The Relationship between Cardiomyocyte Action Potentials and Ion Concentrations: Machine Learning Prediction Modeling and Analysis of Spontaneous Spiral Wave Generation Mechanisms
Abstract
1. Introduction
- We established a dataset of myocardial cell action potentials corresponding to changes in the concentrations of various ion currents inside and outside the cell membrane. Based on this dataset, we developed a new ANN classification model that can accurately predict ion current concentration changes from action potential variations. The accuracy of the model in the test set is 0.988.
- We have discovered a mechanism for the spontaneous generation of spiral waves in the heart. When certain specific structures are present within composite myocardial tissue, changes in the extracellular potassium ion concentration can trigger the spontaneous generation of spiral waves by myocardial cells in the composite tissue.
2. Materials and Methods
2.1. Constructing the ANN Classification Model: Predicting Ion Concentration Changes Based on Action Potential Curves
2.1.1. Electrophysiological Cell Model
2.1.2. Dataset Description
2.1.3. Dataset Prepossessing
- For each sample, we selected a voltage value at 0.4 ms intervals, resulting in 1500 voltage values per sample;
- The dataset was standardized to improve the model’s stability and performance;
- The dataset was randomly split into training and testing sets, with 850 samples divided into training and testing datasets in an 8:2 ratio.
2.1.4. ANN Model Construction
2.2. Constructing the Mathematical Model of Composite Myocardial Tissue: Exploring the Spontaneous Generation of Spiral Waves
3. Results
3.1. Performance Evaluation of the ANN Classification Model
3.2. Three Structures of the Composite Cardiac Tissue and the Spontaneous Generation of Spiral Waves
3.2.1. The First Configuration of Composite Cardiac Tissue and the Generation of a Single Spiral Wave
3.2.2. The Second Composite Cardiac Tissue Configuration and the Generation Process of Spiral Wave Pairs
3.2.3. The Third Composite Myocardial Tissue Configuration and the Formation Process of Double Spiral Wave
4. Discussion
- We predicted and classified the changes in ion concentration based on action potential shapes using a machine learning algorithm with ANN layers. Through electrophysiological simulations of single myocardial cells, we generated a dataset of action potentials corresponding to changes in five ion concentrations. We developed an ANN classification model that accurately predicts ion concentration changes based on action potential variations, achieving an accuracy of 0.988 on the test set.
- We conducted electrophysiological simulations of a two-dimensional composite myocardial tissue. By structuring the tissue and altering the extracellular potassium ion concentration K0, we induced self-excitation in myocardial cells, resulting in the generation of single spiral wave, spiral wave pair, and double spiral wave within the two-dimensional composite myocardial tissue.
4.1. ANN Classification Model
4.2. Spontaneous Generation of Spiral Waves in Myocardial Tissue
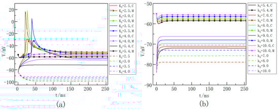
- The changes in the action potentials of myocardial cells without coupling to fibroblasts, indicated by the dashed lines.
- The changes in the action potentials of myocardial cells and fibroblasts when they are coupled, indicated by the solid lines.
5. Conclusions
Author Contributions
Funding
Data Availability Statement
Conflicts of Interest
Appendix A
| Ion Current Expression | Ion Current Meaning |
|---|---|
| the fast inward sodium ion current | |
| the slow inward calcium ion current | |
| the time-dependent potassium current | |
| the time-independent potassium current | |
| the plateau potassium current | |
| the background leakage current |
Appendix B
- Accuracy: Reflects the proportion of correctly predicted samples relative to the total sample size.High accuracy indicates that the model can correctly predict the majority of samples’ classes, while low accuracy suggests poor model performance.
- Precision: Indicates the fraction of samples identified as positive by the model that are truly positive.A high precision indicates that the model is making fewer false positive predictions, meaning it has a low rate of incorrectly classifying negative instances as positive. On the other hand, a low precision suggests that the model is making more false positive predictions, indicating that it may be less reliable in identifying positive instances.
- Recall: Measures the proportion of truly positive samples that the model successfully identifies as positive.A higher recall indicates that the model can correctly identify most true positive samples, while a lower recall suggests that the model may miss some true positive samples.
- F1-score: Represents the harmonic mean of precision and recall, offering a balanced assessment of the model’s accuracy and completeness.The F1-score ranges from 0 to 1, with higher values indicating better model performance. It reaches its best value at 1 and worst value at 0.
- Confusion matrix for multiclass classification:The confusion matrix for multiclass classification is a two-dimensional array. Each row represents a true class, and each column represents a predicted class. The elements on the diagonal of the matrix represent the number of samples correctly predicted by the model, while the other elements represent the number of incorrectly predicted samples.
- AUC-ROC curve:The ROC curve for multiclass classification is a tool used to evaluate the performance of a multiclass classification model. It displays the classifier’s performance across different classes by plotting the binary ROC curves for each class. The Area Under the ROC Curve (AUC) can be used to quantify the overall performance of the model.
References
- Grant, A.O. Cardiac ion channels. Circ. Arrhythmia. Electrophysiol. 2009, 2, 185–194. [Google Scholar] [CrossRef] [PubMed]
- Nerbonne, J.M.; Kass, R.S. Molecular physiology of cardiac repolarization. Physiol. Rev. 2005, 85, 1205–1253. [Google Scholar] [CrossRef]
- Madhvani, R.V.; Xie, Y.; Pantazis, A.; Garfinkel, A.; Qu, Z.; Weiss, J.N.; Olcese, R. Shaping a new Ca2+ conductance to suppress early afterdepolarizations in cardiac myocytes. J. Physiol. 2011, 589, 6081–6092. [Google Scholar] [CrossRef]
- Tomaselli, G.F.; Marban, E. Electrophysiological remodeling in hypertrophy and heart failure. Cardiovasc. Res. 1999, 42, 270–283. [Google Scholar] [CrossRef] [PubMed]
- Weiss, J.N.; Garfinkel, A.; Karagueuzian, H.S.; Qu, Z.; Chen, P.S. Chaos and the transition to ventricular fibrillation: A new approach to antiarrhythmic drug evaluation. Circulation 1999, 99, 2819–2826. [Google Scholar] [CrossRef] [PubMed]
- Zipes, D.P.; Wellens, H.J.J. Sudden cardiac death. Circulation 1998, 98, 2334–2351. [Google Scholar] [CrossRef]
- Qiao, C.G.; Li, W.H.; Tang, G.N. Study on the effect of delayed recovery of extracellular potassium ion concentration on spiral wave. Acta Phys. Sin. 2014, 23, 238201. [Google Scholar] [CrossRef]
- Sidorov, V.Y.; Woods, M.C.; Wikswo, J.P. Effects of elevated extracellular potassium on the stimulation mechanism of diastolic cardiac tissue. Biophys. J. 2003, 84, 3470–3479. [Google Scholar] [CrossRef]
- Xiao, X.H.; Tang, G.N. Suppression of spiral waves and spatiotemporal chaos in cardiac tissue by elevating potassium ion concentration. J. Biol. Eng. 2012, 29, 29–34. [Google Scholar]
- Shaw, R.M.; Rudy, Y. Electrophysiologic effects of acute myocardial ischemia: A theoretical study of altered cell excitability and action potential duration. Cardiovasc. Res. 1997, 35, 256–272. [Google Scholar] [CrossRef]
- Luo, C.H.; Rudy, Y. A dynamic model of the cardiac ventricular action potential. I. Simulations of ionic currents and concentration changes. Circ. Res. 1994, 74, 1071–1096. [Google Scholar] [CrossRef]
- Fujiu, K.; Nagai, R. Fibroblast-mediated pathways in cardiac hypertrophy. J. Mol. Cell. Cardiol. 2014, 70, 64–73. [Google Scholar] [CrossRef] [PubMed]
- Gao, X.; Engel, T.; Carlson, B.E.; Wakatsuki, T. Computational modeling for cardiac safety pharmacology analysis: Contribution of fibroblasts. J. Pharmacol. Toxicol. Methods 2017, 87, 68–73. [Google Scholar] [CrossRef]
- Xing, C.; Bao, L.; Li, W.; Fan, H. Progress on role of ion channels of cardiac fibroblasts in fibrosis. Front. Physiol. 2023, 14, 1138306. [Google Scholar] [CrossRef] [PubMed]
- Munoz, V.; Campbell, K.; Shibayama, J. Fibroblasts: Modulating the rhythm of the heart. J. Physiol. 2008, 586, 2423–2424. [Google Scholar] [CrossRef]
- Bazhutina, A.; Balakina-Vikulova, N.A.; Kursanov, A.; Solovyova, O.; Panfilov, A.; Katsnelson, L.B. Mathematical modelling of the mechano-electric coupling in the human cardiomyocyte electrically connected with fibroblasts. Prog. Biophys. Mol. Biol. 2021, 159, 46–57. [Google Scholar] [CrossRef] [PubMed]
- Thompson, S.A.; Copeland, C.R.; Reich, D.H.; Tung, L. Mechanical coupling between myofibroblasts and cardiomyocytes slows electric conduction in fibrotic cell monolayers. Circulation 2011, 123, 2083–2093. [Google Scholar] [CrossRef] [PubMed]
- Pellman, J.; Zhang, J.; Sheikh, F. Myocyte-fibroblast communication in cardiac fibrosis and arrhythmias: Mechanisms and model systems. J. Mol. Cell. Cardiol. 2016, 94, 22–31. [Google Scholar] [CrossRef]
- Nayak, A.R.; Shajahan, T.K.; Panfilov, A.V.; Pandit, R. Spiral-wave dynamics in a mathematical model of human ventricular tissue with myocytes and fibroblasts. PLoS ONE 2013, 8, e72950. [Google Scholar] [CrossRef]
- Mulimani, M.K.; Zimik, S.; Pandit, R. An in silico study of electrophysiological parameters that affect the spiral-wave frequency in mathematical models for cardiac tissue. Front. Phys. 2022, 9, 819873. [Google Scholar] [CrossRef]
- Nguyen, T.P.; Xie, Y.; Garfinkel, A.; Qu, Z.; Weiss, J.N. Arrhythmogenic consequences of myofibroblast-myocyte coupling. Cardiovasc. Res. 2012, 93, 242–251. [Google Scholar] [CrossRef] [PubMed]
- Peirlinck, M.; Costabal, F.S.; Yao, J.; Guccione, J.M.; Tripathy, S.; Wang, Y.; Ozturk, D.; Segars, P.; Morrison, T.M.; Levine, S.; et al. Precision medicine in human heart modeling: Perspectives, challenges, and opportunities. Biomech. Model. Mechanobiol. 2021, 20, 803–831. [Google Scholar] [CrossRef]
- Shi, M.; Yu, H.; Wang, H. Automated detection of sudden cardiac death by discrete wavelet transform of electrocardiogram signal. Symmetry 2022, 14, 571. [Google Scholar] [CrossRef]
- Pang, J.K.S.; Chia, S.; Zhang, J.; Szyniarowski, P.; Stewart, C.; Yang, H.; Chan, W.; Ng, S.Y.; Soh, B. Characterizing arrhythmia using machine learning analysis of Ca2+ cycling in human cardiomyocytes. Stem Cell Rep. 2022, 17, 1810–1823. [Google Scholar] [CrossRef]
- Redkar, S.; Mondal, S.; Joseph, A.; Hareesha, K.S. A machine learning approach for drug-target interaction prediction using wrapper feature selection and class balancing. Mol. Inf. 2020, 39, 1900062. [Google Scholar] [CrossRef] [PubMed]
- Lancaster, M.C.; Sobie, E. Improved prediction of drug-induced Torsades de Pointes through simulations of dynamics and machine learning algorithms. Clin. Pharmacol. Ther. 2016, 100, 371–379. [Google Scholar] [CrossRef]
- Ahmed, A.A.; Ali, W.; Abdullah, T.A.A.; Malebary, S.J. Classifying cardiac arrhythmia from ecg signal using 1D CNN deep learning model. Mathematics 2023, 11, 562. [Google Scholar] [CrossRef]
- Song, E.; Lee, Y.S. Interpretable machine leaning of action potential duration restitution kinetics in single-cell models of atrial cardiomyocytes. J. Electrocardiol. 2022, 74, 137–145. [Google Scholar] [CrossRef] [PubMed]
- Grandits, T.; Augustin, C.M.; Haase, G.; Jost, N.; Mirams, G.R.; Niederer, S.A.; Plank, G.; Varro, A.; Virag, L.; Jung, A. Neural network emulation of the human ventricular cardiomyocyte action potential for more efficient computations in pharmacological studies. eLife 2024, 12, RP91911. [Google Scholar] [CrossRef]
- Trayanova, N.A.; Popescu, D.M.; Shade, J.K. Machine learning in arrhythmia and electrophysiology. Circ. Res. 2021, 128, 544–566. [Google Scholar] [CrossRef]
- Jeong, D.U.; Lim, K.M. Prediction of cardiac mechanical performance from electrical features during ventricular tachyarrhythmia simulation using machine learning algorithms. Front. Physiol. 2020, 11, 591681. [Google Scholar] [CrossRef] [PubMed]
- Christoph, J.; Lebert, J. Inverse mechano-electrical reconstruction of cardiac excitation wave patterns from mechanical deformation using deep learning. Chaos 2020, 30, 123134. [Google Scholar] [CrossRef]
- Mulimani, M.K.; Alageshan, J.K.; Pandit, R. Deep-learning-assisted detection and termination of spiral and broken-spiral waves in mathematical models for cardiac tissue. Phys. Rev. Res. 2020, 2, 023155. [Google Scholar] [CrossRef]
- Jeong, D.U.; Lim, K.M. Artificial neural network model for predicting changes in ion channel conductance based on cardiac action potential shapes generated via simulation. Sci. Rep. 2021, 11, 7831. [Google Scholar] [CrossRef] [PubMed]
- Ten Tusscher, K.H.W.J.; Noble, D.; Noble, P.J.; Panfilov, A.V. A model for human ventricular tissue. Am. J. Physiol. Heart Circ. Physiol. 2004, 286, H1573–H1589. [Google Scholar] [CrossRef]
- Davidenko, J.M.; Pertsov, A.V.; Salomonsz, R.; Baxter, W.; Jalife, J. Stationary and drifting spiral waves of excitation in isolated cardiac muscle. Nature 1992, 355, 349–351. [Google Scholar] [CrossRef]
- Luo, C.H.; Rudy, Y. A model of the ventricular cardiac action potential depolarization, repolarization, and their interaction. Circ. Res. 1991, 68, 1501–1526. [Google Scholar] [CrossRef]
- Xie, Y.; Garfinkel, A.; Weiss, J.N.; Qu, Z. Cardiac alternans induced by fibroblast-myocyte coupling: Mechanistic insights from computational models. Am. J. Physiol. Heart Circ. Physiol. 2009, 297, H775–H784. [Google Scholar] [CrossRef] [PubMed]
- Camelliti, P.; Green, C.R.; Kohl, P. Structural and functional coupling of cardiac myocytes and fibroblasts. Cardiovasc. Gap Junctions 2006, 42, 132–149. [Google Scholar]
- Jacquemet, V.; Henriquez, C.S. Loading effect of fibroblast-myocyte coupling on resting potential, impulse propagation and repolarization: Insights from a microstructure model. Am. J. Physiol. Heart Circ. Physiol. 2008, 294, H2040–H2052. [Google Scholar] [CrossRef] [PubMed]
- Jacquemet, V. Pacemaker activity resulting from the coupling with nonexcitable cells. Phys. Rev. E 2006, 74, 011908. [Google Scholar] [CrossRef] [PubMed]










| Ion Current Expression | Ion Current Meaning |
|---|---|
| Current | |
| L−type Current | |
| Transient Outward Current | |
| Slow Delayed Rectifier Current | |
| Rapid Delayed Rectifier Current | |
| Current | |
| Exchanger Current | |
| Pump Current | |
| Current | |
| Current | |
| Current | |
| Current |
| Matrix | Training Dataset | Testing Dataset | ||||||||||
|---|---|---|---|---|---|---|---|---|---|---|---|---|
| Average | Average | |||||||||||
| precision | 0.99 | 0.98 | 1.00 | 1.00 | 1.00 | 0.993 | 0.97 | 1.00 | 1.00 | 1.00 | 0.97 | 0.989 |
| recall | 0.98 | 0.99 | 1.00 | 1.00 | 1.00 | 0.993 | 1.00 | 0.94 | 1.00 | 1.00 | 1.00 | 0.989 |
| F1-score | 0.98 | 0.98 | 1.00 | 1.00 | 1.00 | 0.993 | 0.98 | 0.97 | 1.00 | 1.00 | 0.99 | 0.988 |
| support | 139 | 136 | 136 | 135 | 134 | - | 31 | 34 | 34 | 35 | 36 | - |
Disclaimer/Publisher’s Note: The statements, opinions and data contained in all publications are solely those of the individual author(s) and contributor(s) and not of MDPI and/or the editor(s). MDPI and/or the editor(s) disclaim responsibility for any injury to people or property resulting from any ideas, methods, instructions or products referred to in the content. |
© 2024 by the authors. Licensee MDPI, Basel, Switzerland. This article is an open access article distributed under the terms and conditions of the Creative Commons Attribution (CC BY) license (https://creativecommons.org/licenses/by/4.0/).
Share and Cite
Bai, J.; Zhang, C.; Liang, Y.; Tavares, A.; Wang, L.; Gu, X.; Meng, Z. The Relationship between Cardiomyocyte Action Potentials and Ion Concentrations: Machine Learning Prediction Modeling and Analysis of Spontaneous Spiral Wave Generation Mechanisms. Symmetry 2024, 16, 1136. https://doi.org/10.3390/sym16091136
Bai J, Zhang C, Liang Y, Tavares A, Wang L, Gu X, Meng Z. The Relationship between Cardiomyocyte Action Potentials and Ion Concentrations: Machine Learning Prediction Modeling and Analysis of Spontaneous Spiral Wave Generation Mechanisms. Symmetry. 2024; 16(9):1136. https://doi.org/10.3390/sym16091136
Chicago/Turabian StyleBai, Jing, Chunfu Zhang, Yanchun Liang, Adriano Tavares, Lidong Wang, Xue Gu, and Ziyao Meng. 2024. "The Relationship between Cardiomyocyte Action Potentials and Ion Concentrations: Machine Learning Prediction Modeling and Analysis of Spontaneous Spiral Wave Generation Mechanisms" Symmetry 16, no. 9: 1136. https://doi.org/10.3390/sym16091136
APA StyleBai, J., Zhang, C., Liang, Y., Tavares, A., Wang, L., Gu, X., & Meng, Z. (2024). The Relationship between Cardiomyocyte Action Potentials and Ion Concentrations: Machine Learning Prediction Modeling and Analysis of Spontaneous Spiral Wave Generation Mechanisms. Symmetry, 16(9), 1136. https://doi.org/10.3390/sym16091136

