Short Circuit Fault Detection in DAR Based on V-I Characteristic Graph and Machine Learning
Abstract
1. Introduction
- The proposed method integrates the V-I characteristic method with machine learning techniques to enhance fault detection accuracy and reliability. By leveraging data-driven learning, this approach effectively captures complex fault patterns, making it more robust against non-linear behaviors and subtle anomalies in ISCF detection.
- The proposed method utilizes GBR to automatically determine specific fault diagnosis thresholds, eliminating the need for manually set criteria. By learning from data, GBR assigns optimal weight values to fault indicators, ensuring an objective and data-driven approach to ISCF detection, thereby improving reliability and adaptability across different fault scenarios.
2. Theoretical Analysis
2.1. V-I Method
2.2. Gradient Boosting Regression
2.3. Principle of Detection Method
- Acquire a large volume of V-I data from DAR so that we can plot characteristic figures, obtaining characteristic parameters corresponding to various fault severities.
- Calculate regression coefficients, i.e., weights, using a GBR model.
- Utilize these weights to compute a standard diagnostic criteria value w for assessing fault conditions as follows. Plot two-dimensional scatter plot with standard diagnostic criteria value w on the horizontal axis and fault severity on the vertical axis, and find the fitting curves against two variables.
- 4.
- Determine the fault threshold by identifying the standard diagnostic criteria value corresponding to the 5% fault severity through curve fitting, with this threshold selection based on [20].
- 5.
- In the next measurement of , if it is greater than , the dry-type air-core reactor is determined to have experienced an inter-turn short circuit fault.
3. Modeling and Simulation
3.1. Model Parameters and Configuration
3.2. Simulation Results
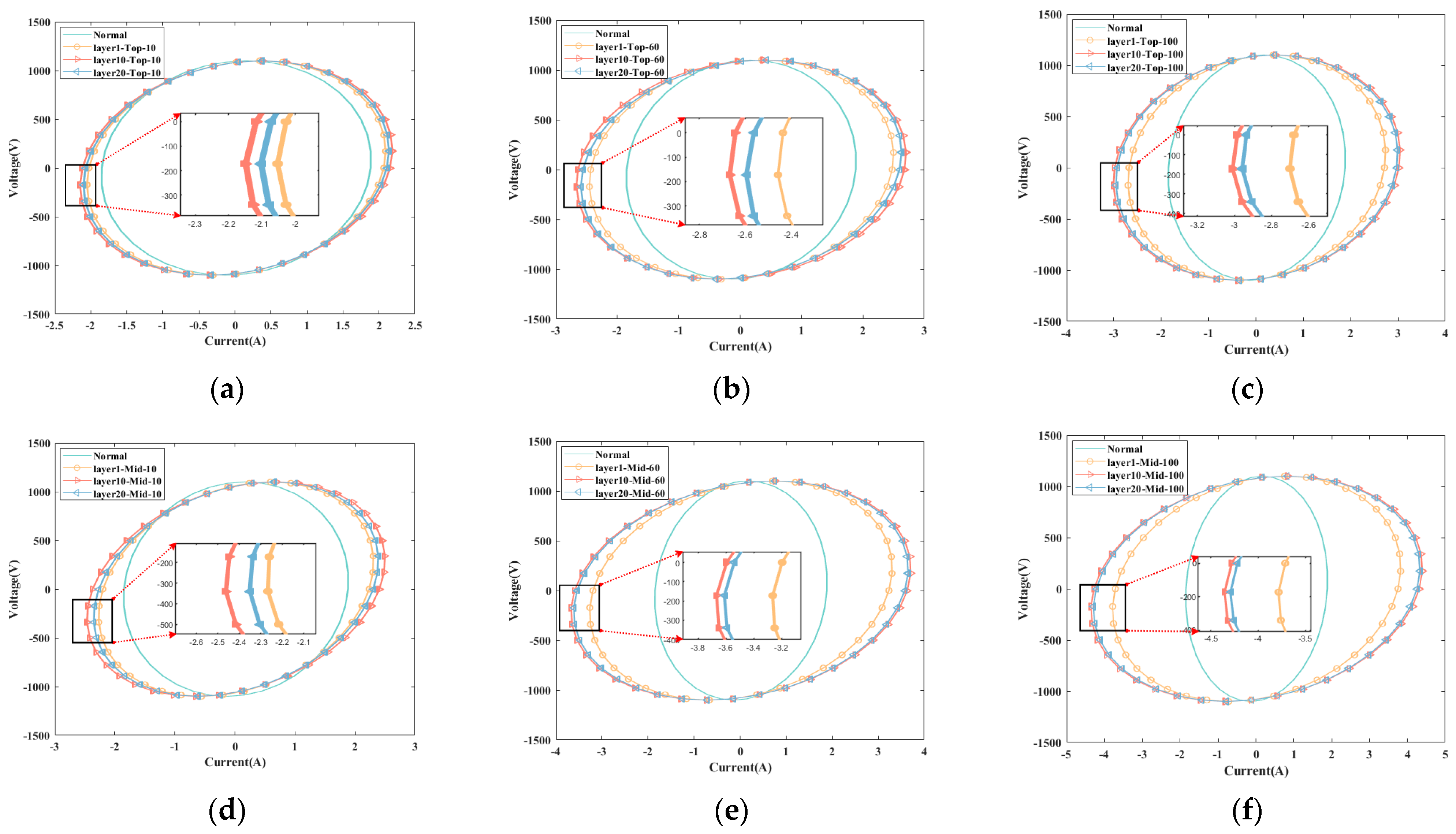
- When a short circuit fault develops in any position of the inner, middle, or outer coil, whether it is a inter-turn fault at the end or middle, the characteristic figure will change significantly with the count of fault turns. When the count of short circuit turns is small, the health and fault graphs mainly show a change in area. As the count of fault turns increases, fault characteristic figure will rotate significantly clockwise and the area will significantly increase;
- When the same number of turns fault arises at different positions of the same layer coil, as the fault position approaches the middle, the area of the characteristic figure will increase, and the degree of inclination will also slightly increase; When different turns of faults occur at the same position of the same layer of coil, as the count of turns increases, the area of the characteristic figure gradually increases, and the change in inclination degree becomes more obvious. The changes in the characteristic figure are shown in Figure 6;
- When the same fault occurs in coils of different layers, as shown in Figure 7. When the count of fault turns is the same, a short-circuit fault closer to the reactor’s middle causes a more significant change in the characteristic figure. This is because a fault in the middle enhances the mutual inductance effect on the other healthy coils more than a fault at the ends;
- Whether it is a fault in the same layer or a short circuit fault in different layers, the characteristic parameters will be significantly affected by the number of fault turns. The short axis b and bevel angle will increase with the increase of fault turns, with the relative change rate and amplitude of bevel angle being the largest.
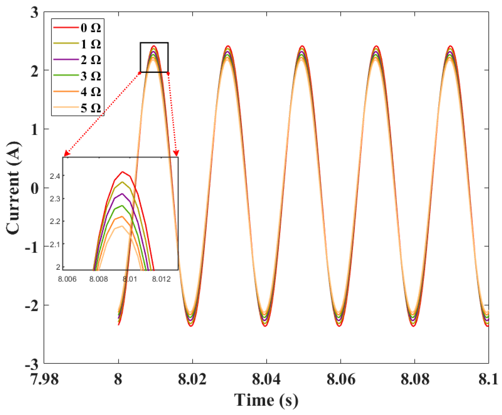
3.3. Simulation with Contact Resistance
4. Diagnostic Method
4.1. Analysis of Results
4.2. Analysis of Effectiveness
4.3. Experiment on an Actual Dry-Type Air-Core Reactor
- Use a three-phase power supply to output a phase voltage of 15V to power the dry-type air-core reactor;
- A wire was used to simulate inter-turn short circuit faults between different turns of the dry-type air-core reactor, as illustrated in Figure 15;
- 3.
- Measure data through V-I sensors:
- 4.
- An 8-bit digital storage oscilloscope (DSO) is used to capture the V-I signals;
- 5.
- Draw characteristic figures using V-I data and obtain characteristic parameters.
5. Conclusions and Prospects
Author Contributions
Funding
Data Availability Statement
Conflicts of Interest
Abbreviations
| DAR | Dry-type air-core reactors |
| GBR | Gradient Boosting Regression |
References
- Toader, D.; Greconici, M.; Vesa, D.; Vintan, M.; Solea, C.; Maghet, A.; Tatai, I. The Influence of the Characteristics of the Medium Voltage Network on the Single Line-to-Ground Fault Current in the Resistor Grounded Neutral Networks. Designs 2021, 5, 53. [Google Scholar] [CrossRef]
- Jankowska, K.; Dybkowski, M. Design and Analysis of Current Sensor Fault Detection Mechanisms for PMSM Drives Based on Neural Networks. Designs 2022, 6, 18. [Google Scholar] [CrossRef]
- Hemmer, M.; Van Khang, H.; Robbersmyr, K.G.; Waag, T.I.; Meyer, T.J.J. Fault Classification of Axial and Radial Roller Bearings Using Transfer Learning through a Pretrained Convolutional Neural Network. Designs 2018, 2, 56. [Google Scholar] [CrossRef]
- Hou, P.; Ma, H.; Ju, P. Intelligent Diagnosis Method for Mechanical Faults of High-Voltage Shunt Reactors Based on Vibration Measurements. Machines 2022, 10, 627. [Google Scholar] [CrossRef]
- Zhang, B.; Huang, W.; Ling, Y.; Wu, Y.; Meng, B.; Zhao, Y. Simulation on transient characteristics of inter-turn short circuit fault of dry-type air-core reactor based on ansys maxwell. In Proceedings of the International Conference on Electrical Engineering and Automation Control, Beijing, China, 21–23 April 2017. [Google Scholar]
- Huang, X.; Hu, J.; Zhu, Y.; Xue, Z.; Zhou, Y.; Wu, H. Research on the online measuring technology of inter-turn insulation of dry air-core reactor. IET Sci. Meas. Technol. 2020, 14, 817–823. [Google Scholar] [CrossRef]
- Wu, J.; Zhen, W.; Chang, Z.; Zhang, M.; Peng, Y.; Liu, Y.; Huang, Q. A Detection Method for Slight Inter-Turn Short-Circuit Fault in Dry-Type Air-Core Shunt Reactors. Energies 2024, 17, 1709. [Google Scholar] [CrossRef]
- Jin, S.; E, Y.; Zhu, L.; Li, C.; Yang, Y.; Wu, Z. Research on the diagnosis method of inter-turn short-circuit faults of dry-type air-core reactor winding based on frequency response analysis. AIP Adv. 2024, 14, 065015. [Google Scholar] [CrossRef]
- Hou, P.; Ma, H.; Ju, P.; Chen, X.; Zhu, C. A New Vibration Analysis Approach for Monitoring the Working Condition of a High-Voltage Shunt Reactor. IEEE Access 2021, 9, 46487–46504. [Google Scholar] [CrossRef]
- Zhu, L.; Du, Y.; Gao, L.; Zhuang, Z.; Ji, S. Vibration distribution characteristics of inter-turn insulation defects in Dry-Type Air-Core Reactor under different frequency excitations. High Volt. Eng. 2022, 48, 3201–3209. [Google Scholar] [CrossRef]
- Liu, H.; Liang, J.; Niu, S.; Du, Y.; Zhu, L. Research on Vibration Characteristics of Dry-Type Air-Core Reactor under Inter-turn Short Circuit Fault. Power Capacit. React. Power Compens. 2021, 42, 69–75. [Google Scholar] [CrossRef]
- Jiang, Z.; Zhou, H.; Song, J.; Yu, Y.; Weng, X. Calculation and experimental analysis of temperature field in Dry-Type Air-Core Reactor. Trans. China Electrotech. Soc. 2017, 32, 218–224. [Google Scholar] [CrossRef]
- Zhou, Y.; Zhao, Z.; Li, Y.; Zhang, C.; Xie, T.; Cui, Z.; Wang, K.; Tan, X.; Li, C. Research on Fiber Bragg Grating Temperature Measurement for Buried 35kV Dry-Type Air-Core Reactor. Trans. China Electrotech. Soc. 2015, 30, 142–146. [Google Scholar] [CrossRef]
- Hao, W.; Liu, F. Imbalanced Data Fault Diagnosis Based on an Evolutionary Online Sequential Extreme Learning Machine. Symmetry 2020, 12, 1204. [Google Scholar] [CrossRef]
- Fu, C.; Tong, Y.; Yuan, T.; Wang, Q.; Cheng, J.; Li, H. A method of winding fault classification in transformer based on moving window calculation and support vector machine. Symmetry 2022, 14, 1178. [Google Scholar] [CrossRef]
- Yu, P.; Zhang, J.; Zhang, B.; Cao, J.; Peng, Y. Research on Small Sample Rolling Bearing Fault Diagnosis Method Based on Mixed Signal Processing Technology. Symmetry 2024, 16, 1385. [Google Scholar] [CrossRef]
- Gallozzi, A.; Strollo, R.M. Between Mechanics and Harmony: The Drawing of Lissajous Curves. Found. Sci. 2023, 29, 205–224. [Google Scholar] [CrossRef]
- Yao, C.; Zhao, Z.; Mi, Y.; Li, C.; Liao, Y.; Qian, G. Improved Online Monitoring Method for Transformer Winding Deformations Based on the Lissajous Graphical Analysis of Voltage and Current. IEEE Trans. Power Deliv. 2015, 30, 1965–1973. [Google Scholar] [CrossRef]
- Natekin, A.; Knoll, A. Gradient boosting machines, a tutorial. Front. Neurorobot. 2013, 7, 21. [Google Scholar] [CrossRef] [PubMed]
- Song, H.; Zou, L.; Zhang, X.; Zhang, L.; Zhao, T. Inter-Turn Short-Circuit Detection of Dry-Type Air-Core Reactor Based on Spatial Magnetic Field Distribution. Trans. China Electrotech. Soc. 2019, 34, 105–117. [Google Scholar] [CrossRef]
- Su, J. Failure Analysis and Preventive Measures of Dry-Type Air-Core Reactor. Metall. Power 2024, 05, 1–4. [Google Scholar] [CrossRef]

















| Envelopment | Layer | Radius/mm | Height/mm | Number of Turns | Wire Diameter/mm |
|---|---|---|---|---|---|
| 1 | 1 | 2006.5 | 1846.9 | 727 | 2.54 |
| 2 | 2011.7 | 1832.0 | 721 | ||
| 3 | 2016.9 | 1818.4 | 716 | ||
| 4 | 2022.1 | 1805.9 | 711 | ||
| 2 | 5 | 2085.3 | 1817.5 | 675 | 2.69 |
| 6 | 2090.8 | 1806.3 | 671 | ||
| 7 | 2096.3 | 1796.2 | 667 | ||
| 8 | 2101.8 | 1787.2 | 664 | ||
| 3 | 9 | 2165.2 | 1834.9 | 645 | 2.85 |
| 10 | 2171.0 | 1826.9 | 642 | ||
| 11 | 2176.8 | 1820.1 | 640 | ||
| 12 | 2182.6 | 1814.5 | 638 | ||
| 4 | 13 | 2246.2 | 1810.7 | 625 | 2.90 |
| 14 | 2252.1 | 1807.0 | 624 | ||
| 15 | 2258.0 | 1804.6 | 623 | ||
| 16 | 2263.9 | 1803.4 | 623 | ||
| 5 | 17 | 2327.6 | 1801.0 | 622 | 2.90 |
| 18 | 2333.5 | 1801.8 | 622 | ||
| 19 | 2339.4 | 1803.9 | 623 | ||
| 20 | 2345.3 | 1807.2 | 624 |
| Major Axis a | Minor Axis b | Bevel Angle | Fault Severity |
|---|---|---|---|
| 1100 (+0.00%) | 1.840 (+0.00%) | (+0.00%) | 0% |
| 1100 (+0.00%) | 2.020 (+9.78%) | (+119.51%) | 1.38% |
| 1100 (+0.00%) | 2.429 (+32.01%) | (+165.85%) | 8.25% |
| 1100 (+0.00%) | 2.672 (+45.22%) | (+195.12%) | 13.76% |
| 1100 (+0.00%) | 2.191 (+19.08%) | (+284.15%) | 1.38% |
| 1100 (+0.00%) | 3.188 (+73.26%) | (+458.54%) | 8.25% |
| 1100 (+0.00%) | 3.706 (+101.41%) | (+540.24%) | 13.76% |
| W | Fault Severity | W | Fault Severity | W | Fault Severity | W | Fault Severity | W | Fault Severity |
|---|---|---|---|---|---|---|---|---|---|
| 2.266771124 | 0.14 | 13.70398874 | 0.15 | 14.33594437 | 0.16 | 14.09811206 | 0.16 | 13.73542161 | 0.16 |
| 4.597157342 | 0.28 | 16.71633876 | 0.3 | 17.37907819 | 0.31 | 17.97657983 | 0.32 | 17.39463235 | 0.32 |
| 6.852044507 | 0.41 | 19.49355305 | 0.44 | 20.50937075 | 4.65 | 21.4602752 | 0.48 | 21.06777457 | 0.48 |
| 8.907223559 | 0.55 | 22.26050608 | 0.59 | 23.50983681 | 0.62 | 24.51010034 | 0.64 | 24.11263135 | 0.64 |
| 11.09687294 | 0.69 | 24.53396854 | 0.74 | 26.07178882 | 0.78 | 27.39067663 | 0.8 | 26.998176 | 0.8 |
| 12.76818993 | 0.83 | 26.64811886 | 0.89 | 28.22536151 | 0.93 | 29.75324507 | 0.96 | 29.25111593 | 0.96 |
| 18.4233842 | 1.38 | 35.74876031 | 1.48 | 34.61522433 | 1.55 | 36.31667603 | 1.6 | 35.6900133 | 1.61 |
| 38.01840487 | 6.88 | 54.54549733 | 7.41 | 57.02600831 | 7.75 | 59.75591103 | 8 | 58.92586997 | 8.04 |
| 55.40682356 | 13.76 | 75.63761777 | 14.81 | 80.34028489 | 15.5 | 84.30234148 | 16 | 78.97029132 | 16.01 |
| 100.885313 | 27.51 | 132.7637955 | 29.63 | 145.1110494 | 31.01 | 154.6869307 | 32 | 151.3604999 | 32.15 |
| 255.8463295 | 50 | 293.6897678 | 50 | 305.9089181 | 50 | 312.322 | 50 | 304.5767479 | 50 |
| 2.281676211 | 0.14 | 13.44563389 | 0.15 | 13.95867337 | 0.16 | 14.20277221 | 0.16 | 13.63076146 | 0.16 |
| 4.641872603 | 0.28 | 16.70208275 | 0.3 | 17.41385672 | 0.31 | 17.98651655 | 0.32 | 17.3747589 | 0.32 |
| 7.15576369 | 0.42 | 19.5240123 | 0.45 | 20.79818484 | 0.47 | 21.47518028 | 0.48 | 20.79883392 | 0.48 |
| 9.469946664 | 0.56 | 22.35058568 | 0.6 | 23.94802631 | 0.63 | 24.65450739 | 0.64 | 24.03313755 | 0.64 |
| 11.50989609 | 0.7 | 24.88305206 | 0.75 | 26.43015999 | 0.78 | 27.45029698 | 0.8 | 26.69445682 | 0.8 |
| 13.43524864 | 0.84 | 26.93725749 | 0.9 | 28.61851121 | 0.94 | 29.81783378 | 0.96 | 28.93249166 | 0.96 |
| 19.25936723 | 1.4 | 33.40229483 | 1.5 | 35.22730652 | 1.56 | 36.41604328 | 1.61 | 35.4064921 | 1.6 |
| 39.9533696 | 6.98 | 56.07305635 | 7.5 | 58.145188 | 7.81 | 60.08414749 | 8.03 | 57.96070952 | 8.01 |
| 58.08239883 | 13.97 | 77.72163338 | 14.99 | 81.64761328 | 15.63 | 84.73491355 | 16.05 | 81.47307151 | 16.03 |
| 105.8479576 | 27.93 | 137.0851969 | 29.99 | 148.2986905 | 31.25 | 155.5421381 | 32.1 | 148.8349491 | 32.05 |
| 262.7926489 | 50 | 298.6629982 | 50 | 309.976933 | 50 | 313.14902 | 50 | 300.5597148 | 50 |
| Minor Axis b | Bevel Angle | Fault Severity |
|---|---|---|
| 2.6435 (+0.00%) | (+0.00%) | Healthy |
| 6.1724 (+133.49%) | (+183.77%) | Moderate |
| 14.0128(+430.09%) | (+444.80%) | Severe |
Disclaimer/Publisher’s Note: The statements, opinions and data contained in all publications are solely those of the individual author(s) and contributor(s) and not of MDPI and/or the editor(s). MDPI and/or the editor(s) disclaim responsibility for any injury to people or property resulting from any ideas, methods, instructions or products referred to in the content. |
© 2025 by the authors. Licensee MDPI, Basel, Switzerland. This article is an open access article distributed under the terms and conditions of the Creative Commons Attribution (CC BY) license (https://creativecommons.org/licenses/by/4.0/).
Share and Cite
Zhu, J.; Yang, J.; Dang, X.; Sun, X.; Zhang, W.; Song, Y.; Zhao, Z. Short Circuit Fault Detection in DAR Based on V-I Characteristic Graph and Machine Learning. Symmetry 2025, 17, 459. https://doi.org/10.3390/sym17030459
Zhu J, Yang J, Dang X, Sun X, Zhang W, Song Y, Zhao Z. Short Circuit Fault Detection in DAR Based on V-I Characteristic Graph and Machine Learning. Symmetry. 2025; 17(3):459. https://doi.org/10.3390/sym17030459
Chicago/Turabian StyleZhu, Junlin, Jiahui Yang, Xiaojing Dang, Xiaqing Sun, Wei Zhang, Yuqian Song, and Zhongyong Zhao. 2025. "Short Circuit Fault Detection in DAR Based on V-I Characteristic Graph and Machine Learning" Symmetry 17, no. 3: 459. https://doi.org/10.3390/sym17030459
APA StyleZhu, J., Yang, J., Dang, X., Sun, X., Zhang, W., Song, Y., & Zhao, Z. (2025). Short Circuit Fault Detection in DAR Based on V-I Characteristic Graph and Machine Learning. Symmetry, 17(3), 459. https://doi.org/10.3390/sym17030459

