Next Article in Journal
Crowd-Shipping: Optimized Mixed Fleet Routing for Cold Chain Distribution
Previous Article in Journal
Hp-Adaptive Dynamic Trust Region Sequential Convex Programming: An Enhanced Strategy for Trajectory Optimization
 
 
Font Type:
Arial Georgia Verdana
Font Size:
Aa Aa Aa
Line Spacing:
Column Width:
Background:
Article

SymOpt-CNSVR: A Novel Prediction Model Based on Symmetric Optimization for Delivery Duration Forecasting

1
School of Electronic and Communication Engineering, Shenzhen Polytechnic University, Shenzhen 518055, China
2
School of Computer Science, University of Liverpool, Liverpool L69 3DR, UK
3
School of Integrated Circuits, Guangdong University of Technology, Guangzhou 510006, China
*
Author to whom correspondence should be addressed.
Symmetry 2025, 17(10), 1608; https://doi.org/10.3390/sym17101608
Submission received: 9 September 2025 / Revised: 20 September 2025 / Accepted: 22 September 2025 / Published: 28 September 2025
(This article belongs to the Section Computer)

Abstract

Accurate prediction of food delivery time is crucial for enhancing operational efficiency and customer satisfaction in real-world logistics and intelligent dispatch systems. To address this challenge, this study proposes a novel symmetric optimization prediction framework, termed SymOpt-CNSVR. The framework is designed to leverage the strengths of both deep learning and statistical learning models in a complementary architecture. It employs a Convolutional Neural Network (CNN) to extract and assess the importance of multi-feature data. An Enhanced Superb Fairy-Wren Optimization Algorithm (ESFOA) is utilized to optimize the diverse hyperparameters of the CNN, forming an optimal adaptive feature extraction structure. The significant features identified by the CNN are then fed into a Support Vector Regression (SVR) model, whose hyperparameters are optimized using Bayesian optimization, for final prediction. This combination reduces the overall parameter search time and incorporates probabilistic reasoning. Extensive experimental evaluations demonstrate the superior performance of the proposed SymOpt-CNSVR model. It achieves outstanding results with an R2 of 0.9269, MAE of 3.0582, RMSE of 4.1947, and MSLE of 0.1114, outperforming a range of benchmark and state-of-the-art models. Specifically, the MAE was reduced from 4.713 (KNN) and 5.2676 (BiLSTM) to 3.0582, and the RMSE decreased from 6.9073 (KNN) and 6.9194 (BiLSTM) to 4.1947. The results confirm the framework’s powerful capability and robustness in handling high-dimensional delivery time prediction tasks.

1. Introduction

Following the conclusion of the COVID-19 pandemic, the food and beverage industry has markedly accelerated its adoption of the Online-to-Offline (O2O) model, characterized by “online ordering + offline delivery [1].” This shift has catalyzed substantial global growth for major food delivery platforms such as Meituan and Ele.me. The scope of delivery services has expanded beyond meals to include pharmaceuticals, flowers, and other commodities, contributing to continuous industry expansion.
In China, for instance, nearly 600 million people utilized online food delivery services by the end of 2024, accounting for 53.4% of the total internet user population [2]. Driven by the rapid proliferation of the O2O model, the market has demonstrated robust growth momentum, engaging over one-fifth of China’s population in using these services. The adoption rate surged remarkably from 16.5% at the end of 2015 to 52.7% by the end of 2021—an increase of 36.2 percentage points over six years—underscoring the sector’s vast developmental potential [3]. This growth has been facilitated by leading delivery platforms including Meituan, Ele.me, and Baidu, alongside continuous advancements in e-commerce and mobile technology [3,4,5]. Among these, Meituan has established a dominant market position, capturing 69% of the market share in 2020, a 5-percentage-point increase from 2019, reflecting its significant competitive advantage [6].
However, market advancement necessitates further refinement of delivery services, particularly regarding the accurate communication of delivery timeframes to enhance customer satisfaction [7,8]. Existing research indicates a correlation between accurate predicted delivery times and user satisfaction [9], as customers often need to align food orders with their personal schedules. It is noteworthy that the delivery time provided by platforms is essentially an Estimated Time of Arrival (ETA), representing the predicted duration from the point of origin to the destination—a subject that has been extensively studied [10,11,12]. Nonetheless, the final delivery duration is influenced by a multitude of features, often resulting in significant variability and unexpected fluctuations [13].
To address the challenges posed by high-dimensional feature sets in predicting food delivery times, enhance service satisfaction, and leverage technology to balance the commercial dynamics between sellers and buyers, this paper examines computational methods capable of precisely identifying predictive features and introducing new momentum into high-dimensional ETA forecasting.
In recent years, prediction technology has become a hot topic across various fields, attracting significant attention from researchers in algorithms and machine learning. For instance, traditional statistics has contributed methods such as Autoregressive (AR) models [14], which assume linear relationships, Moving Average (MA) methods [15], Autoregressive Moving Average (ARMA) models [16], Autoregressive Integrated Moving Average (ARIMA) models [17], along with their seasonal variants like SARIMA [18] and exponential smoothing techniques such as Holt-Winters [19]. These approaches have provided valuable insights into regression and forecasting from a statistical perspective. Machine learning has broken through the linear constraints inherent in traditional models, with notable examples including Support Vector Machines (SVMs) [20], Random Forests (RFs) [21], Gradient Boosting Decision Trees (GBDTs) [22], and Multi-Layer Perceptrons (MLPs) [23]. Building upon these, deep learning techniques enable end-to-end feature learning through sophisticated feature engineering and modeling. Representative deep learning architectures include Recurrent Neural Networks (RNNs) [24], Long Short-Term Memory networks (LSTMs) [25], Gated Recurrent Units (GRUs) [26], and the attention-based Transformer model [27]. These have significantly enhanced the ability to model long-term dependencies and high-dimensional dynamic systems.
Applying intelligent computational models to predict delivery times is crucial for enhancing user satisfaction and reducing operational costs for these platforms [28]. Addressing the core need for cloud resource scheduling in food delivery platforms, Lang et al. [29] innovatively applied an improved Artificial Neural Network (ANN) model to predict order volumes. This approach effectively increased prediction accuracy and successfully integrated the results into dynamic resource scheduling strategies, demonstrating the practical value of predictive models in optimizing decision-making and substantially improving platform operational efficiency [29]. However, their model primarily focused on relatively macro-level order volume forecasting and did not sufficiently account for micro-level dynamic factors affecting delivery timeliness, such as real-time traffic conditions and rider behaviors. Subsequently, Song et al. [30] focused on the “last-mile” delivery segment, which directly impacts user experience. They were among the first to systematically identify the critical issue of predicting final-leg delivery service times and explored its feasibility using big data technology, laying the groundwork for subsequent refined research in this area [30]. Nonetheless, the depth of their study and the disclosure of model details were relatively limited, and the robustness and generalization ability of their proposed framework in complex and dynamic urban environments require further validation. Against this backdrop, de Araujo et al. [31] expanded the scope to encompass the prediction of End-to-End total delivery time—from origin to destination—for packages. They innovatively applied deep learning models to process complex logistical sequence data, achieving notable improvements in prediction accuracy. Their research was explicitly geared towards serving the development of smart cities, with a clear application orientation [31]. It is noteworthy, however, that while their deep learning model is powerful, its performance is highly dependent on data quality and annotations, potentially limiting its effectiveness in scenarios with sparse or noisy data. Therefore, collecting a robust set of features that effectively reflect the factors of influencing prediction is paramount. To address the aforementioned challenges and pursue higher accuracy, the recent work by Zhu et al. [32] represents a cutting-edge direction. They proposed an innovative hybrid model integrating fuzzy systems with a Convolutional Factorization Machine (CFM). This model not only leverages fuzzy systems to effectively handle the uncertainty and semantic information prevalent in logistics processes but also captures complex high-order interactions among features efficiently through the CFM. It demonstrates superior performance and enhanced robustness in delivery time prediction tasks, marking a significant breakthrough in intelligent logistics forecasting technology [32]. Nevertheless, the architecture of such hybrid models is typically complex, accompanied by relatively high computational costs and training difficulties, necessitating the use of optimization methods for adaptive parameter tuning.
For the adaptive tuning of model hyperparameters, researchers widely employ heuristic algorithms due to their high efficiency and ease of use. Liu et al. [33] proposed the Earthworm Optimization Algorithm (EOA) to optimize Support Vector Regression (SVR), significantly enhancing the prediction accuracy of reservoir landslide displacement. Their contribution lies in using EOA to adaptively adjust SVR hyperparameters, effectively overcoming the limitations of experience-dependent traditional methods [33]. Meanwhile, Che et al. [34], addressing the issue of predicting high-speed mechanical test data, utilized a multi-strategy improved Whale Optimization Algorithm (WOA) to optimize Long Short-Term Memory (LSTM) hyperparameters, substantially boosting the model’s robustness and generalization ability. They innovatively integrated chaotic initialization and dynamic weight strategies to avoid local optima [34]. Furthermore, Zhou et al. [35] designed an improved Sparrow Search Algorithm (ISSA) to optimize LSTM hyperparameters, achieving high-precision prediction of building heating and cooling loads. The advantage of their approach is the introduction of an adaptive perturbation mechanism to enhance global search capability [35]. In the energy sector, Qiu et al. [36] combined the Particle Swarm Optimization (PSO) algorithm with Gated Recurrent Units (GRUs) and innovatively incorporated Kolmogorov-Arnold Networks (KANs) to optimize oil well production prediction. PSO efficiently identified the key hyperparameters of the GRU-KAN model, significantly reducing prediction error [36]. In a similar vein, Cui et al. [37] proposed a hybrid Whale Optimization Algorithm (WOA) to optimize a regional heat load prediction model based on CNN-LSTM-Attention. Their contribution involves the synergistic optimization of hyperparameters across multiple modules via WOA and the use of an attention mechanism to strengthen feature extraction [37]. Correspondingly, Safavi et al. [38] combined the Coati Optimization Algorithm with CNN-XGBoost for early prediction of battery lifespan. This algorithm performs a targeted search for key hyperparameters, improving prediction timeliness while reducing reliance on data, collectively demonstrating the powerful performance of models after hyperparameter optimization [38].
In summary, this research proposed a novel symmetric optimization prediction model framework (SymOpt-CNSVR) for food delivery time prediction. The specific contributions are as follows:
  • Inspired by the collective intelligent behavior of Superb Fairy-wrens, three key enhancements have been made to the original Superb Fairy-wren Optimization Algorithm (SFOA) algorithm to solve complex optimization problems more efficiently. Firstly, a mechanism for group collaboration and information sharing was introduced, simulating how birds collectively avoid predators and search for food. This effectively helps the algorithm escape local optima, enhancing global exploration capabilities and stability. Secondly, a historical memory mechanism was designed, allowing individuals to remember and revisit historically optimal positions, thereby improving the algorithm’s convergence accuracy and search efficiency. Finally, a self-reinforcement learning strategy was integrated, requiring individuals to self-improve based on historical experience in each iteration, ensuring continuous enhancement of solution quality. These enhancements significantly improve the optimization performance of the algorithm, as demonstrated by the reduction in MAE and RMSE on the test set from 3.8646 and 5.0253 (using the original SFOA) to 3.0582 and 4.1947 (using ESFOA). This algorithm provides an effective new tool for automated and precise hyperparameter tuning of deep learning models.
  • The core innovation of this paper lies in constructing a “symmetrical” hybrid modeling framework that skillfully combines the strengths of deep learning and statistical learning. The framework adopts a symmetrical design logic: it utilizes the powerful nonlinear feature extraction capability of Convolutional Neural Networks (CNNs) to process high-dimensional sequential data and employs the improved ESFOA for automated hyperparameter optimization. Simultaneously, to obtain more statistically meaningful prediction results, a Support Vector Regression (SVR) model is used to capture deterministic patterns in the data, with Bayesian optimization applied for probabilistic search of its key parameters. This symmetrical structure of “CNN-ESFOA” and “SVR-Bayesian optimization” achieves a balance and unification between the representational power of deep learning and the interpretability of statistical models, offering a novel solution for complex data prediction problems.
  • This paper applies the proposed SymOpt-CNSVR framework to the prediction of complex high-dimensional sequential data in food delivery scenarios. Through rigorous experimental comparisons, the proposed method significantly outperforms traditional baseline models and other optimized prediction methods in terms of prediction accuracy. The results demonstrate that the framework can effectively capture nonlinear spatiotemporal dependencies and statistical patterns in food delivery data, providing a higher-precision prediction model to address the critical time prediction challenges in logistics delivery, with substantial practical application value.
The remainder of this paper is structured as follows: Section 2 describes the designed algorithm and the establishment of the SymOpt-CNSVR model based on symmetrical logic; Section 3 introduces the experimental environment and the testing and evaluation of the algorithm; Section 4 summarizes the innovations and effectiveness of this study and offers insights for future improvements.

2. Methodologies

The SymOpt-CNSVR framework developed in this research aims to enhance the prediction accuracy of complex high-dimensional sequential data in food delivery by integrating the strengths of the deep learning model CNN and the statistical learning model SVR. This is achieved by leveraging ESFOA and Bayesian optimization to balance and symmetrically optimize their key hyperparameters. The core concept of the framework lies in its symmetry: for complex high-dimensional feature data, the deep learning CNN architecture is employed for pre-training to extract nonlinear dependency features, while ESFOA is used to automate the hyperparameter tuning of CNN. Subsequently, to generate statistically informed predictions, the SVR model is applied, and Bayesian probabilistic optimization is utilized to search for the optimal parameter combinations. This symmetrical design achieves a balance between deep learning techniques and probabilistic statistics, not only optimizing model performance but also reflecting careful consideration of adapting different optimization strategies to different model types. Figure 1 illustrates the overall flowchart of the framework.

2.1. Convolutional Neural Network

The prediction of food delivery time involves multiple types of features, which contain complex spatiotemporal or pattern information, requiring a powerful nonlinear feature extractor. CNN is an ideally suited choice due to its local connectivity, weight sharing, and hierarchical feature extraction capabilities, typically, a CNN consists of multiple convolutional layers, pooling layers, and fully connected layers [39]. In this model, the CNN is used to learn the feature representation of the input data, denoted as X.

2.1.1. Convolution Operation

The function of the convolution layer is to process the input data through the convolution filter to extract local features. The convolution operation can be expressed as:
y = f ( W X + b ) ,
where represents the convolution operation, b is the bias term, f is the activation function.

2.1.2. Pooling Operation

The pooling layer is used to downsample the convolutional features to reduce computational complexity and overfitting risk. Assuming the pooling operation is the maximum pooling operation:
z = max i , j f ( y ) ,
where the output z of the pooling layer is the downsampled feature.

2.1.3. Fully Connected Layer

After convolution and pooling, the feature map is flattened into a one-dimensional vector and then input into the fully connected layer for processing. The calculation of the fully connected layer can be expressed as:
h = W f z + b f ,
where W f is the weight of the fully connected layer, b f is the bias term, h is the high-dimensional feature extracted by CNN.

2.2. Support Vector Regression

The problem of predicting food delivery time typically involves complex nonlinear relationships and high-dimensional features, which traditional regression models struggle to effectively capture. Leveraging the high-dimensional data features processed by CNN, Support Vector Regression (SVR) employs an epsilon-insensitive loss function and kernel functions to construct accurate regression models in high-dimensional spaces. Its strong generalization capability [40] makes it well-suited for addressing this prediction task.

2.2.1. Error Constraints and Regularization Objective

SVR uses a loss function that is insensitive to ε and penalizes predictions that differ from the expected output by more than ε, which can be expressed as follows:
| f ( x i ) y i | ε ,
where is the error between the function’s predicted value for a given input and the actual output. SVR attempts to find the narrowest tube centered on the surface that minimizes the prediction error while also minimizing the amount i = 1 N ξ that exceeds in the training examples, which can be expressed as follows:
min w , b , ξ 1 2 | | w | | 2 + C i = 1 N ξ i ,
where w is the magnitude of the normal vector of the approximated surface and C is a regularization term that gives greater weight to minimizing flatness (i.e., error).

2.2.2. Feature Maps and Kernel Functions

For nonlinear functions, the data can be mapped to a higher-dimensional space, namely the kernel space, to achieve higher accuracy, which can be expressed as follows:
f ( x ) = w T ϕ ( x ) + b ,
where w represents the weight vector, ϕ ( · ) is the transformation from feature space to kernel space, b is the bias term. The kernel function defines the similarity between two samples x and x in the input space and can be expressed as follows:
K ( x , x ) = exp ( γ | | x x | | 2 ) .

2.2.3. Prediction Stage

Use the learned function f ( x ) to make predictions:
y ^ = f ( h ) .

2.3. Enhanced Superb Fairy-Wren Optimization Algorithm (ESFOA)

Due to the excessive number of hyperparameters in CNN, manual adjustment is overly complex. Therefore, the Superb Fairy-wren Optimization Algorithm (SFOA) is employed for automated hyperparameter tuning. SFOA [41] is a novel meta-heuristic algorithm proposed in 2025, inspired by the life habits of the Superb Fairy-wren. It simulates three natural behaviors of the species: juvenile growth, reproduction and feeding, and predator avoidance. The specific model of SFOA is included in the Appendix A. Although the performance of SFOA has been proven, it is still limited when facing high-dimensional complex problems. In this section, we propose ESFOA to improve SFOA through Group-balanced Cooperative Search Mechanism, Memory Location Backtracking Strategy and Foraging Intensive Training.

2.3.1. Group-Balanced Cooperative Search Mechanism

During population evolution and reproduction, Superb Fairy-wrens exhibit highly organized collective behaviors, such as cooperative foraging and predator avoidance, which significantly enhance group survival efficiency through information sharing and collaboration. Inspired by this phenomenon, this paper innovatively introduces a group-balanced cooperative search mechanism into the ESFOA. This mechanism establishes a dynamic equilibrium between individual exploration and group collaboration: individuals contribute local information to the group while simultaneously receiving global guidance from it, thereby achieving an efficient balance between exploration and exploitation. This structure not only simulates the distributed decision-making intelligence of biological groups but also effectively suppresses premature convergence by constructing symmetric information interaction between individuals and the group, significantly enhancing the algorithm’s global search capability and convergence stability. The specific process is as follows:
For each Superb Fairy-wren, its position update depends not only on its own position and the global best position but also on the average position of the group. The position update formula is as follows:
X n e w i j = X n e w i j + 0.5 ( X m e a n X i j ) ,
where X m e a n is the average position of all members in the group, X m e a n = 1 N i = 1 N X i .

2.3.2. Memory Location Backtracking Strategy

During foraging, Superb Fairy-wrens demonstrate the ability to remember optimal feeding locations and revisit these areas to enhance foraging efficiency. Inspired by this natural behavior, the ESFOA constructs a symmetric memory pool based on individual historical best positions and group-shared information. Each individual not only updates its own position during iterations but also maintains a dynamic memory set that records its historical best position information. By introducing a memory location backtracking strategy, individuals can refer to both their own historical best positions and group collaborative information while exploring new regions. Specifically, for each Superb Fairy-wren, the memory location update formula is as follows:
X h i s t o r y i j = X h i s t o r y i j + 0.1 ( X n e w i j X h i s t o r y i j ) ,
where X h i s t o r y i j is best position in history for the i-th Superb Fairy-wren.

2.3.3. Foraging Intensive Training

After engaging in collective working memory, Superb Fairy-wrens undergo self-improvement to enhance their foraging capabilities. Based on the reinforcement training measurement proposed by Wang et al. [42], the ESFOA incorporates a self-improvement module after each iteration, ensuring that subsequent solutions outperform previous ones. Specifically, each Superb Fairy-wren, after collaboration and memory processes, undergoes self-learning to balance the global optimum. The update formula is as follows:
X n e w i j = X i j + 0.2 X i j l k ( X r 1 X r 2 ) ,     r a n d < 0.5 X n e w i j = X b + 1 2 ( 1 + 1 1000 ( 1 F E s M a x F E s ) 2 sin ( rand π ) ) ( X b X i j ) e l s e
where X r 1 and X r 2 represent two randomly selected positions.
The complete algorithm flow chart is shown in Figure 2.

2.4. Bayesian Optimization

Since both SVR and Bayesian optimization originate from statistical probability theory, Bayesian optimization can collaboratively balance the parameters of SVR. By constructing a probabilistic model of the objective function, it automatically searches for the optimal predictive parameters of SVR with relatively few experimental evaluations. By striking a balance between exploration and exploitation, Bayesian optimization effectively enhances model performance, particularly in scenarios with high computational costs and complex parameter spaces [43].

2.4.1. Prior Distribution of Gaussian Process

Bayesian optimization usually uses a probabilistic surrogate model, usually a Gaussian process, as a surrogate f ( x ) Gaussian process model for the unknown function, which can be defined as:
f ( x ) G P ( μ ( x ) , k ( x , x ) ) ,
where μ ( x ) = E ( f ( x ) ) represents the average function, k ( x , x ) = E ( f ( x ) μ ( x ) ) ( f ( x ) μ ( x ) ) represents the covariance function of the unknown process.

2.4.2. Posterior Distribution of Gaussian Process

The posterior distribution of the Gaussian process is defined as follows, which represents the conditional probability distribution of the target function f at the predicted point X given the training data X and the corresponding observation value y:
p ( f | X , X , y ) = N ( μ , Σ ) ,
where N ( μ , Σ ) represents f follows a Gaussian distribution, μ is mean value, Σ is the covariance, The formula is as follows:
μ = K ( X , X ) K ( X , X ) 1 y ,
Σ = K ( X , X ) K ( X , X ) K ( X , X ) 1 K ( X , X )
where K ( X , X ) is the covariance matrix of the prediction point and the training point, K ( X , X ) 1 is the inverse of the covariance matrix of the training points, K ( X , X ) is the covariance between the forecast points.

2.4.3. Expected Improvement

While it is desirable to choose x so that this improvement is as large as possible, f ( x ) is unknown before evaluation. Therefore, we take the expected value of the improvement and choose x to maximize it, defining the expected improvement function as:
EI ( x ) = E [ max ( f ( x ) f ( x best ) , 0 ) ] ,
where f ( x best ) is the best target value observed so far. The improved probability, that is, the probability that the function value at candidate point x is higher than the current best value, can be expressed as:
PI ( x ) = Φ f ( x best ) μ ( x ) σ ( x ) ,
where μ ( x ) is the mean of the Gaussian process posterior prediction, σ ( x ) is the standard deviation of the predictions. The expected improvement algorithm is then evaluated at the point with the largest expected improvement:
x n + 1 = arg max x X A c q u i s i t i o n   F u n c t i o n ( x ) ,
where x n + 1 represents input point to be selected for evaluation for the n + 1th time, arg max represents selecting the point that maximizes the acquisition function value, χ is the search space, A c q u i s i t i o n   F u n c t i o n ( x ) is the acquisition function, which measures the value of evaluating at a certain point x .

3. Experimental Analysis

3.1. Data Statistics and Processing

In this section, the present study compiles a dataset related to food delivery services. To gain a comprehensive understanding of the data’s structure and distribution, and to identify potential data issues such as missing values, outliers, and other irregularities, the study conducts a detailed statistical analysis of each variable, as presented in Table 1.
As revealed in Table 1, the dataset exhibits a certain proportion of missing values across its variables. To ensure the accuracy and reliability of subsequent experimental analyses, the study presents a detailed enumeration of the missing values, as shown in Table 2, in order to better understand the distribution of the missing data.
Since the missing data are textual and the proportion of missing values in this part is small, they are not suitable for interpolation filling. Therefore, excluding these samples has no significant impact on the overall distribution of the data. Furthermore, to ensure consistency within the dataset, the study eliminates these missing values to avoid any potential impact on the predictive outcomes.
For textual data, as most machine learning algorithms are unable to process raw text directly, this study employs numerical encoding to transform the text into a format that can be recognized by the model, as shown in Table 3.

3.2. Experimental Environment

To guarantee the fairness and reproducibility of the experiments, the experiments were conducted on a workstation equipped with an Intel Core i7-11800H processor (Intel Corporation, Santa Clara, CA, USA), 16 GB RAM, and an NVIDIA GeForce RTX-3060 GPU with 14 GB memory (NVIDIA Corporation, Santa Clara, CA, USA).
To validate the reproducibility of the results obtained from the SymOpt-CNSVR model, its initial parameter settings are presented in Table 4.
To ensure the generalizability of the model, the dataset in this study was split into training and test sets in a 7:3 ratio.
The study employs four evaluation metrics—coefficient of determination (R2), mean absolute error (MAE), root mean square error (RMSE), and mean squared log error (MSLE)—to assess the model’s stability and accuracy. The corresponding formulas are provided in Table 5.

3.3. Algorithm Performance Testing

In this section, ESFOA is compared with seven high-citation algorithms, including SFOA, Bermuda Triangle Optimizer (BTO) [44], Chinese Pangolin Optimizer (CPO) [45], Kepler Optimization Algorithm (KOA) [46], Improved Black-Winged Kite Algorithm (IBKA) [47], Enhanced Sea Horse Optimization (ESHO) [48], and Chaotic Mountain Gazelle Optimizer Improved by Multiple Oppositional-Based Learning Variants (HCQDOPP-MGO) [49], to demonstrate the superiority and rationality of the proposed algorithm. The function test set from IEEE CEC2022 [50] is used, the search interval is denoted as 100 , 100 D , as shown in Table 6.
The initial population size for all swarm intelligence algorithms is set to 50, with a maximum evaluation count of 1000. To ensure fairness, 50 independent experimental runs are conducted for each algorithm. This section evaluates the performance of ESFOA using the CEC2022 (Dim = 2/10/20) benchmark test suite. In order to focus on the average performance of each algorithm under different test conditions, this subsection presents only the comparative results of the mean values obtained after running each algorithm on datasets of varying dimensions.
First, the performance of ESFOA is evaluated using the CEC2022 (Dim = 2) benchmark test suite.
Table 7 shows that ESFOA ranks first in terms of mean values on the F6, F7, and F8 hybrid functions, while it achieves a mean rank of 1 on the F10 composite function with a value of 2427.785, clearly outperforming other algorithms. This demonstrates the precise prediction capability of ESFOA in complex function environments.
Figure 3 presents the average runtime of ESFOA and other algorithms across various test functions. ESFOA is highlighted in orange, while the other algorithms are highlighted in yellow. ESFOA has an average runtime of 0.051739 s, ranking third. Notably, it shows a significant improvement compared to BTO (0.099727 s) and CPO (0.670289 s). This result indicates that ESFOA strikes a good balance between optimization performance and computational efficiency, demonstrating superior performance.
Furthermore, the performance of ESFOA is evaluated by increasing the test set dimension to 10. The mean comparison results are shown in Table 8.
Table 8 shows that ESFOA exhibits the best performance on the F7, F8, F10, and F12 functions, ranking first in both hybrid and composite functions. This indicates that ESFOA demonstrates high stability across these functions.
Figure 4 compares the convergence curves of ESFOA with other algorithms. The blue line represents ESFOA, which clearly demonstrates a strong ability to escape local optima in the later stages. This is a result of its self-enhancing training capability, indicating that ESFOA performs steady iterations in the early stages while exhibiting a powerful ability to escape local optima in the later stages.
Figure 5 illustrates the iterative stability of ESFOA compared to other algorithms. The blue box plot represents ESFOA, which shows a relatively small box size and a very low average fitness value, suggesting that ESFOA not only converges quickly but also exhibits a degree of stability in its search capability.
Next, the test set dimension is further increased to 20 dimensions.
As shown in Table 9, the ESFOA is a comprehensive and highly robust optimizer. Although it did not achieve first place on some functions, its overall performance is exceptional: it ranks first on F12, second on several challenging functions such as F2, F6, and F11, and maintains stable competitiveness across other functions. This indicates that ESFOA is not a specialized algorithm but rather a powerful tool that can be widely applied to various complex optimization problems. Especially when handling high-dimensional, multimodal, and composite functions, its balanced exploration and exploitation capabilities ensure outstanding final performance.
As shown in Figure 6, ESFOA ranks very high in the Friedman mean value for each dimension. It ranks first in the two-dimensional case and second in average, slightly lower than CPO. However, due to the very high time complexity of CPO, ESFOA has an excellent simple and efficient optimization capability, proving that the algorithm is very practical.

3.4. Model Prediction

In order to further evaluate the effectiveness of the ESFOA improvement, we brought this method into the SymOpt-CNSVR model we developed for optimization. Through the evaluation results of the training set and the test set, we can obtain the effectiveness of the model in predicting the delivery time of takeout.
Table 10 shows the results and ranges of ESFOA and SFOA optimization, and the final training and testing evaluation results are shown in Table 11.
Overall, Table 11 shows that both SFOA and ESOFA demonstrate strong predictive capabilities on the SymOpt-CNSVR model, with R2 values on both the training and test sets approaching or exceeding 0.9, indicating good model fit and strong generalization. Further comparison reveals that the enhanced ESOFA optimization method significantly outperforms the basic SFOA across all evaluation metrics: its R2 on the training and test sets increases by approximately 0.03 and 0.03, respectively, while its MAE, RMSE, and MSLE decrease significantly. In particular, the MAE on the training set decreases by approximately 27%, and the MSLE on the test set decreases by approximately 24%. This demonstrates that ESOFA offers significant advantages in improving prediction accuracy, stability, and error control, while avoiding significant overfitting, demonstrating enhanced optimization efficiency and model robustness.
After 10 repeated runs, the Wilcoxon test was used to verify the significance of the difference between the results of the two methods. As can be seen from Table 12, all the p-values of the four indicators of SFOA with ESFOA as the standard are less than 0.05, which is significant, indicating that there are obvious differences in the optimization results of the two methods. The results in Table 11 are reliable.
Figure 7 shows that even when the initial solution is poorly designed, ESFOA can still achieve a convergence value that exceeds the target in a short number of iterations through its powerful cruising ability. This shows that ESFOA has very strong performance in optimizing hyperparameters and is suitable for use in the problem of selecting multiple hyperparameter combinations for models in high-dimensional data prediction.

3.5. Ablation Study

Furthermore, this study will conduct ablation tests on the performance of each module of the model developed in this paper, quantitatively analyze the impact of each module on the overall performance, enhance the interpretability of the model established in this paper, and understand the module selection and importance in its establishment process.
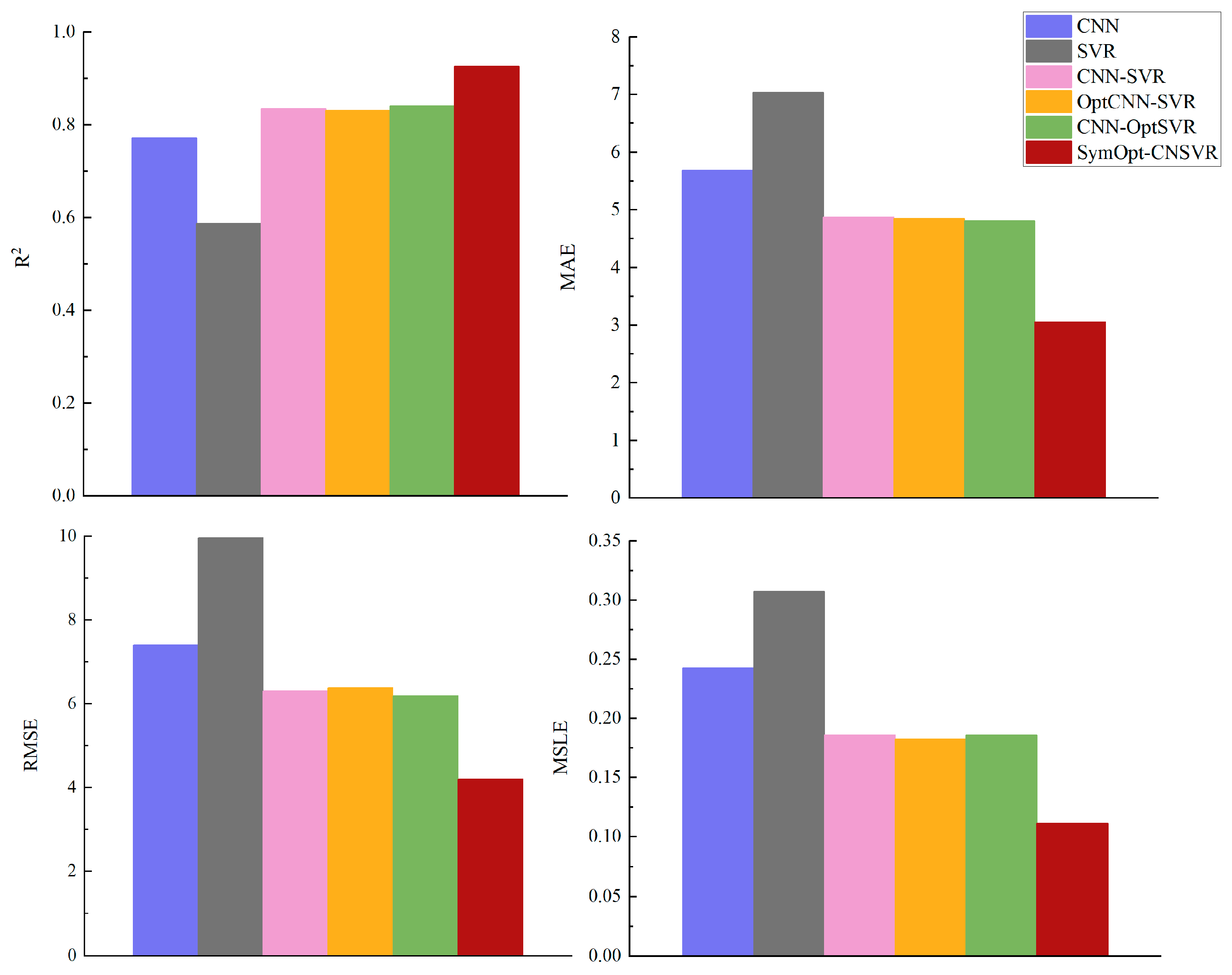
The results presented in Table 13 and Figure 8 demonstrate that SymOpt-CNSVR overwhelmingly achieves the best performance among all compared models. Its R2 value, 0.9269, significantly surpasses the other models (0.77–0.84), while achieving significantly lower MAE, RMSE, and MSLE, demonstrating its superior predictive accuracy and reliability. Specifically, the SymOpt-CNSVR model achieves significant improvements in key metrics: its R2 improves by over 10% compared to the next-best CNN-OptSVR model, while reducing MAE and RMSE by approximately 36% and 32%, respectively. While CNN and SVR each exhibit limited performance in isolation (R2 = 0.772 and 0.5874, respectively), their integration within a unified framework yields a remarkable performance improvement. This synergy can be attributed to the complementary strengths of each module: the CNN excels at capturing complex spatial and multi-feature interactions within the data, while the SVR provides strong generalization capabilities for regression tasks based on high-level features. The significant performance gap between the individual models and the combined system underscores the importance of structural cooperation in leveraging both feature learning capacity and regression stability. Furthermore, the fact that the hybrid model (CNN-SVR and its optimized variants) does not merely average the performance of its submodules—but significantly surpasses them—suggests effective information fusion rather than error accumulation. The low MSLE value (0.1114) achieved by SymOpt-CNSVR (through symmetric optimization mechanism) further confirms that the model avoids large deviant predictions, reinforcing its practical reliability in real deployment scenarios.

3.6. Comparative Experiment

In addition to ablation studies, comparative experiments are also a crucial step in evaluating model performance. Next, we will evaluate the performance of baseline models and advanced optimization models, analyzing the predictive advantages of SymOpt-CNSVR and ensuring its superiority in the complex, high-dimensional task of predicting food delivery time.
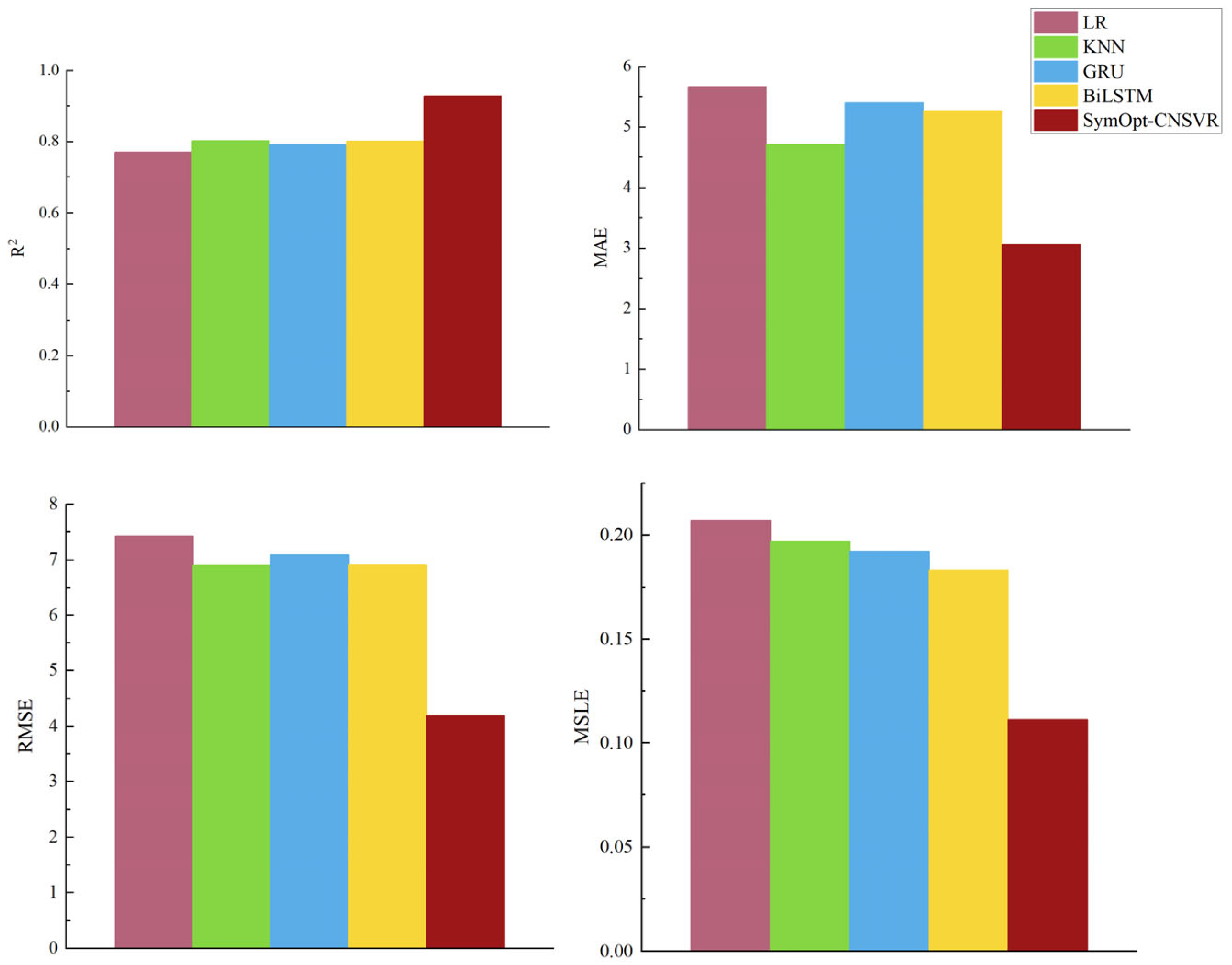
This paper compares the predictive performance of traditional linear regression (LR), K-nearest neighbor (KNN), and advanced deep learning sequence models (GRU and BiLSTM) for this task. All results are based on the test set.
As shown in Table 14 and Figure 9, SymOpt-CNSVR stands out among all compared prediction models, significantly outperforming traditional linear regression (LR), K-nearest neighbor (KNN), and advanced deep learning sequence models (GRU and BiLSTM), demonstrating a revolutionary improvement in predictive capabilities. Specifically, the SymOpt-CNSVR model’s superiority is evident in its significant lead across all core evaluation metrics: its coefficient of determination (R2) reaches a staggering 0.9269, an improvement of over 15 percentage points over the next-best performing KNN and BiLSTM (approximately 0.801), representing a substantial improvement in its ability to account for data variation. Its superiority in error control is even more striking, with MAE (3.0582) and RMSE (4.1947) significantly lower than those of other models. Compared to the best-performing models (MAE 4.713 for KNN and RMSE 6.9194 for BiLSTM), the error reductions reach 35% and 39%, respectively. Crucially, its MSLE indicator is only 0.1114, which is nearly 40% lower than the best value of other models (0.1833 of BiLSTM). This fully demonstrates that the model can extremely control the relative error even when predicting a large range of target values, and has unparalleled robustness and accuracy. Overall, the results strongly indicate that the symmetric optimization strategy adopted by SymOpt-CNSVR successfully integrates the advantages of different models. Its performance improvement is not a marginal improvement, but fundamentally surpasses the performance boundaries of traditional machine learning and even mainstream deep learning methods, setting a new accuracy benchmark. It also provides a more accurate model in the task of predicting the delivery time of takeout food, helping businesses and consumers to better determine the delivery process of takeout food.
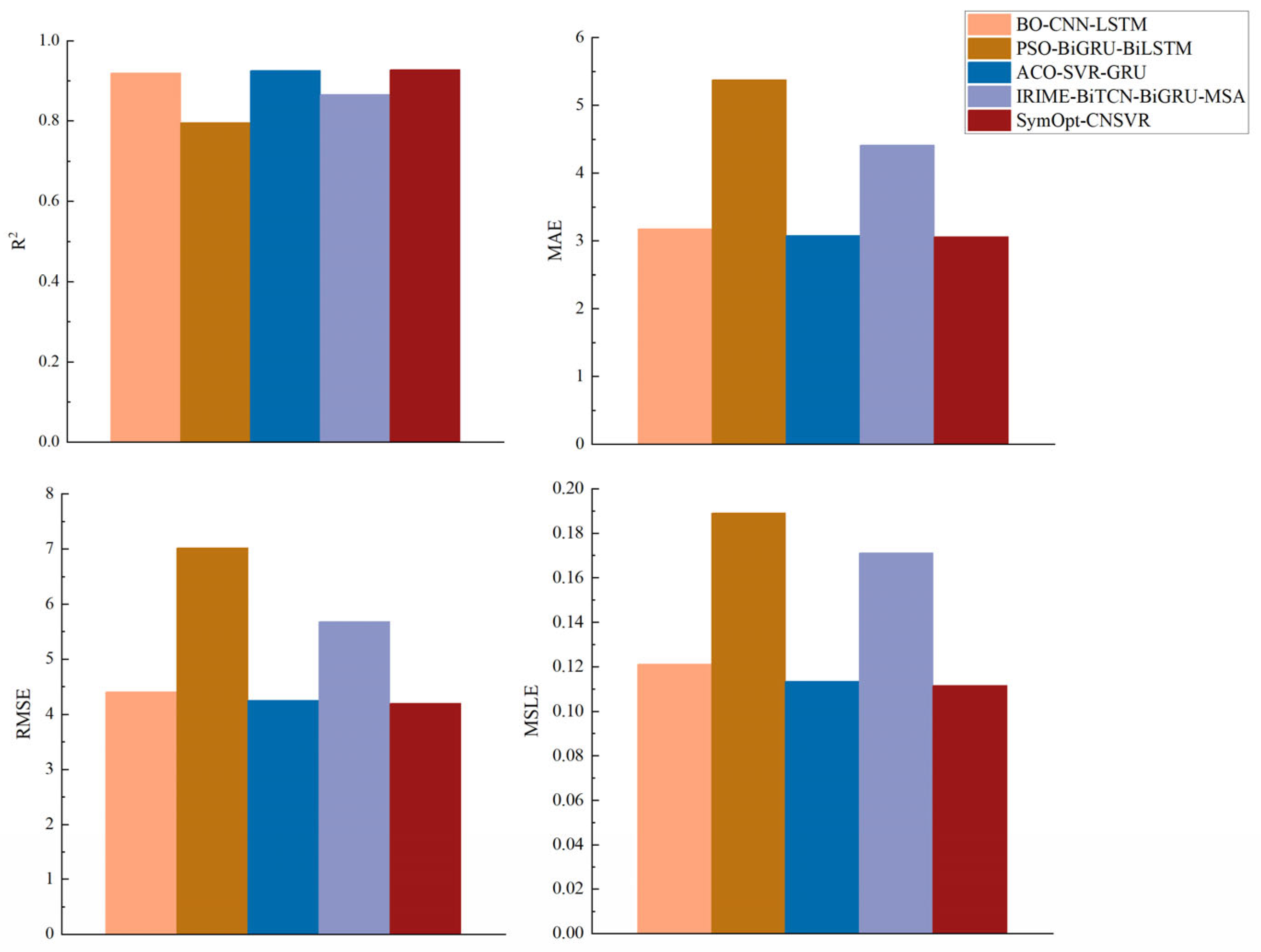
Next, we will compare it with existing advanced optimization models, including BO-CNN-LSTM [51], PSO-BiGRU-BiLSTM [52], ACO-SVR-GRU [53], and IRIME-BiTCN-BiGRU-MSA [54]. These are all powerful optimization prediction models proposed in the past two years, which can effectively verify the efficiency and practicality of SymOpt-CNSVR in this paper in prediction tasks.
The comparison results of advanced optimization models in Table 15 and Figure 10 show that all the competing models utilize a hybrid architecture combining complex intelligent optimization algorithms with deep learning components. However, the SymOpt-CNSVR model stands out, achieving the best performance across most key performance metrics, firmly establishing its position as the optimal model.
SymOpt-CNSVR’s exceptional performance is reflected in its comprehensive and balanced lead. Its R2 value (0.9269) is the highest among all models. While only slightly behind the similarly performing ACO-SVR-GRU model (0.9249), this demonstrates its exceptional predictive accuracy and ability to account for data variation. More importantly, in key metrics measuring prediction error, SymOpt-CNSVR demonstrates undeniable superiority: its MAE (3.0582) and RMS (3.0640) are both superior. The E (4.1947) was the lowest among all models, indicating that its predicted values had the smallest absolute deviation from the true values. Most convincingly, its MSLE (0.1114) also ranked first and was significantly lower than that of other models. This demonstrates that SymOpt-CNSVR possesses the strongest robustness and control capabilities against potentially large prediction errors, effectively avoiding extreme errors.
In summary, these comparison results strongly demonstrate that the symmetric collaborative optimization strategy employed by SymOpt-CNSVR not only rivals the performance of state-of-the-art hybrid optimization models, but also surpasses them overall. This indicates that its optimization framework is highly efficient, fully exploiting and integrating the strengths of different models, ultimately achieving the optimal combination of prediction accuracy, stability, and reliability, making it ideally suited for complex, high-dimensional food delivery time prediction tasks.

4. Conclusions

This paper proposes a new prediction framework, SymOpt-CNSVR, based on symmetric optimization, to address the problem of delivery time prediction in food delivery scenarios. This framework deeply integrates the advantages of convolutional neural networks (CNNs) in high-dimensional feature extraction with the robust performance of support vector regression (SVR) in statistical learning, achieving complementary advantages between the two models through structural symmetry. The CNN is responsible for multi-feature importance assessment and nonlinear relationship extraction, and its hyperparameters are adaptively optimized using our proposed Enhanced Superb Fairy-wren Optimization Algorithm (ESFOA). SVR further achieves accurate prediction based on this, and its parameter tuning is efficiently implemented using Bayesian optimization, significantly reducing the complexity and time cost of parameter search. At the algorithmic level, ESFOA significantly improves global search efficiency and convergence stability by introducing a group collaboration mechanism, historical memory backtracking, and a self-reinforcement learning strategy. Experimental results on the standard test set CEC2022 demonstrate that ESFOA outperforms current mainstream optimization algorithms such as BTO, CPO, KOA, IBKA, ESHO, and HCQDOPP_MGO in terms of convergence accuracy and robustness. Finally, SymOpt-CNSVR achieves exceptional results on real-world food delivery data, achieving R2 = 0.9269, MAE = 3.0582, RMSE = 4.1947, and MSLE = 0.1114, comprehensively surpassing multiple baseline and cutting-edge optimization models. Notably, the model achieves a prediction MAE of only about 3 min, approaching the sub-1 min error target that is critical for high-precision logistics systems. This capability allows the platform to provide customers with highly reliable delivery time estimates, thereby significantly enhancing user trust and operational coordination efficiency. It not only validates the effectiveness and advancement of the proposed framework in handling high-dimensional spatiotemporal prediction tasks but also demonstrates its substantial practical impact in real intelligent dispatch environments.
The proposed method provides a path forward for further improving prediction performance and its broad application scope. Future work will focus on exploring more expressive Transformer architectures to capture more complex spatiotemporal dependencies and promote the universal application of ESFOA to a wider range of optimization tasks. At the same time, an online learning mechanism is developed to enhance the dynamic adaptability of the model. The ultimate goal is to integrate the framework into the actual intelligent scheduling system to achieve a closed-loop transformation from academic innovation to industrial value.

Author Contributions

Conceptualization, K.Q. and Y.N.; methodology, K.Q. and Y.N.; software, K.Q. and W.W.; validation, K.Q. and W.W.; formal analysis, K.Q.; investigation, K.Q.; resources, Y.N.; data curation, W.W.; writing—original draft preparation, K.Q.; writing—review and editing, Y.N.; visualization, W.W.; supervision, Y.N.; project administration, Y.N.; funding acquisition, Y.N. All authors have read and agreed to the published version of the manuscript.

Funding

This research received no external funding.

Data Availability Statement

The core data and code of this study can be obtained from the corresponding author upon reasonable request.

Acknowledgments

We would like to show our greatest appreciation to anonymous reviewers, editor and those who have helped to contribute to this paper writing.

Conflicts of Interest

The authors declare no conflicts of interest.

Appendix A

Appendix A.1. Superb Fairy-Wren Optimization Algorithm (SFOA)

Appendix A.1.1. Initialization

SFOA randomly generates an initial population in space, and the initial positions of the members can be expressed as follows:
X = ( u b l b ) r a n d ( 0 , 1 ) + l b ,
where u b and l b are the upper and lower bounds of the decision variable, respectively, and r a n d is a random number between [0, 1], and are the upper and lower limits of the decision variable, respectively, and is a random number between [0, 1].

Appendix A.1.2. Juvenile Bird Growth Stages

At this stage, since a large number of young birds is not conducive to the survival of the population, the young birds need to continuously learn growth experience and continuously update their positions to improve the global search ability. The position update formula is as follows:
X n e w i j = X i j t ( l b + ( u b l b ) r a n d )   , r > 0.5 ,
where X i j t represents the position of the i-th Superb Fairy-wren in the j dimension after t iterations.

Appendix A.1.3. Breeding and Feeding Stage

In this stage, the teaching mechanism of Superb Fairy-wren is simulated. When the risk threshold is low, Superb Fairy-wren will enter the breeding stage. The danger threshold is:
s = 20 r 1 + 20 r 2 ,
where r 1 and r 2 are both normally distributed random numbers. Since Superb Fairy-wrens breed cooperatively, eggs are often incubated by multiple birds, who take turns feeding and teaching them. This results in slight changes in the position of the SFOA, thereby increasing the SFOA’s ability to perform local search. The position update formula is as follows:
X n e w i j = X G + X b X i j t p ,   r < 0.5   a n d   s < 20 ,
where X G = X b C , X b is best position at the moment, C = 0.8 , p is a factor that matures as the teaching cycle shortens. The closer it is to maturity, the wider the scope of activities of each SFOA. And p = sin ( 2 ( u b l b ) + m ( u b l b ) ) , m = 2 F E s M a x F E s . F E s is the current evaluation number, M a x F E s is best of evaluation number.

Appendix A.1.4. Avoiding Natural Enemies Stage

At this stage, the defense mechanism of Superb Fairy-wrens is simulated. When detected by predators, they rapidly escape and flutter their feathers to confuse the pursuer. Simultaneously, they emit alarm calls to alert other conspecifics. These two behaviors enhance the algorithm’s search scope and local search capability. This process can be expressed as follows:
X n e w i j = X b + X i j l k ,   r < 0.5   a n d   s > 20 ,
where l is the Levy flight random step size, k is the adaptive flight coefficient, k = 0.2 sin π 2 w , w is the calling frequency value, w = π 2 × F E s M a x F E s .

References

  1. He, Z.; Han, G.; Cheng, T.C.E.; Fan, B.; Dong, J. Evolutionary food quality and location strategies for restaurants in competitive online-to-offline food ordering and delivery markets: An agent-based approach. Int. J. Prod. Econ. 2019, 215, 61–72. [Google Scholar] [CrossRef]
  2. China Internet Network Information Center. The 55th Statistical Report on China’s Internet Development. 2025. Available online: https://www.cnnic.net.cn/n4/2025/0117/c88-11229.html (accessed on 1 September 2025).
  3. Maimaiti, M.; Zhao, X.; Jia, M.; Ru, Y.; Zhu, S. How we eat determines what we become: Opportunities and challenges brought by food delivery industry in a changing world in China. Eur. J. Clin. Nutr. 2018, 72, 1282–1286. [Google Scholar] [CrossRef] [PubMed]
  4. China Cuisine Association. China’s Catering Industry Development Report 2018. 2018. Available online: https://www.sohu.com/a/235446052_99900352 (accessed on 1 September 2025).
  5. Zhou, Y.; Shan, Y.; Guan, D.; Liang, X.; Cai, Y.; Liu, J.; Xie, W.; Xue, J.; Ma, Z.; Yang, Z. Sharing tableware reduces waste generation, emissions and water consumption in China’s takeaway packaging waste dilemma. Nat. Food 2020, 1, 552–561. [Google Scholar] [CrossRef]
  6. Zhiyan Consulting. Research Report on China Online Food Delivery Industry 2021. 2021. Available online: https://www.chyxx.com/industry/1104147.html (accessed on 1 September 2025).
  7. Marino, G.; Zotteri, G.; Montagna, F. Consumer sensitivity to delivery lead time: A furniture retail case. Int. J. Phys. Distrib. Logist. Manag. 2018, 48, 610–629. [Google Scholar] [CrossRef]
  8. Salari, N.; Liu, S.; Shen, Z.J.M. Real-time delivery time forecasting and promising in online retailing: When will your package arrive? Manuf. Serv. Oper. Manag. 2022, 24, 1421–1436. [Google Scholar] [CrossRef]
  9. Wang, H.; Li, Z.; Liu, X.; Ding, D.; Hu, Z.; Zhang, P.; Zhou, C.; Bu, J. Fulfillment-time-aware personalized ranking for on-demand food recommendation. In Proceedings of the 30th ACM International Conference on Information & Knowledge Management, Virtual, 30 October 2021; pp. 4184–4192. [Google Scholar]
  10. Zhu, L.; Yu, W.; Zhou, K.; Wang, X.; Feng, W.; Wang, P.; Chen, N.; Lee, P. Order fulfillment cycle time estimation for on-demand food delivery. In Proceedings of the 26th ACM SIGKDD International Conference on Knowledge Discovery & Data Mining, Virtual, 20 August 2020; pp. 2571–2580. [Google Scholar]
  11. Wang, H.; Tang, X.; Kuo, Y.H.; Kifer, D.; Li, Z. A simple baseline for travel time estimation using large-scale trip data. ACM Trans. Intell. Syst. Technol. (TIST) 2019, 10, 1–22. [Google Scholar] [CrossRef]
  12. Zhang, C.; Yankov, D.; Karatzoglou, A.; Evans, M.; Sabau, F.; Dhifallah, O. A Post-routing ETA Model Providing Confidence Feedback. In Proceedings of the 31st ACM International Conference on Advances in Geographic Information Systems, Hamburg, Germany, 13–16 November 2023; pp. 1–4. [Google Scholar]
  13. Hu, D.; Deng, W.; Jiang, Z.; Shi, Y. A Study on Predicting Key Times in the Takeout System’s Order Fulfillment Process. Systems 2025, 13, 457. [Google Scholar] [CrossRef]
  14. Kaur, J.; Parmar, K.S.; Singh, S. Autoregressive models in environmental forecasting time series: A theoretical and application review. Environ. Sci. Pollut. Res. 2023, 30, 19617–19641. [Google Scholar] [CrossRef]
  15. Hansun, S. A new approach of moving average method in time series analysis. In Proceedings of the 2013 Conference on New Media Studies (CoNMedia), Tangerang, Indonesia, 27–28 November 2013; IEEE: Piscataway, NJ, USA, 2013; pp. 1–4. [Google Scholar]
  16. Pappas, S.S.; Ekonomou, L.; Karamousantas, D.C.; Chatzarakis, G.E.; Katsikas, S.K.; Liatsis, P. Electricity demand loads modeling using AutoRegressive Moving Average (ARMA) models. Energy 2008, 33, 1353–1360. [Google Scholar] [CrossRef]
  17. Salman, A.G.; Kanigoro, B. Visibility forecasting using autoregressive integrated moving average (ARIMA) models. Procedia Comput. Sci. 2021, 179, 252–259. [Google Scholar] [CrossRef]
  18. Dubey, A.K.; Kumar, A.; García-Díaz, V.; Sharma, A.K.; Kanhaiya, K. Study and analysis of SARIMA and LSTM in forecasting time series data. Sustain. Energy Technol. Assess. 2021, 47, 101474. [Google Scholar]
  19. Chatfield, C. The Holt-winters forecasting procedure. J. R. Stat. Soc. Ser. C (Appl. Stat.) 1978, 27, 264–279. [Google Scholar] [CrossRef]
  20. Xue, H.; Yang, Q.; Chen, S. SVM: Support vector machines. In The Top Ten Algorithms in Data Mining; Chapman and Hall/CRC: Boca Raton, FL, USA, 2009; pp. 51–74. [Google Scholar]
  21. Liu, Y.; Wang, Y.; Zhang, J. New machine learning algorithm: Random forest. In Proceedings of the International Conference on Information Computing and Applications, Chengde, China, 14–16 September 2012; Springer: Berlin/Heidelberg, Germany, 2012; pp. 246–252. [Google Scholar]
  22. Liang, W.; Luo, S.; Zhao, G.; Wu, H. Predicting hard rock pillar stability using GBDT, XGBoost, and LightGBM algorithms. Mathematics 2020, 8, 765. [Google Scholar] [CrossRef]
  23. Taud, H.; Mas, J.F. Multilayer perceptron (MLP). In Geomatic Approaches for Modeling Land Change Scenarios; Springer International Publishing: Cham, Switzerland, 2017; pp. 451–455. [Google Scholar]
  24. Sherstinsky, A. Fundamentals of recurrent neural network (RNN) and long short-term memory (LSTM) network. Phys. D Nonlinear Phenom. 2020, 404, 132306. [Google Scholar] [CrossRef]
  25. Greff, K.; Srivastava, R.K.; Koutník, J.; Steunebrink, B.R.; Schmidhuber, J. LSTM: A search space odyssey. IEEE Trans. Neural Netw. Learn. Syst. 2016, 28, 2222–2232. [Google Scholar] [CrossRef]
  26. Dey, R.; Salem, F.M. Gate-variants of gated recurrent unit (GRU) neural networks. In Proceedings of the 2017 IEEE 60th International Midwest Symposium on Circuits and Systems (MWSCAS), Boston, MA, USA, 6–9 August 2017; IEEE: Piscataway, NJ, USA, 2017; pp. 1597–1600. [Google Scholar]
  27. Vaswani, A.; Shazeer, N.; Parmar, N.; Uszkoreit, J.; Jones, L.; Gomez, A.N.; Kaiser, Ł.; Polosukhin, I. Attention is all you need. Adv. Neural Inf. Process. Syst. 2017, 30, 2–6. [Google Scholar]
  28. Wen, H.; Lin, Y.; Wu, L.; Mao, X.; Cai, T.; Hou, Y.; Guo, S.; Liang, Y.; Jin, G.; Zhao, Y.; et al. A survey on service route and time prediction in instant delivery: Taxonomy, progress, and prospects. IEEE Trans. Knowl. Data Eng. 2024, 36, 7516–7535. [Google Scholar] [CrossRef]
  29. Lang, K.; Zhao, Y. Cloud computing resource scheduling based on improved ANN model takeaway order volume forecast. J. Intell. Fuzzy Syst. 2021, 40, 5905–5915. [Google Scholar] [CrossRef]
  30. Song, J.; Wen, R.; Xu, C.; Tay, J.W.E. Service time prediction for last-yard delivery. In Proceedings of the 2019 IEEE International Conference on Big Data (Big Data), Angeles, CA, USA, 9–12 December 2019; IEEE: Piscataway, NJ, USA, 2019; pp. 3933–3938. [Google Scholar]
  31. de Araujo, A.C.; Etemad, A. End-to-end prediction of parcel delivery time with deep learning for smart-city applications. IEEE Internet Things J. 2021, 8, 17043–17056. [Google Scholar] [CrossRef]
  32. Zhu, D.; Han, Z.; Du, X.; Zuo, D.; Cai, L.; Xue, C. A Hybrid Model Integrating Fuzzy Systems and Convolutional Factorization Machine for Delivery Time Prediction in Intelligent Logistics. IEEE Trans. Fuzzy Syst. 2024, 33, 406–417. [Google Scholar] [CrossRef]
  33. Liu, Z.; Ma, J.; Xia, D.; Jiang, S.; Ren, Z.; Tan, C.; Lei, D.; Guo, H. Toward the reliable prediction of reservoir landslide displacement using earthworm optimization algorithm-optimized support vector regression (EOA-SVR). Nat. Hazards 2024, 120, 3165–3188. [Google Scholar] [CrossRef]
  34. Che, Z.; Peng, C.; Yue, C. Optimizing LSTM with multi-strategy improved WOA for robust prediction of high-speed machine tests data. Chaos Solitons Fractals 2024, 178, 114394. [Google Scholar] [CrossRef]
  35. Zhou, M.; Wang, L.; Hu, F.; Zhu, Z.; Zhang, Q.; Kong, W.; Zhou, G.; Wu, C.; Cui, E. ISSA-LSTM: A new data-driven method of heat load forecasting for building air conditioning. Energy Build. 2024, 321, 114698. [Google Scholar] [CrossRef]
  36. Qiu, B.; Zhang, J.; Yang, Y.; Qin, G.; Zhou, Z.; Ying, C. Research on oil well production prediction based on GRU-KAN model optimized by PSO. Energies 2024, 17, 5502. [Google Scholar] [CrossRef]
  37. Cui, X.; Zhu, J.; Jia, L.; Wang, J.; Wu, Y. A novel heat load prediction model of district heating system based on hybrid whale optimization algorithm (WOA) and CNN-LSTM with attention mechanism. Energy 2024, 312, 133536. [Google Scholar] [CrossRef]
  38. Safavi, V.; Vaniar, A.M.; Bazmohammadi, N.; Vasquez, J.C.; Keysan, O.; Guerrero, J.M. Early prediction of battery remaining useful life using CNN-XGBoost model and Coati optimization algorithm. J. Energy Storage 2024, 98, 113176. [Google Scholar] [CrossRef]
  39. Alzubaidi, L.; Zhang, J.; Humaidi, A.J.; Al-Dujaili, A.; Duan, Y.; Al-Shamma, O.; Santamaría, J.; Fadhel, M.A.; Al-Amidie, M.; Farhan, L. Review of deep learning: Concepts, CNN architectures, challenges, applications, future directions. J. Big Data 2021, 8, 53. [Google Scholar] [CrossRef] [PubMed]
  40. Awad, M.; Khanna, R. Support vector regression. In Efficient Learning Machines: Theories, Concepts, and Applications for Engineers and System Designers; Apress: Berkeley, CA, USA, 2015; pp. 67–80. [Google Scholar]
  41. Jia, H.; Zhou, X.; Zhang, J.; Mirjalili, S. Superb Fairy-wren Optimization Algorithm: A novel metaheuristic algorithm for solving feature selection problems. Clust. Comput. 2025, 28, 246. [Google Scholar] [CrossRef]
  42. Wang, L.; Du, H.; Zhang, Z.; Hu, G.; Mirjalili, S.; Khodadadi, N.; Hussien, A.G.; Liao, Y.; Zhao, W. Tianji’s horse racing optimization (THRO): A new metaheuristic inspired by ancient wisdom and its engineering optimization applications. Artif. Intell. Rev. 2025, 58, 282. [Google Scholar] [CrossRef]
  43. Garnett, R. Bayesian Optimization; Cambridge University Press: Cambridge, UK, 2023. [Google Scholar]
  44. Shehadeh, H.A. Bermuda Triangle Optimizer (BTO): A Novel Metaheuristic Method for Global Optimization. Int. J. Adv. Soft Comput. Its Appl. 2025, 17, 1–18. [Google Scholar] [CrossRef]
  45. Guo, Z.; Liu, G.; Jiang, F. Chinese Pangolin Optimizer: A novel bio-inspired metaheuristic for solving optimization problems. J. Supercomput. 2025, 81, 517. [Google Scholar] [CrossRef]
  46. Abdel-Basset, M.; Mohamed, R.; Azeem, S.A.A.; Jameel, M.; Abouhawwash, M. Kepler optimization algorithm: A new metaheuristic algorithm inspired by Kepler’s laws of planetary motion. Knowl.-Based Syst. 2023, 268, 110454. [Google Scholar] [CrossRef]
  47. Zhang, Y.; Liu, X.; Sun, W.; You, T.; Qi, X. Multi-Threshold Remote Sensing Image Segmentation Based on Improved Black-Winged Kite Algorithm. Biomimetics 2025, 10, 331. [Google Scholar] [CrossRef]
  48. Li, Z.; Qu, S.; Xu, Y.; Hao, X.; Lin, N. Enhanced Sea Horse Optimization Algorithm for Hyperparameter Optimization of Agricultural Image Recognition. Mathematics 2024, 12, 368. [Google Scholar] [CrossRef]
  49. Turgut, O.E.; Asker, M.; Yesiloz, H.B.; Genceli, H.; AL-Rawi, M. Chaotic Mountain Gazelle Optimizer Improved by Multiple Oppositional-Based Learning Variants for Theoretical Thermal Design Optimization of Heat Exchangers Using Nanofluids. Biomimetics 2025, 10, 454. [Google Scholar] [CrossRef]
  50. Yazdani, D.; Mavrovouniotis, M.; Li, C.; Chen, G.; Luo, W.; Omidvar, M.N.; Branke, J.; Yang, S.; Yao, X. IEEE CEC 2022 competition on dynamic optimization problems generated by generalized moving peaks benchmark. arXiv 2021, arXiv:2106.06174. [Google Scholar]
  51. Dao, F.; Zeng, Y.; Qian, J. Fault diagnosis of hydro-turbine via the incorporation of bayesian algorithm optimized CNN-LSTM neural network. Energy 2024, 290, 130326. [Google Scholar] [CrossRef]
  52. Kilinc, H.C.; Apak, S.; Ozkan, F.; Ergin, M.E.; Yurtsever, A. Multimodal fusion of optimized GRU–LSTM with self-attention layer for hydrological time series forecasting. Water Resour. Manag. 2024, 38, 6045–6062. [Google Scholar] [CrossRef]
  53. Souhe, F.G.Y.; Mbey, C.F.; Kakeu, V.J.F.; Meyo, A.E.; Boum, A.T. Optimized forecasting of photovoltaic power generation using hybrid deep learning model based on GRU and SVM. Electr. Eng. 2024, 106, 7879–7898. [Google Scholar] [CrossRef]
  54. Liu, S.; Xiang, Y.; Zhou, H. A deep learning-based approach for high-dimensional industrial steam consumption prediction to enhance sustainability management. Sustainability 2024, 16, 9631. [Google Scholar] [CrossRef]
Figure 1. SymOpt-CNSVR flowchart.
Figure 1. SymOpt-CNSVR flowchart.
Symmetry 17 01608 g001
Figure 2. ESFOA Flowchart.
Figure 2. ESFOA Flowchart.
Symmetry 17 01608 g002
Figure 3. The Average Runtime of Different Algorithms on the CEC2022 Test Suite (Dim = 2).
Figure 3. The Average Runtime of Different Algorithms on the CEC2022 Test Suite (Dim = 2).
Symmetry 17 01608 g003
Figure 4. The Convergence Curves of Different Algorithms on the CEC2022 Test Suite (Dim = 10).
Figure 4. The Convergence Curves of Different Algorithms on the CEC2022 Test Suite (Dim = 10).
Symmetry 17 01608 g004
Figure 5. The Box Plots of Different Algorithms on the CEC2022 Test Suite (Dim = 10).
Figure 5. The Box Plots of Different Algorithms on the CEC2022 Test Suite (Dim = 10).
Symmetry 17 01608 g005
Figure 6. Friedman Mean of Different Algorithms on the CEC2022 Test Suite (Dim = 20).
Figure 6. Friedman Mean of Different Algorithms on the CEC2022 Test Suite (Dim = 20).
Symmetry 17 01608 g006
Figure 7. Comparison of SFOA Convergence Values Before and After Enhancement.
Figure 7. Comparison of SFOA Convergence Values Before and After Enhancement.
Symmetry 17 01608 g007
Figure 8. Model Ablation Evaluation Metrics Comparison.
Figure 8. Model Ablation Evaluation Metrics Comparison.
Symmetry 17 01608 g008
Figure 9. Baseline Model Evaluation Metrics Comparison.
Figure 9. Baseline Model Evaluation Metrics Comparison.
Symmetry 17 01608 g009
Figure 10. Optimization Model Evaluation Metrics Comparison.
Figure 10. Optimization Model Evaluation Metrics Comparison.
Symmetry 17 01608 g010
Table 1. Field Quantity Statistics.
Table 1. Field Quantity Statistics.
FieldDescriptionCount
IDOrder ID10,000
Delivery_person_IDDelivery driver ID10,000
Delivery_person_AgeDelivery driver age10,000
Delivery_person_RatingsCustomer rating of the delivery driver10,000
Restaurant_latitudeLatitude coordinate of the restaurant’s location10,000
Restaurant_longitudeLongitude coordinate of the restaurant’s location10,000
Delivery_location_latitudeLatitude coordinate of the order’s delivery location10,000
Delivery_location_longitudeLongitude coordinate of the order’s delivery location10,000
Type_of_orderCategory of the food ordered, used for preparation time analysis10,000
Type_of_vehicleVehicle used for delivery10,000
temperatureAmbient temperature during delivery9995
humidityHumidity level during delivery9995
precipitationAmount of rain or snowfall9995
weather_descriptionTextual description of the weather9995
Traffic_LevelLevel of traffic congestion during delivery9085
Distance (km)Calculated distance (kilometers) between the restaurant and the delivery location9080
TARGETTarget variable, representing the model’s predicted delivery time (minutes)9459
Table 2. The Count of Missing Values.
Table 2. The Count of Missing Values.
FieldCountPercentage (%)
temperature50.05
humidity50.05
precipitation50.05
weather_description50.05
Traffic_Level9159.15
Distance (km)9209.2
TARGET5415.41
Table 3. Numerical Encoding.
Table 3. Numerical Encoding.
FieldCategoryCode
Type_of_orderBuffet0
Drinks1
Meal2
Type_of_vehiclebicycle0
electric_scooter1
motorcycle2
weather_descriptionbroken clouds0
clear sky1
few clouds2
Traffic_LevelHight0
Low1
Moderate2
Table 4. Initial Parameter Settings.
Table 4. Initial Parameter Settings.
Algorithm NameParameterInitial Setting
SymOpt-CNSVRInitial Learning RateOptimized by Algorithm
Batch SizeOptimized by Algorithm
L2 Regularization CoefficientOptimized by Algorithm
Maximum Number of Training Runs50
Learning Rate Reduction Factor0.5
Learning Rate Reduction Period10
OptimizerAdam
COptimized by Algorithm
GammaOptimized by Algorithm
EpsilonOptimized by Algorithm
Number of Iterations10
Table 5. Evaluation Metrics.
Table 5. Evaluation Metrics.
FormulasExplanation
R 2 = 1 i = 1 n ( y i y i ) 2 i = 1 n ( y i y ¯ i ) 2 R2 reflects the degree of correlation between the predicted values and the actual values. The closer it is to 1, the better the model’s fit.
M A E = 1 n i = 1 n | y i y ^ i | MAE (Mean Absolute Error) reflects the average deviation between the predicted values and the actual values. A smaller value indicates higher prediction accuracy of the model.
R M S E = 1 n i = 1 n ( y i y ^ i ) 2 RMSE (Root Mean Square Error) reflects the square root of the mean of the squared differences between the predicted values and the actual values. A smaller value indicates higher predictive accuracy of the model.
M S L E ( y , y ^ ) = 1 n i = 1 n ( log ( 1 + y i ) log ( 1 + y ^ i ) ) 2 MSLE (Mean Squared Logarithmic Error) reflects the error on a logarithmic scale. It helps mitigate the impact of large discrepancies by preventing the overemphasis of outliers when the data varies significantly. A smaller value indicates a smaller prediction error of the model.
Table 6. CEC2022 Test Table.
Table 6. CEC2022 Test Table.
No.Functions F i
Unimodal function1Shifted and full Rotated Zakharov Function300
Basic functions2Shifted and full Rotated Rosenbrock’s Function400
3Shifted and full Rotated Expanded Schaffer’s f 6 Function600
4Shifted and full Rotated Non-Continuous Rastrigin’s Function800
5Shifted and full Rotated Levy Function900
Hybrid functions6Hybrid Function 1 (N = 3)1800
7Hybrid Function 2 (N = 6)2000
8Hybrid Function 3 (N = 5)2200
Composition functions9Composition Function 1 (N = 5)2300
10Composition Function 2 (N = 4)2400
11Composition Function 3 (N = 5)2600
12Composition Function 4 (N = 6)2700
Table 7. The Mean Results of Different Algorithms on the CEC2022 Test Suite (Dim = 2).
Table 7. The Mean Results of Different Algorithms on the CEC2022 Test Suite (Dim = 2).
FunctionESFOASFOABTOCPOKOAIBKAESHOHCQDOPP-MGO
F1319.1079480.29982.3148300367.9906882.475357.0258300.0003
F2400.0248400.3366400.4085400.1223400.0559400.0768400.0008400.0057
F3603.0041608.7194612.9723600.0001609.6699611.3681607.4187600.0165
F4801.1684804.2182803.4525801.8789802.6302803.0522800.5823802.2892
F5901.47908.5686902.9493900903.1111900.1763900.0348900
F618001800180018001800180018001800
F720002000200020002000200020002000
F82201.7182201.7182201.7182201.7182201.7182201.7182201.7182201.718
F92360.1382409.2782345.0932420.3552381.2912456.7452372.1072390.117
F102427.7852475.5422438.6782496.632460.3142475.0542460.3862461.942
F112764.0972848.5722697.462688.4232838.4252715.5292769.9242929.522
F122729.6842792.1362796.9542752.8392742.4552774.332782.2092700.649
Table 8. The Mean Results of Different Algorithms on the CEC2022 Test Suite (Dim = 10).
Table 8. The Mean Results of Different Algorithms on the CEC2022 Test Suite (Dim = 10).
Function ESFOASFOABTOCPOKOAIBKAESHOHCQDOPP-MGO
F1Mean18,705.1901945,428.6006438,187.9264803.687646424,248.3537336,500.8275512,892.4108711,125.13063
Std5519.37127650.951,323,0201250.3124863.9657690.7023388.6155505.477
F2Mean565.44230531058.2789091489.346815406.33387721845.2012371085.9664932253.612288412.4329987
Std75.21938446.44671235.7936.176012441.4489613.1291939.22920.17613
F3Mean645.5148773675.6795648658.1250773645.2651082670.4973776670.5304433665.5588955645.5102142
Std10.8751510.004417.75789914.5602714.6794120.942388.1893257.127615
F4Mean876.0688427898.1642508855.2211898832.6346224893.703367900.2301954868.4806559856.0958679
Std14.273816.024264.0278234.5424878.2108316.8920410.6467918.14969
F5Mean2042.1045393038.6056971894.2034721504.9860183187.6917723236.7658521951.2225742015.023372
Std552.9362875.7171594.0758140.8484634.9104879.9162229.9274567.3421
F6Mean57,541,020.29233,300,677.2430,274,328.54310.444628304,057,053.7390,781,248.9171,578,328.49025.895622
Std39,430,4552.86 × 1087.35 × 1082478.3461.62 × 1083.58 × 1083.38 × 1082736.092
F7Mean2115.4571842198.0510152155.8107112154.303442146.9830922140.4075722157.9423382116.015909
Std17.0281848.420860.08971100.748539.9467530.9260737.1021729.91562
F8Mean2256.5832342373.0176822440.630392325.9738272291.5983532293.7482762410.8411232405.920927
Std12.79266123.3071229.4781100.062739.4180750.14801114.2727108.4196
F9Mean2691.1580562842.3714682759.7556082554.8769522821.4717232830.9800532877.8850262620.206339
Std69.16598226.636375.8528552.0478662.937684.9219277.6929353.19611
F10Mean2529.8518162911.5980072659.9559112558.8150282635.273783207.8569682909.7848382703.37542
Std54.29187641.064127.38875.20515123.8184648.6067292.3047349.8366
F11Mean10,679.2381930,832.896533700.0891283167.70893446,346.5689249,636.176424635.05861329,869.94737
Std4560.719,493.38488.5566639.50699873.81419,654.55190.571512,652.65
F12Mean2873.8570642887.4892573070.2790932900.7601383006.1316152905.5090223055.6751052944.915936
Std3.24125414.72067178.635734.1877543.935156.62088101.903444.56084
Table 9. The Mean Results of Different Algorithms on the CEC2022 Test Suite (Dim = 20).
Table 9. The Mean Results of Different Algorithms on the CEC2022 Test Suite (Dim = 20).
FunctionESFOASFOABTOCPOKOAIBKAESHOHCQDOPP-MGO
F169,670.28139,460.6154,281.627,438.3680,275.06108,658189,707.158,074.98
F21661.2145898.0153685.408452.53944692.9594506.6533816.613496.4041
F3673.6049706.5627694.5926659.5842703.6169709.9636704.8201672.8813
F41014.9271094.113997.5004890.35351069.8221067.7241001.501947.8409
F57104.58811,854.943969.972920.2919658.7528318.3984554.365718.082
F61.07 × 1094.16 × 1095.25 × 1093038.7154.07 × 1093.17 × 1092.59 × 109414,638.6
F72289.7182398.7572300.8732310.9652367.3152306.9512309.1792283.927
F82547.7583570.95110,697.552387.9682845.2553963.4773473.7682454.058
F92930.073356.9263424.9162510.5453215.893429.8963437.9362594.54
F106534.2797592.1054096.0875627.5737123.127247.3847207.44366.003
F1168,912.45154,891.428,511.332923.3152,549.2175,61110,099.5103,975.1
F123070.8223317.2243640.6153329.9023855.413247.9693969.2723350.177
Table 10. Hyperparameter Optimization Results and Ranges.
Table 10. Hyperparameter Optimization Results and Ranges.
ESOFASFOAOptimization Range
Initial Learning Rate1.25 × 10−25.87 × 10−3[1 × 10−3, 1 × 10−1]
Batch Size56101[8, 128]
L2 Regularization Coefficient2.56 × 10−48.13 × 10−3[1 × 10−5, 1 × 10−2]
C22.522.5[1 × 10−3, 100]
Gamma0.00560.0056[1 × 10−4, 1]
Epsilon1.10 × 10−31.10 × 10−3[1 × 10−4, 1]
Table 11. Comparison Results of Evaluation Metrics.
Table 11. Comparison Results of Evaluation Metrics.
Optimization MethodModel R2MAERMSEMSLE
SFOASymOpt-CNSVRTraining Set0.9133.82415.00670.1439
Test Set0.8953.86465.02530.1473
ESOFASymOpt-CNSVRTraining Set0.9422.78494.08980.1025
Test Set0.92693.05824.19470.1114
Table 12. Wilcoxon Signed-Rank Test of 2 Optimization Methods.
Table 12. Wilcoxon Signed-Rank Test of 2 Optimization Methods.
ESOFASFOA
R213.22 × 10−3
MAE18.91 × 10−4
RMSE14.17 × 10−3
MSLE12.05 × 10−3
Table 13. Statistical Summary of Evaluation Indicators for Different Modules.
Table 13. Statistical Summary of Evaluation Indicators for Different Modules.
R2MAERMSEMSLE
CNN0.7725.68157.40570.2428
SVR0.58747.049.96310.3074
CNN-SVR0.83474.876.30670.1862
OptCNN-SVR0.83074.856.38260.1828
CNN-OptSVR0.8414.80656.18430.1858
SymOpt-CNSVR0.92693.05824.19470.1114
Table 14. Statistical Summary of Evaluation Metrics for Different Baseline Models.
Table 14. Statistical Summary of Evaluation Metrics for Different Baseline Models.
R2MAERMSEMSLE
LR0.77065.66037.42960.207
KNN0.80174.7136.90730.1969
GRU0.79095.39827.0930.1919
BiLSTM0.8015.26766.91940.1833
SymOpt-CNSVR0.92693.05824.19470.1114
Table 15. Statistical Summary of Evaluation Metrics for Different Optimization Models.
Table 15. Statistical Summary of Evaluation Metrics for Different Optimization Models.
R2MAERMSEMSLE
BO-CNN-LSTM0.91953.17834.40080.1211
PSO-BiGRU-BiLSTM0.79535.37257.01770.189
ACO-SVR-GRU0.92493.07334.24940.1134
IRIME-BiTCN-BiGRU-MSA0.86594.41295.67910.1711
SymOpt-CNSVR0.92693.05824.19470.1114
Disclaimer/Publisher’s Note: The statements, opinions and data contained in all publications are solely those of the individual author(s) and contributor(s) and not of MDPI and/or the editor(s). MDPI and/or the editor(s) disclaim responsibility for any injury to people or property resulting from any ideas, methods, instructions or products referred to in the content.

Share and Cite

MDPI and ACS Style

Qi, K.; Wu, W.; Ni, Y. SymOpt-CNSVR: A Novel Prediction Model Based on Symmetric Optimization for Delivery Duration Forecasting. Symmetry 2025, 17, 1608. https://doi.org/10.3390/sym17101608

AMA Style

Qi K, Wu W, Ni Y. SymOpt-CNSVR: A Novel Prediction Model Based on Symmetric Optimization for Delivery Duration Forecasting. Symmetry. 2025; 17(10):1608. https://doi.org/10.3390/sym17101608

Chicago/Turabian Style

Qi, Kun, Wangyu Wu, and Yao Ni. 2025. "SymOpt-CNSVR: A Novel Prediction Model Based on Symmetric Optimization for Delivery Duration Forecasting" Symmetry 17, no. 10: 1608. https://doi.org/10.3390/sym17101608

APA Style

Qi, K., Wu, W., & Ni, Y. (2025). SymOpt-CNSVR: A Novel Prediction Model Based on Symmetric Optimization for Delivery Duration Forecasting. Symmetry, 17(10), 1608. https://doi.org/10.3390/sym17101608

Note that from the first issue of 2016, this journal uses article numbers instead of page numbers. See further details here.

Article Metrics

Back to TopTop