Geometric Numerical Test via Collective Integrators: A Tool for Orbital and Attitude Propagation
Abstract
1. Introduction
Geometric Test
2. Collective System of Differential Equations
- (i)
- There exist a surjective map π and a topological space F satisfying that is a fiber bundle, where B is the base space, E is the total space, and F is the fiber.
- (ii)
- There exists a set of global sections of π (), which is a parametric family of maps , with .
- (iii)
3. How Are Collective Systems Constructed?
3.1. Collective Systems for Arbitrary ODE
- (i)
- The homeomorphism , defined as , is a global trivialization of over ; that is to say, the following diagram commutes:where is the projection on the first component of the product.
- (ii)
- A straightforward computation shows that the composition verifies
- (iii)
- It follows from the definition of the vector field .
3.2. Collective Hamiltonian Systems
4. Geometric Numerical Test Examples
4.1. Numerical Experiments in
4.1.1. Example I: Linear Systems
- (a)
- (b)
- The numerical solutions of system (17) with the same ;
- (c)
4.1.2. Example II: The Free Rigid Body
4.2. Geometric Numerical Test in Orbital Dynamics
4.2.1. The Kepler System
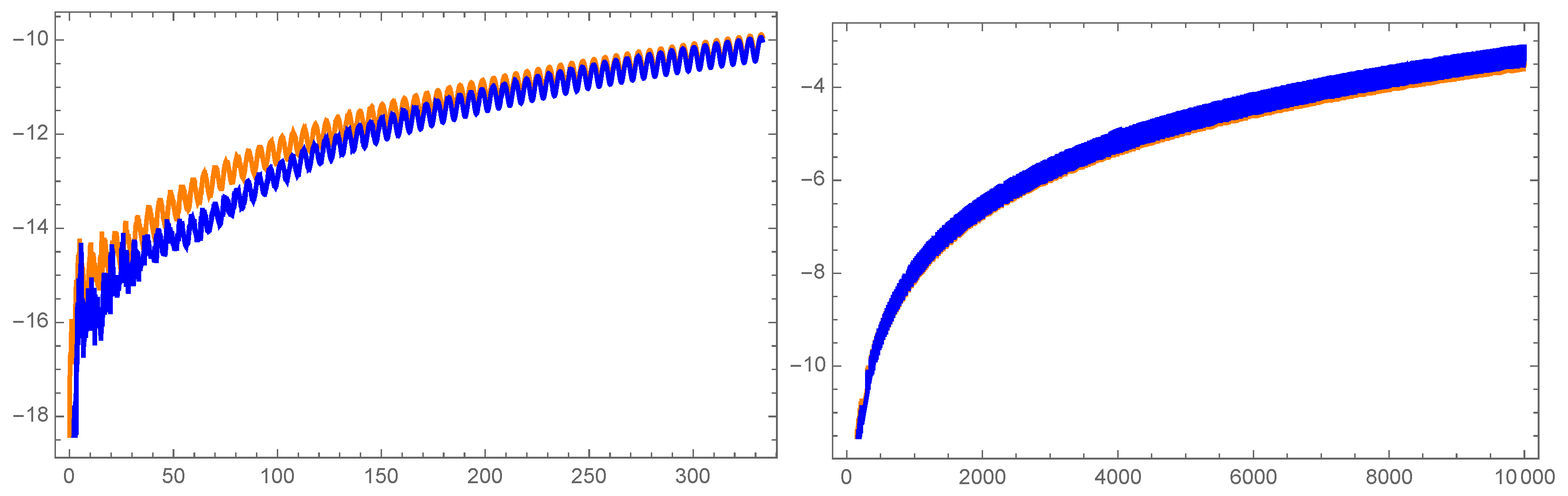
4.2.2. Perturbed Kepler System
5. Conclusions and Future Work
Author Contributions
Funding
Data Availability Statement
Acknowledgments
Conflicts of Interest
Appendix A. Collective Systems Associated with the Linear Examples
Appendix A.1. System X1
Appendix A.2. System X2
Appendix A.3. System X3
Appendix B. Glossary of Key Concepts
References
- Roa, J.; Urrutxua, H.; Peláez, J. Stability and chaos in Kustaanheimo–Stiefel space induced by the Hopf fibration. Mon. Not. R. Astron. Soc. 2016, 459, 2444–2454. [Google Scholar] [CrossRef]
- Valle, S.C.D.; Urrutxua, H.; Solano-López, P. Exploiting Gauge Freedom in KS Variables for High-Performance Numerical Orbital Propagation. In Proceedings of the Proceedings of the International Astronautical Congress (IAC), Milan, Italy, 14–18 October 2024; pp. 1537–1552. [Google Scholar] [CrossRef]
- van der Meer, J. The Kepler system as a reduced 4D harmonic oscillator. J. Geom. Phys. 2015, 92, 181–193. [Google Scholar] [CrossRef]
- Ferrer, S.; Crespo, F. Alternative Angle-Based Approach to the KS-Map. An Interpretation Through Symmetry and Reduction. J. Geom. Mech. 2018, 10, 359–372. [Google Scholar] [CrossRef]
- Crespo, F.; Ferrer, S. Alternative Reduction by Stages of Keplerian Systems. Positive, Negative, and Zero Energy. Siam J. Appl. Dyn. Syst. 2020, 19, 1525–1539. [Google Scholar] [CrossRef]
- McLachlan, R.I.; Modin, K.; Verdier, O. Collective Lie–Poisson integrators on R3. Ima J. Numer. Anal. 2014, 35, 546–560. [Google Scholar] [CrossRef]
- McLachlan, R.I.; Modin, K.; Verdier, O. Collective symplectic integrators. Nonlinearity 2014, 27, 1525. [Google Scholar] [CrossRef]
- MuntheKaas, H. Geometric integration on symmetric spaces. J. Comput. Dyn. 2024, 11, 43–58. [Google Scholar] [CrossRef]
- Hairer, E.; Wanner, G.; Lubich, C. Geometric Numerical Integration. Structure-Preserving Algorithms for Ordinary Differential Equations, 2nd ed.; Springer: Berlin/Heidelberg, Germany, 2006. [Google Scholar]
- Leimkuhler, B.; Reich, S. Simulating Hamiltonian Dynamics; Cambridge University Press: Cambridge, UK, 2004. [Google Scholar]
- Sanz-Serna, J.M. Numerical Hamiltonian Problems; Courier Dover Publications: Mineola, NY, USA, 2018. [Google Scholar]
- Nakahara, M. Geometry, Topology and Physics, 2nd ed.; Institute of Physics Publishing: Bristol, UK, 2003. [Google Scholar]
- Lee, J. Introduction to Smooth Manifolds, 2nd ed.; Graduate Texts in Mathematics; Springer: Berlin/Heidelberg, Germany, 2012; Volume 218. [Google Scholar] [CrossRef]
- Meyer, K. Symmetries and Integrals in Mechanics. Dynamical Systems; Academic Press: Cambridge, MA, USA, 1973; pp. 259–272. [Google Scholar] [CrossRef]
- Marsden, J.; Weinstein, A. Reduction of symplectic manifolds with symmetry. Rep. Math. Phys. 1974, 121–130. [Google Scholar] [CrossRef]
- Hilbert, D. Ueber die Theorie der algebraischen Formen. Math. Ann. 1890, 36, 473–534. [Google Scholar] [CrossRef]
- Weyl, H. The Classical Groups, Their Invariants and Representations; Princenton Univ. Press: Princeton, NJ, USA, 1946. [Google Scholar]
- Schwarz, G. Smooth function invariant under the action of a compact Lie group. Topology 1975, 14, 45–64. [Google Scholar] [CrossRef]
- Poenaru, V. Singularités C∞ en Présence de Symétrie; LNM; Springer: Berlin/Heidelberg, Germany, 1976; Volume 510. [Google Scholar]
- Saha, P. Interpreting the Kustaanheimo-Stiefel transform in gravitational dynamics. Mon. Not. R. Astron. Soc. 2009, 400, 228–231. [Google Scholar] [CrossRef]
- Crespo, F.; Ferrer, S. On the extended Euler system and the Jacobi and Weierstrass elliptic functions. J. Geom. Mech. 2015, 7, 151–168. [Google Scholar] [CrossRef]
- Ortega, J.P.; Ratiu, T.S. Momentum Maps and Hamiltonian Reduction; Birkhauser: Boston, MA, USA, 2004. [Google Scholar]
- Bluman, G.W.K.S. Symmetries and Differential Equations; Springer: New York, NY, USA, 1989. [Google Scholar]
- Olver, P.J. Applications of Lie Groups to Differential Equations, 2nd ed.; Springer: New York, NY, USA, 1993. [Google Scholar]
- Marsden, J.; Ratiu, T. Introduction to Mechanics and Symmetry, 2nd ed.; Texts in Applied Mathematics; Springer: New York, NY, USA, 1999; Volume 17. [Google Scholar]







Disclaimer/Publisher’s Note: The statements, opinions and data contained in all publications are solely those of the individual author(s) and contributor(s) and not of MDPI and/or the editor(s). MDPI and/or the editor(s) disclaim responsibility for any injury to people or property resulting from any ideas, methods, instructions or products referred to in the content. |
© 2025 by the authors. Licensee MDPI, Basel, Switzerland. This article is an open access article distributed under the terms and conditions of the Creative Commons Attribution (CC BY) license (https://creativecommons.org/licenses/by/4.0/).
Share and Cite
Crespo, F.; Vidarte, J.; Villafañe, J.G.; Zapata, J.L. Geometric Numerical Test via Collective Integrators: A Tool for Orbital and Attitude Propagation. Symmetry 2025, 17, 1652. https://doi.org/10.3390/sym17101652
Crespo F, Vidarte J, Villafañe JG, Zapata JL. Geometric Numerical Test via Collective Integrators: A Tool for Orbital and Attitude Propagation. Symmetry. 2025; 17(10):1652. https://doi.org/10.3390/sym17101652
Chicago/Turabian StyleCrespo, Francisco, Jhon Vidarte, Jersson Gerley Villafañe, and Jorge Luis Zapata. 2025. "Geometric Numerical Test via Collective Integrators: A Tool for Orbital and Attitude Propagation" Symmetry 17, no. 10: 1652. https://doi.org/10.3390/sym17101652
APA StyleCrespo, F., Vidarte, J., Villafañe, J. G., & Zapata, J. L. (2025). Geometric Numerical Test via Collective Integrators: A Tool for Orbital and Attitude Propagation. Symmetry, 17(10), 1652. https://doi.org/10.3390/sym17101652





