. 2023, 25, 26716. [Google Scholar] [CrossRef]
- Aminnia, A.; Khatibi, M.; Ashrafizadeh, S.N. Fouling minimization with nanofluidic membranes; How electric field may help. Sep. Purif. Technol. 2023, 325, 124698. [Google Scholar] [CrossRef]
- Khatibi, M.; Aminnia, A.; Ashrafizadeh, S.N. The role of ionic concentration polarization on the behavior of nanofluidic membranes. Chem. Eng. Process.-Process Intensif. 2024, 202, 109849. [Google Scholar] [CrossRef]
- Ashrafizadeh, S.N.; Zare, M.; Khatibi, M. A comprehensive review of pinch flow fractionation in microfluidics: From principles to practical applications. Chem. Eng. Process.-Process Intensif. 2025, 208, 110087. [Google Scholar] [CrossRef]
- Seifollahi, Z.; Khatibi, M.; Ashrafizadeh, S.N. Ionic transport behavior of soft nanochannels for Newtonian and Non-Newtonian electrolytes. Ind. Eng. Chem. Res. 2024, 63, 10812–10824. [Google Scholar] [CrossRef]
- Khatibi, M.; Mojavezi, A.; Pourjafarabadi, E. Harvesting blue energy: pH-regulated nanochannels inspired by carbon nanostructures. Phys. Fluids 2023, 35, 102017. [Google Scholar] [CrossRef]
- Yu, X.R.; Cui, J.F.; Chen, X.G.; Mu, J.Y.; Qiao, Y.R. Time period electroosmotic flow of a class of incompressible micropolar fluid in parallel plate microchannels under high Zeta potential. Acta Phys. Sin. 2024, 73, 164701. [Google Scholar] [CrossRef]
- Wang, Y.N.; Fu, L.M. Micropumps and biomedical applications-A review. Microelectron. Eng. 2018, 195, 121–138. [Google Scholar] [CrossRef]
- Yang, R.J.; Hou, H.H.; Wang, Y.N.; Fu, L.M. Micro-magnetofluidics in microfluidic systems: A review. Sens. Actuators B-Chem. 2016, 224, 1–15. [Google Scholar] [CrossRef]
- Polevoi, V.V.; Bilova, T.E.; Shevtsov, Y.I. Electroosmotic phenomena in plant tissues. Biol. Bull. 2003, 30, 133–139. [Google Scholar] [CrossRef]
- Ng, C.O.; Qi, C. Electroosmotic flow of a Power-Law fluid in a non-uniform microchannel. J. Non-Newton. Fluid Mech. 2014, 208, 118–125. [Google Scholar] [CrossRef]
- Ellahi, R.; Sait, S.M.; Shehzad, N.; Mobin, N. Numerical simulation and mathematical modeling of Electro-osmotic couette–poiseuille flow of MHD Power-Law nanofluid with entropy generation. Symmetry 2019, 11, 1038. [Google Scholar] [CrossRef]
- Halifi, A.S.; Shafie, S.; Amin, N.S.S. Numerical solution of biomagnetic Power-Law fluid flow and heat transfer in a channel. Symmetry 2020, 12, 1959. [Google Scholar] [CrossRef]
- Tanveer, A.; Khan, M.; Salahuddin, T.; Malik, M. Numerical simulation of electroosmosis regulated peristaltic transport of Bingham nanofluid. Comput. Methods Programs Biomed. 2019, 180, 105005. [Google Scholar] [CrossRef]
- Hosham, H.A.; Thabet, E.N.; Abd-Alla, A.M.; El-Kabeir, S.M.M. Dynamic patterns of electroosmosis peristaltic flow of a Bingham fluid model in a complex wavy microchannel. Sci. Rep. 2023, 13, 8686. [Google Scholar] [CrossRef]
- Tan, Z.; Liu, J. Electro-osmotic flow of Eyring fluids in a circular microtube with Navier’s slip boundary condition. Phys. Lett. A 2017, 381, 2573–2577. [Google Scholar] [CrossRef]
- Jiang, Y.T.; Qi, H.T. Electroosmotic slip flow of Eyring fluid in a slit microchannel. Acta Phys. Sin. 2015, 64, 174702. [Google Scholar] [CrossRef]
- Wang, X.P.; Qiao, Y.L.; Qi, H.T.; Xu, H.Y. Effect of magnetic field on electroosmotic flow of viscoelastic fluids in a microchannel. Electrophoresis 2021, 42, 2347–2355. [Google Scholar] [CrossRef]
- Yang, X.; Xiao, Y.; Wang, S.W.; Zhao, M.L. Electroosmotic flow of fractional Maxwell fluid in a microchannel of isosceles right-triangular cross-section. Mech. Time-Dependent Mater. 2022, 28, 449–468. [Google Scholar] [CrossRef]
- Jiang, Y.T.; Qi, H.T.; Xu, H.Y.; Jiang, X.Y. Transient electroosmotic slip flow of fractional Oldroyd-B fluids. Microfluid. Nanofluidics 2017, 21, 7. [Google Scholar] [CrossRef]
- Wang, X.P.; Xu, H.Y.; Qi, H.T. Transient magnetohydrodynamic flow and heat transfer of fractional Oldroyd-B fluids in a microchannel with slip boundary condition. Phys. Fluids 2020, 32, 103104. [Google Scholar] [CrossRef]
- Peng, L.; Zhang, Z.H.; Tang, L.; Hao, Y.; Li, J. Electrokinetic ion transport of viscoelastic fluids in a pH-regulated nanochannel. Surf. Interfaces 2024, 46, 103957. [Google Scholar] [CrossRef]
- Hayat, T.; Afzal, S.; Hendi, A. Exact solutions of electroosmotic flow in generalized Burgers fluid. Appl. Math. Mech.-Engl. 2011, 32, 1119–1126. [Google Scholar] [CrossRef]
- Abdulhameed, M.; Adamu, G.T.; Dauda, G.Y. Modeling electro-osmotic flow and thermal transport of Caputo fractional Burgers fluid through a micro-channel. Proc. Inst. Mech. Eng. E J. Process Mech. Eng. 2021, 235, 2254–2270. [Google Scholar] [CrossRef]
- Ali, F.; Iftikhar, M.; Khan, I.; Sheikh, N.A.; Nisar, K.S. Time fractional analysis of electro-osmotic flow of Walters’s-B fluid with time-dependent temperature and concentration. Alex Eng. J. 2020, 59, 25–38. [Google Scholar] [CrossRef]
- Khan, A.A.; Zahra, B.; Ellahi, R.; Sait, S.M. Analytical solutions of peristalsis flow of non-Newtonian Williamson fluid in a curved micro-channel under the effects of electro-osmotic and entropy generation. Symmetry 2023, 15, 889. [Google Scholar] [CrossRef]
- Bhattacharyya, S.; Bag, N. Enhanced electroosmotic flow of Herschel-Bulkley fluid in a channel patterned with periodically arranged slipping surfaces. Phys. Fluids 2019, 31, 072007. [Google Scholar] [CrossRef]
- Powell, R.E.; Eyring, H. Mechanism for the relaxation theory of viscosity. Nature 1944, 154, 427–428. [Google Scholar] [CrossRef]
- Goswami, P.; Mondal, P.K.; Dutta, S.; Chakraborty, S. Electroosmosis of Powell-Eyring fluids under interfacial slip. Electrophoresis 2015, 36, 703–711. [Google Scholar] [CrossRef] [PubMed]
- Dutta, S.; Mondal, P.K.; Goswami, P. Slipping hydrodynamics of Powell-Eyring fluid in a cylindrical microchannel under electrical double layer phenomenon. Phys. Scr. 2019, 94, 025002. [Google Scholar] [CrossRef]
- Hayat, T.; Awais, M.; Asghar, S. Radiative effects in a three-dimensional flow of MHD Eyring-Powell fluid. J. Egypt. Math. Soc. 2013, 21, 379–384. [Google Scholar] [CrossRef]
- Bhatti, M.M.; Abbas, T.; Rashidi, M.M.; Ali, M.E.-S.; Yang, Z. Entropy generation on MHD Eyring-Powell nanofluid through a permeable stretching surface. Entropy 2016, 18, 224. [Google Scholar] [CrossRef]
- Hayat, T.; Hussain, Z.; Farooq, M.; Alsaedi, A. Magnetohydrodynamic flow of Powell-Eyring fluid by a stretching cylinder with Newtonian heating. Therm. Sci. 2018, 22, 371–382. [Google Scholar] [CrossRef]
- Jamshed, W.; Eid, M.R.; Nisar, K.S.; Nasir, N.A.A.M.; Edacherian, A.; Saleel, C.A.; Vijayakumar, V. A numerical frame work of magnetically driven Powell-Eyring nanofluid using single phase model. Sci. Rep. 2021, 11, 16500. [Google Scholar] [CrossRef]
- Ibrahim, W.; Lamesse, T. Powell-Eyring nanofluid analysis with finite element method when past stretching sheet with convective heating and passive control of nanoparticle. Int. J. Thermofluids 2023, 19, 100388. [Google Scholar] [CrossRef]
- Nazeer, M.; Ahmad, F.; Saeed, M.; Saleem, A.; Naveed, S.; Akram, Z. Numerical solution for flow of a Eyring-Powell fluid in a pipe with prescribed surface temperature. J. Braz. Soc. Mech. Sci. 2019, 41, 518. [Google Scholar] [CrossRef]
- Krishna, P.M.; Sandeep, N.; Reddy, J.V.R.; Sugunamma, V. Dual solutions for unsteady flow of Powell-Eyring fluid past an inclined stretching sheet. J. Nav. Archit. Mar. Eng. 2016, 13, 89–99. [Google Scholar] [CrossRef]
- Halim, N.A.; Noor, N.F.M. Mixed convection flow of Powell-Eyring nanofluid near a stagnation point along a vertical stretching sheet. Mathematics 2021, 9, 364. [Google Scholar] [CrossRef]
- Ponnalagarsamy, R.; Kawahara, M. A finite element analysis of laminar unsteady flow of viscoelastic fluids through channels with non-uniform cross-sections. Int. J. Numer. Methods Fluids 1989, 9, 1487–1501. [Google Scholar] [CrossRef]
- Liu, Y.; Zhang, H.; Jiang, X. Fast evaluation for magnetohydrodynamic flow and heat transfer of fractional Oldroyd-B fluids between parallel plates. ZAMM-J. Appl. Math. Mech. 2021, 101, 11–26. [Google Scholar] [CrossRef]
- Bai, Y.; Wang, X.; Zhang, Y.; Liu, C.Y. Unsteady stagnation point flow of fractional burgers’ fluid based on finite difference-spectral method. Chin. J. Comput. Mech. 2024, 41, 458–466. [Google Scholar] [CrossRef]
- Motsa, S.S. A new spectral local linearization method for nonlinear boundary layer flow problems. J. Appl. Math. 2013, 2013, 423628. [Google Scholar] [CrossRef]
- Shateyi, S.; Marewo, G.T. On a new numerical analysis of the Hall effect on MHD flow and heat transfer over an unsteady stretching permeable surface in the presence of thermal radiation and heat source/sink. Bound. Value Probl. 2014, 2014, 170. [Google Scholar] [CrossRef]
- Ghulam, R.; Abderrahim, W. Numerical spectral examination of EMHD mixed convective flow of second-grade nanofluid towards a vertical Riga plate using an advanced version of the revised Buongiorno’s nanofluid model. J. Therm. Anal. Calorim. 2021, 143, 2379–2393. [Google Scholar] [CrossRef]
- Thompson, P.A.; Troian, S.M. A general boundary condition for liquid flow at solid surfaces. Nature 1997, 389, 360–362. [Google Scholar] [CrossRef]
- He, J.H. Homotopy perturbation method for solving boundary value problems. Phys. Lett. A 2006, 350, 87–88. [Google Scholar] [CrossRef]





| Symbol | Meaning |
|---|---|
| , | Length and width of microchannel (m) |
| Height of microchannel (m) | |
| Zeta potential (V) | |
| External electric field strength (V/m) | |
| Shear stress (Pa) | |
| Net charge body density of the EDL (V/m) | |
| Pressure (Pa) | |
| , | Material parameters |
| Dielectric constant | |
| Volumetric concentration of ions (mol/m3) | |
| Elementary electronic charge (C) | |
| Valence of the ions | |
| Boltzmann constant (J/K) | |
| Absolute temperature (K) | |
| EDL thickness (m) | |
| Dimensionless electric width | |
| Ratio of pressure gradient to electric field | |
| Ratio of the inertial force to the viscous force | |
| Material parameters of the Powell–Eyring fluid | |
| Dimensionless parameter | |
| Dimensionless parameter | |
| Dimensionless parameter | |
| Dimensionless parameter |
| Parameter | Method | Numbers of Iterations | Residual |
|---|---|---|---|
| SLLM | 26 | ||
| Modified SLLM () | 6 | ||
| Finite Difference Method | 6 | ||
| Finite Element Method | 4 | ||
| SLLM | 20 | ||
| Modified SLLM () | 4 | ||
| Finite Difference Method | 2 | ||
| Finite Element Method | 2 |
| Parameter | ||||||||
|---|---|---|---|---|---|---|---|---|
| Method | HPM | Modified SLLM | HPM | Modified SLLM | HPM | Modified SLLM | HPM | Modified SLLM |
| Residual errors (10−4) | 9.9298 | 1 | 38.385 | 2 | 85.67 | 6 | 152.18 | 24 |
| RMSEs (10−4) | 8.4649 | 0 | 35.018 | 1 | 79.631 | 4 | 143.03 | 14 |
| Time (s) | 0.025741 | 0.220497 | 0.014740 | 0.188548 | 0.014680 | 0.176582 | 0.015518 | 0.185754 |
Disclaimer/Publisher’s Note: The statements, opinions and data contained in all publications are solely those of the individual author(s) and contributor(s) and not of MDPI and/or the editor(s). MDPI and/or the editor(s) disclaim responsibility for any injury to people or property resulting from any ideas, methods, instructions or products referred to in the content. |
© 2025 by the author. Licensee MDPI, Basel, Switzerland. This article is an open access article distributed under the terms and conditions of the Creative Commons Attribution (CC BY) license (https://creativecommons.org/licenses/by/4.0/).
Share and Cite
Jiang, Y. Electroosmotic Slip Flow of Powell–Eyring Fluid in a Parallel-Plate Microchannel. Symmetry 2025, 17, 1071. https://doi.org/10.3390/sym17071071
Jiang Y. Electroosmotic Slip Flow of Powell–Eyring Fluid in a Parallel-Plate Microchannel. Symmetry. 2025; 17(7):1071. https://doi.org/10.3390/sym17071071
Chicago/Turabian StyleJiang, Yuting. 2025. "Electroosmotic Slip Flow of Powell–Eyring Fluid in a Parallel-Plate Microchannel" Symmetry 17, no. 7: 1071. https://doi.org/10.3390/sym17071071
APA StyleJiang, Y. (2025). Electroosmotic Slip Flow of Powell–Eyring Fluid in a Parallel-Plate Microchannel. Symmetry, 17(7), 1071. https://doi.org/10.3390/sym17071071

