A Quantitative Precipitation Estimation Method Based on 3D Radar Reflectivity Inputs
Abstract
1. Introduction
- We use 3D radar echo data for quantitative precipitation estimation, which aims to capture the complex vertical motions within convective systems;
- We introduce the convolutional attention module to guide the model to focus on crucial regions as well as the asymmetry loss function for different precipitation events to further improve the performance;
- We conduct an empirical exploration of our proposed model and show its superior performance compared to existing representative methods.
2. Data
2.1. Radar Data
2.2. Precipitation Data
3. Method
3.1. ConvLSTM Cell
3.2. Convolutional Block Attention Module (CBAM)
3.3. Network Architecture
3.4. Loss Function
4. Experimental Results and Discussions
4.1. Experimental Setup and Evaluation Metrics
4.2. Test Results and Analysis
- (1)
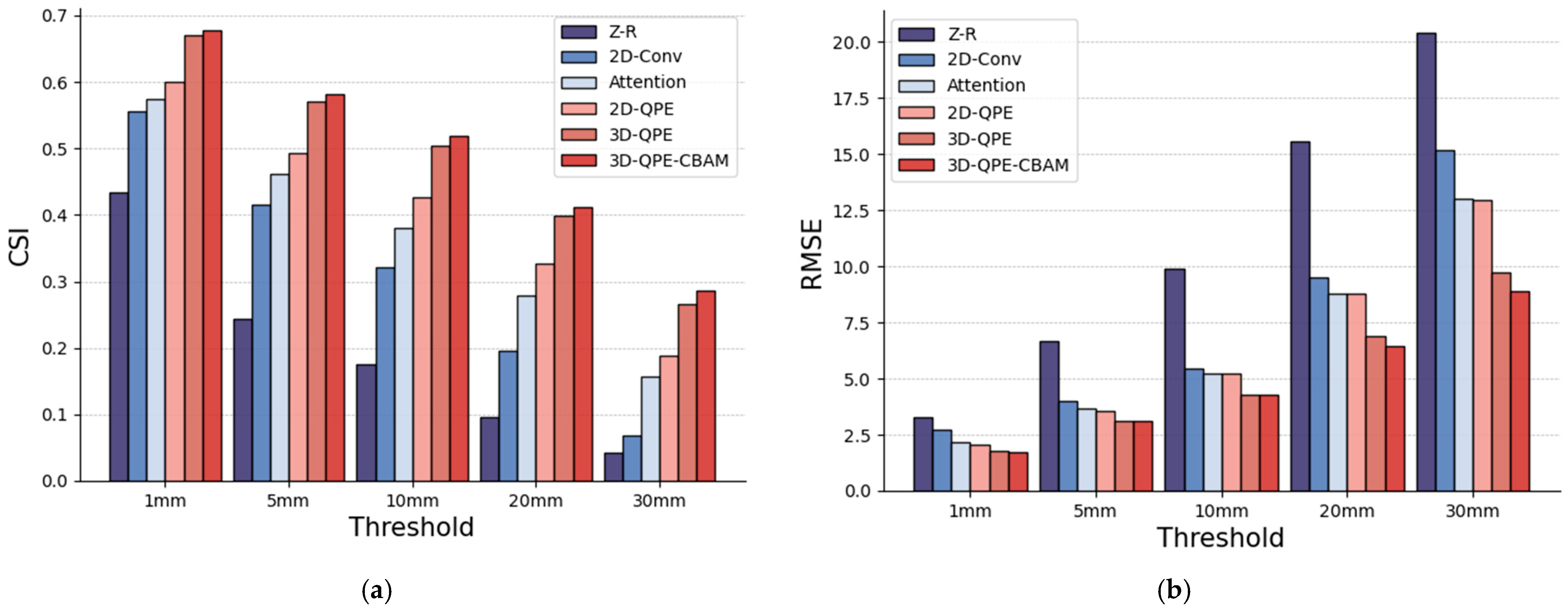
- Overall, with the increase in precipitation threshold, the accuracy of predicting heavy precipitation decreases significantly for all methods. This is because heavy precipitation is often generated by convective systems, characterized by sudden intensity, rapid movement, and irregular intensity changes. Moreover, heavy precipitation events constitute a small proportion of all the precipitation events. During the learning process, models find it challenging to adequately capture the characteristic patterns of heavy precipitation events from a limited number of instances, resulting in lower predictability for such events.
- (2)
- Combining the precipitation estimation scores under different precipitation thresholds, the model accuracies ranked from highest to lowest are as follows: 3D-QPE-CBAM, 3D-QPE, 2D-QPE, Attention, 2D-Conv, and Z–R. From the Z–R relationship to the proposed 3D-QPE-CBAM, there are two significant leaps in the CSI scores and two noticeable drops in the precipitation estimation error (RMSE). The first leap occurs with the transition from the Z–R relationship to deep learning models, and the second leap happens when shifting from 2D to 3D input for the deep learning model. According to Table 2, the relative increments in CSI scores during these two leaps are 39.3% and 17.4%, whereas the relative decrements in precipitation estimation errors are 33.4% and 17.8%. The former (first leap) indicates the significant advantage of deep learning models in capturing the complex nonlinear mapping relationship between reflectivity and precipitation compared to the Z–R relationship. The latter (second leap) suggests that building a precipitation estimation model based on three-dimensional observational data is reasonable and effective, affirming the feasibility of the proposed 3D modeling approach in this study.
- (3)
- When comparing the proposed model’s 2D-QPE (using 2D data) with the 2D-Conv baseline model, which also uses 2D data, the average relative improvement in CSI scores is 30.1%, and the average relative reduction in precipitation estimation errors is 12.3%. This demonstrates that the temporal data utilization approach of the proposed model effectively enhances the performance of the precipitation estimation model.
- (4)
- Precipitation exceeding 20 mm is generally considered to be generated by intense convective systems. Under high precipitation threshold conditions, the accuracy improvement of the proposed model compared to the baseline models is even more significant. For hourly precipitation amounts exceeding 20 mm and 30 mm, the 3D-QPE-CBAM model proposed in this study demonstrates an improvement of approximately 10 percentage points in precipitation accuracy compared to the best-performing baseline model, Attention, among the three comparison models. This indicates that the proposed model exhibits a more pronounced advantage in predicting intense convective precipitation.
4.3. Case Studies
4.4. Discussions
5. Conclusions
- (1)
- Transition from 2D to 3D Modeling: The conventional two-dimensional radar reflectivity data is transformed into three-dimensional modeling, incorporating an additional vertical dimension. This enriches the model with physically meaningful quantities. The three-dimensional reflectivity information in space provides constraints and useful information for ground precipitation.
- (2)
- Integration of ConvLSTM and UNet: The proposed architecture combines ConvLSTM with the UNet network for effective information encoding and decoding. This structure enables more efficient extraction and utilization of temporal information, thereby enhancing the model’s ability to predict precipitation intensity.
- (3)
- Temporal-Spatial Convolutional Attention Mechanism: The introduced cascaded spatiotemporal convolutional attention mechanism directs the model’s focus toward regions and time frames in the three-dimensional radar echo data that are most likely to lead to intense precipitation events. This enhances the model’s accuracy in predicting such events.
Author Contributions
Funding
Data Availability Statement
Acknowledgments
Conflicts of Interest
References
- Lakshmanan, V.; Smith, T.; Stumpf, G.; Hondl, K. The warnong decision support system-integrated information. Weather. Forecast. 2007, 22, 596–612. [Google Scholar] [CrossRef]
- Smith, T.M.; Lakshmanan, V.; Stumpf, G.J.; Ortega, K.L.; Hondl, K.; Cooper, K.; Calhoun, K.M.; Kingfield, D.M.; Manross, K.L.; Toomey, R.; et al. Multi-Radar Multi-Sensor (MRMS) severe weather and aviation products: Initial operating capabilities. Bull. Am. Meteorol. Soc. 2016, 97, 1617–1630. [Google Scholar] [CrossRef]
- Zhang, J.; Tang, L.; Cocks, S.; Zhang, P.; Ryzhkov, A.; Howard, K.; Langston, C.; Kaney, B. A dual-polarization radar synthetic QPE for operations. J. Hydrometeorol. 2020, 21, 2507–2521. [Google Scholar] [CrossRef]
- Bhatnagar, A.K.; Rao, P.R.; Kalyanasundaram, S.; Thampi, S.B.; Suresh, R.; Gupta, J.P. Doppler radar–A detecting tool and measuring instrument in meteorology. Curr. Sci. 2003, 85, 256–264. [Google Scholar]
- Schleiss, M.; Olsson, J.; Berg, P.; Niemi, T.; Kokkonen, T.; Thorndahl, S.; Nielsen, R.; Ellerbæk Nielsen, J.; Bozhinova, D.; Pulkkinen, S. The accuracy of weather radar in heavy rain: A comparative study for Denmark, the Netherlands, Finland and Sweden. Hydrol. Earth Syst. Sci. 2020, 24, 3157–3188. [Google Scholar] [CrossRef]
- Yoon, S.S.; Phuong, A.T.; Bae, D.H. Quantitative comparison of the spatial distribution of radar and gauge rainfall data. J. Hydrometeorol. 2012, 13, 1939–1953. [Google Scholar] [CrossRef]
- Wilson, J.W.; Brandes, E.A. Radar measurement of rainfall—A summary. Bull. Am. Meteorol. Soc. 1979, 60, 1048–1060. [Google Scholar] [CrossRef]
- Marshall, J.S.; Langille, R.C.; Palmer, W.M.K. Measurement of rainfall by radar. J. Atmos. Sci. 1947, 4, 186–192. [Google Scholar] [CrossRef]
- Best, A.C. The size distribution of raindrops. Q. J. R. Meteorol. Soc. 1950, 76, 16–36. [Google Scholar] [CrossRef]
- Alfieri, L.; Claps, P.; Laio, F. Time-dependent ZR relationships for estimating rainfall fields from radar measurements. Nat. Hazards Earth Syst. Sci. 2010, 10, 149–158. [Google Scholar] [CrossRef]
- Lee, G.W.; Zawadzki, I. Variability of drop size distributions: Time-scale dependence of the variability and its effects on rain estimation. J. Appl. Meteorol. 2005, 44, 241–255. [Google Scholar] [CrossRef]
- Song, L.Y.; Chen, M.X.; Cheng, C.L.; Gao, F.; Chen, M. Characteristics of summer QPE error and a climatological correction method over Beijing-Tianjin-Hebei region. Acta Meteorol. Sin. 2019, 77, 497–515. [Google Scholar]
- Foufoula-Georgiou, E.; Guilloteau, C.; Nguyen, P.; Aghakouchak, A.; Hsu, K.L.; Busalacchi, A.; Turk, F.J.; Peters-Lidard, C.; Oki, T.; Duan, Q.; et al. Advancing precipitation estimation, prediction, and impact studies. Bull. Am. Meteorol. Soc. 2020, 101, E1584. [Google Scholar] [CrossRef] [PubMed]
- Yu, X.D.; Yao, X.P.; Xiong, T.N.; Zhou, X.G.; Wu, H.; Deng, B.S.; Song, Y. Principle and Operational Application of Doppler Weather Radar; China Meteorological Press: Beijing, China, 2006; pp. 92–95. ISBN 978-7-5029-4111-6. [Google Scholar]
- Keil, C.; Heinlein, F.; Craig, G.C. The convective adjustment time-scale as indicator of predictability of convective precipitation. Q. J. R. Meteorol. Soc. 2014, 140, 480–490. [Google Scholar] [CrossRef]
- Yoon, S.S.; Kim, J.H.; Bae, D.H. A Comparative Analysis of Radar Rainfall Estimation Method. In Proceedings of the Korea Water Resources Association Conference, Jeju Island, Republic of Korea, 18–19 May 2006; Korea Water Resources Association: Daejeon, Republic of Korea, 2006; pp. 632–636. [Google Scholar]
- Bringi, V.N.; Huang, G.J.; Chandrasekar, V.; Gorgucci, E. A methodology for estimating the parameters of a gamma raindrop size distribution model from polarimetric radar data: Application to a squall-line event from the TRMM/Brazil campaign. J. Atmos. Ocean. Technol. 2002, 19, 633–645. [Google Scholar] [CrossRef]
- Chumchean, S.; Seed, A.; Sharma, A. An operational approach for classifying storms in real-time radar rainfall estimation. J. Hydrol. 2008, 363, 1–17. [Google Scholar] [CrossRef]
- Ramli, S.; Bakar, S.H.A.; Tahir, W. Radar hydrology: New Z/R relationships for Klang River Basin, Malaysia based on rainfall classification. In Proceedings of the 2011 IEEE Colloquium on Humanities, Science and Engineering, Penang, Malaysia, 5–6 December 2011; pp. 537–541. [Google Scholar]
- Sadeghi, M.; Asanjan, A.A.; Faridzad, M.; Nguyen, P.H.U.; Hsu, K.; Sorooshian, S.; Braithwaite, D.A.N. PERSIANN-CNN: Precipitation estimation from remotely sensed information using artificial neural networks—Convolutional neural networks. J. Hydrometeorol. 2019, 20, 2273–2289. [Google Scholar] [CrossRef]
- Chen, H.; Chandrasekar, V.; Tan, H.; Cifelli, R. Rainfall estimation from ground radar and TRMM precipitation radar using hybrid deep neural networks. Geophys. Res. Lett. 2019, 46, 10669–10678. [Google Scholar] [CrossRef]
- Zhang, Y.; Long, M.; Chen, K.; Xing, L.; Jin, R.; Jordan, M.I.; Wang, J. Skilful nowcasting of extreme precipitation with NowcastNet. Nature 2023, 619, 526–532. [Google Scholar] [CrossRef]
- Ravuri, S.; Lenc, K.; Willson, M.; Kangin, D.; Lam, R.; Mirowski, P.; Fitzsimons, M.; Athanassiadou, M.; Kashem, S.; Madge, S.; et al. Skilful precipitation nowcasting using deep generative models of radar. Nature 2021, 597, 672–677. [Google Scholar] [CrossRef]
- Tan, H.; Chandrasekar, V.; Chen, H. A machine learning model for radar rainfall estimation based on gauge observations. In Proceedings of the 2017 United States National Committee of URSI National Radio Science Meeting (USNC-URSI NRSM), Boulder, CO, USA, 4–7 January 2017; pp. 1–2. [Google Scholar]
- Chen, H.; Chandra, C.V.; Tan, H.; Cifelli, R.; Xie, P. Development of deep learning based data fusion approach for accurate rainfall estimation using ground radar and satellite precipitation products. In Proceedings of the AGU Fall Meeting Abstracts, San Francisco, CA, USA, 12–16 December 2016. [Google Scholar]
- Wang, C.; Wang, P.; Wang, P.; Xue, B. A spatiotemporal attention model for severe precipitation estimation. IEEE Geosci. Remote Sens. Lett. 2021, 19, 1–5. [Google Scholar] [CrossRef]
- Otsuka, S.; Tuerhong, G.; Kikuchi, R.; Kitano, Y.; Taniguchi, Y.; Ruiz, J.J.; Satoh, S.; Ushio, T.; Miyoshi, T. Precipitation nowcasting with three-dimensional space–time extrapolation of dense and frequent phased-array weather radar observations. Weather. Forecast. 2016, 31, 329–340. [Google Scholar] [CrossRef]
- Tran, Q.K.; Song, S. Multi-channel weather radar echo extrapolation with convolutional recurrent neural networks. Remote Sens. 2019, 11, 2303. [Google Scholar] [CrossRef]
- Sun, N.; Zhou, Z.; Li, Q.; Jing, J. Three-dimensional gridded radar echo extrapolation for convective storm nowcasting based on 3D-ConvLSTM model. Remote Sens. 2022, 14, 4256. [Google Scholar] [CrossRef]
- Shi, X.; Chen, Z.; Wang, H.; Yeung, D.Y.; Wong, W.K.; Woo, W.C. Convolutional LSTM network: A machine learning approach for precipitation nowcasting. Adv. Neural Inf. Process. Syst. 2015, 28–37. [Google Scholar]
- Woo, S.; Park, J.; Lee, J.Y.; Kweon, I.S. Cbam: Convolutional block attention module. In Proceedings of the European Conference on Computer Vision (ECCV), Munich, Germany, 8–14 September 2018; pp. 3–19. [Google Scholar]
- Ronneberger, O.; Fischer, P.; Brox, T. U-net: Convolutional networks for biomedical image segmentation. In Proceedings of the Medical Image Computing and Computer-Assisted Intervention–MICCAI 2015: 18th International Conference, Munich, Germany, 5–9 October 2015; Proceedings, part III 18. pp. 234–241. [Google Scholar]
- Shi, X.; Gao, Z.; Lausen, L.; Wang, H.; Yeung, D.Y.; Wong, W.K.; Woo, W.C. Deep learning for precipitation nowcasting: A benchmark and a new model. Adv. Neural Inf. Process. Syst. 2017, 30–41. [Google Scholar]
- Ryzhkov, A.; Zhang, P.; Bukovčić, P.; Zhang, J.; Cocks, S. Polarimetric radar quantitative precipitation estimation. Remote Sens. 2022, 14, 1695. [Google Scholar] [CrossRef]








| Observations as “Yes” | Observations as “No” | |
|---|---|---|
| Predicted as “Yes” | TP | FP |
| Predicted as “No” | FN | TN |
| Method | 1 mm | 5 mm | 10 mm | 20 mm | 30 mm |
|---|---|---|---|---|---|
| RMSE (mm) | |||||
| Z–R | 3.2791 | 6.6773 | 9.8833 | 15.5758 | 20.3844 |
| 2D-Conv | 2.7030 | 4.0120 | 5.4371 | 9.4990 | 15.1890 |
| Attention | 2.1926 | 3.6887 | 5.2277 | 8.7684 | 12.9836 |
| 2D-QPE | 2.0318 | 3.5780 | 5.2479 | 8.7767 | 12.9256 |
| 3D-QPE | 1.7869 | 3.1108 | 4.2957 | 6.9058 | 9.7460 |
| 3D-QPE-CBAM | 1.7378 | 3.1241 | 4.2776 | 6.4597 | 8.9216 |
| CSI | |||||
| Z–R | 0.4337 | 0.2446 | 0.1759 | 0.0964 | 0.0426 |
| 2D-Conv | 0.5562 | 0.4149 | 0.3208 | 0.1962 | 0.0681 |
| Attention | 0.5734 | 0.4612 | 0.3808 | 0.2795 | 0.1564 |
| 2D-QPE | 0.5998 | 0.4930 | 0.4267 | 0.3260 | 0.1875 |
| 3D-QPE | 0.6710 | 0.5700 | 0.5041 | 0.3980 | 0.2658 |
| 3D-QPE-CBAM | 0.6769 | 0.5819 | 0.5192 | 0.4114 | 0.2868 |
| HSS | |||||
| Z–R | 0.5810 | 0.3852 | 0.2959 | 0.1750 | 0.0814 |
| 2D-Conv | 0.6872 | 0.5765 | 0.4819 | 0.3274 | 0.1274 |
| Attention | 0.7030 | 0.6232 | 0.5485 | 0.4363 | 0.2704 |
| 2D-QPE | 0.7264 | 0.6530 | 0.5953 | 0.4912 | 0.3157 |
| 3D-QPE | 0.7856 | 0.7200 | 0.6678 | 0.5688 | 0.4199 |
| 3D-QPE-CBAM | 0.7910 | 0.7300 | 0.6812 | 0.5825 | 0.4457 |
Disclaimer/Publisher’s Note: The statements, opinions and data contained in all publications are solely those of the individual author(s) and contributor(s) and not of MDPI and/or the editor(s). MDPI and/or the editor(s) disclaim responsibility for any injury to people or property resulting from any ideas, methods, instructions or products referred to in the content. |
© 2024 by the authors. Licensee MDPI, Basel, Switzerland. This article is an open access article distributed under the terms and conditions of the Creative Commons Attribution (CC BY) license (https://creativecommons.org/licenses/by/4.0/).
Share and Cite
Wen, Y.; Zhang, J.; Wang, D.; Peng, X.; Wang, P. A Quantitative Precipitation Estimation Method Based on 3D Radar Reflectivity Inputs. Symmetry 2024, 16, 555. https://doi.org/10.3390/sym16050555
Wen Y, Zhang J, Wang D, Peng X, Wang P. A Quantitative Precipitation Estimation Method Based on 3D Radar Reflectivity Inputs. Symmetry. 2024; 16(5):555. https://doi.org/10.3390/sym16050555
Chicago/Turabian StyleWen, Yanqin, Jun Zhang, Di Wang, Xianming Peng, and Ping Wang. 2024. "A Quantitative Precipitation Estimation Method Based on 3D Radar Reflectivity Inputs" Symmetry 16, no. 5: 555. https://doi.org/10.3390/sym16050555
APA StyleWen, Y., Zhang, J., Wang, D., Peng, X., & Wang, P. (2024). A Quantitative Precipitation Estimation Method Based on 3D Radar Reflectivity Inputs. Symmetry, 16(5), 555. https://doi.org/10.3390/sym16050555

