Abstract
Magnesium-based materials have been considered to be potential hydrogen storage materials due to their high hydrogen storage capacity and abundance in natural resources. In order to improve the hydrogen storage performance of magnesium-based materials, a Mg95Ce5 alloy was prepared by using the vacuum induction melting method. Moreover, TiS2 was used as a catalyst, and a series of Mg95Ce5 + x wt% TiS2 (x = 0, 3, 5 and 10) composites with different TiS2 contents were prepared by the mechanical ball-milling method. The addition of TiS2 as a catalyst broke the inherent symmetry of the Mg95Ce5 alloy at both the atomic and defect levels, potentially improving hydrogen storage by modifying hydrogen diffusion pathways and interaction sites. The structural analysis results indicate that the Mg95Ce5 alloy is composed of Mg and CeMg12 phases. After the hydrogenation process, the Mg and CeMg12 phases in the Mg95Ce5–TiS2 composites transformed into CeH2.73 and MgH2. In addition, CeS2 and TiH1.5 could be detected in the hydrogenated samples, indicating that the TiS2 decomposed and changed into CeS2 and TiH1.5 during the hydrogenation reaction. Adding TiS2 to Mg95Ce5 alloy could significantly improve the hydrogen absorption and desorption kinetic properties, and the dehydrogenation peak temperature of the composites was reduced from 389.5 °C to 329.7 °C when the TiS2 content increased from 0 to 10 wt%. However, the addition of TiS2 inevitably reduced the reversable hydrogen storage capacity of the composites. The hydrogen absorption and desorption thermodynamic measurement results indicate that the TiS2 catalyst has almost no influence on the enthalpy and entropy changes of the composites during the hydrogenation process.
1. Introduction
The environmental pollution and energy crisis are common challenges that human beings are facing. Moreover, the greenhouse effect resulting from the use of fossil fuels is an important problem in the development of society. Creating technology that converts carbon dioxide into valuable products is an attractive way to reduce the greenhouse effect [1,2]. More importantly, it is necessary to develop renewable energy to entirely solve the energy problem. Hydrogen energy is recognized as one of the ideal secondary energy sources due to its non-toxicity, non-polluting nature, high energy density, and renewability [3]. However, efficient and safe hydrogen storage technology still sets a strict limit on the development of the utilization of hydrogen energy [4]. Magnesium and its hydride are recognized as the optimal solid hydrogen storage material due to their high storage density of up to 7.6 wt%, good reversibility, and low cost [5]. However, the high decomposition temperature and slow reaction kinetics of Mg/MgH2 significantly limit its practical applications [6].
To address these challenges, various methods have been explored to improve the hydrogen storage performance of magnesium-based materials, such as alloying with other elements [7,8,9], doping catalysts [10,11,12], nanosizing [13,14,15], and so on. In materials science, it is known that symmetry plays a key role in hydrogen absorption and desorption in alloys, as it affects structural stability, atomic arrangements, and phase transitions. The alloying method consists of adding other elements to magnesium by alloy smelting to obtain alloys, thus enhancing the hydrogen storage performance of magnesium. Xie et al. [16] prepared Mg-Ce alloys with various Ce contents, and the phase compositions, micro-structures, and hydrogen storage performance of the alloys were investigated. They found that the addition of Ce significantly improves the hydrogen absorption kinetic properties of the alloy, and the dehydrogenation temperature can be obviously reduced with the increase of Ce content. Yang et al. [17] prepared several Mg24Y3M (M = Ni, Co, Cu, Al) ternary alloys, and the research results indicate that the alloy with different chemical components showed significantly different features in its microstructure and hydrogen storage properties. Mg24Y3Ni had the best hydrogen absorption and desorption kinetic performance. Doping catalysts is also an effective method to improve the hydrogen storage kinetic properties of Mg/MgH2 [18]. Currently, the catalysts used for hydrogen storage materials mainly include metals and alloys [19,20], oxides [21,22], halides [23,24], carbide [11], and carbonaceous materials [25]. The addition of transition metal elements or their inorganic compounds has proven to be an effective method for enhancing the hydrogen storage performance of magnesium-based materials. Oelerich et al. [26] doped different transition metallic oxides (Sc2O3, TiO2, V2O5, Cr2O3, Mn2O3, Fe3O4, CuO/Al2O3, and SiO2) into MgH2 by a simple ball-milling method, and the hydrogen storage measurement results indicate that all these oxide catalysts can improve the hydrogen absorption and desorption performance of MgH2. Li et al. [27] synthesized a nanocrystalline Ni@C composite using a self-templating method and then doped it into MgH2 to investigate its catalytic impact on the hydrogen storage properties of MgH2. The research results demonstrate that the dehydrogenation temperature of the composite was lowered by more than 74 °C compared to pure MgH2.
In recent years, metal sulfides have aroused more attention due to their outstanding catalytic properties the in water–electrolytic hydrogen evolution and photocatalytic fields [28,29]. Moreover, metal sulfides also have unique catalytic effects in improving the hydrogen storage performance of magnesium-based materials. Yuan et al. [30,31,32] compared the catalytic effects of CoS2 and MoS2 nano-particles on the hydrogen storage properties of Sm–Mg binary alloy. They found that both of the sulfides could obviously improve the hydrogenation and dehydrogenation kinetics of Sm–Mg alloy, and the composite catalyzed by MoS2 exhibits better hydrogen storage properties. Wang et al. [33] also synthesized NiS2 particles by a one-step hydrothermal method, and various MgH2–NiS2 composites with different NiS2 contents were prepared by mechanical ball-milling. The study indicates that the NiS2 decomposed and transformed into MgS and Mg2NiH4 phases during the hydrogenation process, and the catalytic phases formed in situ significantly improved the hydrogenation and dehydrogenation kinetic properties of MgH2. Based on previous studies, a Mg95Ce5 alloy was prepared by using the vacuum induction melting method in this study. Then TiS2 was selected as a catalyst to dope into Mg95Ce5 alloy by using the mechanical ball-milling method to prepare a series of Mg95Ce5–x wt% TiS2 (x = 0, 3, 5 and 10) composites with different TiS2 contents. The effects of TiS2 content on microstructure and hydrogen storage properties of Mg95Ce5–TiS2 composites were studied, and the catalytic mechanism of the TiS2 on hydrogen absorption and desorption reactions of Mg95Ce5 alloy was investigated in detail.
2. Experimental Details
2.1. Material Preparation
Mg95Ce5 alloy was prepared by the vacuum induction melting method using pure magnesium and cerium as the raw materials. A magnesia crucible with 30 mm in diameter and 70 mm in height was used to melt the alloy. The pre-weighed magnesium and cerium were added to the crucible, and the total weight of the raw materials was approximately 60 g. The whole smelting process was performed under argon protection. The raw materials were heated by a high-frequency induction power source. After complete melting of the metal blocks, the molten alloy was cooled to room temperature to form a cylindrical alloy ingot.
The Mg95Ce5 alloy ingot was crushed into alloy particles smaller than 200 mesh using an agate grinder. The TiS2 powder was purchased from Shanghai Titan Scientific Co. (Shanghai, China). Then Mg95Ce5–x wt% TiS2 (x = 0, 3, 5, and 10) composites with different TiS2 contents were prepared using the mechanical ball-milling technique. The ball-milling process was carried out on a planetary ball-mill in an argon atmosphere, and the total material mass was about 2 g. The ball-to-powder weight ratio was 60:1, the rotational speed was 400 rpm, and the milling time was 5 h. For convenience, the Mg95Ce5–x wt% TiS2 (x = 0, 3, 5, and 10) composites with different TiS2 contents are abbreviated to Mg95Ce5, Mg95Ce5–3 TiS2, Mg95Ce5–5 TiS2, and Mg95Ce5–10 TiS2, respectively.
2.2. Structural and Morphological Characterizations
The phase composition of the prepared samples was analyzed using X-ray diffraction (XRD, Bruker D8 Advance, Billerica, MA, USA). During sample transfer and measurement, the samples were sealed with amorphous membranes to avoid exposing them to air. The morphology and microstructure of the samples were examined by scanning electron microscopy (SEM, JSM-7100F, Tokyo, Japan).
2.3. Hydrogen Storage Measurements
The de/re-hydrogenation performance of the samples was tested using a Sieverts-type experimental apparatus. A powder sample weighing about 0.3 g was loaded into a stainless-steel reactor equipped with temperature and pressure sensors. The sample was hydrogenated five times at 380 °C to reach a stable hydrogen storage performance, and then the hydrogen absorption and desorption measurements at various temperatures were performed. The hydrogen absorption kinetic tests were performed under a hydrogen pressure of 4 MPa, while the hydrogen desorption kinetic tests were conducted at a hydrogen pressure below 0.03 MPa. The temperature-programmed desorption (TPD) experiments were also carried out in the Sieverts-type apparatus. Before the TPD tests, the samples were hydrogenated at 380 °C at 3 MPa and then cooled down to room temperature to obtain fully hydrogenated samples. Then the fully hydrogenated samples were heated from room temperature up to 500 °C at a heating rate of 3 °C min−1 to obtain TPD curves. The pressure–composition isotherm (p–c–T) curves at various temperatures were tested by gradually increasing hydrogen pressure to 4 MPa and followed by decreasing hydrogen pressure to below 0.02 MPa.
3. Results and Discussion
The phase compositions and microtopography features of the TiS2 catalyst and Mg95Ce5 alloy were characterized using XRD and SEM analysis, and the results are illustrated in Figure 1. It can be observed in Figure 1a that the TiS2 sample exhibits distinct diffraction peaks, indicating it is a typical crystalline structure. Figure 1b presents the SEM image of TiS2 powder. It can be seen that the TiS2 particles exhibit a polygonal flake-like structure and particle size of 5~20 μm. The XRD analysis results in Figure 1a indicate that the Mg95Ce5 alloy is composed of CeMg12 and Mg phases, and the sharp diffraction peaks imply the alloy has good crystallinity. Figure 1c shows the SEM image (backscattered electron image) of the Mg95Ce5 alloy ingot. It is evident that the alloy mainly consists of two structures: the one is a coarse and gray-white blocky phase (marked A), and the other is a eutectic structure composed of a striped or globular gray-white phase and a black phase (marked B). In general, elements with bigger atomic numbers appear brighter in backscattered electron images. Combined with XRD analysis and a Mg–Ce binary phase diagram [34], we can conclude that the gray-white phase in areas A and B is CeMg12, and the black phase in area B is Mg.
Figure 1.
XRD patterns and SEM images of the TiS2 catalyst and the Mg95Ce5 alloy: (a) XRD patterns of the TiS2 and Mg95Ce5 samples; (b) SEM image (secondary electron image) of the TiS2 catalyst; (c) SEM image (backscattered electron image) of the Mg95Ce5 alloy ingot.
Mg95Ce5–TiS2 composites with different TiS2 content were prepared by the mechanical ball-milling method, and the XRD patterns of the composites are shown in Figure 2. It can be observed that the ball-milling process has almost no influence on the phase compositions of the alloy, and the ball-milled Mg95Ce5 alloy still consists of CeMg12 and Mg phases. However, the diffraction peaks of the ball-milled Mg95Ce5 alloy are broadened and weakened, which can be attribute to the lattice distortion and grain refinement resulted from the ball-milling process [35]. Moreover, Figure 2 also illustrates that the TiS2 content has little effect on the phase composition of Mg95Ce5–TiS2 composites. Meanwhile, the diffraction peaks of TiS2 cannot be observed in the Mg95Ce5–TiS2 composites, even when the TiS2 content reaches 10 wt%. This may be due to the fact that the crystal structure of TiS2 is destroyed under the high-impact energy in the ball-milling process [36,37].
Figure 2.
XRD patterns of the ball-milled Mg95Ce5–TiS2 composites with different TiS2 contents.
Figure 3 shows the SEM images of the ball-milled Mg95Ce5–TiS2 composites with different TiS2 contents. The figure illustrates that these ball-milled composites contain irregular particles with a particle size of 20~50 μm. Increasing TiS2 content appears slightly reduce the particle size of the alloy powders. This phenomenon may be ascribed to the added grinding effect of the TiS2.
Figure 3.
SEM images of the ball-milled Mg95Ce5–TiS2 composites with different TiS2 content: (a) Mg95Ce5; (b) Mg95Ce5–3 TiS2, (c) Mg95Ce5–5 TiS2, (d) Mg95Ce5–10 TiS2.
To explore the phase transformations of the Mg95Ce5–TiS2 composites during hydrogenation processes, XRD tests were conducted on the hydrogenated and dehydrogenated composite materials. It can be seen from Figure 4a that the hydrogenated Mg95Ce5 sample mainly contained MgH2 and CeH2.73. Clearly, the CeMg12 and Mg phases in the alloy were completely transformed into MgH2 and CeH2.73 in the hydrogen absorption process. This result is consistent with the hydrogenation process of Mg3RE (RE represents rare earths) intermetallic compounds [38]. Moreover, the diffraction peaks of CeS2 and TiH1.5 could be detected in the hydrogenated Mg95Ce5–TiS2 samples. Therefore, it can be asserted that the TiS2 decomposed and transformed in situ into CeS2 and TiH1.5 during hydrogenation. The appearance of CeS2 suggests that sulfur is more likely to combine with cerium rather than magnesium to form a CeS2 compound. Figure 4b shows the XRD patterns of the dehydrogenated Mg95Ce5–TiS2 composites. The figure shows that the diffraction peaks of MgH2 disappeared to be replaced by the diffraction peaks of Mg. Obviously, the MgH2 in hydrogenated samples can be completely decomposed and release hydrogen during dehydrogenation process. Moreover, there is no chemical reaction occurs in the CeH2.73, CeS2 and TiH1.5 phases during hydrogen absorption and desorption cycles. The CeH2.73 and TiH1.5 has good chemical stability and there is decomposition reaction only at higher temperatures [39,40]. Despite of this, the in-situ formed CeH2.73, CeS2 and TiH1.5 can dramatically catalyze the hydrogen absorption and desorption reactions.
Figure 4.
XRD patterns of the hydrogenated and dehydrogenated Mg95Ce5–TiS2 composites: (a) hydrogenated samples; (b) dehydrogenated samples.
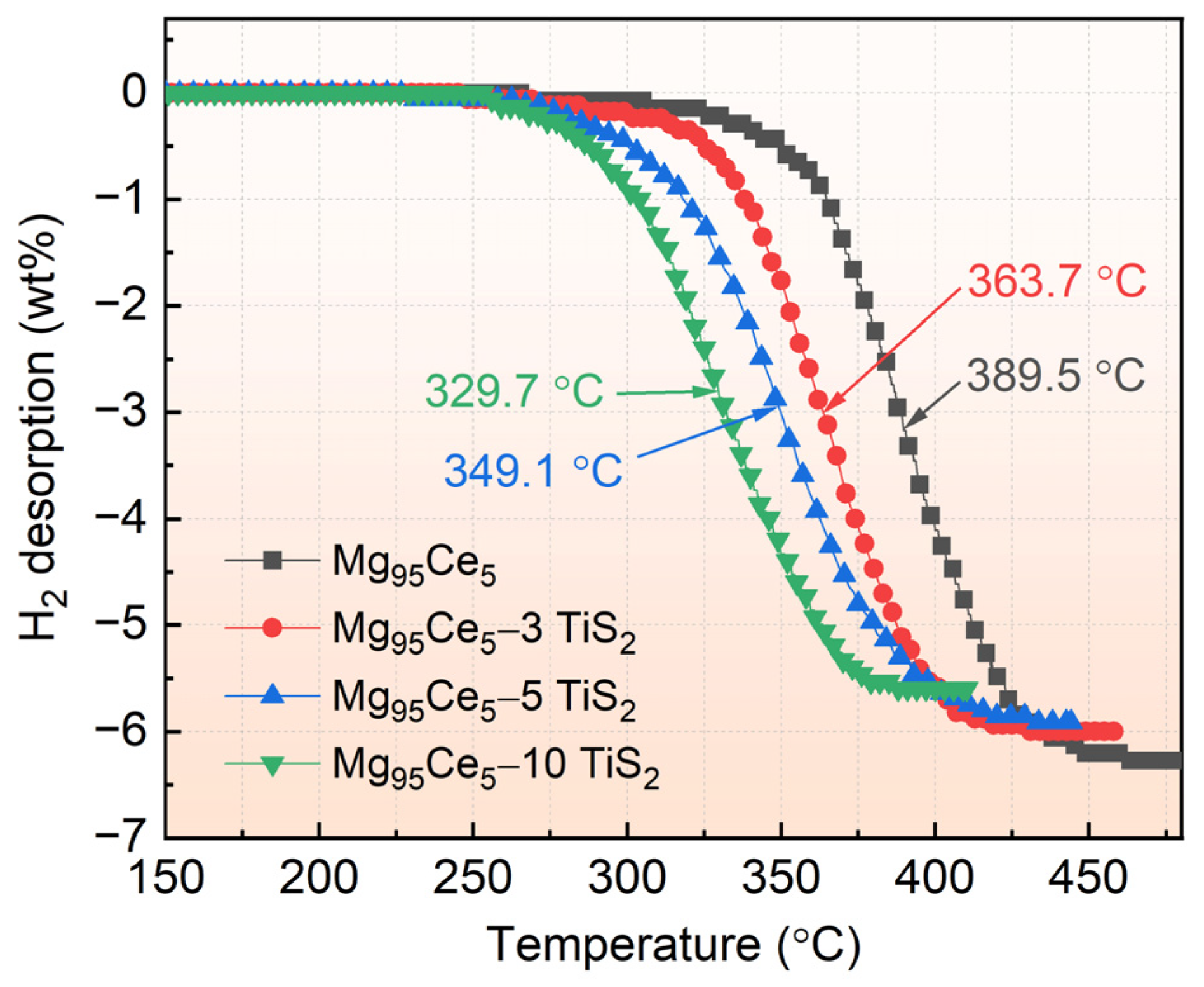
After five hydrogen absorption and desorption cycles, the Mg95Ce5–TiS2 composites could achieve a stable reaction kinetics. Then the TPD curves, isothermal hydrogen absorption/desorption kinetic curves, and p–c–T curves could be measured. Figure 5 exhibits the TPD curves of the composite samples at a heating rate of 3 °C min−1. The dehydrogenation peak temperature of the Mg95Ce5 alloy was approximately 389.5 °C, and the entire desorption reaction was completed when the temperature exceeded 450 °C. Notably, the dehydrogenation temperature of the Mg95Ce5–TiS2 composite material was much lower than that of the Mg95Ce5 alloy sample, and the dehydrogenation peak temperature of the materials gradually decreased to 329.7 °C when the TiS2 content increased to 10 wt%. However, the addition of TiS2 increased the total weight of the Mg95Ce5–TiS2 composites and inevitably reduced its effective hydrogen storage capacity.
Figure 5.
TPD curves of the Mg95Ce5–TiS2 composites measured at a heating rate of 3 °C min−1.
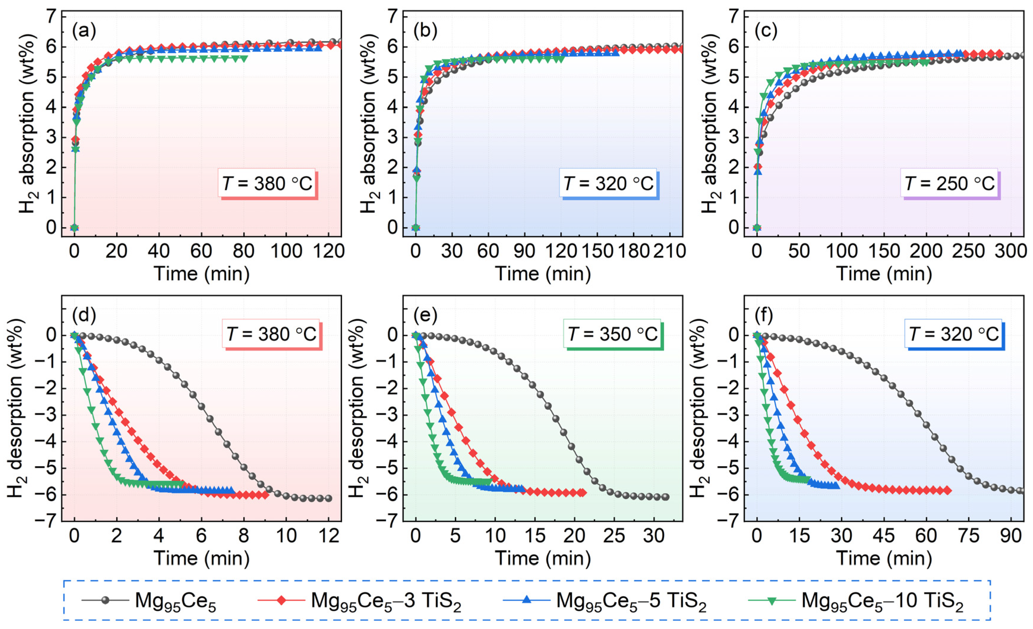
Figure 6 presents the hydrogen absorption and desorption curves of the Mg95Ce5–TiS2 composites at various temperatures. From the hydrogen absorption kinetic curves shown in Figure 6a–c, we can observe that all the samples exhibited good hydrogen absorption kinetics at 380 °C. That is, the TiS2 catalyst did not have a significant impact on the hydrogen absorption kinetics of the composite at higher temperatures. With the decreases of operating temperature, the hydrogen absorption rate of the pure alloy material began to be limited. For example, the Mg95Ce5–10 TiS2 composite reached full hydrogenation saturation within 75 min at 250 °C, whereas the Mg95Ce5 only reached full saturation at around 300 min. From the hydrogen desorption kinetic curves shown in Figure 6d–f, it can be seen that the hydrogen desorption kinetics of the Mg95Ce5–TiS2 composites were also much faster than those of the Mg95Ce5 alloy. More importantly, increasing TiS2 content significantly increased the hydrogen desorption rate. However, the maximal hydrogen absorption and desorption capacities of the composites gradually decreased with the increase of TiS2 content, which coincided with the results of the TPD test.
Figure 6.
Hydrogen absorption and desorption kinetic curves of the Mg95Ce5–TiS2 composites at various temperatures: (a–c) absorption curves; (d–f) desorption curves.
Generally, the dehydrogenation reaction of magnesium hydride follows the nucleation growth model [41]. The Johnson–Mehl–Avrami–Kolmogorov (JMAK) formula can be used to fit the dehydrogenation kinetic curves of the Mg95Ce5–TiS2 composites for a better understanding of the dehydrogenation mechanism. The JMAK formula can be expressed as [42]:
where α represents the extent of the dehydrogenation reaction at moment t, n denotes the Avrami exponent, and k is the reaction rate constant, which depends on temperature. The kinetic curve of hydrogen desorption at various temperatures was fitted with a linear JMAK equation by plotting ln[−ln(1 − α)] against lnt. In this plot, n corresponds to the fitting slope, while nlnk is the intercept. The JMAK fitting results are illustrated in Figure 7a–d, where a clear linear relationship is observed in each plot, indicating that the dehydrogenation reaction of the Mg95Ce5–TiS2 composite material conforms to the JMAK model. The calculated values of n and lnk are presented in Table 1. The values of n for the ball-milled Mg95Ce5 alloy range from 3.305 to 3.696, suggesting that three-dimensional interfacial growth determines the dehydrogenation process [19]. After doping with TiS2, the Avrami coefficients of the samples varied from 1.341 to 1.788, implying that the dehydrogenation process of the TiS2-catalyzed Mg95Ce5–TiS2 composites could be described using a zero-nucleation rate mechanism and the reaction was limited by the one-dimensional diffusion of the elements [27]. It is obvious that the CeH2.73, CeS2, and TiH1.5 formed in situ play the role of nucleating agents during the dehydrogenation process of the Mg95Ce5–TiS2 composites and significantly accelerate the hydrogen desorption kinetic performance of MgH2 in the composites.
Figure 7.
(a–d) JMAK fitting results of ln[−ln(1 − α)] versus lnt and corresponding fitting lines for the dehydrogenation of Mg95Ce5–TiS2 composites; (e) Arrhenius plots and corresponding fitting lines for the composites; (f) obtained Ea values of the composites with different TiS2 contents.
Table 1.
JMAK fitting results of the Mg95Ce5–TiS2 composites.
The dehydrogenation kinetic performance is typically characterized by the apparent dehydrogenation activation energy (Ea), which can be calculated using the Arrhenius equation [43]:
where lnk can be determined from Equation (1), Ea represents the apparent dehydrogenation activation energy (kJ mol−1), R denotes the molar gas constant (8.314 J mol−1 K−1), T is the thermodynamic temperature in Kelvin, and k0 is a constant. Figure 7e illustrates the Arrhenius fitting curves of lnk plotted against 1000/T. The Ea values can be derived from the slope of the fitted lines, and these obtained values are also compared in Figure 7f. We notice that the Ea value for dehydrogenation reactions decreased from 117.4 kJ mol−1 to 75.0 kJ mol−1 with the increase of TiS2 content from 0 to 10 wt%. The Ea value of the Mg95Ce5–TiS2 sample in this study wass much lower than that of the MgH2/TiO2 composites (106.7 kJ mol−1) [44] and MgH2–Ni/TCN material (82.6 kJ mol−1) [45] reported before. Therefore, we can conclude that adding TiS2 to Mg95Ce5 alloy can obviously decrease the dehydrogenation activation energy and therefore significantly improves the hydrogen desorption kinetic performance of the alloy.
To further investigate the impact of TiS2 on the hydrogen storage thermodynamics of the Mg95Ce5 alloy, the p–c–T curves of the samples at different temperatures were measured, and the results are illustrated in Figure 8a–d. It is evident that all the p–c–T curves of the samples exhibited only one flat desorption plateau at each temperature, indicating that only one phase, namely Mg/MgH2, is involved in the reversible hydrogenation cycling. The changes in enthalpy (ΔH) and entropy (ΔS) related to the hydrogen absorption and desorption reactions of the composites can be calculated using the van’t Hoff equation [46]:
Figure 8.
(a–d) p–c–T curves of the Mg95Ce5–TiS2 composites at different temperatures; (e,f) van’t Hoff plots and corresponding fitting lines for hydrogen absorption and desorption reactions.
Here peq is the dehydrogenation equilibrium pressure (MPa), p0 is the standard atmospheric pressure (0.101325 MPa), R represents the gas constant (8.314 J mol−1 K−1), and T represents the experimental temperature (K). The van’t Hoff plots for the hydrogenation and dehydrogenation reactions of the Mg95Ce5–TiS2 composites are shown in Figure 8e,f, and the calculated ΔH and ΔS values are listed in Table 2. Notably, there is no significant difference in ΔH and ΔS values, indicating that the TiS2 had little effect on the hydrogen absorption and desorption thermodynamic properties of Mg95Ce5 alloy. This is mainly because the de/re-hydrogenation reactions in the Mg95Ce5–TiS2 composites were Mg + H2 ↔ MgH2, and the catalyst could not markedly affect the hydrogen absorption and desorption reaction process.
Table 2.
Calculated ΔH and ΔS values for hydrogen absorption and desorption reactions of the Mg95Ce5–TiS2 composites.
4. Conclusions
Mg95Ce5 alloy was prepared by vacuum induction melting, and then Mg95Ce5–TiS2 composites with different TiS2 contents were prepared through the mechanical ball-milling method. The XRD and SEM analysis results indicate that the Mg95Ce5 alloy was composed of CeMg12 and Mg phases. The TiS2 content had no effect on the phase compositions of the ball-milled Mg95Ce5–TiS2 composites. The Mg95Ce5 alloy could be irreversibly hydrogenated into MgH2 and CeH2.73 during the hydrogenation process, while the TiS2 catalyst in Mg95Ce5–TiS2 composites transformed into CeS2 and TiH1.5. The addition of TiS2 significantly improved the hydrogen absorption and desorption kinetic performance of the Mg95Ce5. The dehydrogenation peak temperature of the Mg95Ce5 alloy could be reduced from 389.5 °C to 329.7 °C when the TiS2 content was increased from 0 to 10 wt%. By comparison, the addition of TiS2 had no impact on the hydrogenation and dehydrogenation thermodynamic parameters (ΔH and ΔS). It is certain that TiS2 is an effective catalyst that can be used to enhance the hydrogen storage performance of magnesium-based materials.
Author Contributions
Methodology, X.O.; Software, L.W.; Validation, X.O.; Investigation, H.L. and X.O.; Resources, L.W.; Data curation, H.L.; Writing—review and editing, Z.L.; Supervision, X.O. and Z.L.; Project administration, Z.L.; Funding acquisition, X.O. All authors have read and agreed to the published version of the manuscript.
Funding
This research was funded by the Excellent Young and Middle-Aged Science and Technology Innovation Team Project in the Higher Education Institutions of Hubei Province (Grant No. T2020024), and the Fund for Hanjiang Normal University Key Subjects Construction.
Data Availability Statement
Data are contained within the article.
Conflicts of Interest
The authors declare no conflict of interest.
References
- Ahmed, S.; Irshad, M.; Yoon, W.; Karanwal, N.; Sugiarto, J.R.; Khan, M.K.; Kim, S.K.; Kim, J. Evaluation of MgO as a promoter for the hydrogenation of CO2 to long-chain hydrocarbons over Fe-based catalysts. Appl. Catal. B-Environ. 2023, 338, 123052. [Google Scholar] [CrossRef]
- Ahmed, S.; Bibi, S.S.; Irshad, M.; Asif, M.; Khan, M.K.; Kim, J. Synthesis of long-chain paraffins over bimetallic Na–Fe0.9Mg0.1Ox by direct CO2 hydrogenation. Top. Catal. 2024, 67, 363–376. [Google Scholar] [CrossRef]
- Hassan, Q.; Abdulateef, A.M.; Hafedh, S.A.; Al-samari, A.; Abdulateef, J.; Sameen, A.Z.; Salman, H.M.; Al-Jiboory, A.K.; Wieteska, S.; Jaszczur, M. Renewable energy-to-green hydrogen: A review of main resources routes, processes and evaluation. Int. J. Hydrogen Energy 2023, 48, 17383–17408. [Google Scholar] [CrossRef]
- Shao, H.Y.; He, L.Q.; Lin, H.J.; Li, H.W. Progress and trends in magnesium-based materials for energy-storage research: A review. Energy Technol. 2017, 5, 445–458. [Google Scholar] [CrossRef]
- Jain, I.P.; Lal, C.; Jain, A. Hydrogen storage in Mg: A most promising material. Int. J. Hydrogen Energy 2010, 35, 5133–5144. [Google Scholar] [CrossRef]
- Zhang, L.C.; Zhang, X.; Zhang, W.X.; Huang, Z.G.; Fang, F.; Li, J.; Yang, L.; Gu, C.; Sun, W.; Gao, M.; et al. Nanoparticulate ZrNi: In situ disproportionation effectively enhances hydrogen cycling of MgH2. ACS Appl. Mater. Interfaces 2023, 15, 40558–40568. [Google Scholar] [CrossRef]
- Yang, T.; Yuan, Z.M.; Bu, W.G.; Jia, Z.C.; Qi, Y.; Zhang, Y.H. Evolution of the phase structure and hydrogen storage thermodynamics and kinetics of Mg88Y12 binary alloy. Int. J. Hydrogen Energy 2016, 41, 2689–2699. [Google Scholar] [CrossRef]
- Yong, H.; Guo, S.H.; Yuan, Z.M.; Qi, Y.; Zhao, D.L.; Zhang, Y.H. Phase transformation, thermodynamics and kinetics property of Mg90Ce5RE5 (RE = La, Ce, Nd) hydrogen storage alloys. J. Mater. Sci. Technol. 2020, 51, 84–93. [Google Scholar] [CrossRef]
- Yong, H.; Wei, X.; Hu, J.F.; Yuan, Z.M.; Wu, M.; Zhao, D.L.; Zhang, Y. Influence of Fe@C composite catalyst on the hydrogen storage properties of Mg–Ce–Y based alloy. Renew. Energ. 2020, 162, 2153–2165. [Google Scholar] [CrossRef]
- Wang, Z.X.; Tian, Z.H.; Yao, P.F.; Zhao, H.M.; Xia, C.Q.; Yang, T. Improved hydrogen storage kinetic properties of magnesium-based materials by adding Ni2P. Renew. Energ. 2022, 189, 559–569. [Google Scholar] [CrossRef]
- Tian, Z.H.; Wang, Z.X.; Yao, P.F.; Xia, C.Q.; Yang, T.; Li, Q. Hydrogen storage behaviors of magnesium hydride catalyzed by transition metal carbides. Int. J. Hydrogen Energy 2021, 46, 40203–40216. [Google Scholar] [CrossRef]
- Meng, Q.F.; Huang, Y.Q.; Ye, J.K.; Xia, G.L.; Wang, G.F.; Dong, L.X.; Yang, Z.; Yu, X. Electrospun carbon nanofibers with in-situ encapsulated Ni nanoparticles as catalyst for enhanced hydrogen storage of MgH2. J. Alloys Compd. 2021, 851, 156874. [Google Scholar] [CrossRef]
- Ren, L.; Zhu, W.; Zhang, Q.U.; Lu, C.; Sun, F.Z.; Lin, X.; Zou, J. MgH2 confinement in MOF-derived N-doped porous carbon nanofibers for enhanced hydrogen storage. Chem. Eng. J. 2022, 434, 134701. [Google Scholar] [CrossRef]
- Liu, M.J.; Zhao, S.C.; Xiao, X.Z.; Chen, M.; Sun, C.H.; Yao, Z.D.; Hu, Z.; Chen, L. Novel 1D carbon nanotubes uniformly wrapped nanoscale MgH2 for efficient hydrogen storage cycling performances with extreme high gravimetric and volumetric capacities. Nano Energy 2019, 61, 540–549. [Google Scholar] [CrossRef]
- Wang, S.; Gao, M.X.; Yao, Z.H.; Xian, K.C.; Wu, M.H.; Liu, Y.F.; Sun, W.; Pan, H. High-loading, ultrafine Ni nanoparticles dispersed on porous hollow carbon nanospheres for fast (de)hydrogenation kinetics of MgH2. J. Magnes. Alloys 2022, 10, 3354–3366. [Google Scholar] [CrossRef]
- Xie, L.H.; Xu, M.; Zhang, C.; Wu, T. Composition dependent hydrogen storage performance and desorption factors of Mg–Ce based alloys. Int. J. Hydrogen Energy 2020, 45, 9865–9876. [Google Scholar] [CrossRef]
- Yang, T.; Li, Q.; Liang, C.Y.; Wang, X.H.; Xia, C.Q.; Wang, H.S.; Yin, F.; Zhang, Y. Microstructure and hydrogen absorption/desorption properties of Mg24Y3M (M = Ni, Co, Cu, Al) alloys. Int. J. Hydrogen Energy 2018, 43, 8877–8887. [Google Scholar] [CrossRef]
- Fu, Y.K.; Yu, Z.C.; Guo, S.Y.; Li, Y.; Peng, Q.M.; Zhang, L.; Wu, S.; Han, S. Catalytic effect of bamboo-like carbon nanotubes loaded with NiFe nanoparticles on hydrogen storage properties of MgH2. Chem. Eng. J. 2023, 458, 141337. [Google Scholar] [CrossRef]
- Czujko, T.; Varin, R.A.; Chiu, C.; Wronski, Z. Investigation of the hydrogen desorption properties of Mg + 10 wt.%X (X = V, Y, Zr) submicrocrystalline composites. J. Alloys Compd. 2006, 414, 240–247. [Google Scholar] [CrossRef]
- Liang, G.; Huot, J.; Boily, S.; Van Neste, A.; Schulz, R. Catalytic effect of transition metals on hydrogen sorption in nanocrystalline ball milled MgH2–Tm (Tm=Ti, V, Mn, Fe and Ni) systems. J. Alloys Compd. 1999, 292, 247–522. [Google Scholar] [CrossRef]
- Shukla, V.; Yadav, T.P. Notable catalytic activity of CuO nanoparticles derived from metal-organic frameworks for improving the hydrogen sorption properties of MgH2. Int. J. Energy Res. 2022, 46, 12804–12819. [Google Scholar] [CrossRef]
- Dan, L.; Wang, H.; Yang, X.B.; Liu, J.W.; Ouyang, L.Z.; Zhu, M. Room-temperature transient hydrogen uptake of MgH2 induced by Nb-doped TiO2 solid-solution catalysts. ACS Appl. Mater. Interfaces 2023, 15, 30372–30382. [Google Scholar] [CrossRef] [PubMed]
- Malka, I.E.; Pisarek, M.; Czujko, T.; Bystrzycki, J. A study of the ZrF4, NbF5, TaF5, and TiCl3 influences on the MgH2 sorption properties. Int. J. Hydrogen Energy 2011, 36, 12909–12917. [Google Scholar] [CrossRef]
- Grzech, A.; Lafont, U.; Magusin, P.C.M.M.; Mulder, F.M. Microscopic study of TiF3 as hydrogen storage catalyst for MgH2. J. Phys. Chem. C 2012, 116, 26027–26035. [Google Scholar] [CrossRef]
- Lototskyy, M.; Sibanyoni, J.M.; Denys, R.V.; Williams, M.; Pollet, B.G.; Yartys, V.A. Magnesium–carbon hydrogen storage hybrid materials produced by reactive ball milling in hydrogen. Carbon 2013, 57, 146–160. [Google Scholar] [CrossRef]
- Oelerich, W.; Klassen, T.; Bormann, R. Metal oxides as catalysts for improved hydrogen sorption in nanocrystalline Mg-based materials. J. Alloys Compd. 2001, 315, 237–242. [Google Scholar] [CrossRef]
- Li, L.; Zhang, Z.C.; Jiao, L.F.; Yuan, H.T.; Wang, Y.J. In situ preparation of nanocrystalline Ni@C and its effect on hydrogen storage properties of MgH2. Int. J. Hydrogen Energy 2016, 41, 18121–18129. [Google Scholar] [CrossRef]
- Xie, W.J.; Liu, K.; Shi, G.D.; Fu, X.L.; Chen, X.J.; Fan, Z.X.; Liu, M.; Yuan, M.; Wang, M. CoS2 nanowires supported graphdiyne for highly efficient hydrogen evolution reaction. J. Energy Chem. 2021, 60, 272–278. [Google Scholar] [CrossRef]
- Wu, A.P.; Tian, C.G.; Jiao, Y.Q.; Yan, Q.; Yang, G.Y.; Fu, H.G. Sequential two-step hydrothermal growth of MoS2/CdS core-shell heterojunctions for efficient visible light-driven photocatalytic H2 evolution. Appl. Catal. B-Environ. 2017, 203, 955–963. [Google Scholar] [CrossRef]
- Yuan, Z.M.; Zhang, Y.H.; Yang, T.; Bu, W.G.; Guo, S.H.; Zhao, D.L. Microstructure and enhanced gaseous hydrogen storage behavior of CoS2-catalyzed Sm5Mg41 alloy. Renew. Energ. 2018, 116, 878–891. [Google Scholar] [CrossRef]
- Yuan, Z.M.; Zhang, W.; Zhang, P.L.; Zhang, Y.H.; Bu, W.G.; Guo, S.H.; Zhao, D. Improvement in the hydrogen storage performance of as-milled Sm-Mg alloys using MoS2 nano-particle catalysts. RSC Adv. 2017, 7, 56365–56374. [Google Scholar] [CrossRef]
- Yuan, Z.M.; Zhang, W.; Zhang, Y.H.; Guo, S.H.; Dong, X.P.; Zhao, D.L. A comparison study of hydrogen storage properties of as-milled Sm5Mg41 alloy catalyzed by CoS2 and MoS2 nano-particles. J. Mater. Sci. Technol. 2018, 34, 1851–1858. [Google Scholar] [CrossRef]
- Wang, P.; Wang, Z.X.; Tian, Z.H.; Xia, C.Q.; Yang, T.; Liang, C.Y.; Li, Q. Enhanced hydrogen absorption and desorption properties of MgH2 with NiS2: The catalytic effect of in-situ formed MgS and Mg2NiH4 phases. Renew. Energ. 2020, 160, 409–417. [Google Scholar] [CrossRef]
- Liu, F.L.; Fang, L.Y.; Li, Z.Y.; Tan, Y.K.; Wang, J.; He, X.C.; Xu, G.; Ouyang, Y.; Tao, X. Diffusion behaviors and mechanical properties of binary Mg–Ce system. Vacuum 2023, 216, 112409. [Google Scholar] [CrossRef]
- Jia, Y.; Guo, Y.N.; Zou, J.; Yao, X.D. Hydrogenation/dehydrogenation in MgH2-activated carbon composites prepared by ball milling. Int. J. Hydrogen Energy 2012, 37, 7579–7585. [Google Scholar] [CrossRef]
- Cho, Y.H.; Aminorroaya, S.; Liu, H.K.; Dahle, A.K. The effect of transition metals on hydrogen migration and catalysis in cast Mg–Ni alloys. Int. J. Hydrogen Energy 2011, 36, 4984–4992. [Google Scholar] [CrossRef]
- Toè, S.D.; Russo, S.L.; Maddalena, A.; Principi, G.; Saber, A.; Sartori, S.; Spataru, T. Hydrogen desorption from magnesium hydride–graphite nanocomposites produced by ball milling. Mat. Sci. Eng. B-Adv. 2004, 108, 24–27. [Google Scholar] [CrossRef]
- Ouyang, L.Z.; Huang, J.M.; Wang, H.; Wen, Y.J.; Zhang, Q.A.; Sun, D.L.; Zhu, M. Excellent hydrolysis performances of Mg3RE hydrides. Int. J. Hydrogen Energy 2013, 38, 2973–2978. [Google Scholar] [CrossRef]
- Yartys, V.A.; Gutfleisch, O.; Panasyuk, V.V.; Harris, I.R. Desorption characteristics of rare earth (R) hydrides (R=Y, Ce, Pr, Nd, Sm, Gd and Tb) in relation to the HDDR behaviour of R–Fe-based-compounds. J. Alloys Compd. 1997, 253–254, 128–133. [Google Scholar] [CrossRef]
- Bhatnagar, A.; Johnson, J.K.; Shaz, M.A.; Srivastava, O.N. TiH2 as a dynamic additive for improving the de/rehydrogenation properties of MgH2: A combined experimental and theoretical mechanistic investigation. J. Phys. Chem. C 2018, 122, 21248–21261. [Google Scholar] [CrossRef]
- Wu, C.Z.; Wang, P.; Yao, X.D.; Liu, C.; Chen, D.M.; Lu, G.Q.; Cheng, H. Effects of SWNT and metallic catalyst on hydrogen absorption/desorption performance of MgH2. J. Phys. Chem. B 2005, 109, 22217–22221. [Google Scholar] [CrossRef] [PubMed]
- Chen, M.; Hu, M.M.; Xie, X.B.; Liu, T. High loading nanoconfinement of V-decorated Mg with 1 nm carbon shells: Hydrogen storage properties and catalytic mechanism. Nanoscale 2019, 11, 10045–10055. [Google Scholar] [CrossRef]
- Ji, L.; Zhang, L.; Yang, X.; Zhu, X.; Chen, L. The remarkably improved hydrogen storage performance of MgH2 by the synergetic effect of an FeNi/rGO nanocomposite. Dalton T. 2020, 49, 4146–4154. [Google Scholar] [CrossRef]
- Ren, L.; Zhu, W.; Li, Y.H.; Lin, X.; Xu, H.; Sun, F.Z.; Lu, C. Oxygen vacancy-rich 2D TiO2 nanosheets: A bridge toward high stability and rapid hydrogen storage kinetics of nano-confined MgH2. Nano-Micro Lett. 2022, 14, 144. [Google Scholar] [CrossRef]
- Li, X.J.; Fu, Y.K.; Xie, Y.C.; Cong, L.; Yu, H.; Zhang, L.; Li, Y.; Han, S. Effect of Ni/tubular g-C3N4 on hydrogen storage properties of MgH2. Int. J. Hydrogen Energy 2021, 46, 33186–33196. [Google Scholar] [CrossRef]
- Schlapbach, L.; Züttel, A. Hydrogen-storage materials for mobile applications. Nature 2001, 414, 353–358. [Google Scholar] [CrossRef]
Disclaimer/Publisher’s Note: The statements, opinions and data contained in all publications are solely those of the individual author(s) and contributor(s) and not of MDPI and/or the editor(s). MDPI and/or the editor(s) disclaim responsibility for any injury to people or property resulting from any ideas, methods, instructions or products referred to in the content. |
© 2025 by the authors. Licensee MDPI, Basel, Switzerland. This article is an open access article distributed under the terms and conditions of the Creative Commons Attribution (CC BY) license (https://creativecommons.org/licenses/by/4.0/).







