Nonlinear Transport through Parity–Time Symmetric Lattice Potentials
Abstract
1. Introduction
2. Model
3. Nonlinear Transport
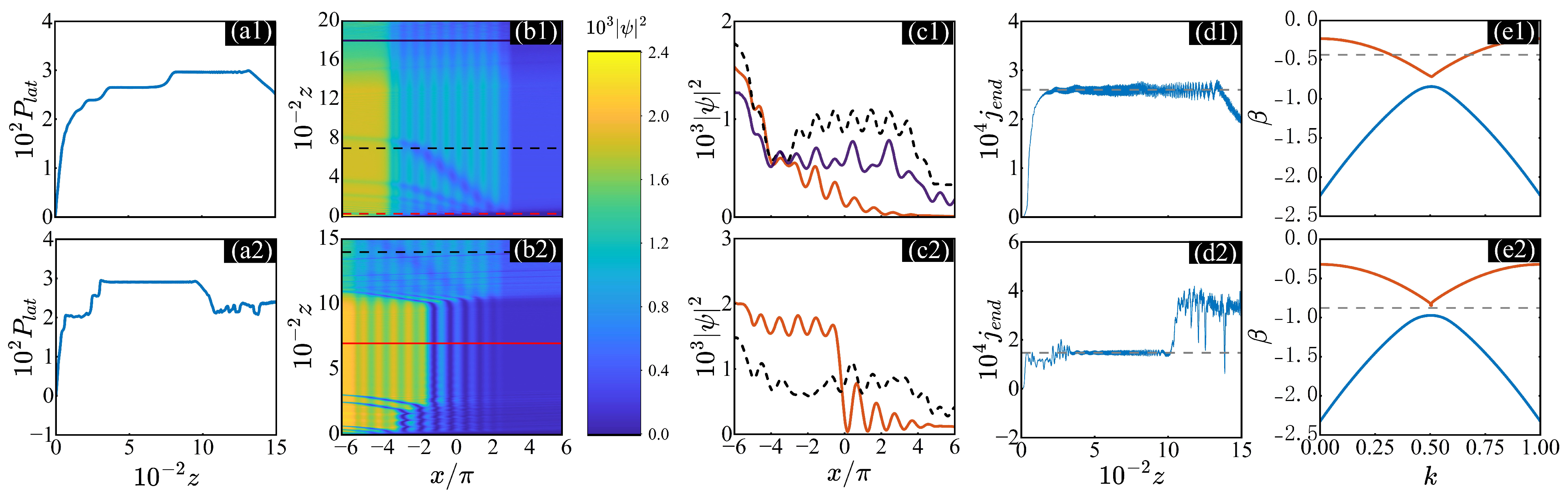
3.1. An In-Band Transport
3.2. An In-Gap Transport
3.3. Tunable Transport
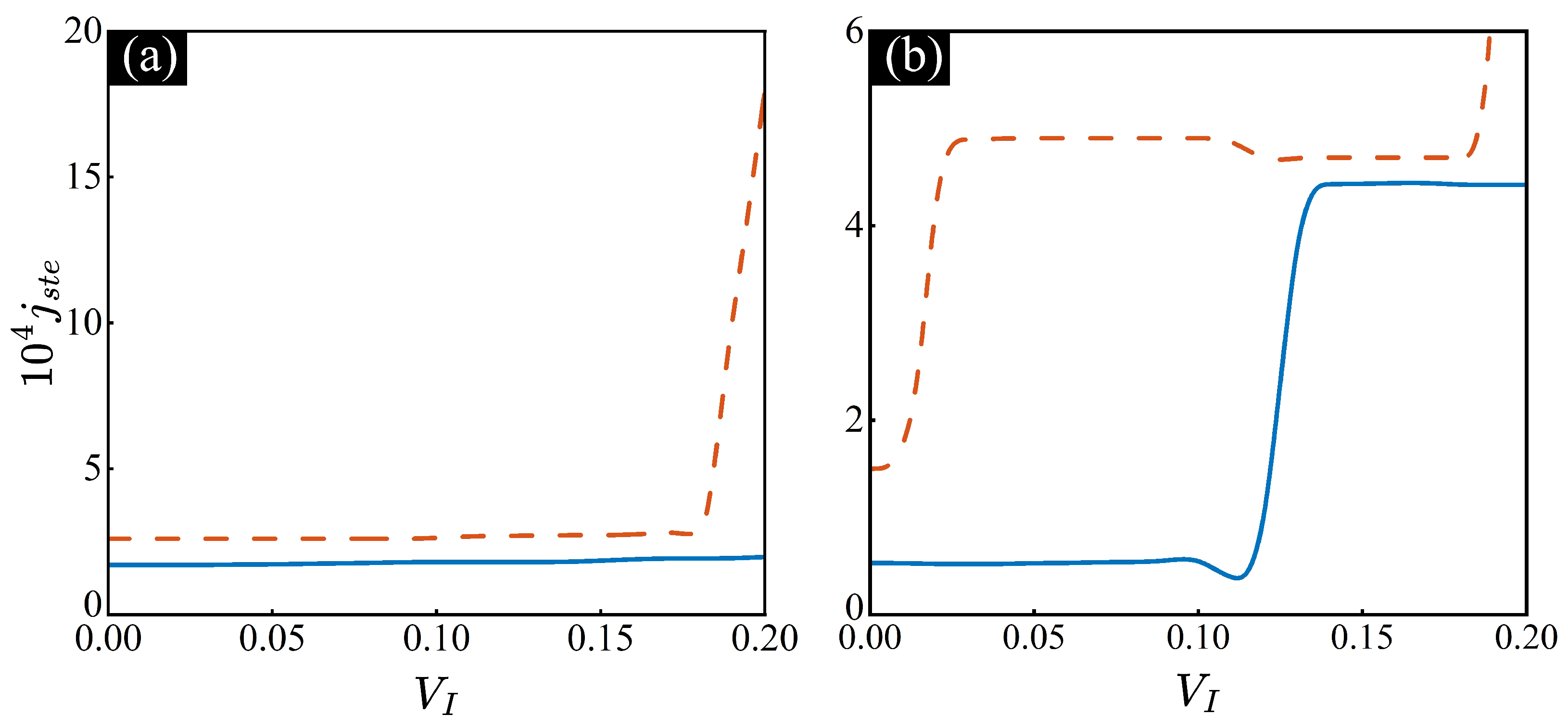
3.4. An In-Loop Transport
4. Conclusions
Author Contributions
Funding
Data Availability Statement
Conflicts of Interest
References
- de Aguiar, F.M.; Wharam, D.A. Transport through one-dimensional channels. Phys. Rev. B 1991, 43, 9984–9987. [Google Scholar] [CrossRef] [PubMed]
- Shimshoni, E.; Auerbach, A.; Kapitulnik, A. Transport through Quantum Melts. Phys. Rev. Lett. 1998, 80, 3352–3355. [Google Scholar] [CrossRef]
- Stangl, J.; Holý, V.; Bauer, G. Structural properties of self-organized semiconductor nanostructures. Rev. Mod. Phys. 2004, 76, 725–783. [Google Scholar] [CrossRef]
- Zwanenburg, F.A.; Dzurak, A.S.; Morello, A.; Simmons, M.Y.; Hollenberg, L.C.L.; Klimeck, G.; Rogge, S.; Coppersmith, S.N.; Eriksson, M.A. Silicon quantum electronics. Rev. Mod. Phys. 2013, 85, 961–1019. [Google Scholar] [CrossRef]
- Georgescu, I.M.; Ashhab, S.; Nori, F. Quantum simulation. Rev. Mod. Phys. 2014, 86, 153–185. [Google Scholar] [CrossRef]
- Barak, A.; Peleg, O.; Stucchio, C.; Soffer, A.; Segev, M. Observation of Soliton Tunneling Phenomena and Soliton Ejection. Phys. Rev. Lett. 2008, 100, 153901. [Google Scholar] [CrossRef] [PubMed]
- Wan, W.; Muenzel, S.; Fleischer, J.W. Wave Tunneling and Hysteresis in Nonlinear Junctions. Phys. Rev. Lett. 2010, 104, 073903. [Google Scholar] [CrossRef] [PubMed]
- Di Mei, F.; Caramazza, P.; Pierangeli, D.; Di Domenico, G.; Ilan, H.; Agranat, A.J.; Di Porto, P.; DelRe, E. Intrinsic Negative Mass from Nonlinearity. Phys. Rev. Lett. 2016, 116, 153902. [Google Scholar] [CrossRef] [PubMed]
- Christodoulides, D.N.; Lederer, F.; Silberberg, Y. Discretizing light behaviour in linear and nonlinear waveguide lattices. Nature 2003, 424, 817–823. [Google Scholar] [CrossRef]
- Fleischer, J.W.; Segev, M.; Efremidis, N.K.; Christodoulides, D.N. Observation of two-dimensional discrete solitons in optically induced nonlinear photonic lattices. Nature 2003, 422, 147–150. [Google Scholar] [CrossRef]
- Lederer, F.; Stegeman, G.I.; Christodoulides, D.N.; Assanto, G.; Segev, M.; Silberberg, Y. Discrete solitons in optics. Phys. Rep. 2008, 463, 1–126. [Google Scholar] [CrossRef]
- Morsch, O.; Oberthaler, M. Dynamics of Bose-Einstein condensates in optical lattices. Rev. Mod. Phys. 2006, 78, 179–215. [Google Scholar] [CrossRef]
- Ben Dahan, M.; Peik, E.; Reichel, J.; Castin, Y.; Salomon, C. Bloch Oscillations of Atoms in an Optical Potential. Phys. Rev. Lett. 1996, 76, 4508–4511. [Google Scholar] [CrossRef] [PubMed]
- Niu, Q.; Zhao, X.G.; Georgakis, G.A.; Raizen, M.G. Atomic Landau-Zener Tunneling and Wannier-Stark Ladders in Optical Potentials. Phys. Rev. Lett. 1996, 76, 4504–4507. [Google Scholar] [CrossRef] [PubMed]
- Kishimoto, T.; Hachisu, H.; Fujiki, J.; Nagato, K.; Yasuda, M.; Katori, H. Electrodynamic Trapping of Spinless Neutral Atoms with an Atom Chip. Phys. Rev. Lett. 2006, 96, 123001. [Google Scholar] [CrossRef] [PubMed]
- Rosenkranz, M.; Jaksch, D.; Yin Lim, F.; Bao, W. Self-trapping of Bose-Einstein condensates expanding into shallow optical lattices. Phys. Rev. A 2008, 77, 063607. [Google Scholar] [CrossRef]
- Anker, T.; Albiez, M.; Gati, R.; Hunsmann, S.; Eiermann, B.; Trombettoni, A.; Oberthaler, M.K. Nonlinear Self-Trapping of Matter Waves in Periodic Potentials. Phys. Rev. Lett. 2005, 94, 020403. [Google Scholar] [CrossRef]
- Trombettoni, A.; Smerzi, A. Discrete Solitons and Breathers with Dilute Bose-Einstein Condensates. Phys. Rev. Lett. 2001, 86, 2353–2356. [Google Scholar] [CrossRef]
- Elenewski, J.E.; Chen, H. Real-time transport in open quantum systems from -symmetric quantum mechanics. Phys. Rev. B 2014, 90, 085104. [Google Scholar] [CrossRef]
- Wu, B.; Niu, Q. Nonlinear Landau-Zener tunneling. Phys. Rev. A 2000, 61, 023402. [Google Scholar] [CrossRef]
- Chen, Y.A.; Huber, S.D.; Trotzky, S.; Bloch, I.; Altman, E. Many-body Landau–Zener dynamics in coupled one-dimensional Bose liquids. Nat. Phys. 2011, 7, 61–67. [Google Scholar] [CrossRef]
- Guan, Q.; Ome, M.K.H.; Bersano, T.M.; Mossman, S.; Engels, P.; Blume, D. Nonexponential Tunneling due to Mean-Field-Induced Swallowtails. Phys. Rev. Lett. 2020, 125, 213401. [Google Scholar] [CrossRef] [PubMed]
- Wu, B.; Niu, Q. Landau and dynamical instabilities of the superflow of Bose-Einstein condensates in optical lattices. Phys. Rev. A 2001, 64, 061603. [Google Scholar] [CrossRef]
- Fallani, L.; De Sarlo, L.; Lye, J.E.; Modugno, M.; Saers, R.; Fort, C.; Inguscio, M. Observation of Dynamical Instability for a Bose-Einstein Condensate in a Moving 1D Optical Lattice. Phys. Rev. Lett. 2004, 93, 140406. [Google Scholar] [CrossRef] [PubMed]
- Hamner, C.; Zhang, Y.; Khamehchi, M.A.; Davis, M.J.; Engels, P. Spin-Orbit-Coupled Bose-Einstein Condensates in a One-Dimensional Optical Lattice. Phys. Rev. Lett. 2015, 114, 070401. [Google Scholar] [CrossRef] [PubMed]
- Iqbal, A.; Khan, N.; Bacha, B.A.; Rahman, A.U.; Ahmad, A. Photon drag enhancement by a slow-light moving medium via electromagnetically-induced transparency amplification. Phys. Lett. A 2017, 381, 3134–3140. [Google Scholar] [CrossRef]
- Konotop, V.V.; Yang, J.; Zezyulin, D.A. Nonlinear waves in -symmetric systems. Rev. Mod. Phys. 2016, 88, 035002. [Google Scholar] [CrossRef]
- Makris, K.G.; El-Ganainy, R.; Christodoulides, D.N.; Musslimani, Z.H. Beam Dynamics in Symmetric Optical Lattices. Phys. Rev. Lett. 2008, 100, 103904. [Google Scholar] [CrossRef] [PubMed]
- Bender, C.M.; Brody, D.C.; Jones, H.F. Complex Extension of Quantum Mechanics. Phys. Rev. Lett. 2002, 89, 270401. [Google Scholar] [CrossRef]
- Makris, K.G.; El-Ganainy, R.; Christodoulides, D.N.; Musslimani, Z.H. -symmetric optical lattices. Phys. Rev. A 2010, 81, 063807. [Google Scholar] [CrossRef]
- Lumer, Y.; Plotnik, Y.; Rechtsman, M.C.; Segev, M. Nonlinearly Induced PT Transition in Photonic Systems. Phys. Rev. Lett. 2013, 111, 263901. [Google Scholar] [CrossRef]
- Zhang, Y.; Chen, Z.; Wu, B.; Busch, T.; Konotop, V.V. Asymmetric Loop Spectra and Unbroken Phase Protection due to Nonlinearities in PT-Symmetric Periodic Potentials. Phys. Rev. Lett. 2021, 127, 034101. [Google Scholar] [CrossRef] [PubMed]
- Longhi, S. Bloch Oscillations in Complex Crystals with Symmetry. Phys. Rev. Lett. 2009, 103, 123601. [Google Scholar] [CrossRef] [PubMed]
- Musslimani, Z.H.; Makris, K.G.; El-Ganainy, R.; Christodoulides, D.N. Optical Solitons in Periodic Potentials. Phys. Rev. Lett. 2008, 100, 030402. [Google Scholar] [CrossRef]
- Chen, Y.; Yan, Z.; Li, X. One- and two-dimensional gap solitons and dynamics in the PT-symmetric lattice potential and spatially-periodic momentum modulation. Commun. Nonlinear Sci. Numer. Simul. 2018, 55, 287–297. [Google Scholar] [CrossRef]
- Tamilselvan, K.; Govindarajan, A.; Inbavalli, I.; Alagesan, T.; Lakshmanan, M. Modulational instability in -symmetric Bragg grating structures with saturable nonlinearity. Phys. Rev. A 2023, 107, 053510. [Google Scholar] [CrossRef]
- Raja, S.V.; Govindarajan, A.; Lakshmanan, M. Ultra low-power multistability in PT-symmetric periodic structures with saturable coupling, gain and loss. Phys. Lett. A 2024, 509, 129517. [Google Scholar] [CrossRef]
- Raja, S.V.; Govindarajan, A.; Mahalingam, A.; Lakshmanan, M. Tailoring inhomogeneous -symmetric fiber-Bragg-grating spectra. Phys. Rev. A 2020, 101, 033814. [Google Scholar] [CrossRef]
- Guo, A.; Salamo, G.J.; Duchesne, D.; Morandotti, R.; Volatier-Ravat, M.; Aimez, V.; Siviloglou, G.A.; Christodoulides, D.N. Observation of -Symmetry Breaking in Complex Optical Potentials. Phys. Rev. Lett. 2009, 103, 093902. [Google Scholar] [CrossRef]
- Kottos, T. Broken symmetry makes light work. Nat. Phys. 2010, 6, 166–167. [Google Scholar] [CrossRef]
- Rüter, C.E.; Makris, K.G.; El-Ganainy, R.; Christodoulides, D.N.; Segev, M.; Kip, D. Observation of parity–time symmetry in optics. Nat. Phys. 2010, 6, 192–195. [Google Scholar] [CrossRef]
- Lin, Z.; Ramezani, H.; Eichelkraut, T.; Kottos, T.; Cao, H.; Christodoulides, D.N. Unidirectional Invisibility Induced by -Symmetric Periodic Structures. Phys. Rev. Lett. 2011, 106, 213901. [Google Scholar] [CrossRef] [PubMed]
- Sun, Y.; Tan, W.; Li, H.q.; Li, J.; Chen, H. Experimental Demonstration of a Coherent Perfect Absorber with PT Phase Transition. Phys. Rev. Lett. 2014, 112, 143903. [Google Scholar] [CrossRef] [PubMed]
- Bagchi, B.; Quesne, C.; Znojil, M. Generalized continuity Equation and modified normalization in pt-symmetric quantum mechanics. Mod. Phys. Lett. A 2001, 16, 2047–2057. [Google Scholar] [CrossRef]
- Zhang, Y.; Wu, B. Composition Relation between Gap Solitons and Bloch Waves in Nonlinear Periodic Systems. Phys. Rev. Lett. 2009, 102, 093905. [Google Scholar] [CrossRef] [PubMed]
- Alexander, T.J.; Ostrovskaya, E.A.; Kivshar, Y.S. Self-Trapped Nonlinear Matter Waves in Periodic Potentials. Phys. Rev. Lett. 2006, 96, 040401. [Google Scholar] [CrossRef]
- Wang, B.; Fu, P.; Liu, J.; Wu, B. Self-trapping of Bose-Einstein condensates in optical lattices. Phys. Rev. A 2006, 74, 063610. [Google Scholar] [CrossRef]




Disclaimer/Publisher’s Note: The statements, opinions and data contained in all publications are solely those of the individual author(s) and contributor(s) and not of MDPI and/or the editor(s). MDPI and/or the editor(s) disclaim responsibility for any injury to people or property resulting from any ideas, methods, instructions or products referred to in the content. |
© 2024 by the authors. Licensee MDPI, Basel, Switzerland. This article is an open access article distributed under the terms and conditions of the Creative Commons Attribution (CC BY) license (https://creativecommons.org/licenses/by/4.0/).
Share and Cite
Mao, W.; Zhang, Y. Nonlinear Transport through Parity–Time Symmetric Lattice Potentials. Symmetry 2024, 16, 640. https://doi.org/10.3390/sym16060640
Mao W, Zhang Y. Nonlinear Transport through Parity–Time Symmetric Lattice Potentials. Symmetry. 2024; 16(6):640. https://doi.org/10.3390/sym16060640
Chicago/Turabian StyleMao, Wei, and Yongping Zhang. 2024. "Nonlinear Transport through Parity–Time Symmetric Lattice Potentials" Symmetry 16, no. 6: 640. https://doi.org/10.3390/sym16060640
APA StyleMao, W., & Zhang, Y. (2024). Nonlinear Transport through Parity–Time Symmetric Lattice Potentials. Symmetry, 16(6), 640. https://doi.org/10.3390/sym16060640

