Abstract
This study investigates the cooperative substation inspection problem for multi-unmanned aerial vehicle systems (MUAVs) subjected to uncertain disturbances. To enhance inspection reliability and efficiency, a novel distributed fixed-time group consensus control scheme is proposed. In this framework, radial basis function neural networks (RBF NNs) are employed to approximate both intrinsic nonlinear uncertainties and uncertain disturbances affecting UAV dynamics. Subsequently, a distributed fixed-time controller is developed via backstepping techniques, where fixed-time command filters are integrated to circumvent the complexity explosion inherent to conventional backstepping. Furthermore, an approximation error compensation system is established. It mitigates estimation inaccuracies arising from RBF NN approximations and command filtering processes. The mathematical analysis demonstrates that the proposed controller ensures the fixed-time convergence of group consensus errors into an adjustable residual set. Finally, numerical simulations and MUAV group formation simulations validate the robustness against aerodynamic uncertainties.
1. Introduction
The increasing scale and operational intricacy inherent in contemporary power grids have revealed significant constraints in traditional manual inspection approaches, specifically regarding efficiency, precision, and adherence to safety protocols [1,2,3]. Unmanned aerial vehicles (UAVs), distinguished by their exceptional maneuverability and capability to access restricted areas, have evolved into revolutionary apparatuses for electrical infrastructure assessment [4,5]. Moreover, MUAV collaborative operational frameworks exhibit enhanced inspection performance and system robustness relative to individual UAV implementations, establishing this paradigm as a pivotal investigative domain within the field of power grid monitoring technologies [6,7,8].
The leader–follower framework dominates current UAV group inspection control methodologies due to its mature theoretical foundation and practical implementability. Advanced control schemes incorporating neural adaptive techniques [9,10,11,12] successfully mitigate nonlinear dynamics and external disturbances. It is noteworthy that while these algorithms demonstrate satisfactory performance in MUAV formations and heterogeneous robotic groups, they strictly enforce single-leader configurations. This architectural constraint inherently limits operational capacity to single-task execution, thereby reducing the algorithmic adaptability of MUAV formations. Practical operational scenarios require UAV groups to dynamically reconfigure into mission-specific subgroups for concurrent multi-objective attainment [13,14]. Consequently, environmentally resilient group consensus control with enhanced collaborative intelligence has emerged as a critical research frontier. A recent investigation by [15] has addressed linear multi-agent system consensus under directed graph constraints, while [16] extended this analysis to nonlinear system dynamics. Subsequent research efforts have focused on implementing these group consensus principles in robotic system applications. A unified multi-leader formation architecture was established by [17], enabling the concurrent operation of multiple leader nodes within robotic collectives. Reference [18] introduced swarm intelligence processing techniques for distributed robotic manufacturing systems, particularly effective in large-scale manufacturing operations. Bipartite consensus mechanisms for quadrotor formations were systematically investigated by [19]. Despite their successful implementation in certain multi-robot systems, MUAVs demonstrate highly coupled dynamics and pronounced nonlinear characteristics. Current group formation control methodologies exhibit limited capability in addressing such nonlinear system complexities, particularly requiring further systematic investigation. This research gap motivates the development of a novel group formation control framework with significant practical implications for collaborative aerial inspection systems.
Additionally, implementing rapid consensus constitutes a critical operational prerequisite in collaborative UAV formation control systems, ensuring both safety compliance and task coordination integrity [14]. Researchers have systematically developed finite/fixed-time cooperative control architectures [20,21,22] to achieve enhanced convergence rates in multi-agent coordination. Given the pronounced influence of initial system states on finite-time protocol stability and convergence characteristics [23], academic focus has shifted toward fixed-time control paradigms with initial condition-independent properties [9]. Reference [24] established theoretical frameworks for fixed-time consensus control in nonlinear multi-agent systems subject to periodic disturbances and constrained communication ranges. The investigation of adaptive neural fixed-time consensus tracking control for high-order multi-agent systems was rigorously conducted by [25]. While fixed-time control demonstrates superior convergence characteristics and enhanced robustness properties, implementing backstepping-based control architectures may induce singularity complications during virtual controller derivation processes, a technical challenge requiring systematic resolution in our proposed methodology.
Finally, ensuring UAV operational reliability necessitates systematically considering disturbances during mission execution. Some bounded control methodologies including proportional–integral–derivative (PID) regulators, sliding mode control (SMC) systems, and active disturbance rejection control (ADRC) remain prevalent in contemporary UAV control systems [26,27]. PID-based control paradigms demonstrate intrinsic parameter dependency, necessitating mission-specific parameter calibration that intensifies preparatory workloads in aerial inspection deployments. ADRC incorporates extended state observer (ESO) components designed for the real-time estimation and compensation of exogenous disturbances.The research presented in [28] introduced an ESO-enhanced finite-time formation control architecture for UAV groups, demonstrating enhanced disturbance attenuation performance compared to conventional methods. ADRC implementation challenges persist due to three principal factors: architectural intricacy, demanding parametric optimization requirements, and constrained operational adaptability. Recent advancements in computational intelligence methodologies have facilitated neural network-based control systems for UAVs, demonstrating real-time disturbance estimation–compensation synergy [29,30]. Our proposed control scheme consequently employed neural networks to enhance system robustness and environmental adaptability.
The reviewed literature reveals persistent challenges in simultaneously addressing flexibility augmentation and robustness enhancement for practical UAV formation systems. Motivated by the discussion above, this study develops a distributed fixed-time group consensus coordination architecture for MUAVs employing the multi-leader/multi-follower topology. The control framework combines backstepping with RBF NNs and fixed-time command filters, effectively balancing implementation feasibility with disturbance resilience. The principal innovations distinguishing this research from conventional approaches are presented as follows:
- The traditional consensus control architectures fundamentally operate under single-leader constraints. In contrast, the group formation control scheme proposed in this study allows multiple leaders to lead different subgroups, and it can meet multiple different formation objectives simultaneously according to the needs of tasks.
- Compared with finite-time control, the fixed-time controller proposed in this study achieves convergence speed independence from initial system states. The use of fixed-time command filter implementation effectively circumvents controller complexity explosions.
- Through RBF NN-based disturbance estimation, the robustness of the controller is enhanced. Moreover, the error compensator framework, incorporating inequality scaling operators, actively counteracts performance deterioration characteristics linked to RBF NN-based control implementations.
The rest of this article is organized as follows: Section 1 introduces the preliminaries and problem formulation. Section 2 outlines the design of the distributed fixed-time adaptive control scheme. Section 3 shows the stability analysis of the system, and Section 4 shows the simulation experiment. Section 5 summarizes the entire study.
2. Preliminaries and Problem Formulation
2.1. Group Graph Theory
The internal communication relationship of N agents can be described by the graph . The agent set is divided into k groups with , , and . These agents represent the leaders of groups 1 through k. These groups satisfy and . The edge set . The adjacency matrix is associated with if , ; otherwise, . The diagonal matrix is with . The Laplacian matrix of is given as .
2.2. Problem Formulation
Considering the external disturbance, the dynamics and kinematics of the i-th UAV in the MUAV can be modeled as follows [31]:
where and represent the position and attitude angle state, respectively. are control inputs. , , and are principal moments of inertia. is the mass . are bounded and continuous functions representing the external disturbance. For convenience of understanding, this study assumes that the attitude of the UAV can already be well controlled, so the model is simplified to a UAV position model.
where , , . is an unknown function subjected to disturbances. Moreover, we have the . In this case, the UAV model is a three-dimensional second-order nonlinear system model.
Problem 1.
This study analyzes the fixed-time group formation control of MUAV (2) subject to external disturbance. Our purpose is to design to ensure that MUAV (2) can accomplish the group formation task in a fixed time under external disturbances. There is an upper bound of settling time , where the settling time T and the following criteria are satisfied:
- (1)
- The group formation error , where is a small constant and the settling time ;
- (2)
- All the signals in the closed-loop MUAV 1 are fixed-time bounded.
To achieve the above control objectives, some assumptions and primitives are used as follows:
Assumption 1.
There is a spanning tree from the k-th leader node in graph of MUAV 1.
Assumption 2.
The signals of the k-th leader node are all accurately obtainable and both its output signal and the derivative are bounded and continuous.
Remark 1.
Assumption 1 is a commonly used assumption in formation control, and it is important for the stability analysis of the controller, as we can see in [17,18,19,30]. In practice, the leader’s signals are artificially set up and then transmitted to the followers. Therefore, Assumption 2 is reasonable.
Lemma 1
([32]). For , , , where and are positive odd numbers, we have
Lemma 2
([33]). For , , , where and are positive odd numbers, there are
Lemma 3
([31]). For and , an inequality can be established as
Lemma 4
([24]). If there is a continuous radially bounded function , there is , albeit only if . Moreover, for any , there is
where , , α, β, and ζ are positive constants, with and . Then, the original system is actually fixed and stable. The convergence time satisfies
where θ is a positive constant .
Lemma 5
([10]). Considering to be a continuous function and defined on a compact set , then the RBF NNs are defined such that
with a desired accuracy , where .
In this study, the structure of the RBF NNs is described in Figure 1.
Figure 1.
The schematic structure of the RBF NNs.
The RBF NNs have three layers: the input layer, the hidden layer, and the output layer. The input layers and the hidden layer contain the same number of nodes. The radial basis function in the hidden layer is chosen as a Gaussian function in the form . denotes the input vector. is the center of the Gaussian function of the i-th node, and is the width parameter of the Gaussian function. The ideal weight vector is . The output of the RBF NNs corresponds to the linearly weighted sum of the Gaussian layer activations.
3. Control Design
In this section, the backstepping-based controller design process is presented. Model (2), which can be interpreted as three decoupled second-order systems in three-dimensional space, shares identical dynamic structures across all axes. For conciseness, this study focuses on the x-axis controller derivation. The group formation error and the virtual control error , are defined as
where is the number of UAVs, and is the relative position deviation between the i-th UAV’s position and the leader’s position. The diagram of the first-order fixed-time command filter [15] is shown in Figure 2.
Figure 2.
The diagram of the first-order fixed-time command filter.
Its mathematical equation is expressed in (12):
where and are the outputs of the first-order fixed-time command filter, where and , . The output of filter , can be obtained by (12).
Remark 2.
As evidenced in Figure 2, the fixed-time first-order command filter (12) ensures that the output converges to within a fixed time. This mechanism enables derivative approximation while circumventing the computational complexity inherent in direct differentiation processes. The time constant τ, governing convergence rate dynamics, is conventionally selected as a positive scalar (see [24,25]). Following this paradigm, we configure for our experimental validation.
Consider the Lyapunov function as follows:
where and are positive constants; and are the norm of ideal weight and norm of the actual weight of RBF NNs, respectively; and and are the ideal approximate error and actual approximate error of RBF NNs. Moreover, and denote the estimation errors of adaptive estimation laws. Taking the time derivative of , we can obtain
where is an unknown function that includes the effects of disturbances. According to the Lemma 5, there are RBF NN values satisfying , , and is a given constant). We use the function to approximate the unknown function. with . At this point, the number of input nodes of the RBF NNs is 7, in the Gaussian function is set as [−3 −2 −1 0 1 2 3], is set as 2, and the initial weight W is set as [0.1, 0.1, 0.1, 0.1, 0.1, 0.1, 0.1].
Then, Equation (14) has the following form:
By using Young’s inequality, we have . The term is a monotonically decreasing function that can be selected as with . . Moreover, the DSC error . Then, Equation (15) yields
Let ; then, the virtual control is designated as
where represents the intermediate variables with the following forms:
The adaptive laws and are designed as
Substituting virtual controller (17) and adaptive laws (19) and (20) into (16) yields
Based on Lemmas 1 and 2, the terms and in (21) have the following forms:
We follow the same approach as above to deal with and in (21), which will not be repeated here for the sake of brevity. According to Young’s inequality, ; then, can be derived as
where by making , these terms are , . , , , and .
The term has the following forms:
From (2) and (11), we have , and the Lyapunov function candidate is
Calculating the time derivative of obtains
where with . At this point, the number of input nodes of the RBF NNs is 4, in the Gaussian function is set as [−2 −1 1 2], is set as 2, and the initial weight W is set as [0.1, 0.1, 0.1, 0.1].
From the fixed-time command filter in (12), the term is written as
According to the virtual controller (17), there is a positive constant such that , so . By using Young’s inequality, we have . It follows from (27) that
Then, the actual control input is designed as
The adaptive laws and are designed in the same manner as (19) and (20). By substituting actual control input (29) and adaptive laws into (28), we have
where , , , , and .
The term has the following forms
Then, the design of the controller is completed. The same methodology for and is not repeated.
Remark 3.
Given the structural equivalence of three-degree-of-freedom UAV dynamics, where each axis is governed by second-order nonlinear equations with identical formulations, the designed control inputs and exhibit identical configurations to . This symmetry extends to the virtual controller , which follows the same design paradigm. The compensation terms and are synthesized from measurable state variables encapsulated in the Lyapunov functions and . Notwithstanding the mathematical complexity inherent in and , these terms remain bounded and do not compromise closed-loop stability analysis.
Remark 4.
It is worth noting that the controller designed in this study is based on a second-order multi-agent system with strict feedback. Since such systems can widely describe numerous objects in reality, the proposed control scheme has strong practicability. Moreover, this control scheme can also be further extended to cover high-order strict feedback multi-agent systems.
4. Stable Analysis
Theorem 1.
Under Assumptions 1 and 2 governing nonlinear UAV dynamics described by (1)–(2), with bounded continuous external disturbances , the developed group formation control framework guarantees fixed-time convergence for MUAVs. Through synergistically integrating the virtual controller (17), the actuation input (29), and adaptive update laws (19)–(20), all closed-loop signals remain bounded while achieving the prescribed formation objectives.
Proof of Theorem 1.
Consider the candidate Lyapunov function
where . Then, it follows from (24) and (30) that
where and . Then, by using Lemma 3, it can be concluded that
combining (32), (33), and (34), we find that
where and . Based on Lemma 4, the variables in converge to an arbitrarily small region around the origin in fixed-time . □
This completes the proof.
Remark 5.
The group formation errors satisfy . Therefore, the fixed-time group formation of MUAVs (1)–(2) is achieved under external disturbance. Further, according to , , , , and are bounded. Thus, the designed virtual controller and actual control input are bounded, so all the signals in the closed-loop MUAVs remain bounded.
Remark 6.
Compared to the existing studies on group control problems [17,18,19], where the designed controllers only guarantee the uniform ultimate boundedness (UUB) of the closed-loop system signals, our proposed controller guarantees fixed-time convergence to an adjustable residual set and the settling time has no concern with initializing the system states.
5. Simulations
In this section, we conduced two simulations to verify the effectiveness of our proposed control scheme.
Example 1
(Numerical simulation). The basis of group formation control is consensus control. Therefore, the consensus control performance of the proposed control scheme is verified via numerical simulation, considering that multi-agent systems have eight follower agents and three virtual leaders. The communication topology is shown in Figure 1. The group relationship between agents and leaders is described as , , and .
The dynamics of the i-th follower is modeled as
The initial values are designed as , , and . The desired trajectory . The external disturbance is given as
Based on Theorem 1, the virtual controller, actual control input, and adaptive laws are used. The control parameters are set as ; ; and , . By incorporating Lemma 3, .
Figure 3 presents the simulation results from Example 1, including comparative analysis with existing fixed-time controllers [14,25]. While all three control architectures achieve consensus tracking in trajectory regulation tasks, quantitatively evaluating Figure 3a,c,e demonstrates superior transient performance and steady-state accuracy in the proposed controller (Figure 3a) during system operation in both baseline configurations and disturbance-impacted circumstances.
Figure 3.
The consensus control simulation results of the numerical simulation in Example 1: (a) The trajectories of 8 followers under the proposed controller. (b) The consensus errors under the proposed controller. (c) The trajectories of 8 followers under [14]. (d) The consensus errors under [14]. (e) The trajectories of the 8 followers under [25]. (f) The consensus errors under [25].
Quantitative performance evaluation based on Figure 3b,e,f reveals enhanced control characteristics. In Figure 3b, the consensus error of our proposed controller is below 0.1 units at about , significantly faster than the maximum convergence time . Comparative analysis shows that the benchmark controller in Figure 3e requires 2.4 to reach equivalent precision, while Figure 3f indicates a requirement of 2.6 for the alternative method. Post-disturbance analysis () reveals minimal consensus error variation under the proposed controller, indicating its superior disturbance rejection capability.
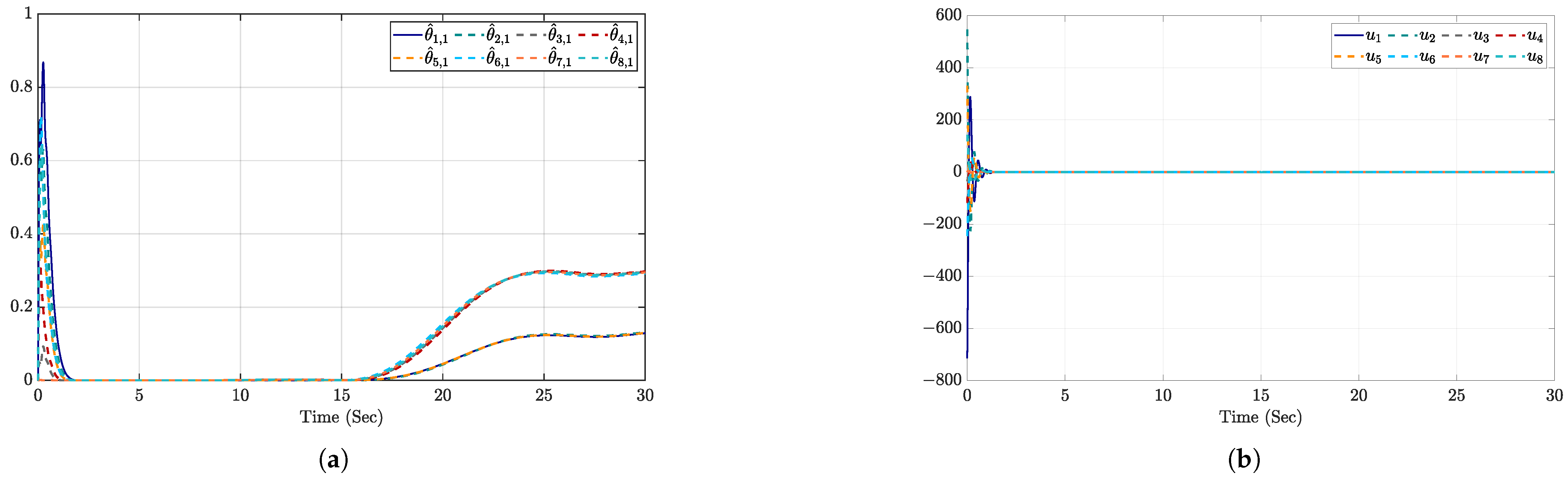
Figure 4 demonstrates the bounded evolution of RBF neural network weight norms and control input characteristics. The weight vector norms in Figure 4a exhibit bounded convergence to equilibrium states within , achieving stability at under nominal conditions. After disturbance activation (), the weights undergo transient adaptation while maintaining bounded trajectories, confirming the neural estimator’s dynamic compensation capability. Figure 4b shows the control input, which is always bounded regardless of the presence of the perturbations. After the addition of the disturbance, the control changes and is bounded. These above results validate the effectiveness of the algorithm proposed in this study.
Figure 4.
The consensus control simulation results of the numerical simulation in Example 1: (a) The norm of RBF NN weights. (b) The control input under the proposed controller.
Example 2
(MUAV group formation). In the inspection tasks of power equipment, the deployment of MUAVs in a formation can enhance the inspection efficiency. The schematic diagram is shown in Figure 5. Considering that MUAV agents have the same communication topology shown in Figure 6, the parameters of the formation are set as , , with representing the deviation in position between followers and leaders. The external disturbance is the same as given in Example 1.
Figure 5.
Communication topology satisfies Assumption 1 for Example 1.
Figure 6.
Formation inspection schematic diagram.
The initial states of MUAVs are concretely settled as , , , and . The control parameters are set as , , , , , and . By incorporating Lemma 3, is .
The simulation results of Example 2 are presented in Figure 7, Figure 8 and Figure 9. Figure 7 shows the trajectories of MUAVs. The UAVs can track the leaders’ reference signal satisfying and achieving the prescribed triangle formation simultaneously. Moreover, group formation control is implemented as expected. The formation shape can still be maintained after being subjected to external disturbance (39).
Figure 7.
Trajectory of MUAV formation.
Figure 8.
The norm of group formation errors .
Figure 9.
The norm of control input .
As shown in Figure 8, the formation error can converge rapidly to a very small value. After 15 seconds, when subjected to external disturbances, the formation error fluctuates due to the influence of the disturbances, but it remains at a very small value afterwards.
In Figure 9, the output of the controller is always bounded. It has a value of no more than 800 N. In fact, for the UAVs considered in this study, the rotors are fully capable of generating such lift. Moreover, after the system is stabilized and an external disturbance is added (i.e., after 15 s), Figure 9 demonstrates that the variation in the control input is in a range of about 5N. Thus, the UAV overcomes the external disturbance and does not consume large amounts of power.
The feasibility of the proposed algorithm is validated through comprehensive simulations, providing critical insights into its real-world applicability. First, the computational explosion inherent in conventional backstepping methods is effectively mitigated by integrating a fixed-time command filter, which reduces implementation complexity for MUAVs while preserving control precision. This innovation addresses a fundamental barrier, practically deploying backstepping-based controllers in embedded systems.
Additionally, this study employs RBF NNs for disturbance estimation, leveraging their simplified topological structure and real-time weight adaptation capabilities. Unlike conventional neural network implementations requiring offline training phases, the weight update laws derived from Lyapunov stability principles ensure both system stability and adaptive disturbance compensation without pretraining requirements. This dual functionality enables continuous environmental adaptation while maintaining theoretical guarantees.
Finally, the decentralized control architecture distributes computational loads across individual UAV agents, requiring only local neighbor state information or leader references for stable formation control. Compared to centralized control paradigms, this distributed approach significantly reduces onboard computational demands and communication bandwidth requirements, demonstrating enhanced scalability for large-scale MUAVs. These combined technical advancements establish a robust framework for practical implementation in dynamic operational environments.
6. Conclusions
This study addresses the group formation control problem for MUAVs under external disturbances. A distributed fixed-time control scheme is developed, utilizing RBF NNs to approximate system uncertainties and external disturbances. By integrating fixed-time stability theory, a fixed-time controller is designed with a command filter to mitigate the complexity explosion inherent in backstepping methods. An error compensation mechanism incorporating inequality constraints and positive integrable functions enhances controller precision. Numerical simulations validate the controller’s feasibility, demonstrating its applicability to MUAV formation inspection tasks.
Author Contributions
Conceptualization, L.X. and Y.Y.; methodology, L.X. and Z.X.; software, Z.F. and C.C.; validation, L.X. and F.L.; investigation, F.L. and Y.Y.; writing—original draft preparation, L.X.; writing—review and editing, L.X. and Y.Y. All authors have read and agreed to the published version of this manuscript.
Funding
This study was supported by the project Research and Application of Small UAV Collaborative Inspection Technology in Substation (No. 5218A024000J).
Data Availability Statement
Data will be made available on request.
Conflicts of Interest
Author Lirong Xiao, Zhongwei Xiao, Zheng Fu, Cheng Pin was employed by the State Grid Jiangxi Electric Power Limited Liability Company Nanchang Power Supply Branch. Author Fan Li was employed by the Jiangxi Electric Power Research Institute of State Grid. Author Yang Yang was employed by the School of Electrical and Information Engineering, Tianjin University, China. The authors declare that this study received funding from the State Grid Jiangxi Electric Power Limited Liability Company Nanchang Power Supply Branch. The funder was not involved in the study design, collection, analysis, interpretation of data, the writing of this article or the decision to submit it for publication.
References
- Majeed Butt, O.; Zulqarnain, M.; Majeed Butt, T. Recent advancement in smart grid technology: Future prospects in the electrical power network. Ain Shams Eng. J. 2021, 12, 687–698. [Google Scholar] [CrossRef]
- Quan, O.Y.; Zhao, W.; Yu, C.; Zhi, W. Formation control of unmanned aerial vehicle swarms: A comprehensive review. Asian J. Control 2023, 25, 570–593. [Google Scholar]
- Phadke, A.; Medrano, F.A. Towards Resilient UAV Swarms—A Breakdown of Resiliency Requirements in UAV Swarms. Drones 2022, 6, 340. [Google Scholar] [CrossRef]
- Hwei, C.; Maharjan, S.; Yan, Z.; Eliassen, F.; Strunz, K. Placement and Routing Optimization for Automated Inspection With Unmanned Aerial Vehicles: A Study in Offshore Wind Farm. IEEE Trans. Ind. Inf. 2021, 17, 3032–3043. [Google Scholar]
- Xu, B.; Zhao, Y.; Wang, T.; Chen, Q. Development of power transmission line detection technology based on unmanned aerial vehicle image vision. SN Appl. Sci. 2023, 5, 72. [Google Scholar] [CrossRef]
- Hongwei, H.; Zifeng, F.; Zhuang, L. Research on collaborative inspection key technologies for multi-UAVs and multi-nests. AIP Adv. 2024, 6, 065208. [Google Scholar]
- Jacobsen, R.H.; Matlekovic, L.; Shi, L.; Malle, N.; Ayoub, N.; Hageman, K.; Hansen, S.; Nyboe, F.F.; Ebeid, E. Design of an Autonomous Cooperative Drone Swarm for Inspections of Safety Critical Infrastructure. Appl. Sci. 2023, 13, 1256. [Google Scholar] [CrossRef]
- Nordin, M.H.; Sharma, S.; Khan, A.; Gianni, M.; Rajendran, S.; Sutton, R. Collaborative Unmanned Vehicles for Inspection, Maintenance, and Repairs of Offshore Wind Turbines. Drones 2022, 6, 137. [Google Scholar] [CrossRef]
- Cheng, W.; Zhang, K.; Jiang, B.; Ding, S.X. Fixed-Time Fault-Tolerant Formation Control for Heterogeneous Multi-Agent Systems With Parameter Uncertainties and Disturbances. IEEE Trans. Circuits Syst. I Regul. Pap. 2021, 68, 2121–2133. [Google Scholar] [CrossRef]
- Singha, A.; Ray, A.K.; Govil, M.C. Adaptive Neural Network Based Quadrotor UAV Formation Control Under External Disturbances. Aerosp. Sci. Technol. 2024, 155, 109608. [Google Scholar] [CrossRef]
- Liu, Z.; Li, J.; Shen, J. Leader–Follower UAVs Formation Control Based on a Deep Q-Network Collaborative Framework. Sci. Rep. 2024, 14, 4674. [Google Scholar] [CrossRef] [PubMed]
- Deng, D.; He, P.; Shi, P.; Kovács, L. Distributed Consensus of Nonlinear Stochastic Multi-Agent Systems with Input and Output Delays via Predictive Control. Nonlinear Dyn. 2024, 112, 21227–21239. [Google Scholar] [CrossRef]
- Wu, P.; Li, Y.; Xue, D. Multi-Target Tracking with Multiple Unmanned Aerial Vehicles Based on Information Fusion. Drones 2024, 8, 704. [Google Scholar] [CrossRef]
- Hao, L.; Zhan, X.; Wu, J.; Hao, T.; Yan, H. Fixed-Time Group Consensus of Nonlinear Multi-Agent Systems via Pinning Control. Automatica 2021, 19, 200–208. [Google Scholar] [CrossRef]
- Luo, S.; Ye, D. Cluster Consensus Control of Linear Multiagent Systems Under Directed Topology With General Partition. IEEE Trans. Autom. Control 2022, 67, 1929–1936. [Google Scholar] [CrossRef]
- Hu, Y.; Ma, R.; Fu, J. Adaptive control for a class of high-order nonlinear parameterized systems with multiple unknown control directions by switching linear controllers. Int. J. Robust Nonlinear Control 2024, 34, 1696–1713. [Google Scholar] [CrossRef]
- Hu, J.; Bhowmick, P.; Jang, I.; Arvin, F.; Lanzon, A. A Decentralized Cluster Formation Containment Framework for Multirobot Systems. IEEE Trans. Robot 2021, 37, 1936–1955. [Google Scholar] [CrossRef]
- Zhao, X.; Tao, B.; Ding, H. Multimobile Robot Cluster System for Robot Machining of Large-Scale Workpieces. IEEE/ASME Trans. Mechatron. 2022, 27, 561–571. [Google Scholar] [CrossRef]
- Guerrero, J.A.; Romero, G.; Olivares, D.; Romero-Cruz, L.M. Forced Multi-Agent Bipartite Consensus Control: Application to Quadrotor Formation Flying. IEEE Access 2024, 12, 163654–163670. [Google Scholar] [CrossRef]
- Liao, H.; Chen, X.; Jia, J. Distributed Fast F-T Control for UAV Formation in the Presence of Unknown Input Disturbances. Int. J. Robust Nonlinear Control 2024, 34, 9984–10008. [Google Scholar] [CrossRef]
- Huang, W.; Guo, Y.; Ran, G. Fast Finite-Time Formation Control of UAVs with Multiple Loops and External Disturbances. IEEE Trans. Intell. Veh. 2024; early access. [Google Scholar]
- Guo, X.; Li, Q.; Yao, Q. Fixed-Time Dynamic Event-Triggered Formation Control for Unmanned Aerial-Ground Vehicle (UAV-UGV) Heterogeneous System. Int. J. Robust Nonlinear Control, 2025; Early Access. [Google Scholar]
- Ghasemi, M.; Nersesov, S.G. Finite-Time Coordination in Multiagent Systems Using Sliding Mode Control Approach. Automatica 2014, 50, 1209–1216. [Google Scholar] [CrossRef]
- Yi, J.; Li, J.; Zhang, Z. Fixed-Time Connectivity-Preserving Consensus of Periodically Disturbed Nonlinear Multi-Agent Systems with Limited Communication Ranges. ISA Trans. 2023, 138, 291–300. [Google Scholar] [CrossRef] [PubMed]
- Ma, J.; Wang, H.; Qiao, J. Adaptive Neural Fixed-Time Tracking Control for High-Order Nonlinear Systems. IEEE Trans. Neural Netw. Learn. Syst. 2024, 35, 708–717. [Google Scholar] [CrossRef]
- Shi, M. Application of PID Control Technology in Unmanned Aerial Vehicles. Appl. Comput. Eng. 2024, 96, 24–30. [Google Scholar] [CrossRef]
- Zhang, P.; Wang, Z.; Zhu, Z. Enhanced Multi-UAV Formation Control and Obstacle Avoidance Using IAAPF-SMC. Drones 2024, 8, 514. [Google Scholar] [CrossRef]
- Yu, Y.; Chen, J.; Zheng, Z.; Yuan, J. Distributed Finite-Time ESO-Based Consensus Control for Multiple Fixed-Wing UAVs Subjected to External Disturbances. Drones 2024, 8, 260. [Google Scholar] [CrossRef]
- Liu, W.; Lyu, S.-K.; Liu, T.; Wu, Y.-T.; Qin, Z. Multi-Target Optimization Strategy for Unmanned Aerial Vehicle Formation in Forest Fire Monitoring Based on Deep Q-Network Algorithm. Drones 2024, 8, 201. [Google Scholar] [CrossRef]
- Bui, D.N.; Phung, M.D. Radial Basis Function Neural Networks for Formation Control of Unmanned Aerial Vehicles. Robotica 2024, 42, 1842–1860. [Google Scholar] [CrossRef]
- Wang, X.; Guo, J.; Tang, S.; Qi, S. Fixed-time disturbance observer based fixedtime backstepping control for an air-breathing hypersonic vehicle. ISA Trans. 2019, 88, 233–245. [Google Scholar] [CrossRef]
- Wang, Y.; Song, Y.; Krstic, M.; Wen, C. Fault-tolerant finite time consensus for multiple uncertain nonlinear mechanical systems under single-way directed communication interactions and actuation failures. Automatica 2016, 63, 374–383. [Google Scholar] [CrossRef]
- Wu, Y.; Wang, Z. Fuzzy adaptive practical fixed-time consensus for second-order nonlinear multi-agent systems under actuator faults. IEEE Trans. Cybern. 2021, 51, 1150–1162. [Google Scholar] [CrossRef] [PubMed]
Disclaimer/Publisher’s Note: The statements, opinions and data contained in all publications are solely those of the individual author(s) and contributor(s) and not of MDPI and/or the editor(s). MDPI and/or the editor(s) disclaim responsibility for any injury to people or property resulting from any ideas, methods, instructions or products referred to in the content. |
© 2025 by the authors. Licensee MDPI, Basel, Switzerland. This article is an open access article distributed under the terms and conditions of the Creative Commons Attribution (CC BY) license (https://creativecommons.org/licenses/by/4.0/).








