A Versatile Electronic Dimer Exhibiting PT and Anti-PT Symmetry
Abstract
1. Introduction
2. Model and Description
2.1. PT Symmetry
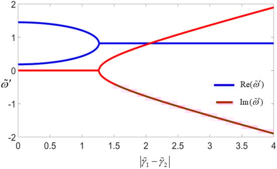
2.2. Quasi-PT Symmetry
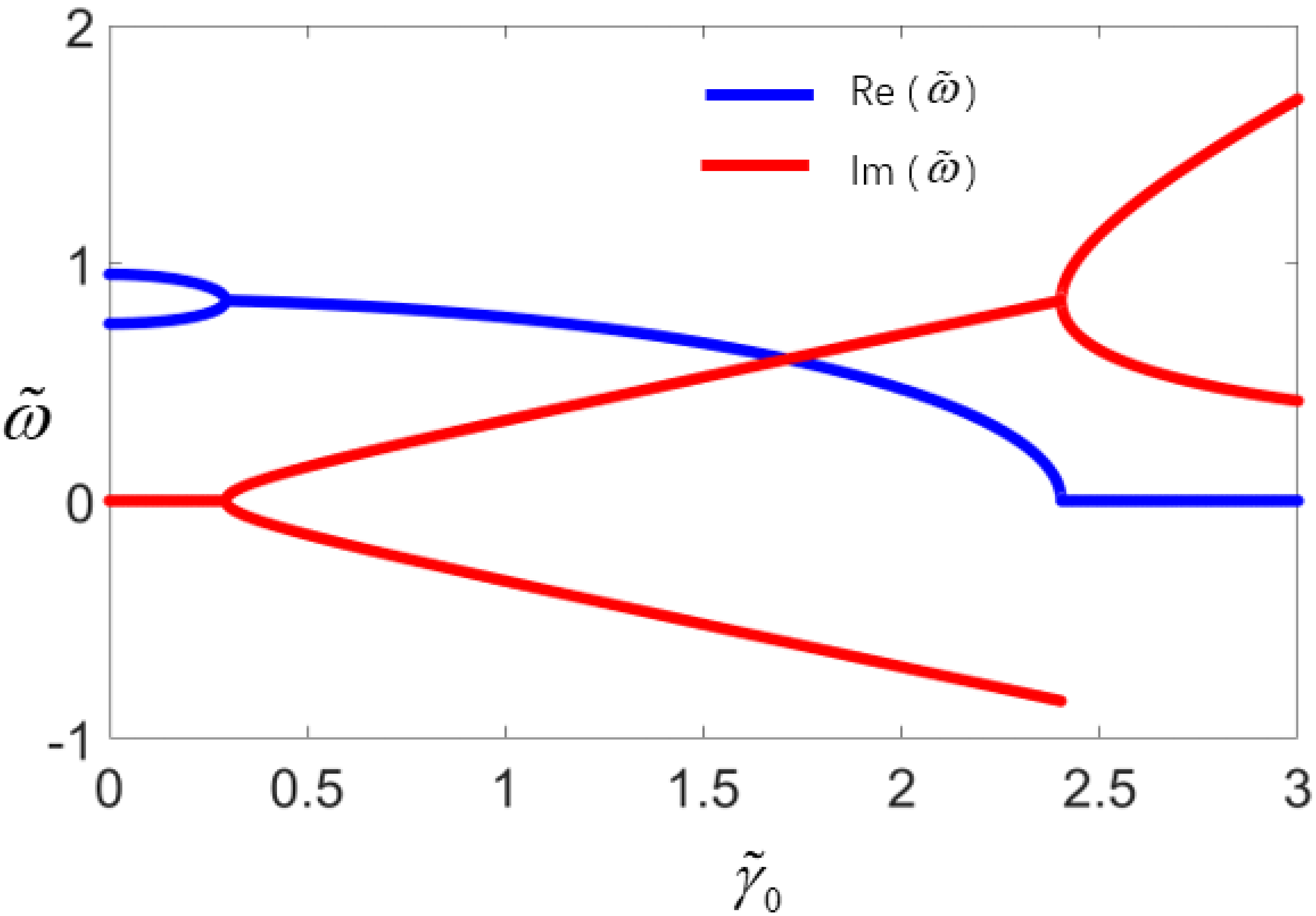
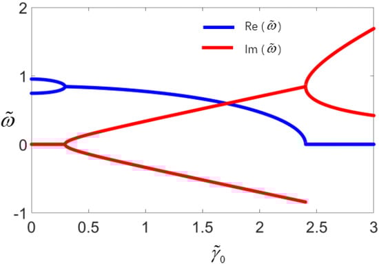
2.3. Quasi-APT (QAPT) Symmetry
3. Conclusions
Author Contributions
Funding
Data Availability Statement
Conflicts of Interest
References
- Bender, C.M.; Boettcher, S. Real spectra in non-hermitian hamiltonians having PT symmetry. Phys. Rev. Lett. 1998, 80, 5243. [Google Scholar] [CrossRef]
- Bender, C.M.; Böttcher, S.; Meisinger, P.N. PT-symmetric quantum mechanics. J. Math. Phys. 1999, 40, 2201. [Google Scholar] [CrossRef]
- El-Ganainy, R.; Makris, K.G.; Christodoulides, D.N.; Musslimani, Z.H. Theory of coupled optical PT-symmetric structures. Opt. Lett. 2007, 32, 2632–2634. [Google Scholar] [CrossRef] [PubMed]
- Rüter, C.; Makris, K.; El-Ganainy, R.; Christodoulides, D.N.; Segev, M.; Kip, D. Observation of parity–time symmetry in optics. Nat. Phys. 2010, 6, 192–195. [Google Scholar] [CrossRef]
- Hodaei, H.; Miri, M.A.; Heinrich, M.; Christodoulides, D.N.; Khajavikhan, M. Parity-time symmetric microring lasers. Science 2014, 346, 975–978. [Google Scholar] [CrossRef]
- Feng, L.; Wong, Z.J.; Ma, R.-M.; Wang, Y.; Zhang, X. Single-mode laser by parity-time symmetry breaking. Science 2014, 346, 972–975. [Google Scholar] [CrossRef]
- Lin, Z.; Ramezani, H.; Eichelkraut, T.; Kottos, T.; Cao, H.; Christodoulides, D.N. Unidirectional Invisibility Induced by PT-Symmetric Periodic Structures. Phys. Rev. Lett. 2011, 106, 213901. [Google Scholar] [CrossRef]
- Ramezani, H.; Kottos, T.; El-Ganainy, R.; Christodoulides, D.N. PT-symmetric optical structures. Phys. Rev. A 2010, 82, 043803. [Google Scholar] [CrossRef]
- Assawaworrarit, S.; Yu, X.; Fan, S. Robust wireless power transfer using a nonlinear parity–time-symmetric circuit. Nature 2017, 546, 387–390. [Google Scholar] [CrossRef]
- Zhang, N.; Lu, Y.Y. Guided modes in a PT-symmetric waveguide: Real dispersion curves. Phys. Rev. A 2023, 108, 053508. [Google Scholar] [CrossRef]
- Ge, L.; Makris, K.G.; Zhang, L. Optical fluxes in coupled PT-symmetric photonic structures. Phys. Rev. A 2017, 96, 023820. [Google Scholar] [CrossRef]
- Longhi, S. PT-symmetric laser absorber. Phys. Rev. A 2010, 82, 031801. [Google Scholar] [CrossRef]
- Wong, Z.J.; Xu, Y.-L.; Kim, J.; O’Brien, K.; Wang, Y.; Feng, L.; Zhang, X. Lasing and anti-lasing in a single cavity. Nat. Photon. 2016, 10, 796–801. [Google Scholar] [CrossRef]
- De Carlo, M.; De Leonardis, F.; Soref, R.A.; Colatorti, L.; Passaro, V.M.N. Non-Hermitian Sensing in Photonics and Electronics: A Review. Sensors 2022, 22, 3977. [Google Scholar] [CrossRef]
- Özdemir, Ş.K.; Rotter, S.; Nori, F.; Yang, L. Parity–time symmetry and exceptional points in photonics. Nat. Mater. 2019, 18, 783–798. [Google Scholar] [CrossRef]
- Zhou, H.; Lee, J.Y.; Liu, S.; Zhen, B. Exceptional Surfaces in PT-Symmetric Non-Hermitian Photonic Systems. Optica 2019, 6, 190–193. [Google Scholar] [CrossRef]
- Choi, Y.; Hahn, C.; Yoon, J.W.; Song, S.H. Observation of an anti-PT-symmetric exceptional point and energy-difference conserving dynamics in electrical circuit resonators. Nat. Commun. 2018, 9, 2182. [Google Scholar] [CrossRef]
- Peng, P.; Cao, W.; Shen, C.; Qu, W.; Wen, J.; Jiang, L.; Xiao, Y. Anti-parity–time symmetry with flying atoms. Nat. Phys. 2016, 12, 1139–1145. [Google Scholar] [CrossRef]
- Ge, L.; Türeci, H.E. Antisymmetric PT-photonic structures with balanced positive- and negative-index materials. Phys. Rev. A 2013, 88, 053810. [Google Scholar] [CrossRef]
- Yang, F.; Liu, Y.-C.; You, L. Anti-PT symmetry in dissipatively coupled optical systems. Phys. Rev. A 2017, 96, 053845. [Google Scholar] [CrossRef]
- Schindler, J.; Lin, Z.; Lee, J.M.; Ramezani, H.; Ellis, F.M.; Kottos, T. PT-symmetric electronics. Phys. J. 2012, 45, 444029. [Google Scholar]
- Schindler, J.; Li, A.; Zheng, M.C.; Ellis, F.M.; Kottos, T. Experimental study of active LRC circuits with PT symmetries. Phys. Rev. A 2011, 84, 040101. [Google Scholar] [CrossRef]
- Yang, M.; Zhong, Q.; Ye, Z.; Özdemir, Ş.K.; Farhat, M.; El-Ganainy, R.; Chen, P.-Y. Experimental observation of coherent-perfect-absorber and laser points in anti-PT symmetry. Phys. Rev. A 2024, 110, 033504. [Google Scholar] [CrossRef]
- Tabeu, S.B.; Fotsa, F.; Kenfack, A. Imaginary resistor based Parity-Time symmetry electronics dimers. Opt. Quant. Electron. 2019, 51, 335. [Google Scholar] [CrossRef]
- Zhou, B.-B.; Wang, L.-F.; Dong, L.; Huang, Q.-A. Observation of the perturbed eigenvalues of PT-symmetric LC resonator systems. J. Phys. Commun. 2021, 5, 045010. [Google Scholar] [CrossRef]
- Wang, T.; Fang, J.; Xie, Z.; Dong, N.; Joglekar, Y.N.; Wang, Z.; Li, J.; Luo, L. Observation of two PT transitions in an electric circuit with balanced gain and loss. Eur. Phys. J. D 2020, 74, 167. [Google Scholar] [CrossRef]
- Tagouegni, S.; Fotsa-Ngaffo, F.; Kenfack-Jiotsa, A. PT-symmetric electronic dimer without gain material. Commun. Theor. Phys. 2023, 75, 115101. [Google Scholar] [CrossRef]
- Cao, W.; Wang, C.; Chen, W.; Hu, S.; Wang, H.; Yang, L.; Zhang, X. Fully integrated parity–time-symmetric electronics. Nat. Nanotechnol. 2022, 17, 262–268. [Google Scholar] [CrossRef]
- Fan, H.; Chen, J.; Zhao, Z.; Wen, J.; Huang, Y.-P. Antiparity-Time Symmetry in Passive Nanophotonics. ACS Photonics 2020, 7, 3035–3041. [Google Scholar] [CrossRef]




Disclaimer/Publisher’s Note: The statements, opinions and data contained in all publications are solely those of the individual author(s) and contributor(s) and not of MDPI and/or the editor(s). MDPI and/or the editor(s) disclaim responsibility for any injury to people or property resulting from any ideas, methods, instructions or products referred to in the content. |
© 2025 by the authors. Licensee MDPI, Basel, Switzerland. This article is an open access article distributed under the terms and conditions of the Creative Commons Attribution (CC BY) license (https://creativecommons.org/licenses/by/4.0/).
Share and Cite
Li, R.; Gu, J. A Versatile Electronic Dimer Exhibiting PT and Anti-PT Symmetry. Symmetry 2025, 17, 205. https://doi.org/10.3390/sym17020205
Li R, Gu J. A Versatile Electronic Dimer Exhibiting PT and Anti-PT Symmetry. Symmetry. 2025; 17(2):205. https://doi.org/10.3390/sym17020205
Chicago/Turabian StyleLi, Ruiqi, and Jiayang Gu. 2025. "A Versatile Electronic Dimer Exhibiting PT and Anti-PT Symmetry" Symmetry 17, no. 2: 205. https://doi.org/10.3390/sym17020205
APA StyleLi, R., & Gu, J. (2025). A Versatile Electronic Dimer Exhibiting PT and Anti-PT Symmetry. Symmetry, 17(2), 205. https://doi.org/10.3390/sym17020205
