High-Order Extended Kalman Filter for State Estimation of Nonlinear Systems
Abstract
1. Introduction
2. Algorithms of EKF and REKF
2.1. Principle of EKF Algorithm
2.2. Extended Kalman Filter with Residuals (REKF)
2.2.1. Extended Kalman Filtering Using Residual Terms Instead of Higher-Order Terms
2.2.2. REKF Implementation Projections and Updates
- (1)
- REKF prediction steps:
- (2)
- Update steps:
2.3. REKF Performance Analysis
- (1)
- Predictive stage performance analysis
- (2)
- Analysis of performance indicators in the update phase
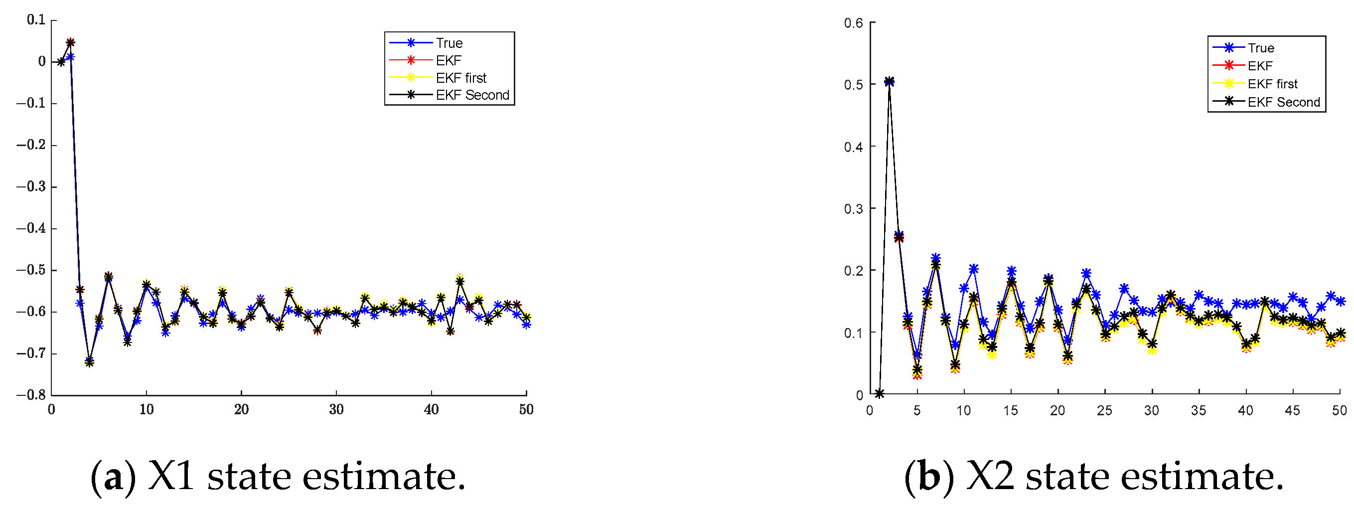
3. Simulation Experiments
4. Conclusions
Author Contributions
Funding
Data Availability Statement
Conflicts of Interest
Appendix A
Appendix B
Appendix C
Appendix D
References
- Bai, Y.; Yan, B.; Zhou, C.; Su, T.; Jin, X. State of art on state estimation: Kalman filter driven by machine learning. Annu. Rev. Control. 2023, 56, 100909. [Google Scholar] [CrossRef]
- Muhammad, W.; Ahsan, A. Airship aerodynamic model estimation using unscented Kalman filter. J. Syst. Eng. Electron. 2020, 31, 1318–1329. [Google Scholar] [CrossRef]
- Huang, C.; Qiao, F.; Ma, H. Noise reduction of acoustic Doppler velocimeter data based on Kalman filtering and autoregressive moving average models. Acta Oceanol. Sin. 2020, 39, 106–113. [Google Scholar] [CrossRef]
- Xiaohui, S.; Chenglin, W.; Tao, W. A Novel Step-by-Step High-Order Extended Kalman Filter Design for a Class of Complex Systems with Multiple Basic Multipliers. Chin. J. Electron. 2021, 30, 313–321. [Google Scholar] [CrossRef]
- Majeed, R. Sensorless Field Oriented Control of Induction Motor Drive using Extended Kalman Filter (EKF). In Proceedings of the 2023 International Conference on Circuit Power and Computing Technologies (ICCPCT), Nagercoil, India, 18–19 March 2023; pp. 1044–1048. [Google Scholar]
- Rotondo, D. The Weighted Kalman Filter. IFAC-PapersOnLine 2023, 56, 8869–8874. [Google Scholar] [CrossRef]
- Valipour, M.; Ricardez-Sandoval, L.A. An Extended Moving Horizon Estimation embedded with an Abridged Gaussian Sum Extended Kalman Filer to handle non-Gaussian noises. IFAC-PapersOnLine 2022, 55, 25–30. [Google Scholar] [CrossRef]
- Lee, A.S.; Hilal, W.; Gadsden, S.A.; Al-Shabi, M. Combined Kalman and Sliding Innovation Filtering: An Adaptive Estimation Strategy. Measurement 2023, 218, 113228. [Google Scholar] [CrossRef]
- Xiaohui, S.; Chenglin, W.; Tao, W. High-order extended Kalman filter design for a class of complex dynamic systems with polynomial nonlinearities. Chin. J. Electron. 2021, 30, 508–515. [Google Scholar] [CrossRef]
- He, L.; Hu, M.; Wei, Y.; Liu, B.; Shi, Q. State of charge estimation by finite difference extended Kalman filter with HPPC parameters identification. Sci. China Technol. Sci. 2020, 63, 410–421. [Google Scholar] [CrossRef]
- Jiang, Y.; Huang, Y.; Xue, W.; Fang, H. On designing consistent extended Kalman filter. J. Syst. Sci. Complex. 2017, 30, 751–764. [Google Scholar] [CrossRef]
- Yuqi, Y.; Di, Z.; Junlong, L.; Chaofei, L. Time-varying parameters estimation with adaptive neural network EKF for missile-dual control system. J. Syst. Eng. Electron. 2024, 1–12. [Google Scholar]
- Al-Masri, W.M.; Abdel-Hafez, M.F.; El-Hag, A.H. Toward high-accuracy estimation of partial discharge location. IEEE Trans. Instrum. Meas. 2016, 65, 2145–2153. [Google Scholar] [CrossRef]
- Saleh, S.; El-Wakeel, A.S.; Noureldin, A. 5G-Enabled Vehicle Positioning Using EKF With Dynamic Covariance Matrix Tuning. IEEE Can. J. Electr. Comput. Eng. 2022, 45, 192–198. [Google Scholar] [CrossRef]
- Mallick, M.; Tian, X.; Liu, J. Evaluation of measurement converted KF, EKF, UKF, CKF, and PF in GMTI filtering. In Proceedings of the 2021 International Conference on Control, Automation and Information Sciences (ICCAIS), Hanoi, Vietnam, 27–29 November 2021; pp. 21–27. [Google Scholar]
- Kumar, K.; Bhaumik, S.; Date, P. Extended Kalman Filter Using Orthogonal Polynomials. IEEE Access 2021, 9, 59675–59691. [Google Scholar] [CrossRef]
- Sun, X.; Wen, C.; Wen, T. Maximum correntropy high-order extended Kalman filter. Chin. J. Electron. 2022, 31, 190–198. [Google Scholar] [CrossRef]




| X1 Performance Enhancement | Value | EKF | First-Order EKF |
|---|---|---|---|
| EKF root mean square error | 1.2922 | / | / |
| EKF first-order root mean square error | 1.2757 | 1.28% | / |
| EKF higher-order root mean square error | 1.2028 | 6.92% | 5.62% |
| X2 Performance Enhancement | Value | EKF | First-Order EKF |
|---|---|---|---|
| EKF root mean square error | 1.2723 | / | / |
| EKF first-order root mean square error | 1.2543 | 1.41% | / |
| EKF higher-order root mean square error | 1.1797 | 7.28% | 5.95% |
| X1 Performance | Value | EKF | First-Order EKF |
|---|---|---|---|
| EKF root mean square error | 0.2528 | / | / |
| EKF first-order root mean square error | 0.2476 | 2.06% | / |
| EKF higher-order root mean square error | 0.2400 | 5.06% | 3.07% |
| X2 Performance | Value | EKF | First-Order EKF |
|---|---|---|---|
| EKF root mean square error | 0.2384 | / | / |
| EKF first-order root mean square error | 0.2338 | 1.93% | / |
| EKF higher-order root mean square error | 0.2224 | 6.71% | 4.88% |
Disclaimer/Publisher’s Note: The statements, opinions and data contained in all publications are solely those of the individual author(s) and contributor(s) and not of MDPI and/or the editor(s). MDPI and/or the editor(s) disclaim responsibility for any injury to people or property resulting from any ideas, methods, instructions or products referred to in the content. |
© 2024 by the authors. Licensee MDPI, Basel, Switzerland. This article is an open access article distributed under the terms and conditions of the Creative Commons Attribution (CC BY) license (https://creativecommons.org/licenses/by/4.0/).
Share and Cite
Ding, L.; Wen, C. High-Order Extended Kalman Filter for State Estimation of Nonlinear Systems. Symmetry 2024, 16, 617. https://doi.org/10.3390/sym16050617
Ding L, Wen C. High-Order Extended Kalman Filter for State Estimation of Nonlinear Systems. Symmetry. 2024; 16(5):617. https://doi.org/10.3390/sym16050617
Chicago/Turabian StyleDing, Linwang, and Chenglin Wen. 2024. "High-Order Extended Kalman Filter for State Estimation of Nonlinear Systems" Symmetry 16, no. 5: 617. https://doi.org/10.3390/sym16050617
APA StyleDing, L., & Wen, C. (2024). High-Order Extended Kalman Filter for State Estimation of Nonlinear Systems. Symmetry, 16(5), 617. https://doi.org/10.3390/sym16050617
