Pion Production in an Extended Parity Doublet Model
Abstract
1. Introduction
2. Extended Parity Doublet Model in DJBUU
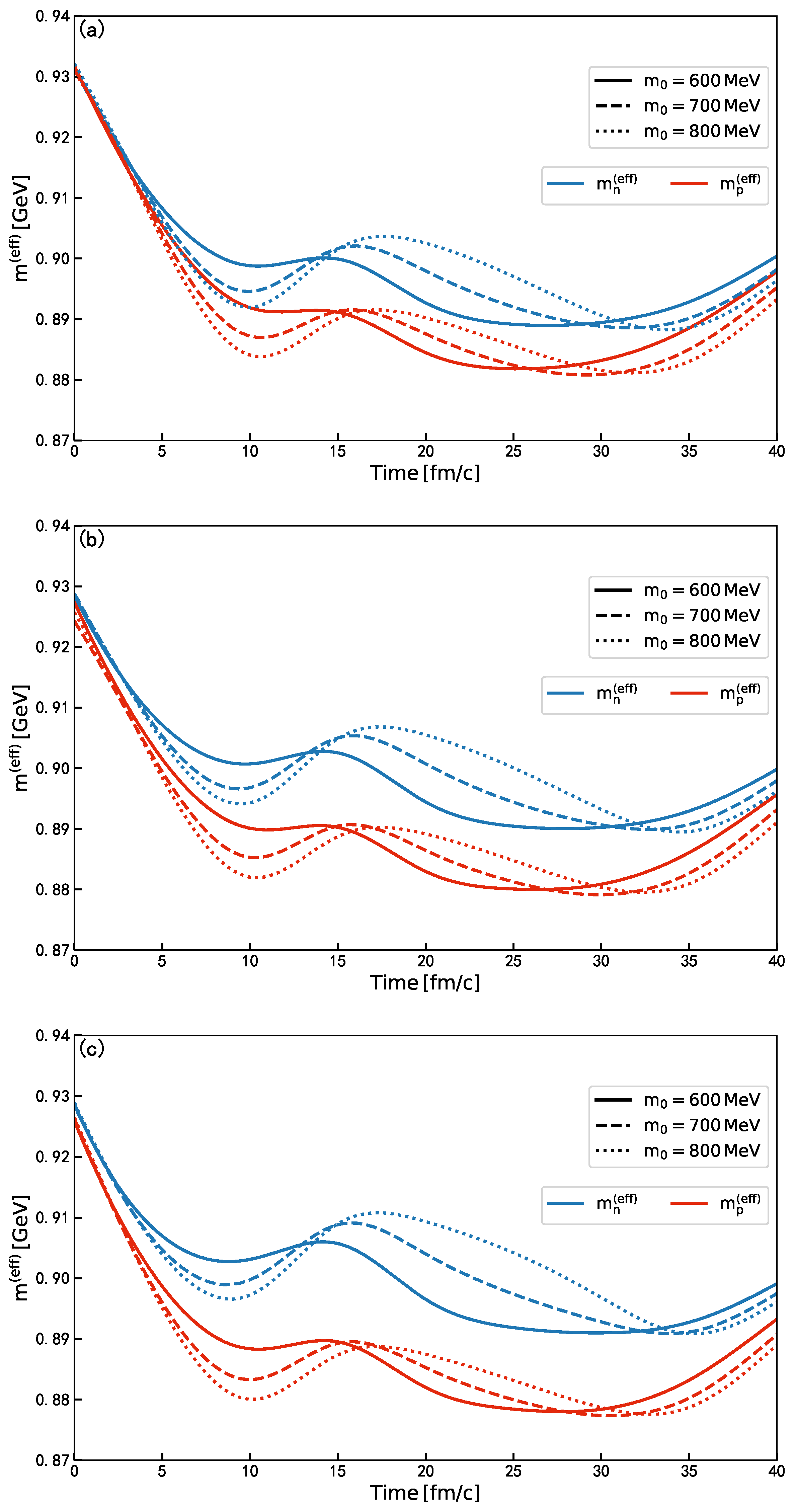
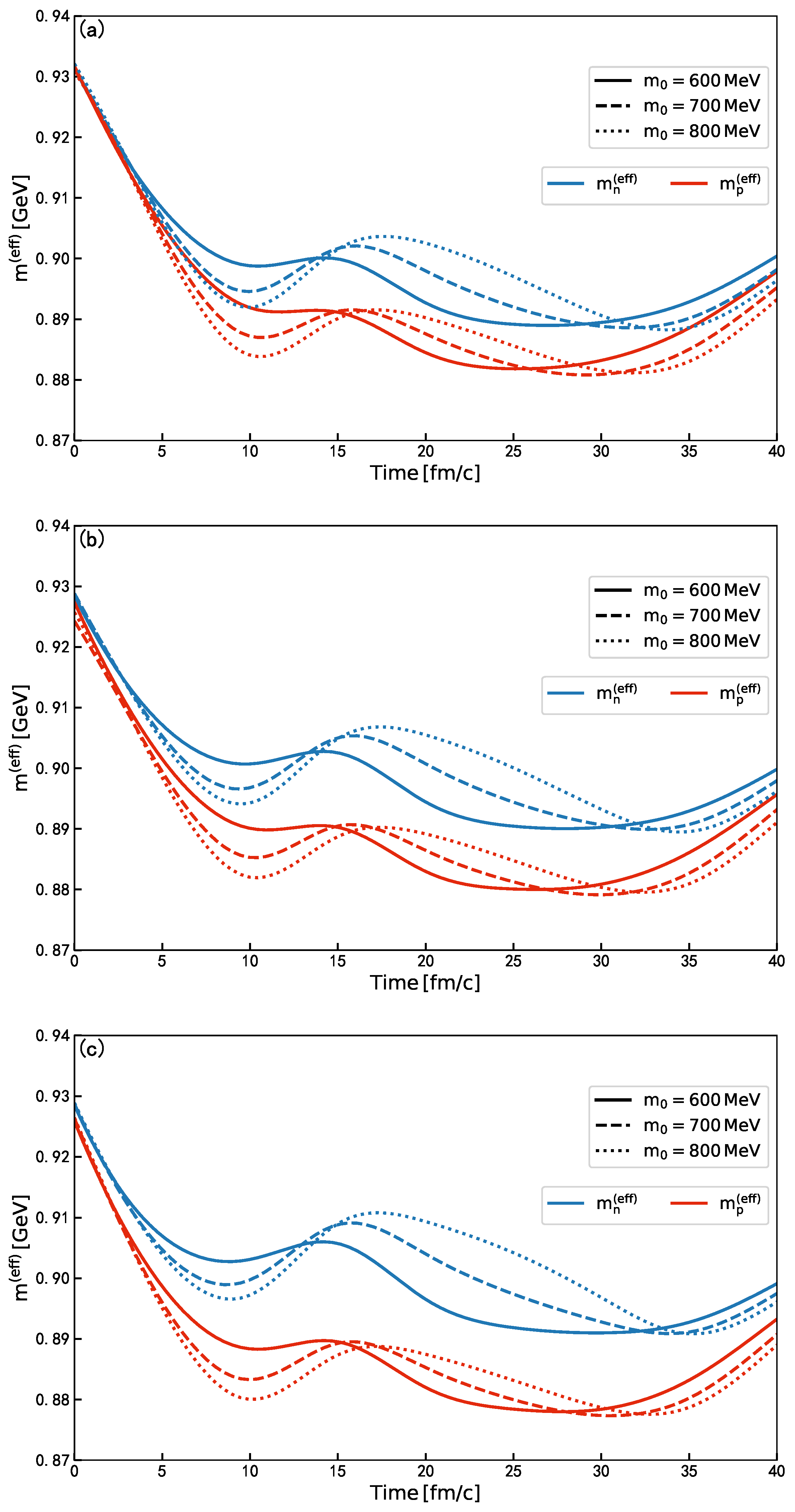
3. Results
4. Summary
Author Contributions
Funding
Data Availability Statement
Acknowledgments
Conflicts of Interest
References
- Bernard, V.; Kaiser, N.; Meissner, U.G. Chiral dynamics in nucleons and nuclei. Int. J. Mod. Phys. E 1995, 4, 193–346. [Google Scholar] [CrossRef]
- Koch, V. Introduction to chiral symmetry. arXiv 1995, arXiv:nucl-th/9512029. [Google Scholar] [CrossRef]
- Scherer, S.; Schindler, M.R. Quantum chromodynamics and chiral symmetry. Lect. Notes Phys. 2012, 830, 1–48. [Google Scholar]
- Holt, J.W.; Rho, M.; Weise, W. Chiral symmetry and effective field theories for hadronic, nuclear and stellar matter. Phys. Rept. 2016, 621, 2–75. [Google Scholar] [CrossRef]
- DeTar, C.E.; Kunihiro, T. Linear σ Model with Parity Doubling. Phys. Rev. D 1989, 39, 2805. [Google Scholar] [CrossRef]
- Jido, D.; Oka, M.; Hosaka, A. Chiral symmetry of baryons. Prog. Theor. Phys. 2001, 106, 873–908. [Google Scholar] [CrossRef]
- Hatsuda, T.; Prakash, M. Parity Doubling of the Nucleon and First Order Chiral Transition in Dense Matter. Phys. Lett. B 1989, 224, 11–15. [Google Scholar] [CrossRef]
- Zschiesche, D.; Tolos, L.; Schaffner-Bielich, J.; Pisarski, R.D. Cold, dense nuclear matter in a SU(2) parity doublet model. Phys. Rev. C 2007, 75, 055202. [Google Scholar] [CrossRef][Green Version]
- Dexheimer, V.; Schramm, S.; Zschiesche, D. Nuclear matter and neutron stars in a parity doublet model. Phys. Rev. C 2008, 77, 025803. [Google Scholar] [CrossRef]
- Sasaki, C.; Mishustin, I. Thermodynamics of dense hadronic matter in a parity doublet model. Phys. Rev. C 2010, 82, 035204. [Google Scholar] [CrossRef]
- Gallas, S.; Giacosa, F.; Pagliara, G. Nuclear matter within a dilatation-invariant parity doublet model: The role of the tetraquark at nonzero density. Nucl. Phys. A 2011, 872, 13–24. [Google Scholar] [CrossRef]
- Steinheimer, J.; Schramm, S.; Stocker, H. The hadronic SU(3) Parity Doublet Model for Dense Matter, its extension to quarks and the strange equation of state. Phys. Rev. C 2011, 84, 045208. [Google Scholar] [CrossRef]
- Paeng, W.G.; Lee, H.K.; Rho, M.; Sasaki, C. Interplay between ω-nucleon interaction and nucleon mass in dense baryonic matter. Phys. Rev. D 2013, 88, 105019. [Google Scholar] [CrossRef]
- Benic, S.; Mishustin, I.; Sasaki, C. Effective model for the QCD phase transitions at finite baryon density. Phys. Rev. D 2015, 91, 125034. [Google Scholar] [CrossRef]
- Motohiro, Y.; Kim, Y.; Harada, M. Asymmetric nuclear matter in a parity doublet model with hidden local symmetry. Phys. Rev. C 2015, 92, 025201. [Google Scholar] [CrossRef]
- Mukherjee, A.; Steinheimer, J.; Schramm, S. Higher-order baryon number susceptibilities: Interplay between the chiral and the nuclear liquid-gas transitions. Phys. Rev. C 2017, 96, 025205. [Google Scholar] [CrossRef]
- Takeda, Y.; Kim, Y.; Harada, M. Catalysis of partial chiral symmetry restoration by Δ matter. Phys. Rev. C 2018, 97, 065202. [Google Scholar] [CrossRef]
- Marczenko, M.; Sasaki, C. Net-baryon number fluctuations in the Hybrid Quark-Meson-Nucleon model at finite density. Phys. Rev. D 2018, 97, 036011. [Google Scholar] [CrossRef]
- Mun, M.H.; Shin, I.J.; Paeng, W.G.; Harada, M.; Kim, Y. Nuclear structure in parity doublet model. Eur. Phys. J. A 2023, 59, 149. [Google Scholar] [CrossRef]
- Yamazaki, T.; Harada, M. Constraint to chiral invariant masses of nucleons from GW170817 in an extended parity doublet model. Phys. Rev. C 2019, 100, 025205. [Google Scholar] [CrossRef]
- Minamikawa, T.; Kojo, T.; Harada, M. Quark-hadron crossover equations of state for neutron stars: Constraining the chiral invariant mass in a parity doublet model. Phys. Rev. C 2021, 103, 045205. [Google Scholar] [CrossRef]
- Kim, M.; Jeon, S.; Kim, Y.M.; Kim, Y.; Lee, C.H. Extended parity doublet model with a new transport code. Phys. Rev. C 2020, 101, 064614. [Google Scholar] [CrossRef]
- Wolter, H.; Colonna, M.; Cozma, D.; Danielewicz, P.; Ko, C.M.; Kumar, R.; Ono, A.; Tsang, M.B.; Xu, J.; Zhang, Y.; et al. Transport model comparison studies of intermediate-energy heavy-ion collisions. Prog. Part. Nucl. Phys. 2022, 125, 103962. [Google Scholar] [CrossRef]
- Xu, J.; Wolter, H.; Colonna, M.; Cozma, M.D.; Danielewicz, P.; Ko, C.M.; Ono, A.; Tsang, M.B.; Zhang, Y.-X.; Cheng, H.; et al. Comparing pion production in transport simulations of heavy-ion collisions at 270A MeV under controlled conditions. Phys. Rev. C 2024, 109, 044609. [Google Scholar] [CrossRef]
- Ono, A.; Xu, J.; Colonna, M.; Danielewicz, P.; Ko, C.M.; Tsang, M.B.; Wang, Y.-J.; Wolter, H.; Zhang, Y.-X.; Chen, L.; et al. Comparison of heavy-ion transport simulations: Collision integral with pions and Δ resonances in a box. Phys. Rev. C 2019, 100, 044617. [Google Scholar] [CrossRef]
- Jhang, G.; Estee, J.; Barney, J.; Cerizza, G.; Kaneko, M.; Lee, J.W.; Lynch, W.G.; Isobe, T.; Kurata-Nishimura, M.; Murakami, T.; et al. Symmetry energy investigation with pion production from Sn+Sn systems. Phys. Lett. B 2021, 813, 136016. [Google Scholar] [CrossRef]
- Kim, M.; Lee, C.H.; Kim, Y.; Jeon, S. Introduction to the DaeJeon Boltzmann-Uehling-Uhlenbeck (DJBUU) Project. Sae Mulli 2016, 66, 1563–1570. [Google Scholar] [CrossRef]
- Bando, M.; Kugo, T.; Yamawaki, K. Nonlinear Realization and Hidden Local Symmetries. Phys. Rept. 1988, 164, 217–314. [Google Scholar] [CrossRef]
- Harada, M.; Yamawaki, K. Hidden local symmetry at loop: A New perspective of composite gauge boson and chiral phase transition. Phys. Rept. 2003, 381, 1–233. [Google Scholar] [CrossRef]
- Song, T.; Ko, C.M. Modifications of the pion-production threshold in the nuclear medium in heavy ion collisions and the nuclear symmetry energy. Phys. Rev. C 2015, 91, 014901. [Google Scholar] [CrossRef]
- Kim, M.; Kim, Y.; Jeon, S.; Lee, C.H. Pion Productions with Isospin-Dependent In-Medium Cross Sections. Universe 2022, 8, 564. [Google Scholar] [CrossRef]
- Schulze, H.J.; Schnell, A.; Röpke, G.; Lombardo, U. Nucleon-nucleon cross sections in nuclear matter. Phys. Rev. C 1997, 55, 3006. [Google Scholar] [CrossRef]
- Persram, D.; Gale, C. Elliptic flow in intermediate energy heavy ion collisions and in-medium effects. Phys. Rev. C 2002, 65, 064611. [Google Scholar] [CrossRef]
- Li, B.A.; Chen, L.W. Nucleon-nucleon cross sections in neutron-rich matter and isospin transport in heavy-ion reactions at intermediate energies. Phys. Rev. C 2005, 72, 064611. [Google Scholar] [CrossRef]
- Cozma, M.D.; Tsang, M.B. In-medium Δ(1232) potential, pion production in heavy-ion collisions and the symmetry energy. Eur. Phys. J. A 2021, 57, 309. [Google Scholar] [CrossRef]
- Liu, B.; Greco, V.; Baran, V.; Colonna, M.; Toro, M.D. Asymmetric nuclear matter: The role of the isovector scalar channel. Phys. Rev. C 2002, 65, 045201. [Google Scholar] [CrossRef]




| 600 | 700 | 800 | |
|---|---|---|---|
| 14.836 | 14.171 | 13.349 | |
| 8.427 | 7.762 | 6.941 | |
| 9.132 | 7.305 | 5.660 | |
| 3.927 | 4.065 | 4.149 | |
| 39.367 | 24.584 | 22.578 | |
| 411.299 | 385.805 | 330.44 | |
| 15.344 | 13.540 | 8.683 |
| 132Sn + 124Sn | 112Sn + 124Sn | 108Sn + 112Sn | |||||||
|---|---|---|---|---|---|---|---|---|---|
| SR | SR | SR | |||||||
| 600 | 1.873 | 0.417 | 4.48 | 1.327 | 0.460 | 2.89 | 0.954 | 0.488 | 1.954 |
| (0.013) | (0.005) | (0.065) | (0.010) | (0.006) | (0.045) | (0.008) | (0.006) | (0.030) | |
| 700 | 1.375 | 0.293 | 4.696 | 0.952 | 0.326 | 2.919 | 0.709 | 0.351 | 2.019 |
| (0.011) | (0.005) | (0.087) | (0.010) | (0.005) | (0.054) | (0.007) | (0.005) | (0.034) | |
| 800 | 0.991 | 0.207 | 4.786 | 0.718 | 0.240 | 2.989 | 0.519 | 0.269 | 1.928 |
| (0.008) | (0.004) | (0.095) | (0.008) | (0.004) | (0.066) | (0.006) | (0.005) | (0.040) | |
| Exp. | 0.603 | 0.131 | 4.60 | - | - | - | 0.349 | 0.186 | 1.89 |
| (0.02) | (0.005) | (0.011) | - | - | - | (0.012) | (0.008) | (0.004) | |
| C | 132Sn + 124Sn | 108Sn + 112Sn | |||||
|---|---|---|---|---|---|---|---|
| SR | SR | ||||||
| 3.0 | 600 | 1.328 | 0.269 | 4.937 | 0.633 | 0.394 | 1.606 |
| (0.030) | (0.016) | (0.322) | (0.017) | (0.018) | (0.086) | ||
| 700 | 0.915 | 0.174 | 5.258 | 0.482 | 0.222 | 2.171 | |
| (0.027) | (0.016) | (0.058) | (0.010) | (0.012) | (0.126) | ||
| 800 | 0.719 | 0.124 | 5.798 | 0.349 | 0.173 | 2.017 | |
| (0.027) | (0.013) | (0.65) | (0.015) | (0.011) | (0.156) | ||
| 3.2 | 600 | 1.152 | 0.234 | 4.923 | 0.623 | 0.305 | 2.042 |
| (0.024) | (0.113) | (0.258) | (0.023) | (0.015) | (0.130) | ||
| 700 | 0.787 | 0.177 | 4.446 | 0.425 | 0.203 | 2.093 | |
| (0.011) | (0.013) | (0.332) | (0.021) | (0.009) | (0.143) | ||
| 800 | 0.579 | 0.130 | 4.454 | 0.297 | 0.160 | 1.856 | |
| (0.025) | (0.014) | (0.053) | (0.014) | (0.011) | (0.106) | ||
| Exp. | – | 0.603 | 0.131 | 4.60 | 0.349 | 0.186 | 1.89 |
| (0.02) | (0.005) | (0.011) | (0.012) | (0.008) | (0.004) | ||
Disclaimer/Publisher’s Note: The statements, opinions and data contained in all publications are solely those of the individual author(s) and contributor(s) and not of MDPI and/or the editor(s). MDPI and/or the editor(s) disclaim responsibility for any injury to people or property resulting from any ideas, methods, instructions or products referred to in the content. |
© 2025 by the authors. Licensee MDPI, Basel, Switzerland. This article is an open access article distributed under the terms and conditions of the Creative Commons Attribution (CC BY) license (https://creativecommons.org/licenses/by/4.0/).
Share and Cite
Zhou, J.; Kim, K.; Jeon, S.; Xu, J.; Kim, Y. Pion Production in an Extended Parity Doublet Model. Symmetry 2025, 17, 2155. https://doi.org/10.3390/sym17122155
Zhou J, Kim K, Jeon S, Xu J, Kim Y. Pion Production in an Extended Parity Doublet Model. Symmetry. 2025; 17(12):2155. https://doi.org/10.3390/sym17122155
Chicago/Turabian StyleZhou, Jia, Kyungil Kim, Sangyong Jeon, Jun Xu, and Youngman Kim. 2025. "Pion Production in an Extended Parity Doublet Model" Symmetry 17, no. 12: 2155. https://doi.org/10.3390/sym17122155
APA StyleZhou, J., Kim, K., Jeon, S., Xu, J., & Kim, Y. (2025). Pion Production in an Extended Parity Doublet Model. Symmetry, 17(12), 2155. https://doi.org/10.3390/sym17122155

