Next Article in Journal
Symmetry-Aware EKV-Based Metaheuristic Optimization of CMOS LC-VCOs for Low-Phase-Noise Applications
Previous Article in Journal
Dynamic Behavior of Remolded Saline Soil Under Dual Symmetric Factors: Cyclic Loading and Freeze–Thaw Cycles
 
 
Font Type:
Arial Georgia Verdana
Font Size:
Aa Aa Aa
Line Spacing:
Column Width:
Background:
Article

Enhancing Anti-Lock Braking System Performance Using Fuzzy Logic Control Under Variable Friction Conditions

by
Gehad Ali Abdulrahman Qasem
1,
Mohammed Fadhl Abdullah
1,2,
Mazen Farid
3,4,* and
Yaser Awadh Bakhuraisa
5,6
1
Mechatronics Engineering Department, Faculty of Engineering and Computing, University of Science & Technology, Aden, Yemen
2
Faculty of Engineering, University of Aden, Aden, Yemen
3
Faculty of Information Science and Technology (FIST), Multimedia University, Melaka 75450, Malaysia
4
Centre for Intelligent Cloud Computing, COE for Advanced Cloud, Multimedia University, Melaka 75450, Malaysia
5
Faculty of Engineering and Technology, Multimedia University, Jalan Ayer Keroh Lama, Melaka 75450, Malaysia
6
Engineering Science Department, Seiyun Community College, Seiyun, Hadhramaut, Yemen
*
Author to whom correspondence should be addressed.
Symmetry 2025, 17(10), 1692; https://doi.org/10.3390/sym17101692
Submission received: 19 August 2025 / Revised: 17 September 2025 / Accepted: 19 September 2025 / Published: 9 October 2025

Abstract

Anti-lock braking systems (ABSs) play a vital role in vehicle safety by preventing wheel lockup and maintaining stability during braking. However, their performance is strongly affected by variations in tire–road friction, which often limits the effectiveness of conventional controllers. This research proposes and evaluates a fuzzy logic controller (FLC)-based ABS using a quarter-vehicle model and the Burckhardt tire–road interaction, implemented in MATLAB/Simulink. Two input variables (slip error and slip rate) and one output variable (brake pressure adjustment) were defined, with triangular and trapezoidal membership functions and 15 linguistic rules forming the control strategy. Simulation results under diverse road conditions—including dry asphalt, concrete, wet asphalt, snow, and ice—demonstrate substantial performance gains. On high- and medium-friction surfaces, stopping distance and stopping time were reduced by more than 30–40%, while improvements of up to 25% were observed on wet surfaces. Even on snow and ice, the system maintained consistent, albeit modest, benefits. Importantly, the proposed FLC–ABS was benchmarked against two recent studies: one reporting that an FLC reduced stopping distance to 258 m in 15 s compared with 272 m in 15.6 s using PID, and another where PID outperformed an FLC, achieving 130.21 m in 9.67 s against 280.03 m in 16.76 s. In contrast, our system achieved a stopping distance of only 24.41 m in 7.87 s, representing over a 90% improvement relative to both studies. These results confirm that the proposed FLC–ABS not only demonstrates clear numerical superiority but also underscores the importance of rigorous modeling and systematic controller design, offering a robust and effective solution for improving braking efficiency and vehicle safety across diverse road conditions.

1. Introduction

Anti-lock braking systems (ABSs) are crucial for automotive safety, preventing wheel lockup and maintaining vehicle control. However, unpredictable road conditions, particularly variations in the friction coefficient between tires and road surfaces, can hinder their effectiveness, compromising driver and other road users’ safety. Traditional ABS control strategies, based on predetermined thresholds, often struggle to adapt to dynamic environments, resulting in insufficient braking performance [1].
Traditional threshold-based ABS controllers are constructed with set slip ratio limitations, making them unsuitable for fast transitions between friction conditions. Fixed thresholds on high-μ surfaces, such as dry asphalt, might cause premature brake pressure release, resulting in unnecessary lengthy stopping distances. On low-μ surfaces like snow or ice, slow pressure reduction may cause wheel locking and instability. On mixed-μ surfaces (e.g., one wheel on asphalt and another on gravel), threshold-based controllers cannot discriminate slip dynamics between wheels, compromising vehicle stability. These constraints emphasize the vital necessity for adaptive control techniques, which are validated by recent research [2,3,4,5].
The limitation in controlling friction coefficients has prompted researchers to explore more advanced control techniques. In order to improve ABS performance in the face of variable friction coefficients, this study examines the application of fuzzy logic control in an attempt to address this difficulty [2,3]. Fuzzy logic control (FLC) is a control strategy that effectively manages uncertainty and nonlinear relationships in real-world braking situations. It emulates human decision-making processes using expert knowledge and linguistic variables. FLCs capture intricate relationships between input variables like vehicle speed, wheel slip, and the friction coefficient and output control actions like braking pressure modulation. Integrating FLCs with ABSs allows for an intelligent control system that optimizes braking performance under varying friction conditions. The advantages include increased braking effectiveness, enhanced stability, and decreased stopping distances. FLC controllers can prevent excessive braking or untimely brake pressure release, enhancing vehicle safety and stability. This adaptability allows for a more sophisticated control system that can adjust braking pressure in real time based on friction coefficients, ensuring optimal grip and control across diverse conditions [4,5].
Many studies have been conducted to explore the performance of ABS controllers based on different control techniques, such as fuzzy logic, neural networks, and others, in various simulation and real-world settings. These investigations have yielded encouraging results, suggesting that any of these approaches can effectively increase ABS performance when friction coefficients change [6,7,8]. ABS speed sensors have been studied using neural networks for fault-tolerant control and defect identification. In order to offer residual signals indicating fault occurrence and severity, Abdulkareem et al. [9] presented a technique for continually producing alternative manufactured signals for sensors. These signals were then compared to actual sensor data. When a defect was discovered, the system returned to normal by isolating the false sensor signal and substituting it with the equivalent generated signal. The Levenberg–Marquardt approach was applied to train the models, yielding an accurate mapping of observed input to intended output [9]. This strategy lowers the need for particular defect detection and diagnostic modules, potentially reducing issues like missed notifications and false alarms. Furthermore, Abdulkareem et al. discovered that the K-nearest neighbor (KNN) strategy outperforms SVM and DT algorithms for detecting biasing faults in ABS speed sensors [10]. Several articles have also examined the design and analysis of a car ABS utilizing fuzzy logic, Bang-Bang, and PID controllers. These controllers’ performances were compared and studied in [11]. The potential of fuzzy logic for enhancing ABS performance has also been demonstrated by several studies. For instance, Girovsk, Peter, et al. [12] compared three braking systems: regular, threshold-based, and fuzzy controller-based.
The fuzzy controller-based ABS outperformed the others in terms of braking distance, stability, and maneuverability on both dry and wet roads, demonstrating its ability to manage nonlinearities and uncertainties in braking dynamics [12]. Lakhemaru’s study found PID controllers outperform fuzzy logic and Bang-Bang techniques in braking distance and stability, while another study explored improving fuzzy logic strategies [13]. Furthermore, Ahmed, T. showed that braking performance with fuzzy logic outperformed that with PID in a controller comparison study [14]. Notably, specialized ABS laboratories have been developed to analyze controller performance exhaustively. In order to achieve quick and precise wheel-slip monitoring, eliminate oscillations, and reduce braking distance, Agwah and Eze [15] developed an intelligent controller for ABS directed towards wheel slide. The results of the simulation proved that a standard ABS without controllers cannot effectively control the desired amount of wheel slip. We improved performance by eliminating steady-state error and high-frequency noise using an FLC with a variable zero-lag compensator (VZLC). This led to a decrease in stopping distance on different types of road surfaces [15].
Hamzah et al. [16] proposed a methodology integrating integral sliding mode control with a barrier function to enhance the performance of anti-lock braking systems (ABSs). This approach effectively manages disturbances and system uncertainties without prior knowledge of their upper bounds. MATLAB/Simulink simulations demonstrated its effectiveness across various road conditions [16]. Kang et al. [17] introduced an Adaptive Multi-Layer ABS Control (AMABC) method that combines fuzzy logic with pressure optimization, achieving up to a 24% reduction in braking time under different road conditions. Despite its effectiveness, the system requires manual adjustment, and automated road condition detection is suggested for future improvements [17]. Several works have investigated the difficulty of visualizing optimization processes in ABS control while developing novel strategies to increase the performance. Jennan and Mellouli [18] developed an enhanced ABS control strategy combining fixed-time sliding mode control (SMC), Takagi–Sugeno fuzzy logic, artificial neural networks (ANNs), and particle swarm optimization (PSO) to improve braking performance and stability, and reduce chattering. Although the computational complexity may challenge real-time implementation, simulations showed superior performance compared to traditional methods [18]. Labh et al. [19] evaluated ABS performance using Bang-Bang, fuzzy, and PID controllers. The PID controller achieved the shortest stopping time and improved slip regulation and vehicle steering. The study suggested that the fuzzy controller could be further enhanced by incorporating additional inputs such as road slope to optimize braking performance [19]. Shaout and Castaneda-Trejo [20] investigated an advanced driver-assistance system (ADAS) employing a fuzzy logic controller (FLC) to adapt braking according to road conditions, obstacle proximity, and vehicle speed. The FLC outperformed conventional crisp controllers in safety, responsiveness, and adaptability, offering a practical model for ADAS applications [20]. Gunjate, S., & Khot, D. S. A. [21] analyzed the technology used in advanced driver-assistance systems (ADASs), focusing on energy-efficient technologies like pulse-width modulation. They also examined emergency braking strategies for drivers of different abilities, using experimental data to detect potential control losses. The study suggested that better braking can be achieved by combining ABS and electronic brakeforce distribution (EBD) and optimizing performance characteristics through experimentation and simulation [21].
Jennan, N., & Mellouli, E. M. [22,23] developed the backstepping control technique for operating an anti-lock braking system, along with the Takagi–Sugeno (T-S) fuzzy logic method, by applying the Lyapunov approach to improve the system dynamics for better performance. The simulation results illustrated the accuracy of the suggested control strategy, and incorporating the fuzzy logic approach made the system control more accurate [22,23]. Also, Ma, Chi, et al. [24] introduced a hybrid controller for robust ABS design that combines sliding mode and fuzzy control. According to their simulations, this strategy eliminates nonlinearities and uncertainties while maintaining ideal slip ratios and reducing braking fluctuations [24]. Finally, failing to account for uncertainties in vehicle condition and road surface might result in inadequate braking performance. To overcome this issue, Sullivan et al. [25] developed a unique technique called Dual Control for Exploration and Exploitation (DCEE). The DCEE method combines precise state and environment estimates with exceptional braking performance. The regularized particle filter with a Markov chain Monte Carlo step is the main component of the Magic Formula tire model, which accurately estimates vehicle states and parameters. The DCEE system, evaluated through simulations, shows significant improvements over traditional ABS, with gains of up to 15% in stopping time and 8.5% in stopping distance [25]. Expanding beyond terrestrial vehicles, Kang, Song, et al. investigated the integration of fuzzy logic into an output-feedback fuzzy adaptive dynamic surface controller (FADSC) for autonomous underwater vehicles (AUVs) [26]. By incorporating fuzzy logic into both the observer and controller components, the proposed method demonstrably improved tracking accuracy, robustness to disturbances, and overall energy consumption.
In ABS systems, sensor accuracy directly determines the quality of inputs to the controller. The FLC requires precise data on wheel speed, slip ratio, and estimated friction to regulate brake pressure effectively. If a sensor delivers biased or noisy signals, the FLC may interpret the situation incorrectly: either releasing brake pressure too early, which increases stopping distance, or applying excessive pressure, which risks wheel lockup. Therefore, sensor reliability is not only a diagnostic concern but a core determinant of braking stability, stopping time, and overall ABS performance. Enhancing sensor fault detection thus directly improves the robustness of an FLC-based ABS [9,10,11].
This research focuses on addressing the existing shortcomings of conventional ABSs, which often fail to perform optimally on various road surfaces such as dry asphalt, dry concrete, wet asphalt, snow and ice, thereby compromising driver safety. Based on this, the study proposes the development of an FLC algorithm that dynamically adjusts brake pressure based on instantaneous friction coefficient data, enabling greater flexibility and adaptability to changing conditions. It also aims to evaluate the effectiveness of this system by testing it on various road types and quantitatively comparing its performance with traditional threshold-based systems using objective metrics such as stopping distance, braking time, and vehicle stability. The proposed FLC–ABS framework uniquely integrates a single-wheel vehicle model with the Burckhardt tire–road interaction, enabling accurate evaluation across diverse surfaces. Its fuzzy logic controller, with slip error and slip rate as inputs and 15 linguistic rules, adapts effectively to varying friction conditions. Compared to previous FLC and PID approaches, the system achieves substantially superior stopping distances and times, demonstrating both robustness and high practical relevance. This combination of rigorous modeling, adaptive control, and comprehensive validation underscores the novelty and effectiveness of the proposed method.

2. Methodology

This research employed a simulation-based methodology to design and evaluate an FLC for enhancing ABS performance under variable road friction conditions. A quarter-vehicle model was developed, integrating vehicle longitudinal dynamics, wheel dynamics, slip ratio, and tire–road interaction, with the Burckhardt tire model used to characterize different road surfaces.
The FLC was designed using the Mamdani inference approach, selected due to its intuitive representation of expert knowledge and ability to map linguistic rules into control actions, which makes it widely applicable in automotive systems. Two input variables—slip error and slip rate—were defined, while the output variable corresponded to brake pressure adjustment. Triangular and trapezoidal membership functions were employed to ensure computational simplicity while preserving sufficient accuracy in slip detection. A total of 15 IF–THEN rules were formulated, as this number provided adequate coverage of the input–output space while maintaining model simplicity and computational efficiency. Defuzzification was performed using the centroid method to yield crisp control signals for brake actuation.
The ABS–FLC model was developed and simulated in MATLAB/Simulink 2016 using the ODE45 solver with a fixed step size of 1 × 10 s, ensuring accurate representation of the nonlinear wheel–road interaction. The Burckhardt tire model was employed to characterize the tire–road friction coefficient due to its balance between mathematical simplicity and accuracy in reproducing diverse surface conditions, including dry asphalt, dry concrete, wet asphalt, snow, and ice. Virtual sensor signals—wheel speed, slip ratio, and friction coefficient—were sampled at the same resolution (10 kHz) to capture high-frequency variations in wheel slip. The vehicle, wheel, and tire parameters were derived from the Burckhardt model and quarter-vehicle dynamics, with values adapted from well-established references [27,28,29]. The proposed ABS–FLC was benchmarked against a conventional threshold-based ABS, and its performance was assessed in terms of stopping distance, braking time, slip regulation, and vehicle stability. For validation, the obtained results were compared with benchmark data reported in recent studies [11,13], where the close agreement confirmed the accuracy and reproducibility of the proposed framework.
To illustrate the methodology, Figure 1 presents the block diagram of the ABS integrated with the fuzzy logic controller. The structure highlights the fuzzification of slip error and slip rate, the rule-based inference process, and the defuzzified output signal regulating brake pressure.
Figure 2 illustrates the research methodology flowchart of the simulation-based framework adopted to design and evaluate an FLC integrated with an ABS under various road conditions.

3. Anti-Lock Braking System (ABS)

The anti-lock braking system, or ABS, is a vehicle safety feature that keeps the wheels from locking during emergency braking, thus improving road safety. The car can no longer be maneuvered in the intended direction if the wheels are locked, thus reducing stopping distances. Consequently, the car continues to go in the same direction even when the driver’s steering wheel is turned in a different direction. A reduction in the friction coefficient brought on by locked wheels causes the vehicle to start sliding and lengthens the stopping distance [20,30].
ABSs consist of four key components: sensors, an electronic control unit (ECU), valves, and a brake booster. These sensors measure wheel speed, analyze signals to determine potential lockups, manage fluid pressure, and maintain traction. Some systems also have a hydraulic accumulator, pressurized brake fluid storage, and a diagnostic system for fault detection. Understanding these components is crucial for improving vehicle safety and enhancing braking control.

3.1. Mathematical Modeling

The mathematical model is the first step in constructing a control strategy for ABS. This research deploys a quarter-vehicle model in which multiple mathematical equations and expressions are applied to describe numerous components, including the vehicle dynamics model, wheel dynamics model, tire, friction model, and controller for the ABS [27].

3.1.1. Vehicle Dynamics Model

The free-body diagram of a quarter-vehicle model, illustrated in Figure 3, shows the vehicle’s longitudinal motion and the wheel’s angular motion while stopping. Although the model is general, it represents the basic characteristics of a real vehicle system.
The system equation is written as follows:
F i   =   F f
F N = W
where F i is the inertial force of the vehicle, F f is the friction between wheel and ground, F N is the normal force, and W is the vehicle weight.
  • The equation of vehicle acceleration:
The vehicle translational dynamics are as follows:
f x = m v × α x = m v × v x ˙ =   F f
where F f is the force of friction.
F f = µ λ × F N
Then,
m v × v x ˙ =   µ λ × F N
Thus,
v x ˙ = µ λ F N m v
The vertical equilibrium equation can be derived as follows:
f y = 0 F N = W = m v × g
The equation above may be expressed in the following manner by substituting in Equation (6):
v x ˙ = µ λ ×   m v × g m v = µ λ   ×   g
The vehicle speed is obtained by integration of Equation (8); where m v is the mass of the vehicle, v x is the linear speed of the vehicle, µ λ is the coefficient of friction, g is the acceleration due to gravity, and α x is the linear acceleration of the vehicle.

3.1.2. Wheel Dynamics Model

Figure 4 presents the model of a quarter-vehicle that is performing a flawless straight-line braking action.
  • The equation of wheel acceleration:
The equation of motion: From Newton’s second law, we can write the equation of equilibrium for the wheel as follows:
M = ω ω = J ω × α ω = µ λ × R r × F N T b
α ω = R × µ λ × F N T b J ω  
The wheel speed is obtained by integration of Equation (10); where α ω = angular acceleration of wheel, T b = braking torque, R r = radius of wheel, J ω = wheel moment of inertia, and ω ω = angular speed of wheel.

3.1.3. Relative Slip

The ABS controls wheel rotation to avoid skidding and allow steering in the intended direction. Both wheel acceleration control and slip control function together to achieve ABS control. The slip ratio is a crucial measure of a vehicle’s speed, with the slip ratio being set by the vehicle’s speed as well as the speed of the wheels (tires).
λ = 1 ω ω v ω  
where v ω is the equivalent angular speed of the vehicle; expressed as follows:
v ω = v x R r
  • Slip ratio: The slip ratio is the difference between the vehicle’s linear velocity and the wheel’s angular velocity; represented by λ.
λ = v x R r × ω ω v x  
  • Slip rate: Differentiating both sides of Equation (13) with respect to time (t), we get
λ ˙ = v x ˙ × ( 1 λ ) R r × ω ω ˙ v x      
where λ is the slip ratio, and ω ω is the wheel angular speed.
When a vehicle applies all of its brakes while it is still moving but the wheels are not turning, this can lead to a wheel slide. Wheel slip is the result of the wheels’ rotational slowness relative to the vehicle’s speed, as shown in Equation (9). A slip curve can be used to illustrate the link between a vehicle’s slip ratio and the friction coefficient; see Figure 5.
The relationship between the friction coefficient and slip ratio plays a crucial role in vehicle braking dynamics. As the slip ratio increases, the friction coefficient rises until it reaches a maximum value, referred to as the peak friction coefficient ( μ p ), typically occurring at approximately 10% to 20% slip. This point is indicated in the figure by the dashed vertical line (~20%). Beyond this region, further increase in slip ratio leads to a decline in the friction coefficient, converging towards the coefficient of sliding friction ( μ s ), shown as the red horizontal line. The vertical difference of about 30% between μ p and μ s quantifies the relative improvement in available friction at optimal slip, which is essential for maximizing braking efficiency [15].

3.1.4. Tire Model

The model proposed by Burckhardt is used for the coefficient of tire–pavement friction, as shown in the following equation:
µ λ , V x = A . 1 e B . λ C . λ            
where A, B, C, and D are coefficients that represent the friction values for different road states. In Table 1, the coefficient values are shown for different types of roads.
Figure 6 shows simulation-generated curves, derived using Equation (15) based on Burckhardt modeling, illustrating the relationship between the tire–road friction coefficient and the wheel slip ratio under various road conditions. The curves demonstrate that the friction coefficient increases with the slip ratio, reaching a peak value before declining. Each road type exhibits a distinct friction curve. Dry asphalt and concrete provide the highest friction coefficient, ensuring superior traction, while icy surfaces result in the lowest friction coefficient, highlighting the challenges associated with maintaining vehicle stability and control on such surfaces.

4. Model and Parameters of ABS

An anti-lock braking system simulation is illustrated in the following figures. A range of forms are simulated in order to comprehend and evaluate the functionality of the system. ABS modeling and the wheel and coefficient of friction are all represented in these figures.

4.1. Modeling of ABS

Figure 7 shows a model of an FLC-based ABS. In order to calculate the ideal braking force while taking friction, normal force, and stopping distance into account, the model shows the link between wheel speed, vehicle speed, and relative slip. In order to reduce slide and guarantee vehicle stability during braking, the control system depends on input signals. The intended relative slip is adjusted to 0.2 for maximum friction force and the shortest stopping distance. The arrows represent the direction of signal flow, while the dots indicate summation junctions. The use of colors is solely for block highlighting to improve readability and does not convey any physical meaning.

4.2. Simulation of Vehicle Model

Figure 8 illustrates the simulation framework for a vehicle model, depicting the interactions between various physical parameters that govern vehicle dynamics. The model computes essential outputs, including vehicle acceleration, stopping distance, and slip ratio, based on inputs such as vehicle speed, friction force, and normal force. By breaking down the complexity of vehicle behavior into distinct and structured components, this diagram facilitates the analysis and development of advanced ABS controllers. The vehicle model was simulated using Equation (8) and its integral.

4.3. Simulation of Wheel Model

Figure 9 presents a basic wheel model, demonstrating the relationships between essential components affecting wheel motion. The braking system provides torque that influences wheel acceleration, whereas the wheel is defined as a spinning mass with intrinsic inertia. This model highlights the need to comprehend the interrelations between components influencing wheel motion, thereby aiding in the enhancement of braking systems, suspension design, and the evaluation of vehicle performance under diverse operating settings. The wheel model is simulated using Equations (9) and (10), as well as their integrals.

4.4. Simulation of Friction Model

A simulation of the coefficient of friction is shown in Figure 10, which also depicts a proportional P-controller system intended to control vehicle dynamics in a variety of road conditions. The system emphasizes stability through “relative slip” and customized con-troll parameters for different levels of friction. The friction model is simulated using Equation (15), which corresponds to the Burckhardt model.

4.5. Parameters Used in the ABS Model

Table 2 shows the parameters used in the ABS model.

5. A Fuzzy Controller System

A fuzzy controller system is a form of control system that uses fuzzy logic to evaluate a system’s developing features. It is intended to manage imprecise control rules and to automatically alter system settings depending on the fuzzy control response [28]. Fuzzy logic systems facilitate the adaptability of controllers to intricate systems through the evaluation of approximations to their actual behavior based on human reasoning. These controllers create a knowledge database by combining fuzzy language phrases and rules, and then use inference to make process control decisions. The fuzzy logic controller enhances braking performance by adaptively restoring symmetry between tire–road interaction and braking pressure, thereby reducing risks associated with imbalance in friction coefficients. The Mamdani inference methodology is commonly used in the construction of fuzzy controls for RACs, whereas the Sugeno method mimics human thinking by providing a mathematical interpretation of IF-THEN principles [29]. Figure 11 demonstrates a typical architecture of a fuzzy control system.

5.1. Components of FLC

A fuzzy logic controller (FLC) comprises several components. One of the fundamental constituents is the fuzzy set, which characterizes the linguistic variables and their membership functions. These membership functions ascertain the degree to which a value pertains to a specific linguistic variable. Another crucial constituent is the rule base, which encompasses a compilation of IF-THEN rules that govern the control actions based on the input variables. The inference engine implements these rules to ascertain the optimal control action. The defuzzification method converts the fuzzy output into a manageable value. FLCs may also include fuzzification and composition phases, contingent upon the implementation [31].

5.1.1. Fuzzification of the Input Signal

The fuzzy controller used in this project has two inputs: slip error and slip change rate. The slip error is the ideal error, but the slip change rate represents how the vehicle’s deceleration varies over time. The fuzzy set uses a membership function, such as triangular, trapezoidal, or Gaussian, to support its membership value. In this project, the triangular form is utilized for the error input, while the trapezoidal shape is used for the slip change rate. The boundaries used for these functions are described as follows:
  • The error of slip (error). It has five membership functions:
    • NL: negative large;
    • NS: negative small;
    • Z: zero;
    • PS: positive small;
    • PL: positive large.
Figure 12 shows the input membership functions for the error of slip (error).
  • The error change ratio (error-c). It has three membership functions:
    • NL: negative large;
    • Z: zero;
    • PL: positive large.
Figure 13 shows the input membership functions for the error change ratio (error-c).

5.1.2. Mechanism of Fuzzy Inference

For this project, IF-THEN criteria were used to distinguish between variable inputs and outputs. The link between erroneous slip and the rate of change of slip is known as an interconnection operation. The number of MFs utilized is determined by the number of linguistic values used. In our case, we created custom membership functions (3 × 5). As a result, we needed to construct a fuzzy rule table consisting of 15 rules. Table 3 presents the fuzzy inference mapping for a 5 × 3 rule configuration.
The range and parameters of the membership function for the slip error input are shown in Table 4.
The range and parameter between the membership function and the rate of slip change are seen in Table 5.
The established rules for the fuzzy control of our ABS model are as follows:
1.
If (error-c is N) and (error is NL) then (pressure is RB);
2.
If (error-c is Z) and (error is NL) then (pressure is RS);
3.
If (error-c is P) and (error is NL) then (pressure is H);
4.
If (error-c is N) and (error is NS) then (pressure is RB);
5.
If (error-c is Z) and (error is NS) then (pressure is RS);
6.
If (error-c is P) and (error is NS) then (pressure is H);
7.
If (error-c is N) and (error is Z) then (pressure is RS);
8.
If (error-c is Z) and (error is Z) then (pressure is H);
9.
If (error-c is P) and (error is Z) then (pressure is IS);
10.
If (error-c is N) and (error is PS) then (pressure is H);
11.
If error-c is Z) and (error is PS) then (pressure is IS);
12.
If (error-c is P) and (error is PS) then (pressure is IP);
13.
If (error-c is N) and (error is PL) then (pressure is H);
14.
If (error-c is Z) and (error is PL) then (pressure is IS);
15.
If (error-c is P) and (error is PL) then (pressure is IP).

5.1.3. Defuzzification of Output

As previously stated, output defuzzification in fuzzy logic is the process of producing a result or a crisp value. In this project, the output parameter’s language values are as follows:
  • RB: release pressure big;
  • RS: release pressure small;
  • H: hold the pressure;
  • IS: increase pressure small;
  • IP: increase pressure big.
Figure 14 shows the output membership functions for the brake pressure.

5.2. The Simulation of FLCABS

The simulation of an ABS model with a fuzzy logic controller is shown in Figure 15. The intended relative slip is adjusted to 0.2 for maximum friction force and the shortest stopping distance.
In real-world ABS applications, sensor signals are frequently affected by noise caused by vibrations, road irregularities, and electronic disturbances. Fuzzy logic control offers an inherent robustness to such disturbances, since its inference mechanism relies on linguistic rules and overlapping membership functions rather than precise numerical thresholds. This characteristic enables the controller to smooth out moderate fluctuations in sensor data and maintain stable brake pressure modulation.

6. Result of Simulation

The input brake torque applied to the wheel brake model is compared in the drawings below. The coefficient of friction may be altered by applying the model to various road surfaces. Hence, we may examine the scenario involving ABS when fuzzy logic is present and when it is not. The simulation and assessment of braking performance are based on parameters such as wheel speed, stopping time, and relative slip.

6.1. Simulation Methodology and System Setup

To evaluate the proposed FLC for the ABS, simulations were carried out using MATLAB R2016a/Simulink. The ODE45 (Dormand–Prince) solver was chosen for numerical integration, as it is well suited for handling the stiff and nonlinear dynamics often found in vehicle systems. A fixed time step of 1 × 10−4 s was used to ensure stable results and to capture the fast changes in wheel slip that can occur during braking, especially on surfaces with varying friction.
The fuzzy controller was built using a Mamdani-type inference system. It includes 15 IF-THEN rules, developed based on expert insights and heuristic reasoning. Membership functions were manually adjusted to keep the system both understandable and effective in performance.

6.2. Dry Asphalt Road

The results of two simulations for an automobile with an anti-lock braking system, one with a fuzzy logic controller and the other without, that were run on a dry asphalt road are shown in the following figures. They take vehicle and wheel speed into account, as well as the stopping distance and relative slip.
Figure 16a demonstrates a progressive drop in vehicle and wheel speed, with noticeable wheel speed variations, indicating less effective slip control in the ABS without the FLC. On the other hand, Figure 16b shows that integrating the ABS and FLC improves wheel speed control, lowering oscillations and ensuring better coordination with vehicle speed.
Figure 17 shows that the vehicle with the FLC achieved a shorter stopping distance and time, whereas without the FLC these increased. Figure 17a attributes the increase to less efficient ABS brake control, while Figure 17b highlights the FLC’s optimization of slip control, enhancing braking efficiency and responsiveness.
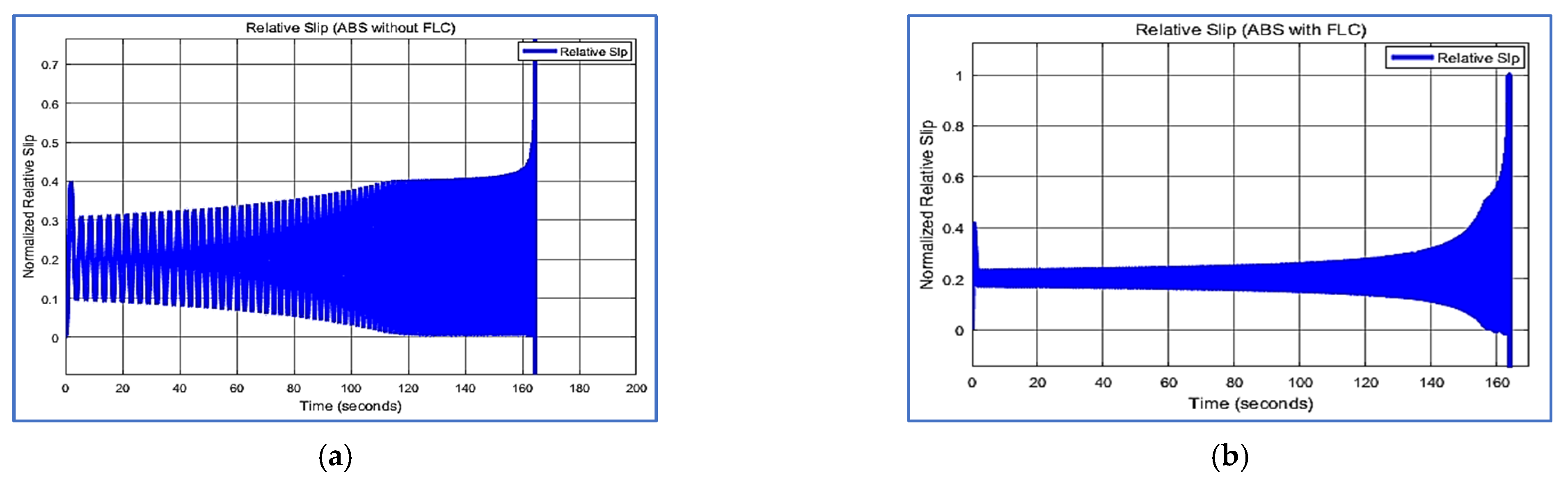
Figure 18a shows that the ABS without the FLC results in a high, constant slip ratio due to poor braking force regulation, leading to potential instability. In contrast, Figure 18b demonstrates that with the FLC, the slip ratio becomes oscillatory, indicating active control, reduced slip, and improved traction and steering stability.

6.3. Dry Concrete Road

The simulation results for a car with ABS on a dry concrete road, with and without fuzzy logic, are displayed in the figures below. The results include vehicle speed, acceleration, stopping distance, and relative slip.
The braking performance without the FLC is shown in Figure 19a, where there are some oscillations in the wheel speed but a gradual and steady drop in both the vehicle and wheel speeds until coming to a complete stop. Conversely, Figure 19b, which illustrates the case with the FLC, shows a faster and smoother reduction in vehicle speed, where initial oscillations in wheel speed quickly subside, indicating the improved braking efficiency and enhanced control provided by the FLC.
Figure 20 indicates that the vehicle achieved a shorter stopping distance and time with the FLC compared to without the FLC. Figure 20a depicts a longer and steady stop in the absence of the FLC, while Figure 20b demonstrates a slower rate of distance increase, emphasizing the enhanced braking efficiency provided by the FLC.
Figure 21a shows that without the FLC, the relative tire slip rapidly peaks before gradually decreasing, indicating significant slippage that compromises control and prolongs braking. In contrast, Figure 21b demonstrates that with the FLC, the slip oscillates consistently around a stable value, effectively preventing tire lockup and preserving vehicle maneuverability during braking.

6.4. Wet Asphalt Road

The outcomes of two simulations for an automobile with an ABS operating on a wet asphalt road are shown in the accompanying figures; one simulation included a fuzzy logic controller, while the other did not. The wheel and vehicle speeds, stopping distance, and relative slip are all shown in the figures.
Figure 22a shows that without the FLC, vehicle speed gradually decreases, with slight wheel speed variations, indicating substantial slip, longer stopping distances, and less control. In contrast, Figure 22b indicates that the FLC reduces the vehicle speed more rapidly and smoothly, whereas wheel speed oscillations are larger but more stable, showing improved stopping capacity and driver control.
Figure 23a shows a steady increase in stopping distance for the braking system without the FLC, indicating a prolonged stopping time before stabilizing. In contrast, Figure 23b demonstrates that the FLC reduces stopping time and improves braking efficiency by increasing stopping distance at a slower rate.
In Figure 24a, the tire’s relative slip without the FLC shows a rapid rise, followed by a gradual decline, indicating significant slippage, causing loss of vehicle control and delayed stopping. In contrast, Figure 24b shows a tire with the FLC, which oscillates around a set value, preventing complete tire lockup by continuously adjusting the brake force, allowing the driver to maintain steering control while braking.

6.5. Snowy Road

Figure 25, Figure 26 and Figure 27 depict the simulation results for an ABS-equipped vehicle on a snowy road; one simulation featured a fuzzy logic controller, while the other did not. The figures display the speeds of the wheels and vehicle, as well as the stopping distance and relative slip. Figure 25a shows unstable wheel speed with significant oscillations during ABS operation without the FLC, while Figure 25b demonstrates improved stability and reduced oscillations with the FLC, highlighting its positive impact on ABS performance.
As depicted in Figure 26, the vehicle controlled by the FLC stopped at an appropriate distance and time. In contrast, the stopping distance increased without the FLC, and the stopping time extended. Figure 26a shows a gradual increase in stopping distance with ABS alone, while Figure 26b demonstrates significantly reduced stopping distance with the FLC, highlighting its role in enhancing ABS braking performance.
Figure 27a depicts the oscillations in relative slip during braking with the ABS working without the use of the FLC, where extreme oscillations cause substantial instability. Figure 27b illustrates the relative slip with ABS enhanced by the FLC, demonstrating better slip control and stability. This illustrates how well the FLC works to reduce instability and improve braking economy.

6.6. Icy Road

Figure 28, Figure 29 and Figure 30 depict two simulations of a car with an ABS on an icy road, one using a fuzzy logic controller and the other without, displaying wheel and vehicle speeds, stopping distance, and relative slip. In Figure 28a the wheel speed profiles show significant oscillations when ABS is not linked with the FLC, indicating a lack of stability during braking. Figure 28b depicts the speed profiles for ABS enhanced by the FLC, demonstrating better alignment with vehicle speed and smoother wheel speed with fewer oscillations, indicating enhanced brake control and stability.
As shown in Figure 29, the vehicle equipped with the FLC achieved a shorter stopping distance and time than the one without it. Figure 29a shows a continuous increase in stopping distance when braking with the ABS without the FLC. Conversely, Figure 29b shows that the FLC increases the cumulative stopping distance with ABS, indicating improved braking effectiveness and safety, emphasizing its significant role in reducing stopping distance.
Figure 30a depicts considerable oscillations during ABS operation without the FLC, demonstrating poor control and instability. In contrast, Figure 30b indicates that the FLC improves brake stability by greatly reducing oscillations, proving its effectiveness in increasing relative slip.

7. Discussion of Results

We focused on the coefficient of friction in terms of design and application on various roads, in addition to incorporating an FLC with more new rules, which led to more accurate results. The results demonstrate that using the FLC greatly improves the ABS’s performance on dry surfaces. Effective braking force and distribution modification are made possible by the FLC, which also improves vehicle stability and control by shortening stopping distances. On wet surfaces, the findings suggest that the use of the FLC enhances the responsiveness of the ABS. This upgrade facilitates fast adjustments to variations in friction and topography, thereby enhancing the system’s capacity to avert skidding and maintain stability during braking. Regarding snow and ice, the study shows that employing an FLC substantially reduces the risk of skidding and loss of vehicle control in challenging road conditions.

7.1. Dry Asphalt Road

The deployment of the FLC on a dry asphalt surface resulted in a significantly more stable and accurate system response than the uncontrolled situation, which was characterized by higher errors and instability. The FLC application reduced the stopping time from 11.469 s to 7.871 s, as well as the stopping distance from 41.67 m to 24.41 m, as shown in Figure 31.

7.2. Dry Concrete Road

On a dry concrete surface, the FLC provided faster and more accurate control, whereas the system without a controller produced significant oscillations and delayed convergence. The implementation of the FLC resulted in a significant improvement in stopping time, which was lowered from 12.168 s to 8.626 s, as well as a decrease in stopping distance, which was reduced from 43.07 m to 26.37 m, showing the improved performance attained with this control approach, as indicated in Figure 32.

7.3. Wet Asphalt Road

The implementation of the FLC on a wet asphalt surface resulted in a very steady and adaptable system response as compared to an uncontrolled scenario, ensuring better control under slippery circumstances. This methodology allowed for a notable reduction in stopping time from 14.343 s to 11.721 s and a significant reduction in stopping distance from 48.33 s to 35.42 s, as illustrated in the accompanying Figure 33.

7.4. Snowy Road

In snowy road conditions, the FLC system slightly improved vehicle stability by slightly improving tracking accuracy and reducing wheel slip compared to the uncontrolled mode. It reduced the stopping time from 48.876 s to 47.589 s and stopping distance from 142.68 m to 139.87 m, as shown in Figure 34.

7.5. Icy Road

On icy surfaces, the FLC outperforms the uncontrolled system by maintaining an acceptable level of performance in a tough environment. While the benefits are very minor, with stopping time decreased from 164.468 s to 164.036 s and stopping distance lowered from 499.33 m to 497.52 m, the FLC adds to somewhat improved stability and slide control, as shown in Figure 35.

7.6. Comparison of Different Roads

Figure 36 illustrates the angular velocity of the vehicle under two different conditions, demonstrating the impact of incorporating the FLC into the ABS. In Figure 36a, the vehicle’s angular velocity is displayed for the ABS without FLC, where large variations and longer stabilization periods are obvious, notably during rapid braking conditions. These traits reflect the limits of classical ABS in adjusting to fast dynamic changes. Conversely, Figure 36b displays the angular velocity when fuzzy logic control is implemented, exhibiting smoother transitions and quicker stabilization. The decreased oscillations and increased control underscore the higher responsiveness of the system, leading to better overall vehicle performance and safety while braking.
Figure 37 displays the angular velocity of the wheel under two braking situations: with and without FLC in the ABS. In Figure 37a, the wheel speed without FLC shows uneven and unpredictable behavior, particularly on low-friction surfaces, illustrating the inadequacy of traditional systems for maintaining optimum wheel–road contact. Figure 37b, however, demonstrates the effect of incorporating FLC, where the wheel speed becomes more stable and adaptable to altering road conditions.
Figure 38 depicts the stopping distance of a vehicle equipped with ABS under various road conditions, both with and without an FLC. In Figure 38a, the ABS without an FLC has much longer stopping distances, especially on low-friction surfaces like ice and snow, demonstrating the limitations of traditional systems in providing enough dynamic responsiveness in critical situations. Figure 38b shows that using an FLC significantly reduces stopping times across all road types, particularly in slippery conditions. This surge demonstrates the FLC’s capacity to respond to changing road conditions, improve vehicle stability, and reduce slip.
Figure 39 compares the relative slip of a vehicle equipped with an ABS without and with an FLC under varied road conditions. Figure 39a indicates that the ABS without FLC results in dramatic and unstable slip variations, especially on low-friction surfaces like ice and snow, highlighting the limits of traditional systems in maintaining constant control and stability. In contrast, Figure 39b indicates that implementing the FLC considerably lowers slip fluctuations and increases overall stability, especially on slick terrain. This increase is related to the FLC’s capacity to respond to real-time changes in road friction and optimize braking force, delivering a more balanced and controlled response across various driving situations.
Figure 40 shows a three-dimensional comparative analysis of vehicle stopping performance, highlighting the impact of combining an FLC with ABS under various road conditions. It shows the distribution of performance across a range of surfaces, from high-friction surfaces, such as dry asphalt and concrete, to low-friction surfaces such as snow and ice. The horizontal axis shows the surface types, while the vertical axis displays stopping time and distance measurements, and the third dimension shows the comparison between the two systems.
Figure 41 uses a three-dimensional stacked bar representation to compare the stopping performance of ABS-equipped vehicles with and without an FLC under various road conditions ranging from high-friction to low-friction surfaces. It divides the values into specific ranges (0–50, 50–100, and up to 450–500), providing a qualitative visualization of performance differences rather than relying on precise numerical values.
The results show that integrating an FLC with ABS resulted in a significant reduction in stopping time and distance on most surfaces, whether dry, wet, or snow-covered. Vehicles equipped with an FLC achieved significant improvements in braking efficiency compared to conventional systems, with a clearer ability to manage wheel slip and better utilize available frictional power. On medium- and high-friction surfaces, improvements in stopping time and vehicle stability were evident, while improvements were moderate in snowy conditions and less pronounced on highly slippery surfaces such as ice, where stopping time and distance values often remained within the upper range (450–500). The relative slip measurement also showed significant improvements even in the most challenging low-friction conditions, reflecting the FLC system’s ability to effectively enhance vehicle control.

7.7. Results Table

The information presented in the tables below shows how much ABS is improved by fuzzy logic and compares the results with and without fuzzy logic.
The results in these tables show that the new braking system cuts the stopping distance and time on moderate-to-high-traction surfaces such as dry and wet roads. This improvement comes from the system adjusting the brake force in real time, helping drivers keep better control and reducing the chances of skidding in everyday situations. However, the relatively minor improvements seen on snow- and ice-covered roads indicate a performance restriction in the system under extremely low-friction conditions. This reduced efficacy might be attributed to the inherent challenge of producing adequate braking force when tire–road friction is insufficient. Our findings underscore the need for incorporating additional control strategies, such as traction control systems or real-time friction predictions, to improve braking economy and stability in tough snow circumstances.

7.8. Discussion of Performance Differences Across Road Surfaces

The observed differences in FLC–ABS performance under various road conditions are mostly related to tire–road friction limitations. In low-friction conditions like snow and ice, the greatest possible braking force is fundamentally bound by the tire’s limited adhesion to the road, limiting the potential improvement achievable by any controller. This explains the relatively minor decreases in stopping distance and braking time shown in Table 6 and Table 7 and Figure 38 for these surfaces. Conversely, greater tire–road adhesion enables the FLC to efficiently control wheel slip and maximize braking pressure on medium- and high-friction surfaces (dry asphalt, concrete, and wet asphalt), resulting in more notable performance improvements.
According to classical tire dynamics, the braking force F b is proportional to the normal load F N and the friction coefficient μ ( F b μ F N ) , which justifies why surfaces with higher μ provide more room for adaptive control strategies to demonstrate substantial improvements.

7.9. Comparison of Results with Recent Studies

This section evaluates the extent to which the findings of the present study are consistent with recent research on ABS performance enhancement. Two key studies were selected as benchmarks, as they highlight the advantages of FLC in reducing stopping distance, enhancing vehicle stability, and minimizing wheel slippage. To ensure a rigorous comparison, the principal outcomes of these studies were first summarized, followed by a quantitative evaluation of the stopping distances and times across the three studies. This comparative analysis, which included different controllers such as PID, FLC, and Bang-Bang, underscores the superior performance of the proposed FLC–ABS system relative to previous approaches.
  • First Study
This study uses a physical model and the simulation software MATLAB/Simulink to look at how the ABS works. Fuzzy and PID control strategies are used to compare performance. The results demonstrate that the FLC offers improved control of the vehicle’s sliding and stopping distances. The FLC also displays improved outcomes in bringing the automobile to a halt with higher tracking and control. The braking distance is shortened to roughly 14 m, making the FLC more optimal than the PID controller. According to the findings of the simulation, the PID controller achieved a stopping distance of 272 m and a time of 15.6 s, while the FLC achieved a stopping distance of 258 m and a duration of 15 s [11].
b.
Second Study
This study developed and simulated a mathematical model of an ABS using Bang-Bang, FLC, and PID controllers, controlling braking force based on various parameters like relative slip, road condition, and coefficient of friction between road and tire. The study compared FLC and PID controller-based ABS models with Bang-Bang controllers and without controllers, finding that controllers improved ABS performance. The PID controller demonstrated the highest performance among the tested controllers in simulating ABS. The PID controller achieved a stopping distance of 434.902 ft (130.210 m) and a time of 9.665 s, whereas the FLC had a stopping distance of 935.298 ft (280.029 m). and a duration of 16.76 s. The Bang-Bang controller took 13.751 s to cover 696.996 ft (208.681 m). The vehicle halted at a distance of 1431.327 ft (228.541 m) without any control, taking 24.217 s [13].
Figure 42 shows a performance comparison of ABS systems based on FLCs by reviewing the results of three different studies, including two previous recent studies (Study 01 and Study 02), as well as the results of our current study, allowing a comprehensive evaluation of the technical differences and advantages between these systems in improving braking efficiency and vehicle safety.
Figure 43 presents a comprehensive 3D representation comparing the performance of the ABS with FLC across three distinct studies, namely, Study 01, Study 02, and our current study. This 3D representation highlights the subtle and clear differences between each study in terms of stopping time and stopping distance, providing a more comprehensive and in-depth view of the performance differences between the studied systems in a visually accurate and effective manner.
Figure 44 shows a three-dimensional stacked bar representation comparing the performance of an ABS integrated with an FLC across three studies: “Study 01”, “Study 02”, and “Our Study”. It divides the values into progressive ranges starting from 0 to 50, then 50 to 100, and escalating to 250 to 300 and higher ranges. This allows for a clear qualitative visualization of the differences in stopping time and distance between the studies, highlighting the distribution of performance in a detailed and visual manner.
The results of the study indicate significant differences in the performance of ABS systems with an FLC among the three studies. The two previous studies recorded stopping times in the range of 0–50 s, but their stopping distances extended to higher ranges, especially in the range of 250–300 m, reflecting the need for long stopping distances. In contrast, our study was characterized by both stopping time and stopping distance being in the lower range of 0–50 s, indicating a significant improvement in braking efficiency. The numerical values showed that the stopping times in the two previous studies were 15.6 and 16.76 s, respectively, with stopping distances of approximately 272 and 280 m, while our study was able to reduce the stopping time to only 7.87 s and the stopping distance to 24.41 m, a reduction of more than 90% compared to the previous studies. These results reflect the high effectiveness of the advanced technologies and algorithms used in our system, which led to improved responsiveness and significantly reduced stopping time and distance, which in turn contributes to enhancing traffic safety and minimizing the risks associated with emergency stops. This qualitative distribution of results, together with the numerical values, supports the robustness of the developed system and confirms its superiority over previous systems in terms of ABS–FLC functionality.
The Table 8 shows the differences in stopping distances and stopping times between the three studies, highlighting the clear superiority of the proposed system over previous systems.
The comparison was based on results on dry asphalt only, as it is the most common surface used in reference studies. Our study, however, evaluated performance on multiple road types (dry concrete, wet asphalt, snow, and ice), which provides a broader and more practical assessment of ABS performance under various friction conditions.

Real-World Feasibility and Future Experimental Plans

In this work, the application of fuzzy logic is used to improve the performance of ABS under various road conditions, including dry asphalt, concrete, wet asphalt, snow, and ice. The results show that, when compared to traditional systems, adaptive ABS technology significantly improves stopping distances, vehicle agility, and overall safety. Compared to traditional ABS, fuzzy logic-based ABS consistently reduced stopping distances, especially on cold and wet roads. In difficult driving situations, this leads to improved vehicle control and a lower danger of collision. Fuzzy logic effectively adapted the desired wheel slip ratio based on real-time surface information, maximizing tire–road friction and maintaining vehicle stability during braking. This flexibility overcomes the constraints of fixed-threshold-based control in conventional ABS. By reducing wheel locking and retaining directional control, the fuzzy logic-based ABS improved vehicle agility under braking, particularly on uneven or split-friction surfaces. This enhancement might be critical in preventing crashes during emergency movements. Therefore, the findings provide compelling evidence that fuzzy logic has enormous promise for increasing the efficacy and safety of ABS in modern vehicles. The ability to adapt braking behavior to changing road conditions opens up possibilities for more study and integration into future automotive safety systems. Although highly impressive results were reached on snowy and icy roads, we need further effort to lower the stopping distance and time.

8. Conclusions

In this research, the application of fuzzy logic control was used to improve the performance of anti-lock brake systems (ABSs) under various road conditions, including dry asphalt, concrete, wet asphalt, snow, and ice. The results show that integrating an FLC into an ABS significantly improves braking efficiency and vehicle stability across multiple road conditions. On medium- and high-friction surfaces, the proposed system reduced stopping distances by ≈41% and stopping times by ≈48%, ensuring faster and safer braking. On snow and ice, improvements were less pronounced (below 2%), underscoring the need for supplementary approaches such as traction control systems or real-time friction estimation to further enhance performance.
Comparative analyses with two recent studies clearly demonstrate the superiority of the proposed FLC–ABS system. While earlier works reported stopping distances ranging from 258 to 280 m within 15–17 s, and a PID-based approach achieved 130.21 m in 9.67 s, our system reduced the stopping distance to only 24.41 m within 7.87 s. This represents up to a 90% reduction compared with previous FLC implementations and approximately 81% compared with PID, with stopping times reduced by 18–53% across all comparisons. These results highlight the robustness and adaptability of the developed controller, confirming its effectiveness under varying friction conditions and its strong potential for integration into next-generation automotive safety systems.

9. Future Directions

The simulations conducted in MATLAB/Simulink using the ODE45 numerical integration method, with a fixed time step of 1 × 10−4 s, enabled accurate modeling of the nonlinear dynamics involved in wheel–road interactions. These results demonstrated the strong potential of fuzzy logic-based ABS to enhance vehicle control and braking performance. However, the computational demands associated with fuzzy systems present challenges for real-time implementation, necessitating further investigation. As such, future work will focus on experimental validation using hardware-in-the-loop (HIL) platforms or in-vehicle testing to assess real-world performance, computational feasibility, and robustness under practical driving conditions. To further improve system adaptability and decision making, future developments may involve integrating fuzzy ABS with electronic stability control (ESC) and traction control systems (TCSs), incorporating real-time surface detection through sensors or vehicle-to-infrastructure communication, and exploring more advanced fuzzy algorithms or machine learning techniques.

Author Contributions

Conceptualization, M.F.A. and G.A.A.Q.; methodology, M.F.A., G.A.A.Q. and Y.A.B.; simulation and validation, G.A.A.Q. and M.F.; writing—original draft preparation, M.F.A. and G.A.A.Q.; writing—review and editing, M.F. and Y.A.B., supervision, M.F.A. and M.F. All authors have read and agreed to the published version of the manuscript.

Funding

This research was supported by Multimedia University internal funding.

Data Availability Statement

The original contributions presented in this study are included in the article. Further inquiries can be directed to the corresponding author.

Acknowledgments

The authors would like to acknowledge the financial support and facilities provided by Multimedia University for the execution, completion, and publication of this article.

Conflicts of Interest

The authors declare no conflicts of interest.

References

  1. Unguritu, M.G.; Nichiţelea, T.C. Design and Assessment of an Anti-Lock Braking System Controller. Rom. J. Inf. Sci. Technol. 2023, 26, 21–32. [Google Scholar] [CrossRef]
  2. Abdullah, M.F.; Qasem, A.; Ali, G.; Farid, M.; Lim, H.S.; Lee, C.P.; Alsakkaf, N. Adaptive Control Techniques for Improving Anti-Lock Braking System Performance in Diverse Friction Scenarios. Int. J. Electr. Comput. Eng. 2025, 15, 260–279. [Google Scholar] [CrossRef]
  3. Geleta, A.F.; Gopal, M.; Lemi, M.T. Vehicle Anti-Lock Brake System—Dynamic Modeling and Simulation Based on MATLAB Simulink and CarSim. Res. Eng. Struct. Mater. 2023, 11, 495–511. [Google Scholar] [CrossRef]
  4. Mahobiya, B.; Patnaik, S. Fuzzy Control Mechanism for Anti-Lock Braking System by Using Fuzzy Logic. Int. J. Technol. Emerg. Sci. 2022, 2, 5–10. [Google Scholar]
  5. Ardalani, M.V.; Rezaei Adriani, H.R.; Parsai Kia, A. Rules-Based Fuzzy Control Method to Improve Mamdani Model in the Automotive Anti-Lock Braking System. Research Square Platform, 2022. Available online: https://www.researchsquare.com/article/rs-2361698/v1 (accessed on 18 September 2025).
  6. Mantripragada, V.K.T.; Kumar, R.K. Sensitivity Analysis of Tyre Characteristic Parameters on ABS Performance. Veh. Syst. Dyn. 2022, 60, 47–72. [Google Scholar] [CrossRef]
  7. Amirkhani, A.; Molaie, M. Fuzzy controllers of antilock braking system: A review. Int. J. Fuzzy Syst. 2023, 25, 222–244. [Google Scholar] [CrossRef]
  8. Chen, H.C.; Wisnujati, A.; Widodo, A.M.; Song, Y.L.; Lung, C.W. Antilock Braking System (ABS) Based Control Type Regulator Implemented by Neural Network in Various Road Conditions. In Proceedings of the International Conference on Network-Based Information Systems, Taichung, Taiwan, 1–3 September 2021; Springer International Publishing: Cham, Switzerland, 2021; pp. 223–237. [Google Scholar]
  9. Abdulkareem, A.Q.; Humod, A.T.; Ahmed, O.A. Fault Detection and Fault Tolerant Control for Anti-Lock Braking Systems (ABS) Speed Sensors by Using Neural Networks. Eng. Technol. J. 2023, 41, 333–344. [Google Scholar] [CrossRef]
  10. Lee, T.Y.; Lee, S.H. Combustion and Emission Characteristics of Wood Pyrolysis Oil–Butanol Blended Fuels in a DI Diesel Engine. Int. J. Automot. Technol. 2015, 16, 903–912. [Google Scholar]
  11. Quan, V.H.; Ngoc, N.A.; Tien, N.M. A Comparison of the Performance of Anti-Lock Braking System (ABS) Using Fuzzy and PID Controllers. In Proceedings of the 2022 6th International Conference on Green Technology and Sustainable Development (GTSD), Piscataway, NJ, USA, 29–30 July 2022; pp. 243–248. [Google Scholar]
  12. Girovský, P.; Žilková, J.; Kaňuch, J. Optimization of Vehicle Braking Distance Using a Fuzzy Controller. Energies 2020, 13, 3022. [Google Scholar] [CrossRef]
  13. Lakhemaru, P.; Adhikari, S.P. Design and Analysis of Vehicle Anti-Lock Braking System with Fuzzy Logic, Bang-Bang and PID Controllers. Himal. J. Appl. Sci. Eng. 2022, 3, 8–17. [Google Scholar] [CrossRef]
  14. Ahmed, T. Analysis and Design of a Fuzzy Controller and Performance Comparison Between the PID Controller and Fuzzy Controller. Int. J. Sci. Technol. Res. 2020, 9, 271–277. [Google Scholar]
  15. Agwah, B.C.; Eze, P.C. An Intelligent Controller Augmented with Variable Zero Lag Compensation for Antilock Braking System. Int. J. Mech. Mechatron. Eng. 2022, 16, 303–310. [Google Scholar]
  16. Hamzah, M.N.; Flayyih, M.A.; Al-Gadery, T.A.; Al-Nadawi, Y.K.; Al-Samarraie, S.A. Enhanced performance and robustness in anti-lock brake systems using barrier function-based integral sliding mode control. Open Eng. 2024, 14, 20240090. [Google Scholar] [CrossRef]
  17. Kang, Y.; Cheng, S.; Guo, L.; Zheng, C.; Zhao, J. An Adaptive Multi-Layer Anti-Lock Braking Control Method Based on Fuzzy Logic. IEEE Access 2024, 12, 149468–149480. [Google Scholar] [CrossRef]
  18. Jennan, N.; Mellouli, E.M. Optimal fixed-time sliding mode control for anti-lock braking systems based fuzzy logic and neural network. Results Eng. 2025, 25, 103921. [Google Scholar] [CrossRef]
  19. Labh, S.K.; Khanal, R.; Dahal, C. Comparative Analysis of Performance of Antilock Braking System using PID and Fuzzy controllers. OODBODHAN 2025, 8, 135–142. [Google Scholar] [CrossRef]
  20. Shaout, A.; Castaneda-Trejo, L. Fuzzy Logic Control for Adaptive Braking Systems in Proximity Sensor Applications. Electronics 2025, 14, 2858. [Google Scholar] [CrossRef]
  21. Gunjate, S.S.; Khot, S.A. A Systematic Review of Emergency Braking Assistant System to Avoid Accidents Using Pulse Width Modulation and Fuzzy Logic Control Integrated with Antilock Braking. Int. J. Automot. Mech. Eng. 2023, 20, 10457–10479. [Google Scholar] [CrossRef]
  22. Jennan, N.; Mellouli, E.M. Anti-Lock Braking System Control Using Backstepping Method Based Fuzzy Logic. Sens. Transducers 2023, 261, 10–14. [Google Scholar]
  23. Zhang, X.; Lin, H. Backstepping Fuzzy Sliding Mode Control for the Antiskid Braking System of Unmanned Aerial Vehicles. Electronics 2020, 9, 1731. [Google Scholar] [CrossRef]
  24. Ma, C.; Tian, S.; Xiao, X.; Jiang, Y. Fuzzy Neural Network PID–Based Constant Deceleration Compensation Device for the Brakes of Mining Hoists. Adv. Mech. Eng. 2020, 12, 1687814020937568. [Google Scholar] [CrossRef]
  25. Sullivan, B.; Jiang, J.; Mavros, G.; Chen, W.-H. An Exploration-Exploitation Approach to Anti-Lock Brake Systems. arXiv 2023, arXiv:2306.14730. [Google Scholar] [CrossRef]
  26. Kang, S.; Rong, Y.; Chou, W. Antidisturbance Control for AUV Trajectory Tracking Based on Fuzzy Adaptive Extended State Observer. Sensors 2020, 20, 7084. [Google Scholar] [CrossRef]
  27. Qasem, G.A.A.; Abdullah, M.F. Anti-Lock Braking Systems: A Comparative Study of Control Strategies and Their Impact on Vehicle Safety. Int. Res. J. Innov. Eng. Technol. 2024, 8, 809016. [Google Scholar] [CrossRef]
  28. Olaleye, T.A.; Olatomiwa, L.; Longe, O.M.; Jack, K.E. An Energy Management Scheme for Hybrid Energy System Using Fuzzy Logic Controller. Niger. J. Technol. Dev. 2023, 20, 66–78. [Google Scholar] [CrossRef]
  29. Belman-Flores, J.M.; Rodríguez-Valderrama, D.A.; Ledesma, S.; García-Pabón, J.J.; Hernández, D.; Pardo-Cely, D.M. A Review on Applications of Fuzzy Logic Control for Refrigeration Systems. Appl. Sci. 2022, 12, 1302. [Google Scholar] [CrossRef]
  30. Lorenčič, V. The Effect of Tire Age and Anti-Lock Braking System on the Coefficient of Friction and Braking Distance. Sustainability 2023, 15, 6945. [Google Scholar] [CrossRef]
  31. Simo, A.; Dzitac, S.; Frigura-Iliasa, F.M.; Frigura-Iliasa, M.; Meianu, D.; Ionescu, V.M. Fuzzy-Logic Controller for Smart Drives. Procedia Comput. Sci. 2022, 214, 1396–1403. [Google Scholar] [CrossRef]
Figure 1. Block diagram of FLC for ABS.
Figure 1. Block diagram of FLC for ABS.
Symmetry 17 01692 g001
Figure 2. Methodology flowchart of FLC–ABS.
Figure 2. Methodology flowchart of FLC–ABS.
Symmetry 17 01692 g002
Figure 3. Acting force during vehicle braking.
Figure 3. Acting force during vehicle braking.
Symmetry 17 01692 g003
Figure 4. Single-wheel model.
Figure 4. Single-wheel model.
Symmetry 17 01692 g004
Figure 5. A schematic illustration of the slip ratio curve and friction coefficient [15].
Figure 5. A schematic illustration of the slip ratio curve and friction coefficient [15].
Symmetry 17 01692 g005
Figure 6. Road friction coefficient and wheel slip ratio.
Figure 6. Road friction coefficient and wheel slip ratio.
Symmetry 17 01692 g006
Figure 7. Simulation of an anti-lock braking system.
Figure 7. Simulation of an anti-lock braking system.
Symmetry 17 01692 g007
Figure 8. Simulation of vehicle model.
Figure 8. Simulation of vehicle model.
Symmetry 17 01692 g008
Figure 9. Simulation of wheel model.
Figure 9. Simulation of wheel model.
Symmetry 17 01692 g009
Figure 10. Simulation of friction model.
Figure 10. Simulation of friction model.
Symmetry 17 01692 g010
Figure 11. The overall structure of a fuzzy controller [29].
Figure 11. The overall structure of a fuzzy controller [29].
Symmetry 17 01692 g011
Figure 12. Membership function for the error of slip (error).
Figure 12. Membership function for the error of slip (error).
Symmetry 17 01692 g012
Figure 13. Membership function for the error change ratio (error-c).
Figure 13. Membership function for the error change ratio (error-c).
Symmetry 17 01692 g013
Figure 14. Membership function for the brake pressure (pressure).
Figure 14. Membership function for the brake pressure (pressure).
Symmetry 17 01692 g014
Figure 15. Simulation model of ABS with FLC.
Figure 15. Simulation model of ABS with FLC.
Symmetry 17 01692 g015
Figure 16. Speed and time for vehicle and wheel on a dry asphalt road: ABS without FLC (a); ABS with FLC (b).
Figure 16. Speed and time for vehicle and wheel on a dry asphalt road: ABS without FLC (a); ABS with FLC (b).
Symmetry 17 01692 g016
Figure 17. Stopping distance on a dry asphalt road: ABS without FLC (a); ABS with FLC (b).
Figure 17. Stopping distance on a dry asphalt road: ABS without FLC (a); ABS with FLC (b).
Symmetry 17 01692 g017
Figure 18. Relative slip on a dry asphalt road: ABS without FLC (a); ABS with FLC (b).
Figure 18. Relative slip on a dry asphalt road: ABS without FLC (a); ABS with FLC (b).
Symmetry 17 01692 g018
Figure 19. Speed and time for vehicle and wheel on a dry concrete road: ABS without FLC (a); ABS with FLC (b).
Figure 19. Speed and time for vehicle and wheel on a dry concrete road: ABS without FLC (a); ABS with FLC (b).
Symmetry 17 01692 g019
Figure 20. Stopping distance on a dry concrete road: ABS without FLC (a); ABS with FLC (b).
Figure 20. Stopping distance on a dry concrete road: ABS without FLC (a); ABS with FLC (b).
Symmetry 17 01692 g020
Figure 21. Relative slip on a dry concrete road: ABS without FLC (a); ABS with FLC (b).
Figure 21. Relative slip on a dry concrete road: ABS without FLC (a); ABS with FLC (b).
Symmetry 17 01692 g021
Figure 22. Speed and time for vehicle and wheel on a wet asphalt road: ABS without FLC (a); ABS with FLC (b).
Figure 22. Speed and time for vehicle and wheel on a wet asphalt road: ABS without FLC (a); ABS with FLC (b).
Symmetry 17 01692 g022
Figure 23. Stopping distance on a wet asphalt road: ABS without FLC (a); ABS with FLC (b).
Figure 23. Stopping distance on a wet asphalt road: ABS without FLC (a); ABS with FLC (b).
Symmetry 17 01692 g023
Figure 24. Relative slip on a wet asphalt road: ABS without FLC (a); ABS with FLC (b).
Figure 24. Relative slip on a wet asphalt road: ABS without FLC (a); ABS with FLC (b).
Symmetry 17 01692 g024
Figure 25. Speed and time for vehicle and wheel on a snowy road: ABS without FLC (a); ABS with FLC (b).
Figure 25. Speed and time for vehicle and wheel on a snowy road: ABS without FLC (a); ABS with FLC (b).
Symmetry 17 01692 g025
Figure 26. Stopping distance on a snowy road: ABS without FLC (a); ABS with FLC (b).
Figure 26. Stopping distance on a snowy road: ABS without FLC (a); ABS with FLC (b).
Symmetry 17 01692 g026
Figure 27. Relative slip on a snowy road: ABS without FLC (a); ABS with FLC (b).
Figure 27. Relative slip on a snowy road: ABS without FLC (a); ABS with FLC (b).
Symmetry 17 01692 g027
Figure 28. Speed and time for vehicle and wheel on an icy road: ABS without FLC (a); ABS with FLC (b).
Figure 28. Speed and time for vehicle and wheel on an icy road: ABS without FLC (a); ABS with FLC (b).
Symmetry 17 01692 g028
Figure 29. Stopping distance on an icy road: ABS without FLC (a); ABS with FLC (b).
Figure 29. Stopping distance on an icy road: ABS without FLC (a); ABS with FLC (b).
Symmetry 17 01692 g029
Figure 30. Relative slip on an icy road: ABS without FLC (a); ABS with FLC (b).
Figure 30. Relative slip on an icy road: ABS without FLC (a); ABS with FLC (b).
Symmetry 17 01692 g030
Figure 31. FLC performance on dry asphalt.
Figure 31. FLC performance on dry asphalt.
Symmetry 17 01692 g031
Figure 32. FLC effectiveness on a dry concrete road.
Figure 32. FLC effectiveness on a dry concrete road.
Symmetry 17 01692 g032
Figure 33. FLC response on wet asphalt.
Figure 33. FLC response on wet asphalt.
Symmetry 17 01692 g033
Figure 34. FLC performance on a snowy road.
Figure 34. FLC performance on a snowy road.
Symmetry 17 01692 g034
Figure 35. FLC response on an icy road.
Figure 35. FLC response on an icy road.
Symmetry 17 01692 g035
Figure 36. Vehicle speed angular velocity under different conditions: ABS without FLC (a); ABS with FLC (b).
Figure 36. Vehicle speed angular velocity under different conditions: ABS without FLC (a); ABS with FLC (b).
Symmetry 17 01692 g036
Figure 37. Wheel speed angular velocity under different conditions: ABS without FLC (a); ABS with FLC (b).
Figure 37. Wheel speed angular velocity under different conditions: ABS without FLC (a); ABS with FLC (b).
Symmetry 17 01692 g037
Figure 38. Stopping distance of vehicle under different conditions: ABS without FLC (a); ABS with FLC (b).
Figure 38. Stopping distance of vehicle under different conditions: ABS without FLC (a); ABS with FLC (b).
Symmetry 17 01692 g038
Figure 39. Relative slip of vehicle under different conditions: ABS without FLC (a); ABS with FLC (b).
Figure 39. Relative slip of vehicle under different conditions: ABS without FLC (a); ABS with FLC (b).
Symmetry 17 01692 g039
Figure 40. The 3D comparison of stopping performance between conventional ABS and ABS–FLC in various road conditions.
Figure 40. The 3D comparison of stopping performance between conventional ABS and ABS–FLC in various road conditions.
Symmetry 17 01692 g040
Figure 41. A three-dimensional representation of the distribution of stopping time and distance value for ABS vehicles with/without FLC.
Figure 41. A three-dimensional representation of the distribution of stopping time and distance value for ABS vehicles with/without FLC.
Symmetry 17 01692 g041
Figure 42. Comparative analysis of ABS–FLC performance: Stopping time and distance across studies.
Figure 42. Comparative analysis of ABS–FLC performance: Stopping time and distance across studies.
Symmetry 17 01692 g042
Figure 43. A 3D stacked bar representation of stopping time and distance distribution across three ABS–FLC studies.
Figure 43. A 3D stacked bar representation of stopping time and distance distribution across three ABS–FLC studies.
Symmetry 17 01692 g043
Figure 44. The 3D distribution of ABS–FLC stopping time and stopping distance ranges across various studies.
Figure 44. The 3D distribution of ABS–FLC stopping time and stopping distance ranges across various studies.
Symmetry 17 01692 g044
Table 1. Surface parameters for different road conditions.
Table 1. Surface parameters for different road conditions.
Type of RoadABC
Dry asphalt1.280123.990.52
Dry concrete1.197325.160.5373
Wet asphalt0.85733.8220.3470
Snow0.194694.1290.0646
Ice0.05306.390
Table 2. Parameters used in the ABS model.
Table 2. Parameters used in the ABS model.
SymbolValueDescription
m v 1200 [Kg]Total vehicle mass
J w 5 [kg·m2]Wheel inertia
R r 0.36 [m]Wheel radius
v020 [m/s]Initial vehicle speed
ω ω v0/r [rad/s]Wheel speed angular velocity
g9.18 [m/s2]Gravitational acceleration
Kf1 [-]Force and torque
Tbmax2000 [N·m]Maximum braking torque applied to the wheels
TB0.01 [S]Hydraulic lag
λd0.2 [-]Desired slip
Ctrl1 or 0With ABS → 1; without ABS → 0
K1000Gain of proportional controller
Road type1, 2, 3, NConstant for road setting
E2.2204 × 10−16Division-by-zero protection constant
Table 3. Fuzzy inference mapping for 5 × 3 rules.
Table 3. Fuzzy inference mapping for 5 × 3 rules.
Error-c\ErrorNLNSZPSPL
NLRBRBRSHH
ZRSRSHISIS
PLHHISIBIB
Table 4. The slip error.
Table 4. The slip error.
NameParameters
NL−1.5−1−0.9−0.6
NS−1−0.50-
Z−0.500.5-
PS00.51-
PL0.60.911.5
Table 5. The rate of slip change.
Table 5. The rate of slip change.
NameParameters
NL21−50--
Z−45−5545
PL2150--
Table 6. Stopping times and distances (ABS without FLC).
Table 6. Stopping times and distances (ABS without FLC).
RoadStopping Time (s)Stopping Distance (m)Rise Time (s)Slew Rate (/s)Peak to Peak
Dry Asphalt11.46941.676.97715.52441.67
Dry Concrete12.16843.077.46214.99443.07
Wet Asphalt14.34348.338.88214.16448.33
Snow48.876142.6830.16212.763142.68
Ice164.468499.3373.0659.146499.33
Table 7. Stopping times and distances (ABS with FLC).
Table 7. Stopping times and distances (ABS with FLC).
RoadStopping Time (s)Stopping Distance (m)Rise Time (s)Slew Rate (/s)Peak to Peak
Dry Asphalt7.87124.414.81113.18424.41
Dry Concrete8.62626.375.02912.25126.37
Wet Asphalt11.72135.427.17012.83835.42
Snow47.589139.8721.5199.213139.87
Ice164.036497.52101.83612.692497.52
Table 8. Comparison of ABS studies.
Table 8. Comparison of ABS studies.
StudyControllerStopping Distance (m)Stopping Time (s)Improvement Compared to Others
Our study (FLC–ABS)FLC24.417.87Over 90% shorter distance and time vs. both studies
Study 01 (FLC vs. PID)FLC
PID
258 (FLC),
272 (PID)
15.0 (FLC), 15.6 (PID)FLC slightly better than PID (≈5% shorter distance, 0.6 s faster)
Study 02 (PID vs. FLC vs. Bang-Bang)PID
FLC
Bang-Bang
130.21 (PID), 280.03 (FLC), 208.68 (Bang-Bang),
228.54 (no control)
9.67 (PID), 16.76 (FLC), 13.75 (Bang-Bang),
24.22 (no control)
PID best overall, FLC worst (≈115% longer distance than PID)
Disclaimer/Publisher’s Note: The statements, opinions and data contained in all publications are solely those of the individual author(s) and contributor(s) and not of MDPI and/or the editor(s). MDPI and/or the editor(s) disclaim responsibility for any injury to people or property resulting from any ideas, methods, instructions or products referred to in the content.

Share and Cite

MDPI and ACS Style

Qasem, G.A.A.; Abdullah, M.F.; Farid, M.; Bakhuraisa, Y.A. Enhancing Anti-Lock Braking System Performance Using Fuzzy Logic Control Under Variable Friction Conditions. Symmetry 2025, 17, 1692. https://doi.org/10.3390/sym17101692

AMA Style

Qasem GAA, Abdullah MF, Farid M, Bakhuraisa YA. Enhancing Anti-Lock Braking System Performance Using Fuzzy Logic Control Under Variable Friction Conditions. Symmetry. 2025; 17(10):1692. https://doi.org/10.3390/sym17101692

Chicago/Turabian Style

Qasem, Gehad Ali Abdulrahman, Mohammed Fadhl Abdullah, Mazen Farid, and Yaser Awadh Bakhuraisa. 2025. "Enhancing Anti-Lock Braking System Performance Using Fuzzy Logic Control Under Variable Friction Conditions" Symmetry 17, no. 10: 1692. https://doi.org/10.3390/sym17101692

APA Style

Qasem, G. A. A., Abdullah, M. F., Farid, M., & Bakhuraisa, Y. A. (2025). Enhancing Anti-Lock Braking System Performance Using Fuzzy Logic Control Under Variable Friction Conditions. Symmetry, 17(10), 1692. https://doi.org/10.3390/sym17101692

Note that from the first issue of 2016, this journal uses article numbers instead of page numbers. See further details here.

Article Metrics

Back to TopTop