Analysis of Mixed Traffic Flow Characteristics Based on Fleet Composition
Abstract
1. Introduction
2. Mixed Traffic Composition
2.1. Vehicle Functional Degradation and Classification
2.2. Vehicle Scale Relationship Analysis Expression
- (1)
- Impact of different follow-through scenarios
- (2)
- Impact of Fleet Composition
- (3)
- Penetration rate of vehicles in the following situations
3. Mixed Traffic Flow Car-Following Model
3.1. Car-Following Modeling in Different Scenarios
- (1)
- CAV follows CAV.
- (2)
- CAV follows HDV.
- (3)
- HDV as Followers
3.2. Mixed Traffic Flow Following Model Based on Following Characteristics and Reaction Time
- (1)
- Driver follower characteristics
- (2)
- Reaction time
- ①
- CACC for CAV
- ②
- Degraded DCAV for CAV
- ③
- IDM for HDV
3.3. Validation of Mixed Traffic Flow Following the Model
- (1)
- Simulation scenario setup
- (2)
- Analysis of Simulation Results
4. Characterization of Mixed Traffic Flow Considering Fleet Composition
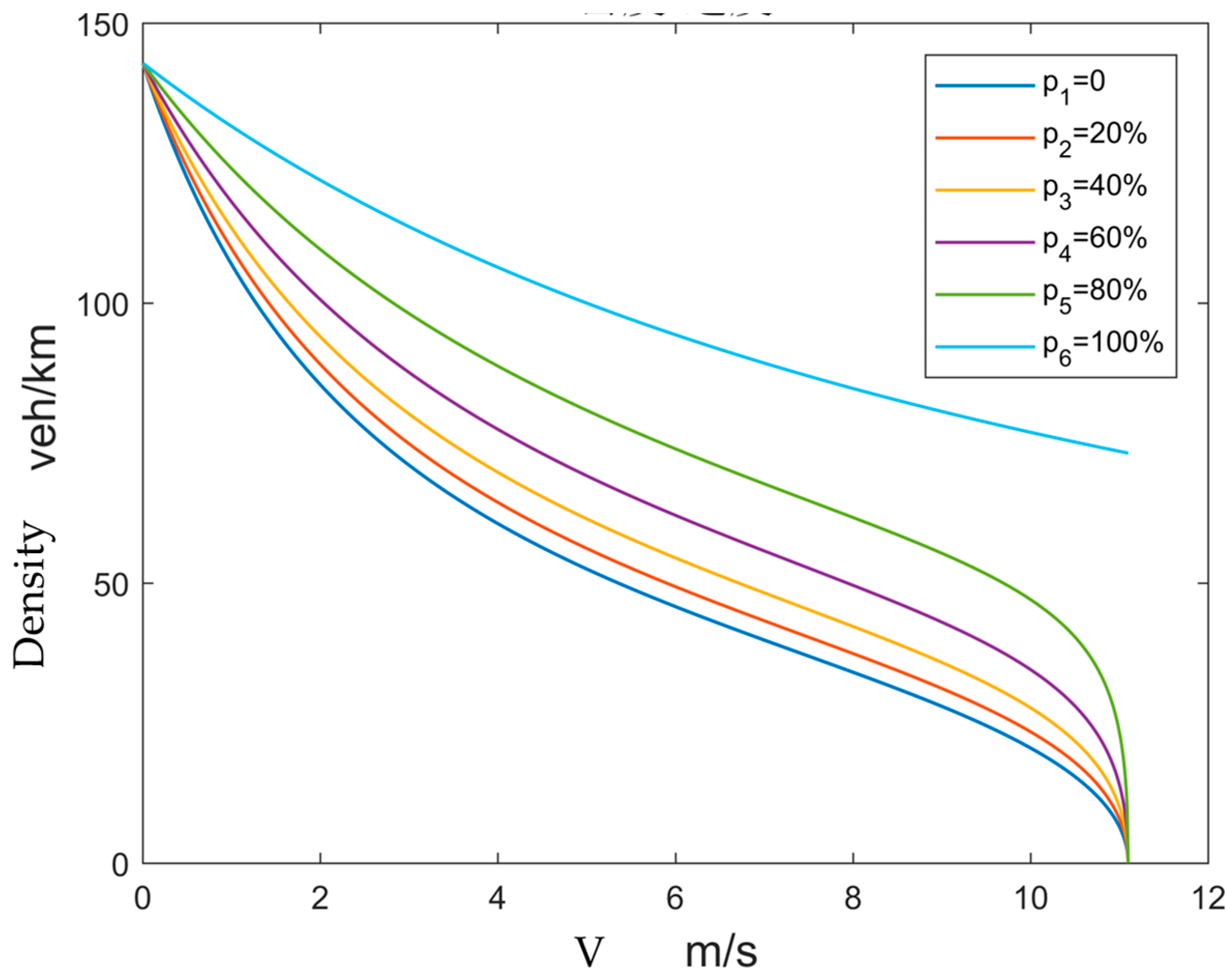
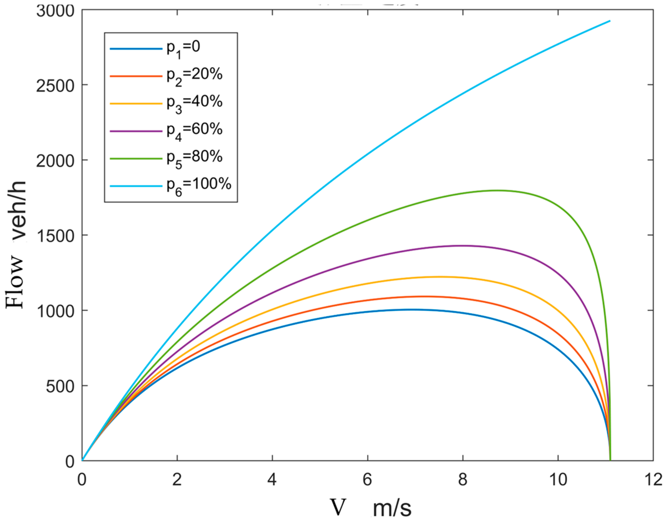
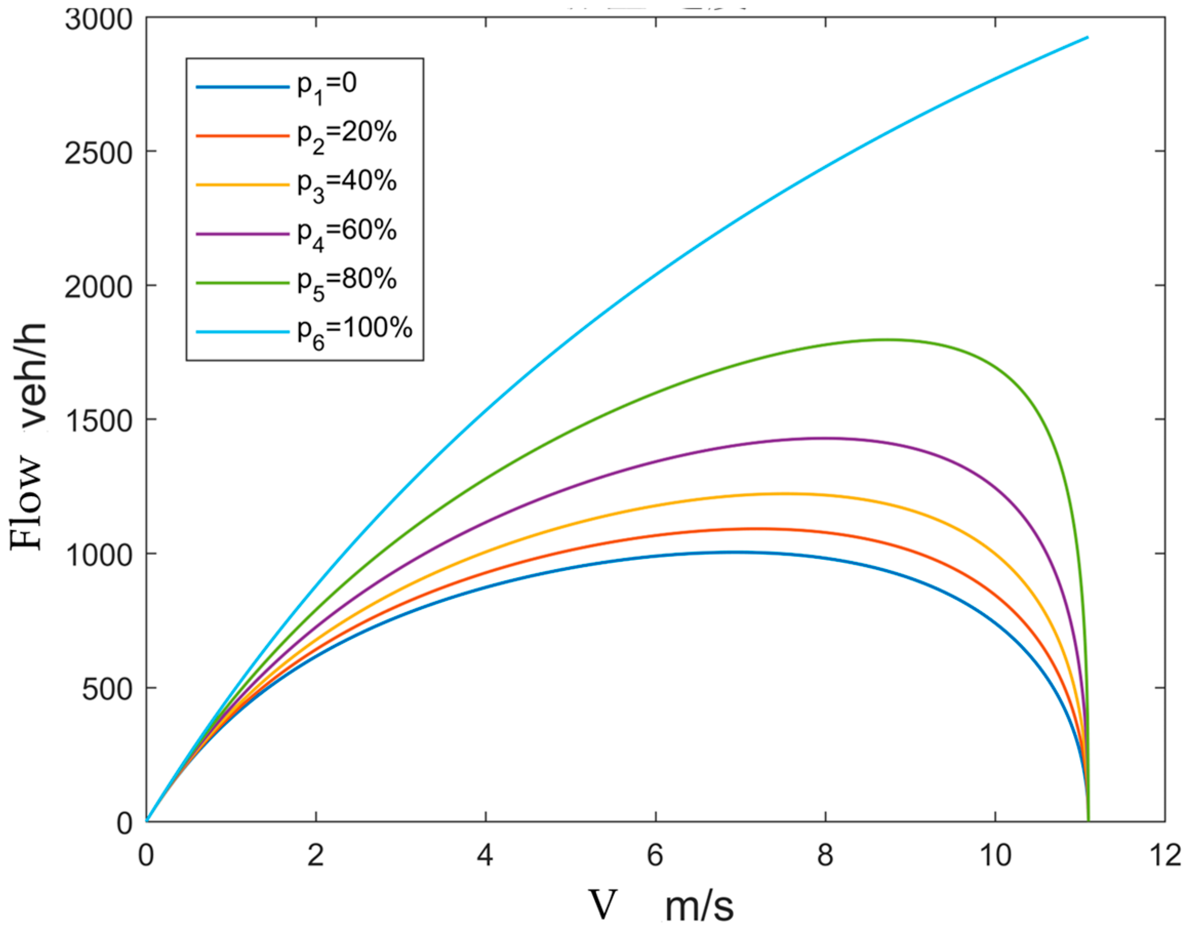
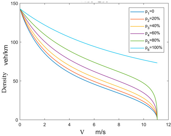
4.1. Basic Diagram Model Based on Fleet Composition
4.2. Parameter Sensitivity Analysis
- (1)
- Reaction time sensitivity analysis
- (2)
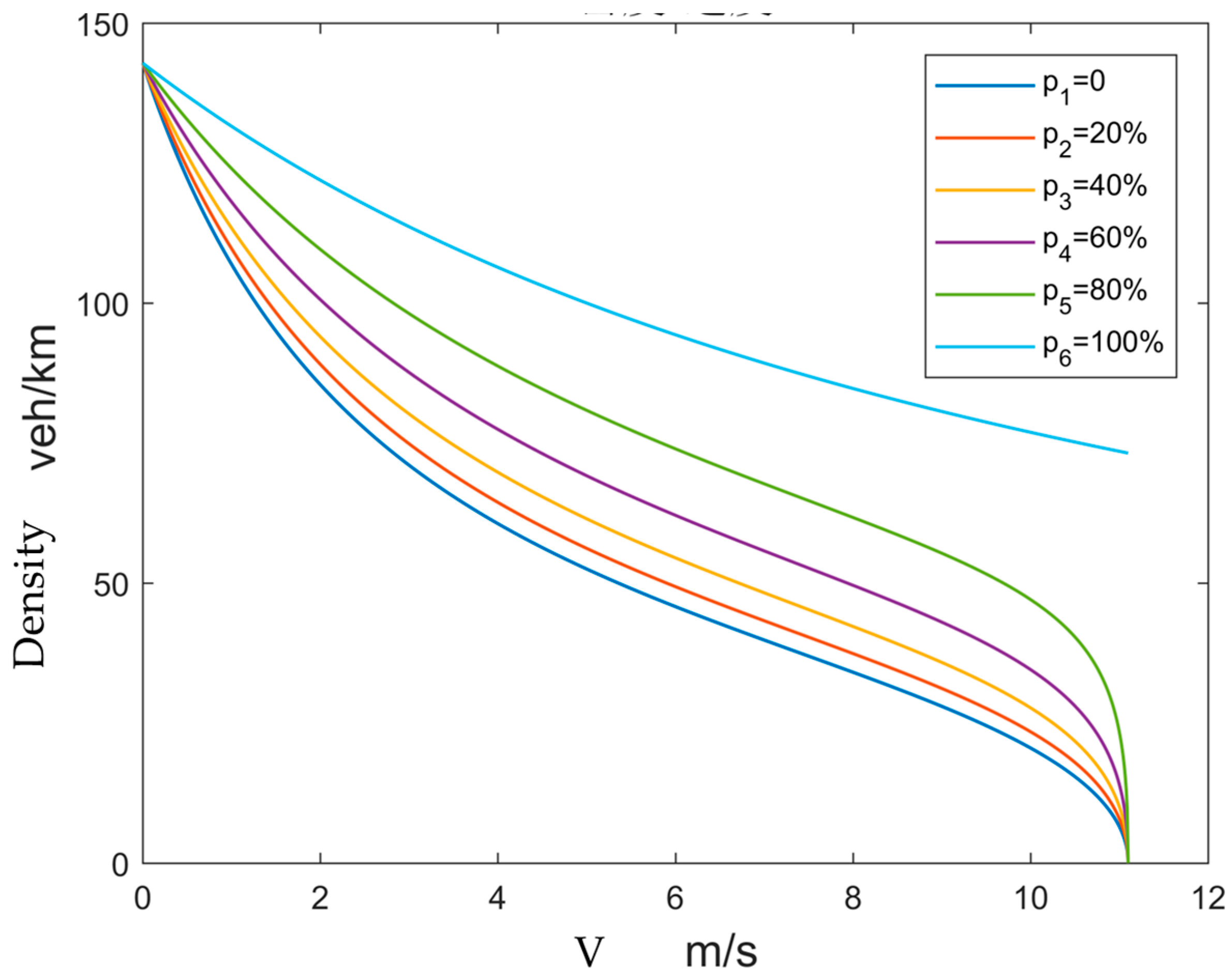
- Fleet Composition Sensitivity Analysis
- (3)
- Driver Following Characteristics when HDV as Rear Vehicle Sensitivity Analysis
- (4)
- A comprehensive analysis of multiple influencing factors
4.3. Mixed Traffic Flow Characteristics at Intersections
- (1)
- The research scope is limited to a single intersection with fixed signal timing for through vehicles.
- (2)
- The effects of adjacent intersections, roadside parking, and pedestrians are not considered.
- (3)
- CAV can share real-time road traffic information.
- (4)
- The wireless communication performance between vehicles and between vehicles and traffic signals is reliable, with no delays or data loss in traffic information transmission.
4.3.1. Experimental Setup
- (1)
- Simulation Scenario Construction
- (2)
- Traffic Parameter Settings
4.3.2. Experimental Results Analysis
5. Conclusions
- (1)
- Reaction time adversely affects road capacity. As the reaction time increases, the optimal density and maximum flow rate of the traffic flow gradually decrease, and the road capacity decreases.
- (2)
- As the concentration of CAV increases, the optimal density and maximum flow rate of the traffic stream gradually increase, enhancing the road capacity.
- (3)
- The safe headway sensitivity coefficient of human drivers has a negative effect on road capacity. As the safe headway sensitivity coefficient increases, the optimal density and maximum flow rate of traffic flow gradually decrease, and the road capacity decreases significantly.
- (4)
- The degree of influence of each influencing factor on road capacity is roughly following: Fleet Composition > reaction time, with reaction time influencing road capacity more than Fleet Composition at a penetration rate of 80% of the CAV, and the human driver’s style of following the CAV always ranks first in terms of its influence on road capacity. Our analysis rests on carefully considered assumptions, yet we humbly acknowledge the dynamic and unpredictable nature of technological progress. Future research must embrace this uncertainty, continually reassessing the influence of connected and autonomous vehicles as they evolve, to ensure our understanding aligns with the realities of tomorrow’s transportation landscape.
- (5)
- The increase in the penetration rates of CAV reduces the number of stops and delay times of mixed traffic flow at intersections, making traffic flow smoother. This paper conducts a series of analyses on mixed traffic flow; however, the actual urban road traffic environment is more complex. Intersection control strategies, roadside parking, non-motorized vehicles, and pedestrians all cause varying degrees of interference with the traffic flow. Additionally, wireless communication delays can affect the information transmission efficiency of CAV. Future research will focus on a more in-depth exploration of these uncertainties.
Author Contributions
Funding
Data Availability Statement
Conflicts of Interest
References
- Hua, X.; Wang, W.; Wang, H. Mixed traffic flow model for on-ramp system considering the influence of adaptive cruising vehicles. J. Phys. 2016, 65, 223–235. [Google Scholar]
- Qin, Y.; Li, S. String Stability Analysis of Mixed CACC Vehicular Flow with Vehicle-to-Vehicle Communication. IEEE Access 2020, 8, 174132–174141. [Google Scholar] [CrossRef]
- Cao, Z.; Lu, L.; Chen, C.; Chen, X. Modeling and Simulating Urban Traffic Flow Mixed with Regular and Connected Vehicles. IEEE Access 2021, 99, 10392–10399. [Google Scholar] [CrossRef]
- Jiang, Y.; Hu, R.; Yao, Z.; Wu, P.; Luo, X. Analysis of stability and safety of heterogeneous traffic flow in intelligent networked vehicle environment. J. Beijing Jiaotong Univ. 2020, 44, 27–33. [Google Scholar]
- Cui, Z.; Wang, X.; Ci, Y.; Yang, C.; Yao, J. Modeling and analysis of car-following models incorporating multiple lead vehicles and acceleration information in heterogeneous traffic flow. Phys. A Stat. Mech. Its Appl. 2023, 630, 129259. [Google Scholar] [CrossRef]
- Lin, H.; Fang, H.; Wu, D. Mixed traffic flow model for CACC vehicles based on dynamic safety distance. J. Beijing Jiaotong Univ. 2022, 46, 36–42+51. [Google Scholar]
- Zhang, J.; Hu, S. Continuous type metacellular automata traffic flow model with mixed CACC and ACC vehicles. Sci. Technol. Eng. 2022, 22, 6340–6346. [Google Scholar]
- Ma, X.; Ge, H.; Cheng, R. Influences of acceleration with memory on stability of traffic flow and vehicle’s fuel consumption. Phys. A Stat. Mech. Its Appl. 2019, 525, 143–154. [Google Scholar] [CrossRef]
- Zong, F.; Shi, P.; Wang, M.; He, Z. Mixed flow following model for networked autonomous vehicles considering front and rear multi-vehicles. Chin. J. Highw. 2021, 34, 105–117. [Google Scholar]
- Qin, Y.; Wang, H.; Wang, W. LWR model for Mixed Traffic Flow in smart grid environment. China J. Highw. 2018, 31, 147–156. [Google Scholar]
- Xu, T.-J.; Yao, Z.-H.; Jiang, Y.-S.; Yang, T. A basic graph model considering the effect of reaction time in intelligent networked vehicle environment. Highw. Transp. Sci. Technol. 2020, 37, 108–117. [Google Scholar]
- Chang, X.; Li, H.-S.; Rong, J.; Qin, L.-Q.; Yang, Y.-F. Analysis of traffic flow basic diagram model with mixed intelligent networked fleet. J. Southeast Univ. Nat. Sci. Ed. 2020, 50, 7. [Google Scholar]
- Ma, Q.; Fu, B.; Zeng, H. Basic graph and stability analysis of heterogeneous traffic flow in smart grid environment. Transp. Inf. Saf. 2021, 39, 76–84. [Google Scholar]
- Yao, Z.; Wang, Y.; Liu, B.; Zhao, B.; Jiang, Y. Fuel consumption and transportation emissions evaluation of mixed traffic flow with connected automated vehicles and human-driven vehicles on expressway. Energy 2021, 230, 120766. [Google Scholar] [CrossRef]
- Kamal, M.A.S.; Taguchi, S.; Yoshimura, T. Intersection Vehicle Cooperative Eco-Driving in the Context of Partially Connected Vehicle Environment. In Proceedings of the 2015 IEEE 18th International Conference on Intelligent Transportation Systems, Gran Canaria, Spain, 15–18 September 2015. [Google Scholar]
- Yao, H.; Li, X. Decentralized control of connected automated vehicle trajectories in mixed traffic at an isolated signalized intersection. Transp. Res. Part C Emerg. Technol. 2020, 121, 102846. [Google Scholar] [CrossRef]
- Ye, L.; Yamamoto, T. Evaluating the impact of connected and autonomous vehicles on traffic safety. Phys. A Stat. Mech. Its Appl. 2019, 526, 121009. [Google Scholar] [CrossRef]
- Wang, J.; Peeta, S.; He, X. Multiclass traffic assignment model for mixed traffic flow of human-driven vehicles and connected and autonomous vehicles. Transp. Res. Part B Methodol. 2019, 126, 139–168. [Google Scholar] [CrossRef]
- Yang, X.-J.; Jia, X.-H.; Zhang, S.-B. Mixed traffic flow characteristics considering dynamic characteristics of car queues. J. Jilin Univ. 2024, 1–14. [Google Scholar] [CrossRef]
- Wu, D.H.; Peng, R.; Lin, X.L. Mixing Characteristics of Heterogeneous Traffic Flow in Intelligent Network. J. Southwest Jiaotong Univ. 2022, 57, 761–768. [Google Scholar]
- Chen, X.; Sun, J.; Ma, Z.; Sun, J.; Zheng, Z. Investigating the long-and short-term driving characteristics and incorporating them into car-following models. Transp. Res. Part C Emerg. Technol. 2020, 117, 102698. [Google Scholar] [CrossRef]
- Soni, S.; Reddy, N.; Tsapi, A.; van Arem, B.; Farah, H. Behavioral adaptations of human drivers interacting with automated vehicles. Transp. Res. Part F Traffic Psychol. Behav. 2022, 86, 48–64. [Google Scholar] [CrossRef]
- Ghiasi, A.; Hussain, O.; Qian, Z.; Li, X. A mixed Road Capacity analysis and lane management model for connected automated vehicles: A Markov chain method. Transp. Res. Part B Methodol. 2017, 106, 266–292. [Google Scholar] [CrossRef]
- Milanes, V.; Shladover, S.E.; Spring, J.; Nowakowski, C.; Kawazoe, H.; Nakamura, M. Cooperative Adaptive Cruise Control in Real Traffic Situations. IEEE Trans. Intell. Transp. Syst. 2014, 15, 296–305. [Google Scholar] [CrossRef]
- Treiber, M.; Hennecke, A.; Helbing, D. Congested traffic states in empirical observations and microscopic simulations. Phys. Rev. E Stat. Phys. Plasmas Fluids Relat. Interdiscip. Top. 2000, 62, 1805–1824. [Google Scholar] [CrossRef] [PubMed]
- Regulations of the People’s Republic of China on the Implementation of the Road Traffic Safety Law [EB/OL]. Available online: https://china.findlaw.cn/fagui/p_1/388787.html (accessed on 10 May 2022).
- Liu, B.-X.; Zhang, H.-Y.; Wang, M.; Wu, H.; Zong, F. Research on human driving behavior while following an autonomous vehicle: Empirical evidence and modeling. J. Transp. Eng. Inf. 2023, 21, 14–28. [Google Scholar] [CrossRef]


















| Follow the Herd 1 | Follower Type | Rear Vehicle Type | Percentage of Vehicles | Number of Vehicles |
|---|---|---|---|---|
| 1 | CAV follows CAV | CAV | ||
| 2 | CAV follows HDV | DCAV | ||
| 3 | The rear vehicle is HDV | HDV | ||
| 4 |
| Driver Acceptance Rate/% | |
|---|---|
| 0.6 | 57.0 |
| 0.7 | 24.0 |
| 0.9 | 7.0 |
| 1.1 | 12.0 |
| Driver Acceptance Rate/% | |
|---|---|
| 0.6 | 57.0 |
| 1.1 | 50.4 |
| 1.6 | 18.5 |
| 2.2 | 31.1 |
| Driving Style | Maximum Acceleration Sensitivity Factor | Safe Headway Time Sensitivity Factor |
|---|---|---|
| hesitant | 0.97 | 1.91 |
| stable | 1.31 | 1.30 |
| trust-based | 1.70 | 0.65 |
| normal type | 1.00 | 1.00 |
| CACC Penetration Rates | Maximum Flow Rate (veh/h) | Optimal Density (veh/km) | Critical Velocity (km/h) |
|---|---|---|---|
| 0 | 1004 | 40.60 | 25.34 |
| 20 | 1091 | 43.01 | 26.50 |
| 40 | 1222 | 45.86 | 27.61 |
| 60 | 1429 | 49.67 | 28.87 |
| 80 | 1796 | 56.83 | 31.78 |
| 100 | 2925 | 73.21 | 40.00 |
| Response Time (Technology) | = 0 | = 0.2 | = 0.4 | = 0.6 | = 0.8 |
|---|---|---|---|---|---|
| 0.3 | 1035 | 1121 | 1251 | 1456 | 1819 |
| 0.4 | 1004 | 1091 | 1222 | 1429 | 1796 |
| 0.5 | 974 | 1063 | 1195 | 1403 | 1773 |
| 0.6 | 946 | 1036 | 1169 | 1378 | 1752 |
| 0.7 | 920 | 1010 | 1144 | 1354 | 1731 |
| Vehicle Strength | ||||
|---|---|---|---|---|
| Maximum Flow Rate Qm (/veh/h) | ||||
| −1 | 1082 | 1177 | 1368 | 1771 |
| −0.5 | 1087 | 1199 | 1397 | 1784 |
| 0 | 1091 | 1222 | 1429 | 1796 |
| 0.5 | 1110 | 1258 | 1478 | 1848 |
| 1 | 1129 | 1296 | 1531 | 1902 |
| Safe Headway Time Sensitivity Factor ωn | |||||
|---|---|---|---|---|---|
| Maximum Flow Rate Qm (/veh/h) | |||||
| 0.65 | 1433 | 1485 | 1583 | 1754 | 2060 |
| 1.30 | 1004 | 1091 | 1222 | 1429 | 1796 |
| 1.91 | 787 | 878 | 1012 | 1224 | 1613 |
| Number of Experiments | Penetration Rates of CAV | |||||||
|---|---|---|---|---|---|---|---|---|
| 20% | 40% | 60% | 80% | |||||
| Delay (s) | Stop (Times) | Delay (s) | Stop (Times) | Delay (s) | Stop (Times) | Delay (s) | Stop (Times) | |
| 1 | 355 | 69 | 385 | 58 | 484 | 59 | 281 | 43 |
| 2 | 645 | 82 | 452 | 68 | 406 | 62 | 397 | 52 |
| 3 | 481 | 84 | 483 | 85 | 464 | 63 | 577 | 59 |
| 4 | 518 | 89 | 523 | 82 | 469 | 60 | 419 | 52 |
| 5 | 468 | 69 | 371 | 58 | 337 | 54 | 353 | 58 |
| 6 | 423 | 58 | 457 | 72 | 395 | 55 | 360 | 51 |
| 7 | 401 | 78 | 372 | 68 | 476 | 65 | 337 | 46 |
| 8 | 453 | 67 | 452 | 68 | 383 | 49 | 452 | 55 |
| 9 | 469 | 95 | 355 | 68 | 297 | 53 | 477 | 58 |
| 10 | 520 | 86 | 477 | 75 | 478 | 57 | 423 | 51 |
| 11 | 314 | 65 | 523 | 77 | 521 | 61 | 294 | 45 |
| 12 | 609 | 91 | 370 | 63 | 538 | 56 | 402 | 52 |
| 13 | 522 | 84 | 380 | 63 | 408 | 61 | 434 | 50 |
| 14 | 497 | 76 | 325 | 63 | 326 | 56 | 381 | 52 |
| 15 | 558 | 81 | 383 | 72 | 363 | 51 | 383 | 50 |
| 16 | 524 | 81 | 476 | 73 | 525 | 69 | 470 | 56 |
| 17 | 559 | 69 | 470 | 65 | 331 | 59 | 472 | 56 |
| 18 | 551 | 75 | 394 | 67 | 313 | 64 | 552 | 62 |
| 19 | 556 | 91 | 413 | 83 | 389 | 51 | 350 | 47 |
| 20 | 486 | 96 | 486 | 72 | 383 | 58 | 348 | 46 |
| Average | 495.4 | 79.3 | 427.3 | 70.0 | 414.3 | 58.1 | 408.1 | 52.0 |
| Average Delay | 4.954 | 0.793 | 4.273 | 0.70 | 4.143 | 0.581 | 4.081 | 0.52 |
Disclaimer/Publisher’s Note: The statements, opinions and data contained in all publications are solely those of the individual author(s) and contributor(s) and not of MDPI and/or the editor(s). MDPI and/or the editor(s) disclaim responsibility for any injury to people or property resulting from any ideas, methods, instructions or products referred to in the content. |
© 2024 by the authors. Licensee MDPI, Basel, Switzerland. This article is an open access article distributed under the terms and conditions of the Creative Commons Attribution (CC BY) license (https://creativecommons.org/licenses/by/4.0/).
Share and Cite
Liu, H.; Niu, K.; Wang, H.; Wu, Z.; Song, A. Analysis of Mixed Traffic Flow Characteristics Based on Fleet Composition. Symmetry 2024, 16, 865. https://doi.org/10.3390/sym16070865
Liu H, Niu K, Wang H, Wu Z, Song A. Analysis of Mixed Traffic Flow Characteristics Based on Fleet Composition. Symmetry. 2024; 16(7):865. https://doi.org/10.3390/sym16070865
Chicago/Turabian StyleLiu, Huanfeng, Keke Niu, Hanfei Wang, Ziyan Wu, and Anning Song. 2024. "Analysis of Mixed Traffic Flow Characteristics Based on Fleet Composition" Symmetry 16, no. 7: 865. https://doi.org/10.3390/sym16070865
APA StyleLiu, H., Niu, K., Wang, H., Wu, Z., & Song, A. (2024). Analysis of Mixed Traffic Flow Characteristics Based on Fleet Composition. Symmetry, 16(7), 865. https://doi.org/10.3390/sym16070865

