Simulation Method Improvement of Confined Concrete Box Steel Arch Supports in Soft Rock Tunnels
Abstract
1. Introduction
2. Theoretical Foundation of the Improved Simulation Method
- 1.
- The neutral axis position under the elastic limit load of the compression–bending member is the same as that at the formation of the plastic hinge, and the plane cross-section assumption holds.
- 2.
- The full-section plasticity criterion is adopted, meaning that at the ultimate state, both steel and concrete have reached their maximum material strength. The compressive force is shared by both concrete and steel, while the tensile force is carried solely by the steel. The stress is distributed in a rectangular pattern across the section.
- 3.
- The tensile and compressive yield limits of steel are taken as the yield strength of the steel, while the compressive yield limit of the core concrete is taken as the compressive strength of the concrete cylinder.
3. Design and Implementation of the Improved Simulation Method
3.1. Limitations of the Existing Simulation Elements
3.2. Design Concept of Improved Simulation Method
3.3. Implementation of Improved Simulation Method
- a.
- Parameter Configuration and Function Initialization
- b.
- Structural Element Traversal
- c.
- Axial Force and Bending Moment Non-Dimensionalization for Pile Elements
- d.
- Segmented Yield Criterion Verification and Elastic–Plastic Processing
- e.
- Loop Progression and Process Closure
4. Verification of the Improved Simulation Method
4.1. Example 1: Cantilever Beam Bending Test Verification
4.1.1. Verification Scheme Design
4.1.2. Comparison of Scheme Results
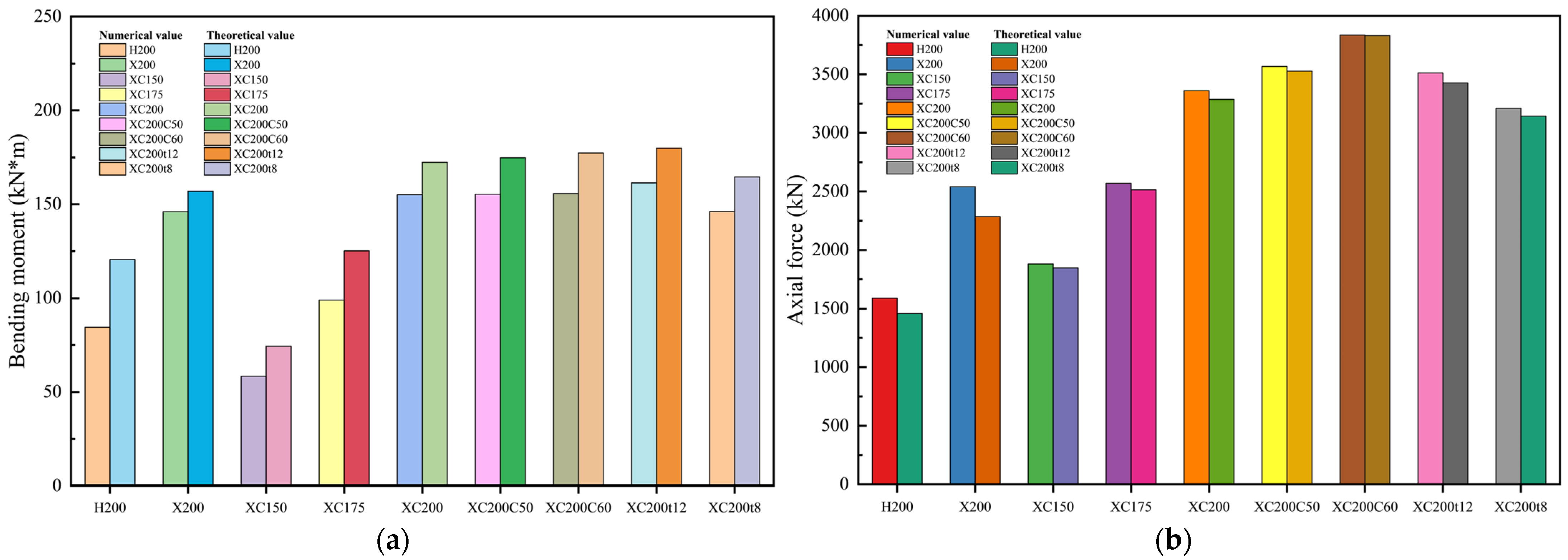
- High consistency of M-N curves: As shown in Figure 5a, the deviation in yield axial force and yield bending moment between Scheme 1 (solid element refined simulation) and Scheme 2 (improved pile element simulation) is within a controllable range. Under typical loading conditions such as pure bending and compression–bending coupling, the maximum deviation does not exceed 10%. For example, under pure bending conditions, the yield bending moment for the improved pile element simulation is 155.12 kN·m, while the solid element simulation yields 172.34 kN·m, with a deviation of 9.9%. Under the bending–axial force coupling condition (Vz/Vy = 0.5), the deviation in the yield axial force is 7.8%, and the deviation in the yield bending moment is 6.3%. The overall trends of the two curves are in complete agreement, indicating that the improved pile element can accurately capture the yield evolution law of the constrained concrete box section under combined compression–bending loads. This approach effectively avoids the defects of conventional beam elements that tend to “overestimate load-bearing capacity” or traditional pile elements that “ignore coupling effects.”
- Excellent agreement between numerical simulation points and theoretical curves: As shown in Figure 5b, the numerical simulation points from both schemes are closely distributed around the theoretical m-n curve, with no significant deviation. The test points from Scheme 2 exhibit particularly high consistency with the theoretical curve, further verifying the rationality of the derived compression–bending yield criterion and its adaptability when embedded into the pile element model. This demonstrates that the improved method can accurately realize the coupling effect between axial compression and bending moment.
4.2. Example 2: Comparative Verification of Confined Concrete Box Steel Arch Support
4.2.1. Verification Scheme Design
4.2.2. Comparison of Numerical Simulation Results
- 1.
- Comparison of Surrounding Rock Stress
- Section type has the most significant impact: The XC200 results in approximately a 5.9% reduction in maximum principal stress and about a 0.5% increase in minimum principal stress compared to H200, reflecting the stress optimization effect of the steel–concrete composite structure.
- Section size has limited impact: For XC150 to XC200, in Scheme 1, the maximum principal stress decreases from 26.499 MPa to 26.022 MPa (a 1.8% reduction), while in Scheme 2, it decreases from 27.457 MPa to 27.576 MPa. The minimum principal stress fluctuation is < 0.1%.
- Concrete strength and sealing plate thickness have minimal impact: For C40 to C60 and t8 to t12, the stress difference between the two schemes is less than 0.2%, contributing little to the overall optimization of the stress field.
- 2.
- Comparison of Surrounding Rock Deformation
- Section type is the dominant factor: The surrounding rock’s maximum displacement with the XC200 arch is reduced by approximately 28.3–18.7% compared with the H200 section.
- Increasing section size is beneficial: From XC150 to XC200, the deformation in Scheme 1 decreases from 37.07 mm to 28.15 mm (a 24.0% reduction), while in Scheme 2 it decreases from 37.11 mm to 31.68 mm (a 14.6% reduction).
- Concrete strength and sealing plate thickness have minor effects: For C40 to C60 and t8 to t12, the reduction in deformation is less than 3%, indicating that these parameters are not the primary factors controlling deformation.
- 3.
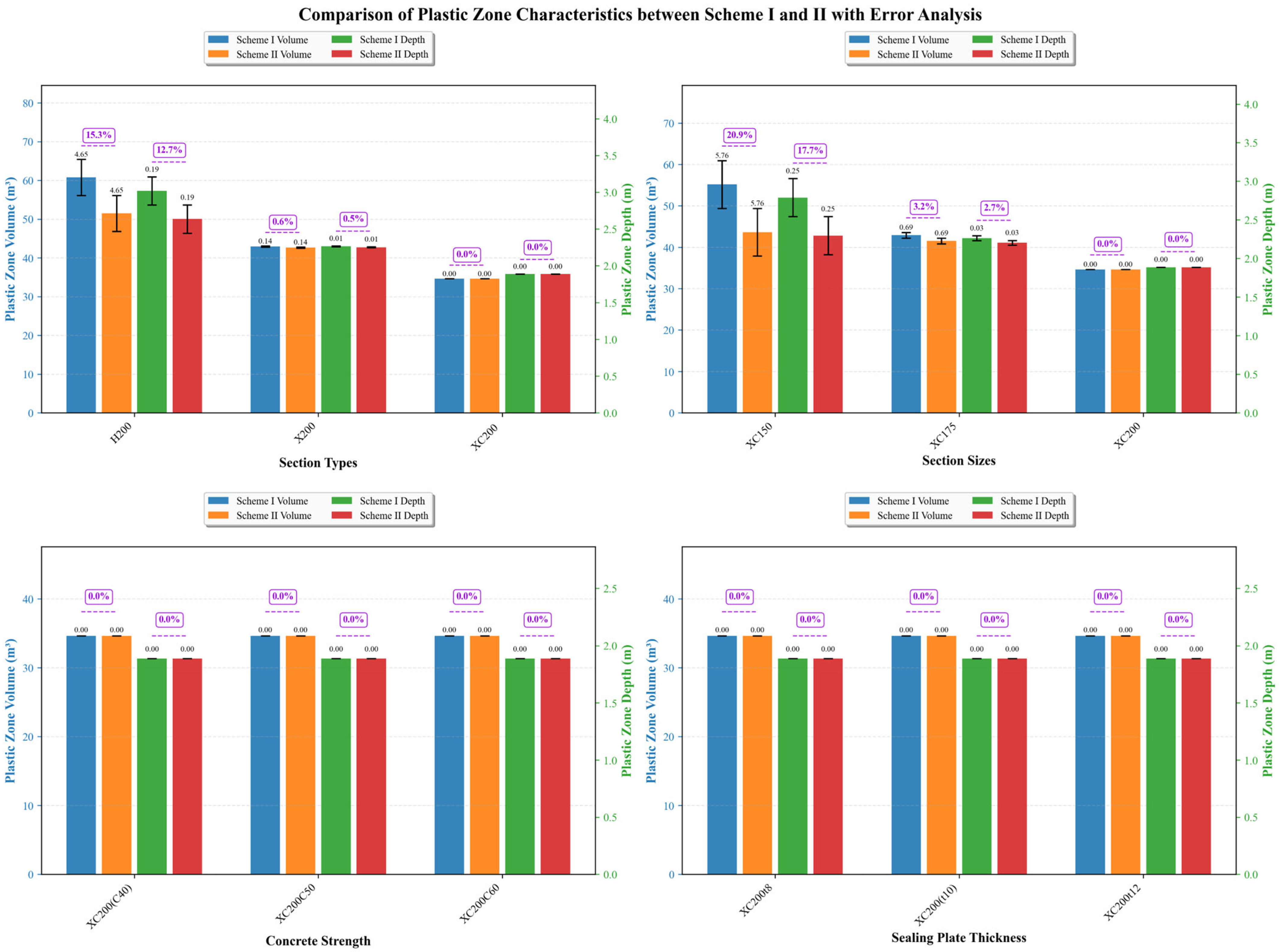
- Comparison of the Plastic Zone of Surrounding Rock
- Section type determines the plastic zone range: The plastic zone volume of the XC200 arch (34.64 m3) is reduced by 43.0–32.7% compared to H200 (Scheme 1: 60.79 m3, Scheme 2: 51.48 m3), with the plastic zone depth decreasing from 3.02 m to 1.89 m. The double-chamber structure of the box section (XC200) enables more uniform confinement of the core concrete, enhancing the cooperative compression-bearing efficiency of steel and concrete. Compared with the H-shaped steel arch (H200), it exhibits a 37% increase in section moment of inertia and a 52% improvement in torsional stiffness, thereby more effectively restricting the plastic expansion of the surrounding rock.
- Smaller section size increases scheme differences: The plastic zone volume difference rate for XC150 (20.89%) is much larger than that for XC200 (0%), indicating that larger section arches are less sensitive to the “simulated scheme” and have better stability. The weak synergy effect between the small-section steel and concrete, along with low stiffness and load-bearing redundancy, leads to the amplification of simulation simplification errors.
- Concrete strength and sealing plate thickness have no impact: For C40 to C60 and t8 to t12, the plastic zone volume (34.64 m3) and depth (1.89 m) remain unchanged, indicating that these factors are not key in controlling the plastic zone.
5. Conclusions
- (1)
- The steel–concrete composite compression–bending yield criterion, derived based on the plane section assumption and the full-section plasticity criterion, accurately describes the compression–bending bearing behavior of confined concrete box steel sections. This criterion enables the coupled representation of axial force and bending moment. Verification through cantilever beam compression-bending tests shows that the numerical simulation points are in high agreement with the theoretical m-n curve. Under typical conditions, such as pure bending and compression–bending coupling, and in typical loading scenarios such as pure bending and bending–axial force coupling, the deviation between the yield axial force, bending moment, and the solid element simulation is ≤10%, effectively addressing the limitations of traditional criteria that neglect the steel–concrete interaction or the compression–bending coupling relationship.
- (2)
- Using the Fish language in FLAC3D, the compression–bending yield criterion was integrated into an improved pile element, successfully overcoming the traditional “accuracy–efficiency” imbalance in simulation elements. This element automates the real-time determination of the section’s stress state, avoiding the overestimation of bearing capacity in beam elements and overcoming the issues of redundant mesh and computational time in solid elements. Compared with solid elements, the improved pile element’s simulation results showed a maximum principal stress difference of less than 6%, a maximum displacement difference of less than 13%, and a plastic zone volume difference of less than 21%, fully meeting engineering design accuracy requirements. Moreover, the mesh quantity is only 5.5% of the solid element, and the computation time has been reduced from 14 h to 20 min, achieving a more than 40-fold improvement in efficiency.
- (3)
- The improved simulation method clarifies the influence of confined concrete box steel arch support parameters on the stability of surrounding rock in deeply buried soft rock tunnels, providing clear directions for support scheme optimization. The study finds that the section type has the most significant impact on the surrounding rock control. The XC200 confined concrete box steel arch support reduces the maximum displacement of the surrounding rock by 18.7% to 28.3% and decreases the plastic zone volume by 32.7% to 43.0% compared to the H200 steel arch. Increasing the section size further enhances the support effect, with a reduction in surrounding rock deformation by 14.6% to 24.0% when the section changes from XC150 to XC200. Meanwhile, the concrete strength and the sealing plate thickness have a minimal impact on the surrounding rock control and are not key parameters for controlling the stability of the surrounding rock.
Author Contributions
Funding
Data Availability Statement
Acknowledgments
Conflicts of Interest
Nomenclature
| Variable | Explain |
| Nu | The axial compression limit bearing capacity |
| Mu | The pure bending limit bearing capacity |
| h0 | The neutral axis |
| h1 | Neutral axis position for pure bending |
| h | Box steel cross-section height |
| b | Box steel cross-section width |
| σs | Tensile–compressive yield limit of steel |
| σc | The compressive yield limit of concrete |
| N | The axial force |
| M | The bending moment |
| n | Non-dimensionalized axis force, n = N/Nu |
| m | Non-dimensionalized bending moment, m = M/Mu |
| t1 | Flange plate thickness |
| t2 | Sealing plate thickness |
| t3 | Spacing thickness |
References
- Sun, J.; Wang, S. Rock mechanics and rock engineering in China: Developments and current state-of-the-art. Int. J. Rock Mech. Min. Sci. 2000, 37, 447–465. [Google Scholar] [CrossRef]
- He, M.; Xie, H.; Peng, S.; Jiang, Y. Study on rock mechanics in deep mining engineering. J. Rock Mech. Eng. 2005, 24, 2803–2813. [Google Scholar]
- Xie, H.; Feng, G.; Yang, J. Research and development of rock mechanics in deep ground engineering. Chin. J. Rock Mech. Eng. 2015, 34, 2161–2178. [Google Scholar]
- Wang, Q.I.; Jiang, B.; Pan, R.; Li, S.-C.; He, M.-C.; Sun, H.-B.; Qin, Q.; Yu, H.-C.; Luan, Y.-C. Failure mechanism of surrounding rock with high stress and confined concrete support system. Int. J. Rock Mech. Min. Sci. 2018, 102, 89–100. [Google Scholar] [CrossRef]
- Huang, W.P.; Yuan, Q.; Tan, Y.L.; Wang, J.; Liu, G.L.; Qu, G.L.; Li, C. An innovative support technology employing a concrete-filled steel tubular structure for a 1000-m-deep roadway in a high in situ stress field. Tunn. Undergr. Space Technol. 2018, 73, 26–36. [Google Scholar] [CrossRef]
- Wang, B.; Yang, Y.; Zhou, J.; Li, F.; Xu, H.; Liu, C. Deformation control technology of open TBM tunnel surrounding rock in high-stress soft rock strata—Taking Xianglushan Tunnel as an example. Tunn. Constr. (Chin. Engl.) 2024, 44, 341–348. [Google Scholar]
- Kitamura, A. Technical development for the Seikan tunnel. Tunn. Undergr. Space Technol. 1986, 1, 341–349. [Google Scholar] [CrossRef]
- Wang, Y.; Yang, S.; Han, L.; Liu, Y.; Xue, B.; Li, J. Application research on composite support technology of concrete-filled steel tube support in high stress and large deformation soft rock roadway: A case study. Structures 2024, 60, 105814. [Google Scholar] [CrossRef]
- Su, L.W.; Zang, D. Model Test Study on the Working Performance of Concrete-filled Steel Tube Support Components. J. Undergr. Space Eng. 2005, 3, 397–400. [Google Scholar]
- Gao, Y.F.; Wang, B.; Wang, J.; Li, B.; Xing, F.; Wang, Z.G.; Jin, T.L. Test on structural property and application of concrete-filled steel tube support of deep mine and soft rock roadway. Chin. J. Rock Mech. Eng. 2010, 29, 2604–2609. [Google Scholar]
- Wang, Q.; Jiang, B.; Li, S.C.; Wang, H.P.; Li, W.T.; Li, Z. Supporting effect and economic benefit analysis on new type concrete-filled steel tube supports. Adv. Mater. Res. 2011, 160, 608–613. [Google Scholar] [CrossRef]
- Wang, Q.; Luan, Y.; Jiang, B.; Li, S.C.; Yu, H.C. Mechanical behaviour analysis and support system field experiment of confined concrete arches. J. Cent. South Univ. 2019, 26, 970–983. [Google Scholar] [CrossRef]
- Huang, S.; Wang, X. Bearing characteristics of Confined concrete box steel arch support in Soft Rock tunnels. J. Yangtze River Sci. Res. Inst. 2025, 42, 1–8. [Google Scholar]
- Han, L.H. Theory of Concrete-Filled Steel Tubular Structures; Springer: Berlin/Heidelberg, Germany, 2024. [Google Scholar]
- Zhang, W.; Li, W.; Yang, N.; Wang, Q.; Li, T.; Wang, G. Determination of the bearing capacity of a concrete-filled steel tubular arch support for tunnel engineering: Experimental and theoretical studies. KSCE J. Civ. Eng. 2017, 21, 2932–2945. [Google Scholar] [CrossRef]
- Wang, Y.; Lin, H.; Lai, Z.; Li, D.; Zhou, W.; Yang, X. Flexural behavior of high-strength rectangular concrete-filled steel tube members. J. Struct. Eng. 2022, 148, 04021230. [Google Scholar] [CrossRef]
- Elchalakani, M.; Karrech, A.; Hassanein, M.F.; Yang, B. Plastic and yield slenderness limits for circular concrete filled tubes subjected to static pure bending. Thin-Walled Struct. 2016, 109, 50–64. [Google Scholar] [CrossRef]
- Li, W.; Yang, N.; Li, T.; Zhang, Y.; Wang, G. A new approach to simulate the supporting arch in a tunnel based on improvement of the beam element in FLAC3D. J. Zhejiang Univ.-Sci. A 2017, 18, 179–193. [Google Scholar] [CrossRef]
- Li, W.; Yang, N.; Yang, B.; Ma, H.; Li, T.; Wang, Q.; Wang, G.; Du, Y.; Zhao, M. An improved numerical simulation approach for arch-bolt supported tunnels with large deformation. Tunn. Undergr. Space Technol. 2018, 77, 1–12. [Google Scholar] [CrossRef]
- Mitri, H.S.; Khan, U.H. Design guidelines for steel arch supports in underground mining. Min. Sci. Technol. 1991, 13, 37–44. [Google Scholar] [CrossRef]
- Boresi, A.P.; Schmidt, R.J. Advanced Mechanics of Materials; John Wiley & Sons: Hoboken, NJ, USA, 2002. [Google Scholar]
- JGJ/T 471–2019; Technical Standard for Concrete-Filled Steel Tube Confined Structures. China Architecture & Building Press: Beijing, China, 2019.
- CECS 28:2012; Technical Specification for Concrete-Filled Steel Tubular Structures. China Planning Press: Beijing, China, 2012.
- Shiau, J.S.; Lyamin, A.V.; Sloan, S.W. Bearing capacity of a sand layer on clay by finite element limit analysis. Can. Geotech. J. 2003, 40, 900–915. [Google Scholar] [CrossRef]
- Sloan, S.W.; Randolph, M.F. Numerical prediction of collapse loads using finite element methods. Int. J. Numer. Anal. Methods Geomech. 1982, 6, 47–76. [Google Scholar] [CrossRef]
- GB/T 50017–2017; Code for Design of Steel Structures. China Architecture & Building Press: Beijing, China, 2017.










| Element Type | Definable Parameters | Advantages | Disadvantages |
|---|---|---|---|
| Beam | Plastic Bending Moment | Simple Modeling, Fast Calculation | No Axial Compression Limit, Large Error |
| Solid | Young, Poisson | Detailed Simulation, High Accuracy | Complex Modeling, Numerous Meshes, Long Calculation Time |
| Default Pile | Axial Compression Limit, Plastic Bending Moment | Simple Modeling, Fast Calculation | Linear Elastic Constitutive Model, Large Error |
| Category | Material | Constitutive Model | Main Parameter Values (Base Units: m, Pa, N) | |||||
|---|---|---|---|---|---|---|---|---|
| Scheme I | Core Concrete | Concrete [23] | Young | Compressive Strength | Tensile Strength | |||
| 32.5 × 106 | 26.8 × 106 | 2.39 × 106 | ||||||
| Steel | Von Mises [26] | Young | Yield Strength | |||||
| 206 × 109 | 235 × 106 | |||||||
| Scheme II | Confined Concrete Box Steel Arch Support | Improved Pile | Young | Cross-sectional area | Poisson’s ratio | |||
| 747 × 108 | 4 × 10−2 | 0.3 | ||||||
| Y-axis moment of inertia | Z-axis moment of inertia | Polar moment of inertia | ||||||
| 1.33 × 10−4 | 1.33 × 10−4 | 2.66 × 10−4 | ||||||
| Shear (normal) cohesion | Shear (normal) internal friction angle | Shear (normal) stiffness | ||||||
| 1 × 1011 | 45 | 1 × 1011 | ||||||
| Yield axial force | Yield bending moment | |||||||
| 3285.06 × 103 | 172.34 × 103 | |||||||
| The bending yield criterion of XC200 | ||||||||
| Category | Material | Constitutive Model | Main Parameter Values (Base Units: m, Pa, N) | |||||
|---|---|---|---|---|---|---|---|---|
| Scheme I and II | Surrounding Rock | Mohr–Coulomb Model | Young | Cohesion | Friction | |||
| 5.06 × 109 | 0.6 × 106 | 36.86 | ||||||
| Scheme I and II | Shotcrete Layer | Concrete | Young | Compressive Strength | Tensile Strength | |||
| 28 × 109 | 16.7 × 106 | 1.78 × 106 | ||||||
| Scheme I | Core Concrete | Concrete | Young | Compressive Strength | Tensile Strength | |||
| 32.5 × 106 | 26.8 × 106 | 2.39 × 106 | ||||||
| Scheme I | Steel | Von Mises | Young | Yield Strength | ||||
| 206 × 109 | 235 × 106 | |||||||
| Scheme II | Confined Concrete Box Steel Arch Support | Improved Pile | According to the Parameters of Compression-Bending Yield Criterion | |||||
Disclaimer/Publisher’s Note: The statements, opinions and data contained in all publications are solely those of the individual author(s) and contributor(s) and not of MDPI and/or the editor(s). MDPI and/or the editor(s) disclaim responsibility for any injury to people or property resulting from any ideas, methods, instructions or products referred to in the content. |
© 2025 by the authors. Licensee MDPI, Basel, Switzerland. This article is an open access article distributed under the terms and conditions of the Creative Commons Attribution (CC BY) license (https://creativecommons.org/licenses/by/4.0/).
Share and Cite
Wang, X.; Huang, S.; Ding, X.; Zhang, Y.; Liu, D.; Han, G. Simulation Method Improvement of Confined Concrete Box Steel Arch Supports in Soft Rock Tunnels. Symmetry 2025, 17, 2076. https://doi.org/10.3390/sym17122076
Wang X, Huang S, Ding X, Zhang Y, Liu D, Han G. Simulation Method Improvement of Confined Concrete Box Steel Arch Supports in Soft Rock Tunnels. Symmetry. 2025; 17(12):2076. https://doi.org/10.3390/sym17122076
Chicago/Turabian StyleWang, Xiangxiang, Shuling Huang, Xiuli Ding, Yuting Zhang, Dengxue Liu, and Gang Han. 2025. "Simulation Method Improvement of Confined Concrete Box Steel Arch Supports in Soft Rock Tunnels" Symmetry 17, no. 12: 2076. https://doi.org/10.3390/sym17122076
APA StyleWang, X., Huang, S., Ding, X., Zhang, Y., Liu, D., & Han, G. (2025). Simulation Method Improvement of Confined Concrete Box Steel Arch Supports in Soft Rock Tunnels. Symmetry, 17(12), 2076. https://doi.org/10.3390/sym17122076
