Abstract
An Ethernet cable enables users to connect their electronic devices, such as smartphones, computers, routers, laptops, etc., to a network that permits them to utilize the internet. Additionally, it transfers broadband signals among connected devices. Wi-Fi is tremendously helpful with small, handheld gadgets, but if capacity is required, cable Ethernet connectivity cannot be surpassed. Ethernet connections typically work faster than Wi-Fi connections; they also tend to be more flexible, have fewer interruptions, can handle problems rapidly, and have a cleaner appearance. However, it becomes complicated to decide upon an appropriate Ethernet cable. The circular Fermatean fuzzy set (∘FF), an extension of the interval-valued Fermatean fuzzy set(IVFFS) for two dimensions, provides a comprehensive framework for decision-making under uncertainty, where the concept of symmetry plays a crucial role in ensuring the balanced and unbiased aggregation of criteria. The main objective of this investigation was to select one of the best Ethernet cables using multi-criteria decision-making (MCDM). We employed aggregation operators (AOs), such as Einstein averaging and geometric AO, to amalgamate cable choices based on predefined criteria within the ∘FF set environment. Our approach ranks Ethernet cable options by evaluating their proximity to the ideal choice using ∘FF cosine and ∘FF dice similarity measures to ∘FF Einstein-weighted averaging aggregation and geometric operators. The effectiveness and stability of our suggested method are guaranteed by performing visualization, comparison, and statistical analysis.
1. Introduction
A mathematical framework for resolving uncertainties and ambiguity in data and the process of making decisions can be obtained by using the fuzzy set (FS) theory, which was initially proposed by Zadeh [1] in 1965. FSs have elements with degree of membership (DOM) values that vary from 0 to 1, which is in contrast to traditional sets where an element can belong or not, describing the degree of acceptability of an element’s presence in the set.
Atanassov [2] developed the intuitionistic fuzzy set (IFS) in 1980 by extending FS theory to cope with not only the DOM but also the degree of non-membership (DNM). An IFS offers a more comprehensive illustration of ambiguity by allocating two values—DOM and DNM—to each decision value. Even though the IFS has been utilized in several circumstances, there are limitations. In cases where the total of the DOM and DNM is more than 1 when using decision-maker information, the IFS cannot deal with it as the sum of the DOM and DNM if the IFS is smaller or equivalent to 1. In connection with this, in 2013, Yager and Abbasov [3] advanced the Pythagorean fuzzy set(PFS) by modifying the perspective of the IFS. The acceptance range of the PFS was increased by the added feature, which states that the total of the squares for the DOM and DNM does not exceed 1. The Fermatean fuzzy(FF) set that Senapati and Yager [4] suggested has quite a wide acceptance range for the IFS and PFS by assuming the sum of cubes if the DOM and DNM are not greater than 1.
In order to widen the understanding of the vagueness of expression, Atanassov [5] initially put forward the circular intuitionistic fuzzy set (CIFS) in 2020. When representing intricate choices and circumstances, the CIFS offers a more versatile and adaptable structure by extending the representation of uncertainty to a circular domain. Olgun [6] extended the CIFS to a circular Pythagorean fuzzy set (CPFS). Further, Khan et al. [7] extended the PFS as a circular and disc PFS. Revathy et al. [8] demonstrated ∘FF by incorporating the FFS and IVFFS in 2024.
With the intention to showcase how to cope with a tricky real-world scenario, Fahmi et al. [9] proposed the cubic Fermatean Einstein fuzzy-weighted geometric, ordered-weighted geometric, and hybrid-weighted geometric operators. In order to solve the fusion problem, several linguistic Pythagorean fuzzy Einstein AOs have been developed by Rong et al. [10]. Akram et al. [11] investigated the protraction of q-rung ortho-pair fuzzy Einstein operators for decision-making. In order to identify the most suitable breed of horse gram, Janani et al. [12] constructed complex Pythagorean fuzzy Einstein AOs by considering the term periodicity. FF Einstein-prioritized arithmetic and geometric AOs were formulated by Barokab et al. [13] with impetus from Einstein operations on the Fermatean fuzzy number (FFN). Zulqarnain et al. [14] used Pythagorean fuzzy soft set Einstein AOs for MCDM. In order to choose an optimal place for a wind power plant, Thilagavathy [15] used Einstein Bonferroni mean AOs under a cubical fuzzy number. Sri et al. [16] approached MCDM with bipolar linear diophantine fuzzy hypersoft Einstein AOs. Through q-rung ortho-pair trapezoidal fuzzy Einstein AOs, Sarkar et al. [17] handled the MCDM problem. Guner [18] studied generalized spherical fuzzy Einstein AOs. Garg [19] introduced generalized Pythagorean fuzzy geometric Einstein t-norm and t-conorm AOs. Debbarma et al. [20] applied the FF SWARA–MABAC approach to the recycling of healthcare waste. For image interpretations, Azim et al. [21] used q-spherical fuzzy rough Einstein geometric AOs. Ajay et al. [22] applied Einstein exponentials in decision-making under a spherical fuzzy environment. Revathy et al. [23,24] dealt with decision-making problems using the FF PROMETHEE II method via PROMETHEE GAIA and FF-normalized-weighted Bonferroni mean operators to choose one of the top four brands of e-bikes. Kuppusamy et al. [25] used a bipolar Pythagorean fuzzy approach for digital marketing.
By utilizing triangle divergence and Hellinger distance, Deng and Wang [26] devised a distance measure (DM) for FFSs. Since cosine similarity and distance among FFSs measure the angle rather than the magnitude of two vectors, Kirisci [27] developed new metrics in these domains. Sahoo [28] defined four DMs for FFs. Rahim et al. [29] developed a modified cosine similarity and distance estimation-based TOPSIS approach that optimizes the precision and effectiveness of similarity and distance computations in Cubic FF sets. The FF distance proposed by Senapati and Yager was updated by Onyeke et al. [30] to correct some drawbacks while increasing the accuracy of MCDM on students’ course placement in tertiary institutions. Revathy et al. [31] introduced the ∘FF cosine and dice similarity measures (∘FFDMs and ∘FFSMs) that observe the pattern over the circular region, focusing on a single number to aid in more effectively handling uncertainty. Alreshidi et al. [32] introduced similarity and entropy measures for CIFs. Liu et al. used FF SMs based on Tanimoto and Sorensen coefficients in [33] and a new sine similarity measure based on evidence theory for conflict management in [34].
Modern networks are made possible by the ubiquitous Ethernet connection, which acts as an essential broadband signal route between linked devices. Ref. [35] illustrates the structure of Ethernet platforms by exhibiting the integration of Ethernet components to form local area networks and cables. Ethernet cables enable users to access the internet via a network infrastructure by connecting gadgets, such as computers, smartphones, routers, and more. Despite Wi-Fi being more handy, particularly among small-sized devices, Ethernet connectivity is the best option when consistency is extremely important. In terms of efficiency, reliability, adaptability, and aesthetics, Ethernet connections usually outperform Wi-Fi. However, with plenty of factors that must be taken into account, selecting the best Ethernet cable can be an overwhelming task. A comprehensive examination [36] of the primary Ethernet technologies is necessary for establishing and installing industrial systems, as well as understanding how industrial Ethernet is distinct from traditional, confidential factory-floor networks and the techniques by which primarily its high-performance, scalable architecture can be favorable to corporations in the forest goods sector.
Symmetry is a concept closely related to the structure and behavior of the ∘FF sets, which are constantly used by decision experts within multi-criteria decision-making for the measurement of the set’s DOM. It is a balance and equal share in states attained by two dimensions of DOMs within the ∘FF set such that one feature does not outdo the other in the process of making a decision. This will then make it easier to have a proper synthesis of criteria since an even-handed and balanced symmetrical technique will enable the outcome to stand up better and yield a decision that is less subject to minor changes in value. Besides, this evenness comes from the circle of the ∘FF set that sets equal balance and uniformity regarding the elements forming the ∘FF set, which is crucial to appraise the particle set average of Einstein and geometrical AOs to appropriately and accurately appraise the ranks of the options for the cables. It provides symmetry to the framework designed for choice regarding a decision such that the framework developed would be solid (just) and capable of entertaining complex uncertainty in harmony.
1.1. Research Gap and Motivation
In the existing literature, MCDM is applied to FF, IFF, PFF, and FF sets. The ∘FFN is the enhanced representation of uncertainty and ambiguity, where symmetry is used on criteria for making balanced and unbiased decisions compared to the FF and IVFF sets, which are not often used in MCDM. The ∘FF set, which represents the decision values as a circle, centered on the DOM and DNM with the radius varying from 0 to , and can handle the uncertainty in a better manner. In the modern era, everything is computerized. People’s day-to-day lives depend on an internet connection. Despite numerous Wi-Fi and portable gadgets being available, accessing the internet through an Ethernet cable is a traditional way that has no optimum replacement for professional purposes [35,36]. Selecting the best cable by considering the beneficial and nonbeneficial criteria, which are uncertain, is a challenging task for consumers. In order to bridge the gap between MCDM for the selection of the best Ethernet cable and the ∘FF environment, we introduce an ∘FF Einstein AO and apply it by using ∘FF SM.
1.2. Contribution
This research makes the following significant contributions:
- This work extends the fuzzy MCDM approach to the ∘FF MCDM approach by considering symmetry to preserve the characteristics of the criteria for balanced decision-making.
- In order to fulfill the necessity of aggregating ∘FFNs, ∘FF Einstein averaging and geometric AOs are introduced, and their properties are investigated.
- One of the best Ethernet cables is selected via MCDM using ∘FFEA and ∘FFEG operators and ∘FFCSM and ∘FFDSM.
- By using the Desmos 3D graphical calculator, the assumed values and the calculated values are displayed graphically, which explicitly helps the process of decision-making.
- The effectiveness of the obtained results is compared, and their statistical values are analyzed with the help of IBM SPSS 27 software.
In general, an Einstein aggregation operator can integrate data collected from multiple sources or criteria to provide a single decision measure. Our proposed circular Fermatean fuzzy Einstein Aggregation operator can deal with ambiguity and uncertainty effectively; hence, it is suitable for problems with higher intricacy and critical decision-making than the usual MCDM methods. This versatility will facilitate adaptation due to particular choice criteria and circumstances where various factors need to be addressed simultaneously.
This paper has been organized as follows: The basic results are provided in Section 2. The ∘FF Einstein AOs are defined and discussed in Section 3. In Section 4, MCDM under the ∘FF Einstein operator is demonstrated along with the simulation, comparison, and statistical analysis of the obtained results and limitations. The conclusion and future work are given in Section 5. The readers are asked to refer to Appendix A for the expansion of the acronyms used throughout the paper.
2. Preliminaries
This section recalls some of the inherent traits of ∘FF sets used in this work.
Definition 1
([4]). A set in the universe of discourse X is called an FF set if where and are the DOM, DNM, and degree of indeterminacy of x in The component is the FFN, and is its complement.
The FFN corresponding to linguistic terms [8] is tabulated in Table 1.
Table 1.
Linguistic terms and FFNs.
Definition 2
([8]). A circular Fermatean fuzzy (∘FF) set is a circle, centred at the DOM & DNM values, with a radius and is an indeterminacy value of ι in
The circular Fermatean fuzzy number (∘FFN) is the component of ∘FF set denoted as
Remark 1
([8]). Every FF set is a ∘FF set with a radius of 0.
Definition 3
([8]). Consider two ∘FF sets and in . Then,
- 1.
- if and only if and , .
- 2.
- if and only if and , .
- 3.
- The complement .
Remark 2
([8]). Let be a collection of FFNs. Then, are ∘FF sets, where
Example 1.
Consider the collection of three FFNs , , and ; when these are considered, then the s are , and
Figure 1 visualizes the transformation of the FFN into the ∘FFN. The black dots represent the FFN. By using Remark 2, the center and radius are calculated to draw the circle around them within the acceptance region , which is shaded in different colors.
Figure 1.
Representation of ∘FFN.
Definition 4
([31]). “Let , be two ∘FFNs. The ∘FFCSM and ∘FFDSM between and are stated as
3. Circular Fermatean Fuzzy Einstein Aggregation Operators
Definition 5
([8]). Let , , and be ∘ FFNs and . Let us assume the continuous Archimedean t-norms are the additive generators for T & Q, respectively; the continuous Archimedean t-conorms taken as and are the additive generator for S and P, respectively.
Remark 3.
If are defined as and , then and . From Definition 5, we obtain the following basic ∘FF Einstein operations based on ∘FF t-norm and t-conorm.
Definition 6.
Let , i = 1, 2,...,k are ∘FFNs with the weight vector , and . Then, the Archimedian t-norm and t-conorm are defined as
Theorem 1.
Consider the ∘FFNs , i=1, 2,...,κ with the weight vector , and . Then, the aggregated values , of are also ∘FFN, which are of the form
Proof.
The above theorem can be easily proved by using mathematical induction. □
4. Selection of the Best Ethernet Cable Using MCDM
In this section, we apply the proposed ∘FFEAO with ∘FFCSM and ∘FFDSM to select the ideal Ethernet cable.
In order to ensure the best potential network efficiency, a high-quality Ethernet cable is important. Choosing a suitable Ethernet cable guarantees a consistent, reliable connection with low delays and constant acceleration, unlike Wi-Fi, which can be liable for interruption and signal degeneration [35]. For activities such as playing games via the internet, uploading HD video, and handling big transfers of data that need a lot of capacity and little delay, this is crucial. Ethernet cables, which mainly connect laptops, routers, printing devices, toggle switches, and other devices within local area networks, serve as the basis for contemporary information transmission networks. The following factors have to be taken into account: the transmission speed of data for the effective transformation of data, reliability for less susceptibility to disturbance, future-proofing for the quicker communication of data, compatibility for maintaining interactions between the Ethernet cable and network devices, cost-effectiveness, environmental factors (such as temperature, moisture, and physical stress), and security features (such as the surveillance of information and hacking).
The four decision makers are network administrators/engineers (), telecommunications specialists (), system integrators (), and electrical engineers (), as they have a higher need for the communication of data with cost-effectiveness than any other professionals. They gave their opinion on six Ethernet cables, namely, to , against the two beneficiary criteria (speed () and reliability()) and the nonbeneficiary criteria (cable weight (), cable length (), and cost()), with criterion weights 0.25, 0.2, 0.15, 0.15, and 0.25, respectively.
Making Ethernet cable selections can be achieved systematically by applying the following algorithm to figure out which Ethernet cable fulfills the particular requirements and preferences in terms of multiple criteria.
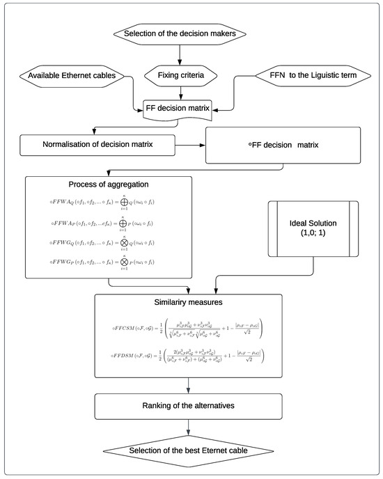
The flowchart given in Figure 2 visualizes the procedure involved in our proposed MCDM.
Figure 2.
Flowchart for the MCDM process.
The four decision experts, namely to , gave their opinion on six Ethernet cables, namely to , against the five criteria, to , through the linguistic terms given in Table 1 as to ; this is tabulated in Table 2.
Table 2.
Symbolic representations of the decisions of experts; .
Table 3.
Decision experts () decisions in terms of FFN.
The normalization process ensures that all the criteria are measured to the same degree. Higher values are preferred for beneficial criteria, whereas lower values are preferred for nonbeneficial criteria. In order to normalize the criteria, the DOM and DNM values of the nonbeneficial criteria, which are tabulated in Table 3, have been interchanged, and the normalized FF decision matrix is given in Table 4.
Table 4.
Normalized decision values in terms of FFNs.
The ∘FFN represents the multiple opinions of the decision-makers as a single circle, the center of which is at DOM and DNM with a radius that varies from 0 to . The ∘FFN encircles the FFN by using Remark 2, which may cope with uncertainty and ambiguity in a better manner. Additionally, it can represent the decision values visually, which helps the decision-making process. The FFNs in Table 4 are transformed into ∘FFNs and are displayed in Table 5.
Table 5.
Decision values as ∘FFN.
The process of aggregation converts the multiple values into a single value, allowing the decision-maker to choose the best alternative that has a greater aggregation value. The Einstein AO is one of the best AOs for handling fuzzy data. Here, we use ∘FFWEA and ∘FFWEG (given in (11) to (14)) to aggregate the ∘FFNs against five criteria of each alternate. Additionally, the aggregated values are tabulated in Table 6.
Table 6.
∘FFEWA and ∘FFEWG.
The is an efficient strategy in decision-making procedures since it can measure the relation between the two s. In Table 7, the ∘FFCSM between the ideal solution and the aggregated values of to are tabulated.
Table 7.
The ∘FFCSM between the aggregated values and the ideal solution.
In MCDM, a dice similarity is an alternative tool that helps with the comparison of alternatives for ranking and selections. Decision-makers may enhance decisions using dice similarity. In Table 8, the ∘FFDSM between the ideal solution and the aggregated values are tabulated.
Table 8.
The ∘FFDSM between the aggregated values and the ideal solution.
Table 9 demonstrates the ranking of alternatives based on different AOs and SMs. We can see that is the best Ethernet cable among all the available alternatives ( to ).
Table 9.
Ranking of Ethernet cables.
Visualization, Comparison, and Statistical Analysis
The aggregated and similarity measure values are pictured by using the Desmos 3D graphic calculator in this section. Additionally, the Bayesian statistics between with and with were calculated using IBM SPSS software 27.
Figure 3a–f describe the aggregation and SMs for and ∘FFCSM. The green circles indicate the selections of the decision-makers in terms of ∘FFN. The violet circle represents the aggregated decision value of each alternate corresponding to five criteria. The red circle represents the ideal solution The yellow shaded region represents the ∘FFCSM of the calculated value to the ideal solution. It is evident from the shaded region that has the highest similar portion to the aggregated value. Hence, has been concluded as the best Ethernet cable among all the six available Ethernet cables.

Figure 3.
aggregation and ∘FFCSM similarity measure. (a) ; (b) ; (c) ; (d) ; (e) ; (f) .
The new approaches, ∘FFWEA and ∘FFWEG, were compared to existing methods, ∘FFWA and ∘FFWG [8], and are tabulated in Table 10.
Table 10.
Comparison of proposed methods with existing methods.
Figure 4 shows an apparent graphical comparison, illustrating the way every alternative’s rank changes across methods. From our study, it is observed that , which is represented in orange, is always the first rank over any Ethernet cables. The cable (represented in dark blue) is ranked second in our proposed methods other than for and through . The remaining colors vary from second rank to sixth rank. Hence, can be selected as the best Ethernet cable among all the available alternatives.
Figure 4.
Visualization of rank comparison.
Figure 5 and Figure 6 represent the aggregated values of the six available Ethernet cables using with and with . Hence, is the best Ethernet cable.
Figure 5.
Comparison of and for different Ethernet cables.
Figure 6.
Comparison of and for different Ethernet cables.
A highly effective approach for decision-making is Bayesian decision-making, which modifies a hypothesis’s likelihood in the context of new information using Bayes’ theorem. The technique is capable of addressing numerous distinct characteristics or attributes and is particularly efficient in situations where decisions need to be established under conditions of uncertainty. Here, IBM SPSS 27 software was used to calculate the Bayesian values and Bayesian normal analysis.
In MCDM, where decisions are based on numerous factors that can be categorized into different classifications, the Bayesian estimation of grouped means can be highly favorable. Decisions made using Bayesian methods are more reliable and competent since they facilitate the consideration of uncertainty and preceding information. The values given in Figure 7 provides the mode, the variance, and the mean of the aggregated values using our proposed AOs.
Figure 7.
Bayesian data of aggregated values.
Incorporating prior expertise, detecting the similarities and differences between groups, and generating probabilistic predictions about the criteria of concern are all facilitated by using Bayesian analysis on related samples with a normal distribution. In circumstances wherein experience is included or when the sample sizes are small, this technique can be particularly advantageous.
The log-likelihood function measures the chances of capturing the information provided under alternative statistical model parameter configurations.
The prior distribution provides the utilization of previous expertise or guidance from experts in the investigation. This is particularly advantageous when the data are insufficient or unclear. In the scenario in which the data independently might result in excessive fitting, a prior distribution may be utilized to stabilize attribute estimations, which leads to stronger and more consistent outcomes.
The posterior distribution provides an extensive range of parameter quantities that can be utilized to determine the posterior mean or mode and credible ranges. The posterior distribution imparts a measure of any ambiguity in those parameter predictions, which is essential in decision-making.
Figure 8 describes the likelihood measure, prior distribution, and posterior distribution between and , which assists the decision-maker in predicting the aggregated values and making decisions.
Figure 8.
Bayesian −related samples of normal distribution for and .
Figure 9 describes the likelihood measure, prior distribution, and posterior distribution for with .
Figure 9.
Bayesian-related sample normal distribution for and .
While ordinary MCDM strategies are relatively straightforward to use, techniques utilizing our proposed ∘FF Einstein AO can cope with ambiguity and ambivalence effectively, which makes them suitable for more sophisticated and complex decision-making contexts. However, the method utilized should be determined according to the particular needs of the decision-making problem, the degree of ambiguity concerned, and the computational resources available that limit the usage of ∘FF Einstein AOs.
5. Conclusions and Future Work
The choice of an efficient Ethernet cable is essential for preserving reliability, efficacy, and access to a network. This work has provided a complete framework for making conclusions under uncertainty through the use of the MCDM approach, particularly through Einstein-averaging and geometric AOs in an ∘FF environment, which is an extension of the IVFFS to two dimensions. ∘FFNs are represented as circles centered at the DOM and DNM with a radius of up to that are symmetrical about any of their diameters, meaning that a circle can be divided into two equal parts by any of its diameters at any time. It shall also be symmetrically aligned around the diameter if it is rotated by any degree of angle, helping the process of decision-making achieve more versatility in expressing uncertainty and ambiguity. Comparison analysis indicates the stability and effectiveness of the suggested approach. The visualization by the Desmos 3D graphic calculator portrays the physical phenomena of the obtained result. Statistical analysis through IBM SPSS 27 confirms the correctness and statistical measures of the proposed AOs.
The implementation of the Einstein aggregation operator may require extensive computational calculations, depending on the number of inputs and the degree of uncertainty of the Fermaten fuzzy sets employed. It might be challenging for decision-makers who are inexperienced with mathematical concepts to comprehend the aggregated results. Understanding such limitations facilitates the identification of a suitable aggregation technique for specific uses and the development of systems that successfully employ the Einstein aggregation operator. In reality, paying careful attention to these aspects could reduce some of the challenges and enhance the operator’s utilization.
In the future, optimization techniques specific to ∘FF Einstein operators will be developed through ensemble methods that combine multiple models using ∘FF Einstein operators, leveraging their ability to handle fuzzy information to improve overall model performance. The outputs of machine learning models incorporating ∘FF Einstein operators will be investigated for a more interpretable and explainable framework.
Author Contributions
R.A.: Conceptualization, Methodology, Writing—Original Draft, Formal analysis, Investigation, Software, Visualization, I.V.: Formal analysis, Investigation, Supervision, Project administration, P.B.D.: Formal analysis, Investigation, Resources, Data Curation, Writing—Review & Editing, T.R.: Investigation, Resources, Project administration, Funding acquisition. All authors have read and agreed to the published version of the manuscript.
Funding
The researchers would like to thank the Deanship of Graduate Studies and Scientific Research at Qassim University for financial support (QU-APC-2024-9/1).
Data Availability Statement
All the data used are available within the manuscript.
Acknowledgments
The researchers would like to thank the Deanship of Graduate Studies and Scientific Research at Qassim University for financial support (QU-APC-2024-9/1).
Conflicts of Interest
All the authors hereby declare that they do not have any conflict of interest.
Appendix A
The shortened forms used in the current research are listed in Table A1.
Table A1.
Abbreviations and expansion.
Table A1.
Abbreviations and expansion.
| Acronyms | Expansion |
|---|---|
| DOM | Degree of membership |
| DNM | Degree of non-membership |
| FS | Fuzzy set |
| IFS | Intuitionistic fuzzy set |
| PFS | Pythagorean fuzzy set |
| IVFFS | Interval-valued Fermatean fuzzy set |
| FF | Fermatean fuzzy |
| FFN | Fermatean fuzzy number |
| CIFS | Circular intuitionistic fuzzy set |
| CPFS | Circular Pythagorean fuzzy set |
| ∘FF | Circular Fermatean fuzzy |
| ∘FFN | Circular Fermatean fuzzy number |
| MCDM | Multi-criteria decision-making |
| AO | Aggregation operator |
| DE | Decision expert |
| DM | Distance measure |
| SM | Similarity measure |
| ∘FFEAO | Circular Fermatean fuzzy Einstein aggregation operator |
| ∘FFWEA | Circular Fermatean fuzzy Einstein-weighted averaging aggregation operator |
| ∘FFWEG | Circular Fermatean fuzzy-weighted Einstein geometric aggregation operator |
| ∘FFCSM | CircularFermatean fuzzy cosine similarity measure |
| ∘FFDSM | Circular Fermatean fuzzy dice similarity measure |
| ∘FFCDM | CircularFermatean fuzzy cosine distance measure |
| ∘FFEDM | Circular Fermatean fuzzy Euclidean distance measure |
| ∘FFWA | Circular Fermatean fuzzy-weighted averaging aggregation operator |
| ∘FFWG | Circular Fermatean fuzzy-weighted geometric aggregation operator |
References
- Zadeh, L.A. Fuzzy sets. Inf. Control 1965, 8, 338–353. [Google Scholar] [CrossRef]
- Atanassov, K. Intuitionistic fuzzy sets. Fuzzy Sets Syst. 1989, 20, 87–96. [Google Scholar] [CrossRef]
- Yager, R.R.; Abbasov, A.M. Pythagorean membership grades, complex numbers, and decision making. Int. J. Intell. Syst. 2013, 28, 436–452. [Google Scholar] [CrossRef]
- Senapati, T.; Yager, R.R. Fermatean fuzzy sets. J. Ambient. Intell. Humaniz. Comput. 2020, 11, 663–674. [Google Scholar] [CrossRef]
- Atanassov, K.T. Circular intuitionistic fuzzy sets. J. Intell. Fuzzy Syst. 2020, 39, 5981–5986. [Google Scholar] [CrossRef]
- Olgun, M.; Ünver, M. Circular Pythagorean fuzzy sets and applications to multi-criteria decision making. arXiv 2022, arXiv:2210.15483. [Google Scholar]
- Khan, M.J.; Alcantud, J.C.R.; Kumam, W.; Kumam, P.; Alreshidi, N.A. Expanding Pythagorean fuzzy sets with distinctive radii: Disc Pythagorean fuzzy sets. Complex Intell. Syst. 2023, 9, 7037–7054. [Google Scholar] [CrossRef]
- Revathy, A.; Inthumathi, V.; Krishnaprakash, S.; An akumar, H.; Arifmohammed, K.M. The Characteristics of Circular Fermatean Fuzzy Sets and Multicriteria Decision-Making Based on the Fermatean Fuzzy t-Norm and t-Conorm. Appl. Comput. Intell. Soft Comput. 2024, 2024, 6974363. [Google Scholar] [CrossRef]
- Fahmi, A.; Khan, A.; Abdeljawad, T. Group decision making based on cubic Fermatean Einstein fuzzy weighted geometric operator. Ain Shams Eng. J. 2024, 15, 102737. [Google Scholar] [CrossRef]
- Rong, Y.; Pei, Z.; Liu, Y. Linguistic Pythagorean Einstein operators and their application to decision making. Information 2020, 11, 46. [Google Scholar] [CrossRef]
- Akram, M.; Shahzadi, G.; Shahzadi, S. Protraction of Einstein operators for decision-making under q-rung orthopair fuzzy model. J. Intell. Fuzzy Syst. 2021, 40, 4779–4798. [Google Scholar] [CrossRef]
- Janani, K.; Veerakumari, K.P.; Vasanth, K.; Rakkiyappan, R. Complex Pythagorean fuzzy Einstein aggregation operators in selecting the best breed of Horsegram. Expert Syst. Appl. 2022, 187, 115990. [Google Scholar] [CrossRef]
- Barokab, O.M.; Khan, A.; Khan, S.A.; Jun, Y.B.; Rushdi, A.M.A. University’s recruitment process using Fermatean fuzzy Einstein prioritized aggregation operators. J. Intell. Fuzzy Syst. 2023, 45, 3985–4008. [Google Scholar] [CrossRef]
- Zulqarnain, R.M.; Siddique, I.; Jarad, F.; Hamed, Y.S.; Abualnaja, K.M.; Iampan, A. Einstein Aggregation Operators for Pythagorean Fuzzy Soft Sets with Their Application in Multiattribute Group Decision-Making. J. Funct. Spaces 2022, 2022, 1358675. [Google Scholar] [CrossRef]
- Thilagavathy, A.; Mohanaselvi, S. Cubical fuzzy Einstein Bonferroni mean averaging aggregation operators and their applications to multiple criteria group decision-making problems. J. Intell. Fuzzy Syst. 2023, 45, 1–27. [Google Scholar]
- Sri, S.N.; Vimala, J.; Kausar, N.; Ozbilge, E.; Özbilge, E.; Pamucar, D. An MCDM approach on Einstein aggregation operators under Bipolar Linear Diophantine Fuzzy Hypersoft Set. Heliyon 2024, 10, e29863. [Google Scholar]
- Sarkar, A.; Biswas, A.; Kundu, M. Development of q-rung orthopair trapezoidal fuzzy Einstein aggregation operators and their application in MCGDM problems. J. Comput. Cogn. Eng. 2022, 1, 109–121. [Google Scholar] [CrossRef]
- Güner, E.; Aygün, H. A comparative study on the generalized spherical fuzzy Einstein aggregation operators. Gazi Univ. J. Sci. 2024, 37, 393–413. [Google Scholar] [CrossRef]
- Garg, H. Generalized Pythagorean fuzzy geometric aggregation operators using Einstein t-norm and t-conorm for multicriteria decision-making process. Int. J. Intell. Syst. 2017, 32, 597–630. [Google Scholar] [CrossRef]
- Debbarma, S.; Chakraborty, S.; Saha, A.K. Health care waste recycling concerning circular economy: A Fermatean fuzzy aggregation operator-based SWARA–MABAC approach. Environ. Dev. Sustain. 2024, 1–40. [Google Scholar] [CrossRef]
- Azim, A.B.; Ali, A.; Khan, A.S.; Ali, S.; Awwad, F.A.; Ismail, E.A.A. q-Spherical fuzzy rough Einstein geometric aggregation operator for image understanding and interpretations. IEEE Access 2024. [Google Scholar] [CrossRef]
- Ajay, D.; Selvachran, G.; Aldring, J.; Thong, P.H.; Son, L.H.; Cuong, B.C. Einstein exponential operation laws of spherical fuzzy sets and aggregation operators in decision making. Multimed. Tools Appl. 2023, 82, 41767–41790. [Google Scholar] [CrossRef]
- Aruchsamy, R.; Velusamy, I.; Sanmugavel, K.; Dhandapani, P.B.; Ramasamy, K. Generalization of Fermatean Fuzzy Set and Implementation of Fermatean Fuzzy PROMETHEE II Method for Decision Making via PROMETHEE GAIA. Axioms 2024, 13, 408. [Google Scholar] [CrossRef]
- Revathy, A.; Inthumathi, V.; Krishnaprakash, S.; Kishorekumar, M. Fermatean fuzzy normalised Bonferroni mean operator in multi-criteria decision making on selection of electric bike. In Proceedings of the 2023 Fifth International Conference on Electrical, Computer and Communication Technologies (ICECCT), Erode, India, 22–24 February 2023; pp. 1–7. [Google Scholar]
- Kuppusamy, V.; Shanmugasundaram, M.; Dhandapani, P.B.; Martin-Barreiro, C.; Cabezas, X.; Leiva, V.; Castro, C. Addressing a decision problem through a bipolar Pythagorean fuzzy approach: A novel methodology applied to digital marketing. Heliyon 2024, 10, e23991. [Google Scholar] [CrossRef]
- Deng, Z.; Wang, J. New distance measure for Fermatean fuzzy sets and its application. Int. J. Intell. Syst. 2022, 37, 1903–1930. [Google Scholar] [CrossRef]
- Kirisci, M. New cosine similarity and distance measures for Fermatean fuzzy sets and TOPSIS approach. Knowl. Inf. Syst. 2023, 65, 855–868. [Google Scholar] [CrossRef] [PubMed]
- Sahoo, L. Similarity measures for Fermatean fuzzy sets and its applications in group decision-making. Decis. Sci. Lett. 2022, 11, 167–180. [Google Scholar] [CrossRef]
- Rahim, M.; Garg, H.; Amin, F.; Perez-Dominguez, L.; Alkhayyat, A. Improved cosine similarity and distance measures-based TOPSIS method for cubic Fermatean fuzzy sets. Alex. Eng. J. 2023, 73, 309–319. [Google Scholar] [CrossRef]
- Onyeke, I.C.; Ejegwa, P.A. Modified Senapati and Yager’s Fermatean fuzzy distance and its application in students’ course placement in tertiary institution. In Real Life Applications of Multiple Criteria Decision Making Techniques in Fuzzy Domain; Springer Nature: Singapore, 2022; pp. 237–253. [Google Scholar]
- Aruchsamy, R.; Velusamy, I.; Dhandapani, P.B.; Nasiru, S.; Chesneau, C. Modern Approach in Pattern Recognition Using Circular Fermatean Fuzzy Similarity Measure for Decision Making with Practical Applications. J. Math. 2024, 1, 6503747. [Google Scholar] [CrossRef]
- Alreshidi, N.A.; Shah, Z.; Khan, M.J. Similarity and entropy measures for circular intuitionistic fuzzy sets. Eng. Appl. Artif. Intell. 2024, 131, 107786. [Google Scholar] [CrossRef]
- Liu, Z. Fermatean fuzzy similarity measures based on Tanimoto and Sørensen coefficients with applications to pattern classification, medical diagnosis and clustering analysis. Eng. Appl. Artif. Intell. 2024, 132, 107878. [Google Scholar] [CrossRef]
- Liu, Z. A new sine similarity measure based on evidence theory for conflict management. Commun.-Stat.-Theory Methods 2024, 1–17. [Google Scholar] [CrossRef]
- Spurgeon, C.E. Ethernet: The Definitive Guide; O’Reilly Media, Inc.: California CA, USA, 2000. [Google Scholar]
- Kay, J.A.; Entzminger, R.A.; Mazur, D.C. Industrial Ethernet-overview and best practices. In Proceedings of the Conference Record of 2014 Annual Pulp and Paper Industry Technical Conference, Atlanta, GA, USA, 22–26 June 2014; pp. 18–27. [Google Scholar] [CrossRef]
Disclaimer/Publisher’s Note: The statements, opinions and data contained in all publications are solely those of the individual author(s) and contributor(s) and not of MDPI and/or the editor(s). MDPI and/or the editor(s) disclaim responsibility for any injury to people or property resulting from any ideas, methods, instructions or products referred to in the content. |
© 2024 by the authors. Licensee MDPI, Basel, Switzerland. This article is an open access article distributed under the terms and conditions of the Creative Commons Attribution (CC BY) license (https://creativecommons.org/licenses/by/4.0/).