Next Article in Journal
A New Family of Multipartition Graph Operations and Its Applications in Constructing Several Special Graphs
Previous Article in Journal
Structural Damage Identification Using Data Fusion and Optimization of the Self-Adaptive Differential Evolution Algorithm
 
 
Font Type:
Arial Georgia Verdana
Font Size:
Aa Aa Aa
Line Spacing:
Column Width:
Background:
Article

Mechanical Properties of 3D-Printed PLA Structures Observed in Framework of Different Rotational Symmetry Orders in Infill Patterns

by
Sanja Mahović Poljaček
1,*,
Davor Donevski
1,*,
Tamara Tomašegović
1,
Urška Vrabič Brodnjak
2 and
Mirjam Leskovšek
2
1
Faculty of Graphic Arts, University of Zagreb, Getaldićeva 2, 10000 Zagreb, Croatia
2
Faculty of Natural Sciences and Engineering, University of Ljubljana, Aškerčeva cesta 12, SI-1000 Ljubljana, Slovenia
*
Authors to whom correspondence should be addressed.
Symmetry 2025, 17(3), 466; https://doi.org/10.3390/sym17030466
Submission received: 26 February 2025 / Revised: 16 March 2025 / Accepted: 18 March 2025 / Published: 20 March 2025
(This article belongs to the Section Engineering and Materials)

Abstract

In this research, eco-friendly PLA filaments were 3D-printed using FDM. Three geometric shapes with different orders of rotational symmetry were selected to create infill patterns: an equilateral triangle, a square, and a regular hexagon. Additionally, each of these three infill patterns was modified by rotating the basic shape used to form the infill pattern by 0°, 15°, and 30°. The objective of this study was to analyze how the order of rotational symmetry within the infill pattern affects the mechanical properties of the printed specimens. To ensure consistency, infill density was kept as uniform as possible across all samples produced. DMA and tensile tests were performed on the produced specimens. The obtained mean values in the tensile measurements were compared using the Kruskal–Wallis test. Dunn’s test was used for post hoc pairwise multiple comparisons. DMA showed that when comparing different infill patterns, the specimens with an order of rotational symmetry of 3 (triangle) showed the highest modulus of elasticity, and the specimens with a 15° rotation regardless of shape generally had the highest storage modulus. Statistical analysis showed that the maximum force of the infill pattern with an order of rotational symmetry of 3 (triangle) was the least affected by the rotation angle, while the infill pattern with an order of rotational symmetry of 4 (square) and a 0° rotation displayed a significantly higher value of the maximum force than other patterns. The infill pattern with an order of rotational symmetry of 6 (hexagon) was moderately affected by the angle of rotation. Given the numerous infill patterns utilized in FDM, the results of this research offered a new viewpoint and insights into optimizing the mechanical properties of 3D-printed infill patterns.

1. Introduction

Three-dimensional printing (3D printing) is developing rapidly and is increasingly used beyond the initial purpose of creating prototypes. Its ability to work with various materials allows for customizable and (relatively) fast production. Accessible to the public, basic fused deposition modelling (FDM) printers can be easily purchased, making 3D printing more affordable compared with other additive manufacturing techniques. FDM is one of the most common forms of additive manufacturing technology used today, operating by constructing objects by depositing molten thermoplastic material layers in defined print paths [1]. The key benefits of additive manufacturing, including FDM, over traditional manufacturing include its cost efficiency, ability to produce custom designs, and reduced supply chain complexity. While FDM has limitations in mass production due to time consumption and sometimes precision issues, its strengths in rapid prototyping and on-demand manufacturing are significant advantages [1,2].
FDM involves creating a digital design using 3D software, which is then sliced into layers and printed layer by layer with materials in the form of filaments [1,2,3]. The mechanical properties of the objects created using FDM depend on various factors, including the chosen materials, structural parameters, and manufacturing variables such as printing speed and temperature [3,4]. FDM offers advantages in controlling the architecture of the matrix that forms the printed object and allowing for a variety of designs and compositions. Today, FDM is utilized in numerous fields, such as aerospace technology, the automotive industry, education, biotechnology, and healthcare. Moreover, it supports on-demand speciality manufacturing, reducing waste and facilitating the creation of personalized products [4,5,6].
The common thermoplastic filaments used in FDM printing are polylactic acid (PLA), acrylonitrile butadiene styrene (ABS), polyethylene terephthalate glycol (PETG), and flexible thermoplastic elastomers/rubbers (TPEs) for specialized applications. Additionally, further composites, such as wood or carbon fibre blends, expand the applications of FDM technology [1,7,8,9,10,11].
In contemporary applications of FDM as a 3D printing technology, PLA is one of the most commonly used materials across various industries due to its distinctive properties. PLA is a thermoplastic and biodegradable polymer and can be produced from renewable resources. From an environmental perspective, PLA and its blends have advantages over some conventional materials, but they also have some disadvantages. PLA is not easily converted into nanoplastic in seawater and can therefore be used as a material for 3D printing for the marine industry, specifically by using PLA marine plastic waste [12,13]. This application is aligned with the circular economy. Due to their biodegradability, PLA composites are presented as a renewable and sustainable solution for various industrial and other applications [14]. However, the slow degradation of PLA needs to be taken into account when assessing the applicability and ecological aspects of using PLA in technical applications [15], and if possible, the degradation rate of PLA-based materials should be adjusted to their specific utilization needs [16]. When observing end-of-life solutions for PLA, research has been in favour of composting, which displays a reduced impact on freshwater eutrophication [13]. Finally, the recycling of PLA and its blends is an area that still needs to be investigated. Often, the main obstacle to the usage of recycled PLA is the mechanical behaviour of the printed recycled components [17]. Therefore, the need for further research into the three pillars of sustainability regarding the application of PLA-based materials must be emphasized.
Regardless of some downsides from the environmental or sustainability aspects, the usage of PLA has been increasing annually, while more and more emerging research continues to explore the benefits of FDM 3D-printed objects produced using PLA and PLA-based composites [18,19]. PLA is preferred in commercial products not only for its renewability and degradability but also for its excellent cost–performance ratio [20]. Although PLA has a lower level of impact toughness and a narrower processing window when compared with some other thermoplastic materials, it offers high strength, a high elastic modulus, excellent stiffness, and a low coefficient of thermal expansion [21]. When comparing PLA with some other common polymeric materials used in 3D printing, for example, PETG and ABS, PLA has some advantages and disadvantages, which also depend on the intended application. Among the three mentioned materials, PLA has the lowest melting point (~160 °C, while ABS and PETG have higher melting points of ~200 °C and 260 °C, respectively). Furthermore, these materials differ in their mechanical properties: PLA has a tensile strength of around 48 MPa, ABS around 30 MPa, and PETG around 46 MPa. Their bending stress amounts to cca. 57 MPa for PLA, 46 MPa for ABS, and 55 MPa for PETG [22]. Because of their different intrinsic properties, the behaviour of these materials in 3D printing differs as well. For example, it was shown that when increasing the 3D printing speed, PLA displayed no decrease in mechanical properties, while PETG did. On the other hand, PLA was more prone to thermal deformation than PETG [23]. When further comparing these three materials, it was also found that the 3D-printed PLA parts created using an infill pattern with a rotation angle of 45° had the maximum tensile strength. ABS specimens created by using an infill pattern with a rotation angle of 45° were shown to have the best energy absorption, and PLA specimens made with an infill pattern with a rotation angle 45° had the best performance compressive strength. When bending strength was evaluated, it was found that samples of ABS made with an infill pattern with a rotation angle of 0–90° had the highest value [22].
Regarding the life cycle assessment, PETG was found to be the most environmentally friendly among these three materials across the mid-point and end-point of the life cycle, and ABS was found to be the least environmentally acceptable [24]. It can be concluded that PLA, or any other material biodegradable or not, should be utilized consciously when choosing materials for 3D printing, with all advantages and disadvantages regarding technical application being considered.
Some examples of the structural applications of 3D-printed PLA and its blends include tidal turbine blades, thin walls, bone tissue replacements, and drone frame structures, and they can be used in the car industry, specifically in crash applications [25,26,27,28,29]. PLA can be also utilized in medical applications (for example, as an implant), because of its biocompatibility [3]. Additionally, PLA has weak adhesion to printing surfaces, which is beneficial during the FDM process. Further modifications of PLA-based materials, as well as their optimization and characterization, are being performed to enhance the performance of PLA in FDM [21,30,31].
In the FDM production process, several printing parameters must be taken into account. These include the orientation of each built layer, nozzle diameter, printing speed, layer thickness, and extrusion temperature. Both the properties of the materials used and the printing parameters significantly influence the characteristics and behaviour of the produced specimen [32]. In addition, interlayer adhesion, i.e., the bond between material layers during the deposition process, also has an influence on the mechanical and structural properties of printed objects. Weak interlayer adhesion can lead to structural weaknesses and cause fractures along layer lines, while good adhesion improves the durability and mechanical properties of printed objects. The rotation angles of printed patterns also affect interlayer adhesion as they are influenced by the printing direction, i.e., X, Y, or Z axis, and depend on the intended application, part geometry, required mechanical properties, and required material efficiency.
Recent studies in the field have focused on analyzing the relationship between printing parameters and the properties of 3D-printed parts. Wickramasinghe et al. examined how factors such as layer thickness, infill pattern, raster angle, and fibre orientation affect the performance of 3D-printed polymer composites, particularly in relation to common defects found in printed parts [33]. Additionally, the influence of infill density (infill percentage) was investigated as a crucial parameter in the FDM process, considering its impact on the mechanical properties of the produced specimens [7,32,34,35,36]. Besides infill density, other parameters defined before and during the slicing process significantly contribute to the properties and applicability of the produced specimens [37]. The infill pattern, printing speed, build orientation, and raster angle set during 3D modelling and slicing have been extensively investigated [32,37,38,39,40,41,42]. The statistical modelling and optimization of 3D-printed specimens produced by FDM were conducted by Moradi et al. and Lokesh et al. using response surface methodology and the Taguchi approach, respectively [43,44]. It can be concluded that all mentioned slicing and printing parameters are significant for the mechanical and other properties of the produced model, and many of them are well researched and documented.
The objective of this research was to investigate how the order of rotational symmetry of the shapes that form infill patterns affects the mechanical properties of the specimen printed using PLA. Furthermore, the influence of the specific rotation angles within the utilized infill patterns on the mechanical properties of the printed specimens was analyzed.
Some aspects of symmetry have been investigated in relation to the properties of printed objects in FDM. Cabreira et al. concluded that some infill patterns that present higher symmetry, effectively combining direct and transversal orientations, allow for more energy absorption during an impact [45]. Hedjazi et al. related the material symmetry generated by filament layups to the mechanical performance/deformation mechanism [46]. The behaviours in the symmetric and asymmetric bending of some commonly used infill patterns in FDM (honeycomb, grid, and triangles) were analyzed by Cojocaru et al. [47]. The influence of spatial symmetry on build time in FDM was investigated by Srivastava et al. [48]. The mentioned articles explored different lattice structures and angles, along with certain aspects of symmetry in FDM. However, none of them specifically investigated how the order of rotational symmetry in the infill pattern affects the mechanical properties of the produced object. Furthermore, statistical methods can greatly enhance the accuracy of interpreting the obtained results and are commonly applied when analyzing the mechanical properties of specimens produced using FDM [49,50,51].
In this research, the Kruskal–Wallis test and Dunn’s test with Benjamini–Hochberg p-value adjustment were utilized to analyze the differences between the assigned groups of printed specimens. To our knowledge, no existing research has put the mechanical properties of 3D-printed specimens into the context of the rotational symmetry order in infill patterns. Specifically, the resistance of these patterns to rotations by angles less than 30° has not been extensively investigated. Given the numerous parameters being studied in FDM, this research aims to offer a new viewpoint and new insights into optimizing the mechanical properties of printed structures by emphasizing how variations in the rotational symmetry order and specific rotations in infill patterns with different orders of rotational symmetry can impact the mechanical properties of printed specimens.

2. Materials and Methods

This research aimed to compare how geometric shapes with different orders of rotational symmetry, arranged under different angles, perform in mechanical property tests. It is known that a decisive factor for optimizing the strength of printed parts lies in adjusting the geometry shape and rotation angle of the infill pattern in relation to the direction of the expected stress. By aligning the geometry and infill along the primary load direction, the mechanical properties of a part can be significantly improved and the risk of failure in tension or compression reduced. For general applications, for example, an infill angle of 45° or 90° is preferable, but for specific stress conditions, customizing the geometry and infill orientation can improve load distribution and durability [52]. For this reason, the mechanical properties of different geometric shapes and angles of the infill pattern were studied, as to our knowledge, there are no studies investigating the mechanical properties of 3D-printed structures in the context of the chosen rotational symmetry order and infill pattern.
Three geometric shapes which can be arranged in regular patterns were used: an equilateral triangle, a square, and a regular hexagon. Their rotational symmetrical properties are displayed in Table 1. The choice of the angle of rotation is explained as follows. The angles of rotational symmetry were considered when choosing infill pattern angles to be used in this experiment. The shape with the smallest angle of rotational symmetry limits the range of angles, which results in unique pattern angles for all shapes. While rotating an equilateral triangle and square above the 60° angle results in pattern angles which differ from those below 60°, for a regular hexagon, a 60–120° range results in the same pattern angles as those for the 0–60° range. Another important consideration is mirror image symmetry. While a regular hexagon’s angle of rotational symmetry is 60°, rotations in the range 30–60° are mirror images of rotations in the 30–0° range. For a regular hexagon, viewing the pattern rotated at 30 + α degrees from the back produces the same image as that produced when viewing the same pattern rotated at 30 − α degrees from the front. Therefore, for regular hexagons, only the angles in the 0–30° range are expected to yield different results in the tensile strength test. Although limiting for the other two geometric shapes, this range of angles provides unique pattern angles for all three shapes. Therefore, the angles 0°, 15°, and 30° were chosen in this experiment.
A total of nine (9) models were designed in FreeCAD v1.0 software. The designs included three geometric shapes, each employing three pattern angles. Figure 1 displays the structures used in CAD software to obtain patterns by horizontal and vertical repetition. Figure 1a displays a pattern comprising triangles. Figure 1b displays the tile, from the repeating triangular pattern, used to set the infill percentage. The dashed line denotes the edges of a tile. Having chosen the wall width and triangle side length, calculating the lengths of tile sides is simple. The quotient of the area of four triangles and tile area is the infill ratio. Reaching the desired infill ratio requires adjusting the triangle side length.
Similarly, Figure 1c displays a structure comprising regular hexagons. Figure 1d displays the tile, from the repeating hexagonal pattern, used to set the infill percentage. With the chosen wall width and hexagon side length, simple calculations yield the area under hexagons and tile area. Their quotient is the infill ratio, and reaching the desired value of the infill ratio requires adjusting the hexagon side length. The pattern of squares is trivial and therefore not displayed in this paper. The tile for the square is obtained by centring the square with sides of length l, inside the area with sides of length l + w where w is the wall width.

2.1. Materials

The mechanical and thermal properties of PLA filaments used in this research according to the manufacturer (3DJAKE ecoPLA) are presented in Table 2.

2.2. Methods of Measurement and Analysis

This experiment has two factors: the infill’s geometric shape and angle. Each factor has three levels since three shapes are compared: an equilateral triangle (T), a square (S), and a regular hexagon (H), each placed at three angles (0°, 15°, and 30°). This resulted in nine groups in which the mechanical properties were examined by means of a dynamic mechanical analysis (DMA), a tensile test, and corresponding statistical tests. In the continuation of this research, PLA printed specimens are labelled as follows: T-0°, T-15°, T-30°, S-0°, S-15°, S-30°, H-0°, H-15°, and H-30°.
For DMA and tensile tests, models with a flat shape and models with a standard dog bone shape were created. Figure 2 contains illustrations of the infill patterns prepared for both tests.
The gauge part of the models was designed using 30% infill patterns, and the neck was solid. The wall thickness was set to 1.2 mm, which equals 3 lines for a 0.4 mm nozzle. The printing temperature was set to 205 °C. Printing speeds were set to 60 mm/s for the infill, inner wall, and top surface inner wall and 30 mm/s for the two initial layers, outer wall, top surface outer wall, and the top and bottom layers. Cooling (fan speed) was set to 100% for all layers. Layer height was set to 0.2 mm. Note that the infill patterns were integrated into the model using CAD software, not slicing software. Models were sliced using Cura v5.8.0 slicing software with a 100% infill setting. Specimens were printed using an Anycubic Vyper 3D printer with stock parts and a standard 0.4 mm brass nozzle. For each geometric shape and pattern angle, a sample of five specimens was printed.
DMA was performed using the DMA Q800 (TA Instruments, New Castle, DE, USA). The samples had a size of 60 × 15 mm2 and a thickness of 5 mm. The heating temperature range was between 0 and 100 °C at a heating rate of 3 °C/min in dual-cantilever deformation mode. The oscillation frequency was 10 Hz with an oscillation amplitude of 10 µm. The storage modulus (E′), loss modulus (E″), and tan delta (Tg delta) of each specimen were tested as a function of temperature. Additionally, the glass transition region and the glass transition temperature (Tg) were also determined.
Tensile tests were conducted using an Instron 5567 tensile testing machine (Instron, Norwood, MA, USA) with a maximum load of 10 kN with a testing speed of 10.00 mm/min, according to the ISO 527-2:2012 standard [53]. The tests were performed at 22 ± 2 °C and a relative humidity (RH) of 38% ± 5%. Tensile properties were analyzed using stress–strain curves, the maximum force (N), tensile strain (displacement) at the maximum force (%), and displacement at the maximum force (mm).
To test whether the infill’s geometric shapes with different orders of rotational symmetry and their angles of rotation affect tensile strength, the means of the maximum force were compared between the nine groups. To compare means between groups, an Analysis of Variance (ANOVA) is the first choice provided the data satisfy its assumptions. An ANOVA assumes that data within groups are distributed normally and variances between groups are equal, and it assumes the independence and random sampling of data within groups. While there exist analytical tests for the normality of data, graphical methods are increasingly used since the results of analytical tests are strongly affected by the sample size. The standard tool used to assess data normality is a quantile–quantile (Q-Q) plot. Small sample sizes limit the ability to test the normality of data within groups. In such cases, the normality of residuals is tested. A Q-Q plot of residuals for the maximum force is displayed in Figure 3. The plot reveals that the data can be considered normally distributed since the points closely follow a straight line and are contained within the 95% confidence interval marked with two dashed lines. The blue points represent the quantiles of the observed residuals vs. the theoretical quantiles of the normal distribution. The red line’s slope and intercept are calculated from first and third quartiles of both the observed and theoretical distributions. The dashed lines represent the 95% confidence interval around the red line.
To test the homogeneity of variance of the maximum force data between the 9 groups, Levene’s test was used. The test resulted in p = 0.0001. Since this result is smaller than 0.05, the differences in variance between groups are considered significant. Attempts to correct the inequality of variances using data transforms failed. Therefore, the means in this experiment were compared using the Kruskal–Wallis test. Dunn’s test was used for post hoc pairwise multiple comparisons. The Kruskal–Wallis test answers the question as to whether at least one of three or more groups differs significantly from the others. Dunn’s test provides pairwise comparisons and reveals which pairs of groups differ significantly. In this paper, both tests were conducted at the commonly chosen 5% significance level. The results reported in Section 3 are the p-values. For the Kruskal–Wallis test, the reported p-value is the survival function of the chi square distribution evaluated at the calculated H statistic. The test result is considered significant if the reported p-value is less than the chosen significance level (5% in this experiment), meaning that there is less than 5% probability that the observed differences between groups are due to chance. The same interpretation applies to the pairwise comparisons performed in Dunn’s test, where p-values were calculated from the z test statistics.

3. Results and Discussion

3.1. Dynamic Mechanical Analysis (DMA)

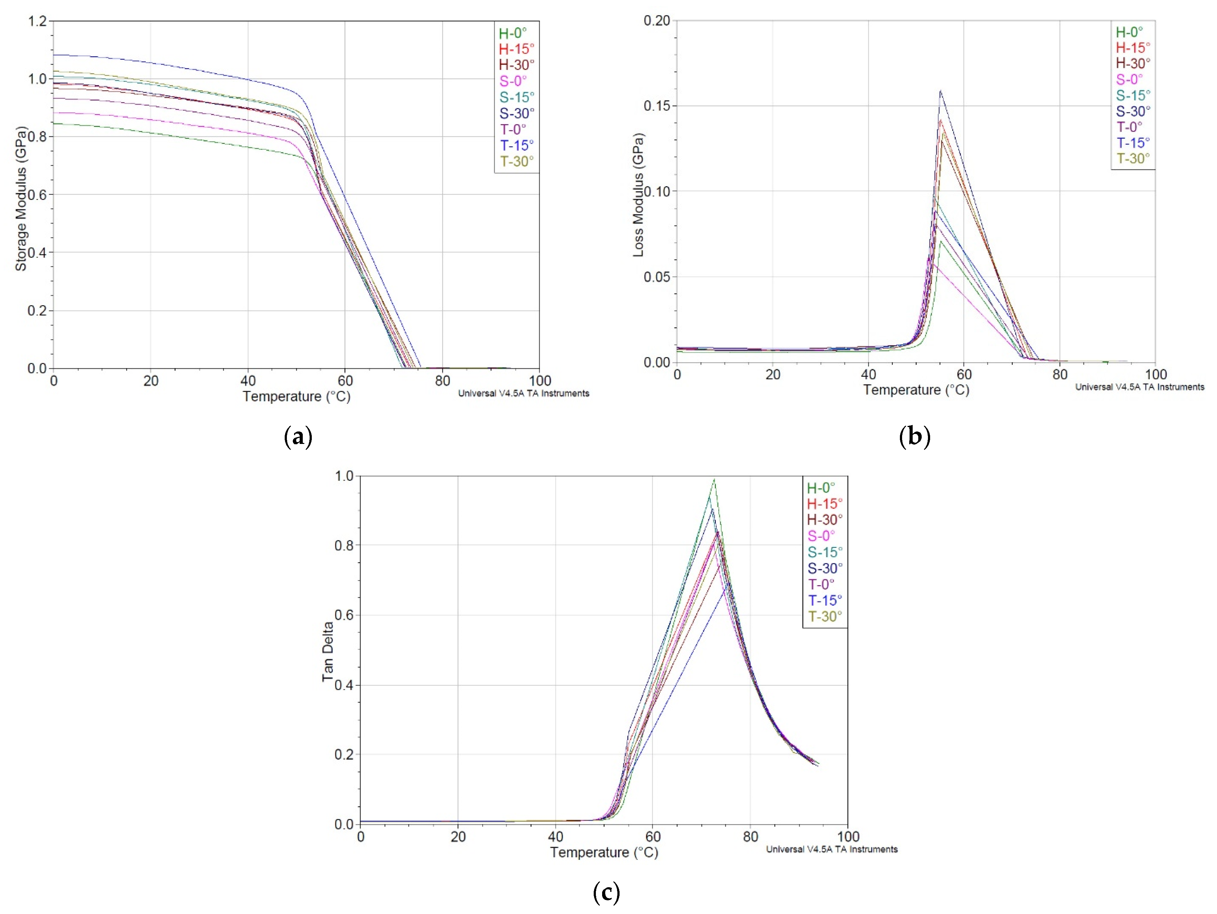
DMA is an analytical technique for characterizing the viscoelastic properties of materials, especially polymers. Figure 4 shows the results of the dynamic storage modulus (E′), the loss modulus (E″), and the loss tangent (tan delta) as a function of temperature for PLA specimens with different infill patterns and specific rotation angles. The storage modulus indicates the elastic behaviour of a material, which is influenced by the arrangement of the polymer chains in the material. The loss modulus is a measure of the viscous character of a material and reflects its damping capacity. The loss modulus is proportional to the mechanical energy lost, i.e., the energy that is converted into heat during deformation due to internal friction in the material. The ratio of the mechanical loss modulus to the storage modulus is called the damping factor (loss tangent) and reflects the internal friction of the material, i.e., higher damping leads to higher internal friction and greater mechanical losses due to the movement of the polymer’s molecular chains.
PLA is an amorphous or semi-crystalline material with a glass transition temperature (Tg) above room temperature. The shape of the storage modulus curves (E′) of all samples shown in Figure 4a indicates its semi-crystalline structure [54,55]. Three significant regions are clearly visible in each specimen, namely glassy, glass transition, and viscous. In the glassy region (between 0 and 50 °C), the storage modulus of the PLA polymer is high and constant with a small temperature dependence due to the restricted chain mobility in the PLA structure (the material is stiff). However, as soon as the temperature rises above the Tg value, the storage modulus decreases significantly due to the increase in molecular motion in the polymer, which is influenced by the rising temperature and the input oscillation during the test: PLA becomes softer and more flexible; it loses its stiffness [56]. The transition temperature is between 50 and 75 °C, and the viscous region is above 75 °C with the minimum storage modulus, regardless of the infill pattern and the rotation angles of the observed specimens.
It can be seen that the E′ curves of all samples lie between specimens T-15° and H-0°. When comparing the different infill patterns, the T-specimens show the highest modulus of elasticity (storage modulus), which is due to them having the strongest connections between chains. When comparing the 0°, 15°, and 30° pattern angles, specimens with a pattern angle of 15° (H-15°, S-15°, and T-15°) have the highest storage modulus (Table 3). In addition, the E′ value is increased for the T-15° specimen, indicating a significant improvement in heat resistance at high temperatures (around 55 and 75 °C). It can be concluded that the use of a triangular shape with a geometry rotation of 15° leads to higher values of the storage modulus at higher temperatures compared with other samples and the improved thermal–mechanical stability of the PLA specimen.
As can be seen in Figure 4b, in all cases, the values of the loss modulus increase with increasing temperature until the glass transition temperature is reached, followed by a sudden drop in values. The sudden drop in the loss modulus after reaching the glass transition temperature is probably due to the increased polymer mobility, which increases the viscosity of the specimens [57]. The viscous response can be considered as a dissipation of the energy generated by the segmental movements and friction between the molecules in the amorphous regions of the structure (the material generates heat). The glass transition temperature for all samples is around 55 °C (determined as the peak point of the loss modulus (E″)). The Tg values are almost constant for all samples, regardless of the geometry of the sample, as Tg reflects the property of the structure of the polymer materials and does not depend on the dimensions, geometry, or shape of the samples.
To further investigate the viscoelastic properties of the prepared specimens, tangent delta (tan delta) was measured as a function of temperature; the results are shown in Figure 4c. Tan delta represents the amount of energy being dissipated compared with the elastically stored energy in the material (the ratio between the loss modulus E″ and the storage modulus E′). In general, tan delta represents the ratio between the viscous and elastic response of a viscoelastic material. An increasing tan delta means that the material has a greater energy dissipation potential. So, the greater tan delta is, the more dissipative the material is (the response of the material is more viscous). On the other hand, a decreasing tan delta means that the material behaves more elastically and has a greater potential to store the load instead of dissipating it when a load is applied. A large area under the tan delta curve also indicates a great degree of molecular mobility, which leads to better damping properties, i.e., the material is better able to absorb and dissipate energy. Therefore, a larger area under the tan delta curve is desirable for developing a material that can better absorb shock; for example, specimens H-0°, S-15°, and S-30° have the highest and largest area under the tan delta curve, and T-15° and H-30° have the lowest and smallest area under the tan delta curve. It can be said that the infill pattern and rotation angle of the PLA specimens can be used to utilize the desired properties of the fabricated designs by adjusting the ratio of the viscous and/or elastic response of a viscoelastic material. The overall properties obtained from the DMA test for all specimens are listed in Table 3.

3.2. Tensile Properties

To determine the mechanical properties of the printed samples, a tensile test was carried out in accordance with the ISO 527:2019 standard [58]. The models had standard dog bone shapes designed for use in tensile strength testers. Images of printed specimens with different infill patterns and angles can be seen in Figure 5. As already mentioned, three geometric shapes with different orders of rotational symmetry and three angles of rotation were considered when selecting the angles of the infill pattern to be used for this experiment. It was considered that the shape with the smallest angle of rotational symmetry would determine the range of rotation angles. Specimens at the top of Figure 5 are printed without rotation (pattern angle 0°), in the middle are specimens with a pattern angle of 15°, and below are those with 30°.
The results of the tensile property tests are shown in Figure 6 and Table 4. The measurements were carried out at 18 °C and 50% RH. The average values of five measurements are given. The force and tensile strain curves are shown in diagrams for each type of geometric structure and infill pattern angle (Figure 6). The values for the maximum force, the tensile strain (displacement) at the maximum force, and the displacement at the maximum force with SD (standard deviation) are listed in Table 4.
The curves presented in Figure 6 show that the PLA samples exhibit elastic–plastic behaviour and plastic deformation typical of polymers with viscoelastic behaviour [59]. For each specimen, it can be seen that the stress before fracture increases almost linearly with strain, indicating the brittleness of the PLA material [60].
As can be seen from the results, the test specimens with triangle geometric shapes (Figure 6a) showed the lowest distribution of results depending on the angles of the infill pattern compared with the other printed shapes (square and hexagon). For these specimens, the application of a force between 850 N and 1050 N led to a relative elongation of the specimens of 1.712% to 2%, regardless of the angle of rotation of the specimen. A small increase was observed at a pattern angle of 30° (T-30°) compared with the other samples printed with the triangle shape (T-0° and T-30°). In the case of the test specimens filled with a square shape (Figure 6b), a significant deviation in the results can be seen with regard to the decrease in percentage elongation when force is applied. The square patterns printed with a pattern angle of 15° and 30° had significantly lower values than the specimens with an infill angle of 0°. For the specimens with a hexagonal pattern (Figure 6c), it can be seen that a pattern angle of 15° had a lower elongation (~1.5%) than the 0° angle (~1.9%), and the highest elongation was observed when using the infill pattern with an angle of 30° (~2.35%). In general, the results show that the highest tensile strains occur with the S-0° specimens at a force of ~1650 N and with the H-30° specimens at a force of ~1150 N. The results also indicate that the shape with an order of rotational symmetry of 3 is the most resistant to rotation in regard to changes in tensile properties.
The results presented in Table 4 show that the maximum force exerted on the specimens causes similar tensile strains and displacement tendencies when comparing the infill pattern angles of the individual geometric shapes. It can be seen that an infill pattern angle of 15° causes a decrease in tensile elongation and displacement at the maximum force compared with the specimens printed with an angle of 0°. When the shapes were further rotated to a pattern angle of 30°, the highest values were found for the rotational symmetry orders of 3 and 6; an exception was the square geometric shape with the highest percentage tensile elongation (displacement) at a pattern angle of 0°.
Figure 7 shows the PLA specimens after the tensile test. It can be seen that fractures generally occurred along the edges of the infill shapes that were perpendicular or the closest to being perpendicular to the applied force direction. This occurrence indicates weak points in the printed structures and is especially visible for the shapes with rotational symmetry orders of 3 and 4 (Figure 7a,b). A higher order of rotational symmetry (i.e., 6, visible in Figure 7c) did not display the same behaviour to such an extent.

3.3. Statistical Analysis of Tensile Properties

Table 5 displays the results for the two Kruskal–Wallis tests. Each test was performed for the shape and angle factors separately. This means that three groups were compared in each of the two tests. Each of the three groups for the shape factor (triangle, square, and hexagon) contained data for all angles (0°, 15°, and 30°). Similarly, each of the three groups for the angle factor contained data for all shapes. The p-values displayed in Table 5 reveal that differences between groups for the shape factor are not significant (p > 0.05), and differences between groups for the angle factor are significant (p < 0.05).
Following the results of the Kruskal–Wallis tests, Dunn’s tests with Benjamini–Hochberg p-value adjustment were used to compare differences between angles for each of the three shapes separately. The Benjamini–Hochberg adjustment controls the False Discovery Rate (FDR). It is a moderate approach between the two extremes, the controls of the False Positive Rate and Family-Wise Error Rate.
Table 6 displays the results of Dunn’s test comparing the maximum force at three different angles for the triangle-shaped infill. Differences between groups are considered significant for p < 0.05. The results show that only the 15° and 30° angles differ significantly from one another. While the 0° and 15° angles may appear to differ significantly from one another, as displayed in boxplots, Dunn’s test results did not find a significant difference (Figure 8).
Table 7 displays the results of Dunn’s test comparing the maximum force at three different angles for the square-shaped infill. The results show that the 0° infill angle differs significantly from both the 15° and 30° infill angles, while the 15° and 30° angles do not differ significantly from one another. These results are aligned with the boxplots displayed in Figure 9 which indicate that the 0°angle stands out from the other two, providing a roughly double maximum force.
Table 8 displays the results of Dunn’s test comparing the maximum force at three different angles for the hexagon-shaped infill. The results show that only the 15° and 30° angles differ significantly from one another. This is also indicated in the boxplots displayed in Figure 10. While the 0° and 30° angles may appear to differ significantly from one another, as displayed in the boxplots, Dunn’s test results did not find a significant difference.
The boxplots for all shapes and angles are displayed in Figure 11. The three leftmost boxplots show the distributions of the maximum force for different angles of the triangle-shaped infill. The middle three show the same kind of results for the square-shaped infill and the rightmost three for the hexagonal-shaped infill.
It is worth noting how different angles affected the tensile strength of the three infill shapes with different orders of rotational symmetry. The triangle-shaped infill (order of rotational symmetry of 3) was the least affected by the angle. As displayed in Figure 11, boxplots for the three angles of the triangle-shaped infill are grouped most closely to one another, compared with boxplots for the three angles for the other two shapes. Furthermore, Dunn’s test results for the differences between angles for the triangle shape found significant differences between two angles only, namely 15° and 30°. Note that only one pair of groups (angles) differs significantly.
The square-shaped infill (order of rotational symmetry of 4) was the most affected by the angle. The 0° angle provided the highest strength overall. For the other two angles of the square-shaped infill (15° and 30°), the strength halved compared to the 0° angle. This is displayed in Figure 11. Also, Dunn’s test found significant differences between the 0° angle and both the 15° and 30° angles, while the difference between the 15° and 30° angles was not significant. Note that the two pairs of groups differ significantly.
The hexagon-shaped infill (order of rotational symmetry of 6) was moderately affected by the angle. While its strength results are comparable to those for the triangle shape, boxplots for the three angles of the hexagon shape are spread farther from one another than those for the three angles of the triangle shape. Dunn’s test only found significant differences between two angles, namely 15°and 30°. Note that one pair of groups differs significantly.
The results obtained in this research showed that the shapes with different orders of rotational symmetry have different tolerances to rotation angles when trying to preserve the mechanical properties of the printed structure. Therefore, the optimization of the infill pattern can be performed by adjusting the rotation angle of the infill shape in relation to the direction of stress that the printed object will be exposed to. Furthermore, depending on the conditions the printed object will be exposed to, the infill shape with a specific order of rotational symmetry can be chosen.

4. Conclusions

This research presented a new perspective on optimizing and fine-tuning infill patterns and the selection of infill shapes in FDM. The objective of this study was to analyze how the order of rotational symmetry in the infill pattern affected the mechanical properties of 3D-printed specimens. Additionally, the statistical analysis examined how the rotational symmetry order of shapes affected the preservation of mechanical properties when the infill pattern was rotated. Dynamic mechanical analysis (DMA) and tensile tests were performed on PLA printed specimens. The mean values obtained from the tensile measurements were compared using the Kruskal–Wallis test, and Dunn’s test was applied for post hoc pairwise multiple comparisons.
The DMA revealed that among the different infill patterns, specimens with an order of rotational symmetry of 3 exhibited the highest modulus of elasticity. Additionally, specimens with a 15° rotation, regardless of their shape, generally demonstrated the highest storage modulus. Statistical analysis showed that the maximum force of the infill pattern with an order of rotational symmetry of 3 (triangle) was the least affected by the rotation angle. Furthermore, the infill pattern with an order of rotational symmetry of 4 (square) and a 0° rotation showed a significantly higher maximum force compared with other patterns. The infill pattern with an order of rotational symmetry of 6 (hexagon) was moderately influenced by the angle of rotation.
Since the results of this research indicated that shapes with different orders of rotational symmetry exhibit different tolerances to rotation angles, the optimization of the mechanical properties of printed infill patterns could be achieved by adjusting the rotation angle of the infill shape in relation to the direction of the stress that the printed object will encounter. It can be said that the printed test specimen with a geometric shape of an equilateral triangle and an infill pattern of 15° has the highest storage modulus. This means that the 3D modelling of triangular structures with a 15° rotation would be optimal for the production of, e.g., functional rotating elements that are continuously loaded in different directions. In contrast, elements that are mainly loaded in one direction, such as some columns or load-bearing parts, should be optimally produced with an infill pattern of an order of rotational symmetry of 4 (square) and a 0° rotation, which showed the highest values for the maximum force compared with the observed triangular and hexagonal printed specimens. Future research will explore the resistance of infill patterns with different orders of rotational symmetry to rotation for various materials commonly used in 3D printing, such as ABS, PETG, and different composite materials and blends. Additionally, the impact of interfacial properties within printed specimens—specifically, the interlayer adhesion influenced by material properties and the relationship between the printing direction and specimen orientation—will be investigated.

Author Contributions

Conceptualization, S.M.P., T.T. and D.D.; methodology, S.M.P. and D.D.; software, D.D.; validation, S.M.P. and D.D.; formal analysis, S.M.P. and D.D.; investigation, S.M.P., T.T. and D.D.; resources, S.M.P., T.T. and D.D.; data curation, S.M.P., U.V.B., M.L. and D.D.; writing—original draft preparation, S.M.P., T.T. and D.D.; writing—review and editing, S.M.P., T.T., U.V.B., M.L. and D.D.; visualization, S.M.P., D.D., M.L. and U.V.B.; supervision, S.M.P.; project administration, S.M.P.; funding acquisition, S.M.P. and D.D. All authors have read and agreed to the published version of the manuscript.

Funding

This research received no external funding.

Data Availability Statement

The dataset is available on request from the authors.

Conflicts of Interest

The authors declare no conflicts of interest.

References

  1. Cano-Vicent, A.; Tambuwala, M.M.; Hassan, S.S.; Barh, D.; Aljabali, A.A.; Birkett, M.; Arjunan, A.; Serrano-Aroca, Á. Fused deposition modelling: Current status, methodology, applications and future prospects. Addit. Manuf. 2021, 47, 102378. [Google Scholar] [CrossRef]
  2. Montez, M.; Willis, K.; Rendler, H.; Marshall, C.; Rubio, E.; Rajak, D.K.; Rahman, M.H.; Menezes, P.L. Fused deposition modeling (FDM): Processes, material properties, and applications. Tribol. Addit. Manuf. Mater. Fundam. Model. Appl. 2022, 137–163. [Google Scholar] [CrossRef]
  3. Kristiawan, R.B.; Imaduddin, F.; Ariawan, D.; Ubaidillah; Arifin, Z. A review on the fused deposition modeling (FDM) 3D printing: Filament processing, materials, and printing parameters. Open Eng. 2021, 11, 639–649. [Google Scholar] [CrossRef]
  4. Tuli, N.T.; Khatun, S.; Rashid, A. Bin Unlocking the future of precision manufacturing: A comprehensive exploration of 3D printing with fiber-reinforced composites in aerospace, automotive, medical, and consumer industries. Heliyon 2024, 10, e27328. [Google Scholar] [CrossRef]
  5. Mwema, F.M.; Akinlabi, E.T. Basics of Fused Deposition Modelling (FDM); Springer: Berlin/Heidelberg, Germany, 2020; pp. 1–15. [Google Scholar] [CrossRef]
  6. Risad, R.H.; Ahmed, M.H.; Basher, A.; Rashid, S.; Mahfuz, M.; Shishir, A.; Hossain, K.R. FDM printing process and its Biomedical Application. Chem. Res. Technol. 2024, 1, 138–149. [Google Scholar] [CrossRef]
  7. Alarifi, I.M. Mechanical properties and numerical simulation of FDM 3D printed PETG/carbon composite unit structures. J. Mater. Res. Technol. 2023, 23, 656–669. [Google Scholar] [CrossRef]
  8. Patel, R.; Desai, C.; Kushwah, S.; Mangrola, M.H. A review article on FDM process parameters in 3D printing for composite materials. Mater. Today Proc. 2022, 60, 2162–2166. [Google Scholar] [CrossRef]
  9. Swetham, T.; Reddy, K.M.M.; Huggi, A.; Kumar, M.N. A Critical Review on of 3D Printing Materials and Details of Materials used in FDM. Int. J. Sci. Res. Sci. Eng. Technol. 2017, 3, 353–361. [Google Scholar]
  10. Patel, K.S.; Shah, D.B.; Joshi, S.J.; Aldawood, F.K.; Kchaou, M. Effect of process parameters on the mechanical performance of FDM printed carbon fiber reinforced PETG. J. Mater. Res. Technol. 2024, 30, 8006–8018. [Google Scholar] [CrossRef]
  11. Samykano, M.; Selvamani, S.K.; Kadirgama, K.; Ngui, W.K.; Kanagaraj, G.; Sudhakar, K. Mechanical property of FDM printed ABS: Influence of printing parameters. Int. J. Adv. Manuf. Technol. 2019, 102, 2779–2796. [Google Scholar] [CrossRef]
  12. Qin, Q.; Yang, Y.; Yang, C.; Zhang, L.; Yin, H.; Yu, F.; Ma, J. Degradation and adsorption behavior of biodegradable plastic PLA under conventional weathering conditions. Sci. Total Environ. 2022, 842, 156775. [Google Scholar] [CrossRef] [PubMed]
  13. Cañado, N.; Lizundia, E.; Akizu-Gardoki, O.; Minguez, R.; Lekube, B.; Arrillaga, A.; Iturrondobeitia, M. 3D printing to enable the reuse of marine plastic waste with reduced environmental impacts. J. Ind. Ecol. 2022, 26, 2092–2107. [Google Scholar] [CrossRef]
  14. Rajeshkumar, G.; Seshadri, S.A.; Devnani, G.L.; Sanjay, M.R.; Siengchin, S.; Maran, J.P.; Al-Dhabi, N.A.; Karuppiah, P.; Mariadhas, V.A.; Sivarajasekar, N.; et al. Environment friendly, renewable and sustainable poly lactic acid (PLA) based natural fiber reinforced composites—A comprehensive review. J. Clean. Prod. 2021, 310, 127483. [Google Scholar] [CrossRef]
  15. Teixeira, S.; Eblagon, K.M.; Miranda, F.; Fernando, M.; Pereira, R.; Figueiredo, J.L.; Morin, J.-F.; Savi, P. Towards Controlled Degradation of Poly(lactic) Acid in Technical Applications. C 2021, 7, 42. [Google Scholar] [CrossRef]
  16. Rosli, N.A.; Karamanlioglu, M.; Kargarzadeh, H.; Ahmad, I. Comprehensive exploration of natural degradation of poly(lactic acid) blends in various degradation media: A review. Int. J. Biol. Macromol. 2021, 187, 732–741. [Google Scholar] [CrossRef] [PubMed]
  17. Hasan, M.R.; Davies, I.J.; Pramanik, A.; John, M.; Biswas, W.K. Potential of recycled PLA in 3D printing: A review. Sustain. Manuf. Serv. Econ. 2024, 3, 100020. [Google Scholar] [CrossRef]
  18. Tümer, E.H.; Erbil, H.Y. Extrusion-Based 3D Printing Applications of PLA Composites: A Review. Coatings 2021, 11, 390. [Google Scholar] [CrossRef]
  19. Mazzanti, V.; Malagutti, L.; Mollica, F. FDM 3D Printing of Polymers Containing Natural Fillers: A Review of their Mechanical Properties. Polymers 2019, 11, 1094. [Google Scholar] [CrossRef]
  20. Sandanamsamy, L.; Harun, W.S.W.; Ishak, I.; Romlay, F.R.M.; Kadirgama, K.; Ramasamy, D.; Idris, S.R.A.; Tsumori, F. A comprehensive review on fused deposition modelling of polylactic acid. Prog. Addit. Manuf. 2022, 8, 775–799. [Google Scholar] [CrossRef]
  21. Wang, X.; Huang, L.; Li, Y.; Wang, Y.; Lu, X.; Wei, Z.; Mo, Q.; Zhang, S.; Sheng, Y.; Huang, C.; et al. Research progress in polylactic acid processing for 3D printing. J. Manuf. Process 2024, 112, 161–178. [Google Scholar] [CrossRef]
  22. Kopar, M.; Yildiz, A.R. Experimental investigation of mechanical properties of PLA, ABS, and PETG 3-d printing materials using fused deposition modeling technique. Mater. Test. 2023, 65, 1795–1804. [Google Scholar] [CrossRef]
  23. Hsueh, M.-H.; Lai, C.-J.; Wang, S.-H.; Zeng, Y.-S.; Hsieh, C.-H.; Pan, C.-Y.; Huang, W.-C. Effect of Printing Parameters on the Thermal and Mechanical Properties of 3D-Printed PLA and PETG, Using Fused Deposition Modeling. Polymers 2021, 13, 1758. [Google Scholar] [CrossRef]
  24. Kumar, R.; Sharma, H.; Saran, C.; Tripathy, T.S.; Sangwan, K.S.; Herrmann, C. A Comparative Study on the Life Cycle Assessment of a 3D Printed Product with PLA, ABS & PETG Materials. Procedia CIRP 2022, 107, 15–20. [Google Scholar] [CrossRef]
  25. Gonabadi, H.; Hosseini, S.F.; Chen, Y.; Bull, S. Structural analysis of small-scale 3D printed composite tidal turbine blades. Ocean. Eng. 2024, 306, 118057. [Google Scholar] [CrossRef]
  26. Bochnia, J.; Blasiak, M.; Kozior, T. A Comparative Study of the Mechanical Properties of FDM 3D Prints Made of PLA and Carbon Fiber-Reinforced PLA for Thin-Walled Applications. Materials 2021, 14, 7062. [Google Scholar] [CrossRef]
  27. Baptista, R.; Guedes, M. Morphological and mechanical characterization of 3D printed PLA scaffolds with controlled porosity for trabecular bone tissue replacement. Mater. Sci. Eng. C 2021, 118, 111528. [Google Scholar] [CrossRef]
  28. Arunkumar, P.; Balaji, D.; Radhika, N.; Rajeshkumar, L.; Rangappa, S.M.; Siengchin, S. Effect of infill pattern on mechanical properties of 3D printed PLA-Zn composites for drone frame structures: A topology optimization integrated application study. Results Eng. 2025, 25, 104107. [Google Scholar] [CrossRef]
  29. Aal, M.I.A.E.; Allah, M.M.A.; Alaziz, S.A.A.; El-baky, M.A.A. Biodegradable 3D printed polylactic acid structures for different engineering applications: Effect of infill pattern and density. J. Polym. Res. 2024, 31, 4. [Google Scholar] [CrossRef]
  30. Subramaniam, S.R.; Samykano, M.; Selvamani, S.K.; Ngui, W.K.; Kadirgama, K.; Sudhakar, K.; Idris, M.S. 3D printing: Overview of PLA progress. AIP Conf. Proc. 2019, 2059, 020015. [Google Scholar] [CrossRef]
  31. Cuiffo, M.A.; Snyder, J.; Elliott, A.M.; Romero, N.; Kannan, S.; Halada, G.P. Impact of the Fused Deposition (FDM) Printing Process on Polylactic Acid (PLA) Chemistry and Structure. Appl. Sci. 2017, 7, 579. [Google Scholar] [CrossRef]
  32. Shanmugam, V.; Das, O.; Babu, K.; Marimuthu, U.; Veerasimman, A.; Johnson, D.J.; Neisiany, R.E.; Hedenqvist, M.S.; Ramakrishna, S.; Berto, F. Fatigue behaviour of FDM-3D printed polymers, polymeric composites and architected cellular materials. Int. J. Fatigue 2021, 143, 106007. [Google Scholar] [CrossRef]
  33. Wickramasinghe, S.; Do, T.; Tran, P. FDM-Based 3D Printing of Polymer and Associated Composite: A Review on Mechanical Properties, Defects and Treatments. Polymers 2020, 12, 1529. [Google Scholar] [CrossRef] [PubMed]
  34. Do, T.D.; Le, M.C.; Nguyen, T.A.; Le, T.H. Effect of Infill Density and Printing Patterns on Compressive Strength of ABS, PLA, PLA-CF Materials for FDM 3D Printing. Mater. Sci. Forum 2022, 1068, 19–27. [Google Scholar] [CrossRef]
  35. Hamoud, M.; Elshalakany, A.B.; Gamil, M.; Mohamed, H. Investigating the influence of 3D printing parameters on the mechanical characteristics of FDM fabricated (PLA/Cu) composite material. Int. J. Adv. Manuf. Technol. 2024, 134, 3769–3785. [Google Scholar] [CrossRef]
  36. Palaniyappan, S.; Veeman, D.; Kumar, S.N.; Surendhar, G.J.; Natrayan, L. Effect of printing characteristics for the incorporation of hexagonal-shaped lattice structure on the PLA polymeric material. J. Thermoplast. Compos. Mater. 2022, 36, 2009–2030. [Google Scholar] [CrossRef]
  37. Babu, N.V.; Venkateshwaran, N.; Rajini, N.; Ismail, S.O.; Mohammad, F.; Al-Lohedan, H.A.; Suchart, S. Influence of slicing parameters on surface quality and mechanical properties of 3D-printed CF/PLA composites fabricated by FDM technique. Mater. Technol. 2022, 37, 1008–1025. [Google Scholar] [CrossRef]
  38. Doshi, M.; Mahale, A.; Singh, S.K.; Deshmukh, S. Printing parameters and materials affecting mechanical properties of FDM-3D printed Parts: Perspective and prospects. Mater. Today Proc. 2022, 50, 2269–2275. [Google Scholar] [CrossRef]
  39. Galeja, M.; Hejna, A.; Kosmela, P.; Kulawik, A. Static and Dynamic Mechanical Properties of 3D Printed ABS as a Function of Raster Angle. Materials 2020, 13, 297. [Google Scholar] [CrossRef]
  40. Çakan, B.G. Effects of raster angle on tensile and surface roughness properties of various FDM filaments. J. Mech. Sci. Technol. 2021, 35, 3347–3353. [Google Scholar] [CrossRef]
  41. Moradi, M.; Aminzadeh, A.; Rahmatabadi, D.; Hakimi, A. Experimental investigation on mechanical characterization of 3D printed PLA produced by fused deposition modeling (FDM). Mater. Res. Express 2021, 8, 35304. [Google Scholar] [CrossRef]
  42. Demir, S.; Yüksel, C.; Akpınar, F. Investigation of the Mechanical Response of Hexagonal Lattice Cylindrical Structure Fabricated with Polylactic Acid 3D Printing. J. Mater. Eng. Perform. 2024, 34, 1572–1585. [Google Scholar] [CrossRef]
  43. Moradi, M.; Karamimoghadam, M.; Meiabadi, S.; Casalino, G.; Ghaleeh, M.; Baby, B.; Ganapathi, H.; Jose, J.; Abdulla, M.S.; Tallon, P.; et al. Mathematical Modelling of Fused Deposition Modeling (FDM) 3D Printing of Poly Vinyl Alcohol Parts through Statistical Design of Experiments Approach. Mathematics 2023, 11, 3022. [Google Scholar] [CrossRef]
  44. Lokesh, N.; Praveena, B.A.; Reddy, J.S.; Vasu, V.K.; Vijaykumar, S. Evaluation on effect of printing process parameter through Taguchi approach on mechanical properties of 3D printed PLA specimens using FDM at constant printing temperature. Mater. Today Proc. 2022, 52, 1288–1293. [Google Scholar] [CrossRef]
  45. Cabreira, V.; Santana, R.M.C. Effect of infill pattern in Fused Filament Fabrication (FFF) 3D Printing on materials performance. Matéria Rio Jan. 2020, 25, e12826. [Google Scholar] [CrossRef]
  46. Hedjazi, L.; Belhabib, S.; D’Orlando, A.; Guessasma, S. Breaking Material Symmetry to Control Mechanical Performance in 3D Printed Objects. Symmetry 2022, 15, 28. [Google Scholar] [CrossRef]
  47. Cojocaru, V.; Frunzaverde, D.; Miclosina, C.-O. On the Behavior of Honeycomb, Grid and Triangular PLA Structures under Symmetric and Asymmetric Bending. Micromachines 2022, 14, 120. [Google Scholar] [CrossRef] [PubMed]
  48. Srivastava, M.; Rathee, S.; Maheshwari, S.; Kundra, T.K. Estimating percentage contribution of process parameters towards build time of FDM process for components displaying spatial symmetry: A case study. Int. J. Mater. Prod. Technol. 2019, 58, 201–224. [Google Scholar] [CrossRef]
  49. Espino, M.T.; Tuazon, B.J.; Espera, A.H.; Nocheseda, C.J.C.; Manalang, R.S.; Dizon, J.R.C.; Advincula, R.C. Statistical methods for design and testing of 3D-printed polymers. MRS Commun. 2023, 13, 193–211. [Google Scholar] [CrossRef]
  50. Grigoriev, S.; Nikitin, N.; Yanushevich, O.; Krikheli, N.; Khmyrov, R.; Strunevich, D.; Soloninkin, M.; Pinargote, N.W.S.; Peretyagin, P.; Smirnov, A. Mechanical properties variation of samples fabricated by fused deposition additive manufacturing as a function of filler percentage and structure for different plastics. Sci. Rep. 2024, 14, 28344. [Google Scholar] [CrossRef]
  51. Zarean, P.; Malgaroli, P.; Zarean, P.; Seiler, D.; de Wild, M.; Thieringer, F.M.; Sharma, N. Effect of Printing Parameters on Mechanical Performance of Material-Extrusion 3D-Printed PEEK Specimens at the Point-of-Care. Appl. Sci. 2023, 13, 1230. [Google Scholar] [CrossRef]
  52. Qayyum, H.; Hussain, G.; Sulaiman, M.; Hassan, M.; Ali, A.; Muhammad, R.; Wei, H.; Shehbaz, T.; Aamir, M.; Altaf, K. Effect of Raster Angle and Infill Pattern on the In-Plane and Edgewise Flexural Properties of Fused Filament Fabricated Acrylonitrile–Butadiene–Styrene. Appl. Sci. 2022, 12, 12690. [Google Scholar] [CrossRef]
  53. ISO 527-2:2012; Plastics—Determination of tensile properties Part 2: Test conditions for moulding and extrusion plastics. International Organization for Standardization: Geneva, Switzerland, 2012.
  54. Cristea, M.; Ionita, D.; Iftime, M.M. Dynamic Mechanical Analysis Investigations of PLA-Based Renewable Materials: How Are They Useful? Materials 2020, 13, 5302. [Google Scholar] [CrossRef] [PubMed]
  55. Poljaček, S.M.; Priselac, D.; Elesini, U.S.; Leskovšek, M.; Leskovac, M. Preparation, properties, and laser processing of poly(ɛ-caprolactone)/poly(lactic acid) blends with addition of natural fibers as a potential for printing plates application. Polym. Eng. Sci. 2021, 61, 2295–2310. [Google Scholar] [CrossRef]
  56. Song, X.; Chen, Y.; Xu, Y.; Wang, C. Study on Tough Blends of Polylactide and Acrylic Impact Modifier. Bioresources 2014, 9, 1939–1952. [Google Scholar] [CrossRef]
  57. Yoganandam, K.; Shanmugam, V.; Vasudevan, A.; Vinodh, D.; Nagaprasad, N.; Stalin, B.; Karthick, A.; Malla, C.; Bharani, M. Investigation of Dynamic, Mechanical, and Thermal Properties of Calotropis procera Particle-Reinforced PLA Biocomposites. Adv. Mater. Sci. Eng. 2021, 2021, 2491489. [Google Scholar] [CrossRef]
  58. ISO 527-1:2019; Plastics—Determination of tensile properties Part 1: General principles. International Organization for Standardization: Geneva, Switzerland, 2019.
  59. Zhan, J.; Cai, J.; Hasani, R. Effects of testing speed on the tensile and mode I fracture behavior of specimens printed through the Fused Deposition Modeling technique. Sci. Rep. 2024, 14, 3960. [Google Scholar] [CrossRef]
  60. Zhang, X.; Chen, L.; Mulholland, T.; Osswald, T.A. Characterization of mechanical properties and fracture mode of PLA and copper/PLA composite part manufactured by fused deposition modeling. SN Appl. Sci. 2019, 1, 616. [Google Scholar] [CrossRef]
Figure 1. Designs of geometric shapes forming infill patterns: (a) triangle; (b) repeating triangular pattern; (c) regular hexagons; and (d) repeating hexagonal pattern. (e) Probe drawing with dimensions in mm.
Figure 1. Designs of geometric shapes forming infill patterns: (a) triangle; (b) repeating triangular pattern; (c) regular hexagons; and (d) repeating hexagonal pattern. (e) Probe drawing with dimensions in mm.
Symmetry 17 00466 g001
Figure 2. Illustration of specimens for DMA and tensile tests with different infill patterns and rotation angles: (a) T-0°; (b) T-15°; (c) T-30°; (d) S-0°; (e) S-15°; (f) S-30°; (g) H-0°; (h) H-15°; and (i) H-30°.
Figure 2. Illustration of specimens for DMA and tensile tests with different infill patterns and rotation angles: (a) T-0°; (b) T-15°; (c) T-30°; (d) S-0°; (e) S-15°; (f) S-30°; (g) H-0°; (h) H-15°; and (i) H-30°.
Symmetry 17 00466 g002
Figure 3. The Q-Q plot of residuals for the maximum force obtained by the tensile test.
Figure 3. The Q-Q plot of residuals for the maximum force obtained by the tensile test.
Symmetry 17 00466 g003
Figure 4. DMA results for (a) storage modulus, (b) loss modulus, and (c) tan delta of 3D-printed PLA specimens.
Figure 4. DMA results for (a) storage modulus, (b) loss modulus, and (c) tan delta of 3D-printed PLA specimens.
Symmetry 17 00466 g004
Figure 5. Three-dimensionally printed PLA specimens: (a) equilateral triangle, (b) square, and (c) regular hexagon with infill pattern angles of 0°, 15°, and 30° (from top).
Figure 5. Three-dimensionally printed PLA specimens: (a) equilateral triangle, (b) square, and (c) regular hexagon with infill pattern angles of 0°, 15°, and 30° (from top).
Symmetry 17 00466 g005
Figure 6. Force and tensile strain curves for PLA specimens: (a) equilateral triangle, (b) square, and (c) regular hexagon with infill pattern angles of 0°, 15°, and 30°.
Figure 6. Force and tensile strain curves for PLA specimens: (a) equilateral triangle, (b) square, and (c) regular hexagon with infill pattern angles of 0°, 15°, and 30°.
Symmetry 17 00466 g006
Figure 7. Fracture locations for tested 3D-printed PLA specimens: (a) equilateral triangle, (b) square, and (c) regular hexagon with infill pattern angles of 0°, 15°, and 30°.
Figure 7. Fracture locations for tested 3D-printed PLA specimens: (a) equilateral triangle, (b) square, and (c) regular hexagon with infill pattern angles of 0°, 15°, and 30°.
Symmetry 17 00466 g007
Figure 8. Boxplots for maximum force, triangle-shaped infill.
Figure 8. Boxplots for maximum force, triangle-shaped infill.
Symmetry 17 00466 g008
Figure 9. Boxplots for maximum force, square-shaped infill.
Figure 9. Boxplots for maximum force, square-shaped infill.
Symmetry 17 00466 g009
Figure 10. Boxplots for maximum force, hexagon-shaped infill.
Figure 10. Boxplots for maximum force, hexagon-shaped infill.
Symmetry 17 00466 g010
Figure 11. Comparison of boxplots for infill shapes with different orders of rotational symmetry.
Figure 11. Comparison of boxplots for infill shapes with different orders of rotational symmetry.
Symmetry 17 00466 g011
Table 1. The geometric shapes and angles of rotational symmetry chosen in this experiment.
Table 1. The geometric shapes and angles of rotational symmetry chosen in this experiment.
ShapeOrder of Rotational SymmetryAngle of Rotational Symmetry
Equilateral triangle3120°
Square490°
Regular hexagon660°
Table 2. Main physical parameters of PLA filaments used in this research.
Table 2. Main physical parameters of PLA filaments used in this research.
PropertyTypical Value
Diameter 1.75 ± 0.05 mm
Tensile modulus3500 MPa
Tensile strength45 MPa
Elongation at break≤5%
Printing temperature205 ± 10 °C
Melting temperature155 °C
Glass transition temp.60 °C
Table 3. DMA test results for PLA specimens.
Table 3. DMA test results for PLA specimens.
SpecimenE′(at 20 °C) (GPa)Tg Delta (20 °C)Tg Peak (Max)Tg (°C) *
T-0°0.90730.0079560.838654.02
T-15°1.05500.0074910.695454.00
T-30°0.98960.0075060.818955.58
S-0°0.85870.0080680.801252.42
S-15°0.98070.0073810.936153.65
S-30°0.94990.0070040.902455.02
H-0°0.81330.0069660.989655.08
H-15°0.95000.0072280.838955.01
H-30°0.94220.0082630.763455.34
* The glass transition temperature is obtained from the peak point of the loss modulus (E″).
Table 4. Tensile test results for PLA specimens.
Table 4. Tensile test results for PLA specimens.
SamplesMaximum Force [N]SDTensile Strain (Displacement) at Maximum Force [%]SDDisplacement at Maximum Force [mm]SD
T-0°1022.31738.00118660.14815860.125
T-15°868.80632.40217120.11214550.095
T-30°1077.55113.84020000.03717000.032
S-0°1607.74374.35123430.22019910.187
S-15°825.35520.81517210.09714620.083
S-30°802.55436.79618750.10115940.086
H-0°911.36541.41220730.19917620.169
H-15°797.57758.00716030.11013620.093
H-30°1124.25824.44824000.21820400.185
Table 5. Results of Kruskal–Wallis tests for 3D-printed specimens.
Table 5. Results of Kruskal–Wallis tests for 3D-printed specimens.
FactorHp
Shape1.740.41800
Angle16.330.00028
Table 6. Results of Dunn’s test for triangle (order of rotational symmetry of 3).
Table 6. Results of Dunn’s test for triangle (order of rotational symmetry of 3).
15°30°
10.0000.07160.1791
15°0.071610.0000.0027
30°0.17910.002710.000
Table 7. Results of Dunn’s test for square (order of rotational symmetry of 4).
Table 7. Results of Dunn’s test for square (order of rotational symmetry of 4).
15°30°
10.0000.03550.0071
15°0.035510.0000.4367
30°0.00710.436710.000
Table 8. Results of Dunn’s test for hexagon (order of rotational symmetry of 6).
Table 8. Results of Dunn’s test for hexagon (order of rotational symmetry of 6).
15°30°
10.0000.10390.0990
15°0.103910.0000.0016
30°0.09900.001610.000
Disclaimer/Publisher’s Note: The statements, opinions and data contained in all publications are solely those of the individual author(s) and contributor(s) and not of MDPI and/or the editor(s). MDPI and/or the editor(s) disclaim responsibility for any injury to people or property resulting from any ideas, methods, instructions or products referred to in the content.

Share and Cite

MDPI and ACS Style

Mahović Poljaček, S.; Donevski, D.; Tomašegović, T.; Vrabič Brodnjak, U.; Leskovšek, M. Mechanical Properties of 3D-Printed PLA Structures Observed in Framework of Different Rotational Symmetry Orders in Infill Patterns. Symmetry 2025, 17, 466. https://doi.org/10.3390/sym17030466

AMA Style

Mahović Poljaček S, Donevski D, Tomašegović T, Vrabič Brodnjak U, Leskovšek M. Mechanical Properties of 3D-Printed PLA Structures Observed in Framework of Different Rotational Symmetry Orders in Infill Patterns. Symmetry. 2025; 17(3):466. https://doi.org/10.3390/sym17030466

Chicago/Turabian Style

Mahović Poljaček, Sanja, Davor Donevski, Tamara Tomašegović, Urška Vrabič Brodnjak, and Mirjam Leskovšek. 2025. "Mechanical Properties of 3D-Printed PLA Structures Observed in Framework of Different Rotational Symmetry Orders in Infill Patterns" Symmetry 17, no. 3: 466. https://doi.org/10.3390/sym17030466

APA Style

Mahović Poljaček, S., Donevski, D., Tomašegović, T., Vrabič Brodnjak, U., & Leskovšek, M. (2025). Mechanical Properties of 3D-Printed PLA Structures Observed in Framework of Different Rotational Symmetry Orders in Infill Patterns. Symmetry, 17(3), 466. https://doi.org/10.3390/sym17030466

Note that from the first issue of 2016, this journal uses article numbers instead of page numbers. See further details here.

Article Metrics

Back to TopTop