Cascading Failure Modeling for Circuit Systems Considering Continuous Degradation and Random Shocks Using an Impedance Network
Abstract
1. Introduction
- This paper presents a failure model for components that takes into account the correlation between degradation and shock. Additionally, it provides a spatio-temporal method for determining cascading failure in combination with the competitive failure model.
- This paper proposes a cascading failure model for circuits that considers the coupling between degradation and shock. The model can take into account asymmetric failure propagation paths and failure time distributions for circuits affected by degradation–shock coupling and its uncertainties.
2. System Description
2.1. Circuit as an Impedance Network
2.2. Basic Modeling Methods
- (1)
- At the component level, we focus mainly on the mutual influence of degradation and shock on individual components and the competition between different components. In this sense, the modeling methods include the following:
- Describe the weakening effect of continuous degradation on shock thresholds (Equation (13)) and the accelerating effect of damage shocks on impedance degradation (Equation (5)) (see Section 3.1);
- Using competitive failure models to determine whether a component undergoes soft failure dominated by degradation or hard failure dominated by fatal shock (see Section 3.3).
- (2)
- At the system level, we need to reveal the cascading failure propagation mechanisms and quantify the propagation process. In this regard, the modeling methods of this paper are the following:
- Divide the failure propagation process into two distinct processes: a slow propagation process, where cascading failure is not triggered by continuous degradation and damage shock, and a fast propagation process, where cascading failure is triggered by any component failure (see Section 4.1);
- Propose a health confidence value from both structural and functional perspectives to assess the cascading failure propagation process of the system under degradation and shocks (see Section 4.2).
3. Component Failure Modeling Considering Degradation–Shock Correlation
3.1. Component-Triggered Failure Conditions
- Hard failure occurs when the stress of the kth shock exceeds the strength threshold during random shocks, as shown in Figure 1(a-2);
- Soft failure occurs when the redistributed current on the component ij, subjected to continuous degradation (including damage shocks during random shocks), is greater than its own capacity threshold , as shown in Figure 1(c-1).
3.2. Degeneration–Shock Process Assumptions
3.3. Component Failure Model
3.3.1. Hard Failure Model
3.3.2. Soft Failure Model
3.3.3. Coupling Model
4. Cascading Failure Modeling
4.1. Dynamic Propagation Model
4.1.1. Slow Dynamic Propagation Model
4.1.2. Fast Dynamic Propagation Model
4.2. Health Status of the Impedance Network
4.3. Simulation Algorithm for Cascading Failure
5. Case Study and Discussion
5.1. System Introduction
5.2. Cascading Failure Analysis
6. Conclusions
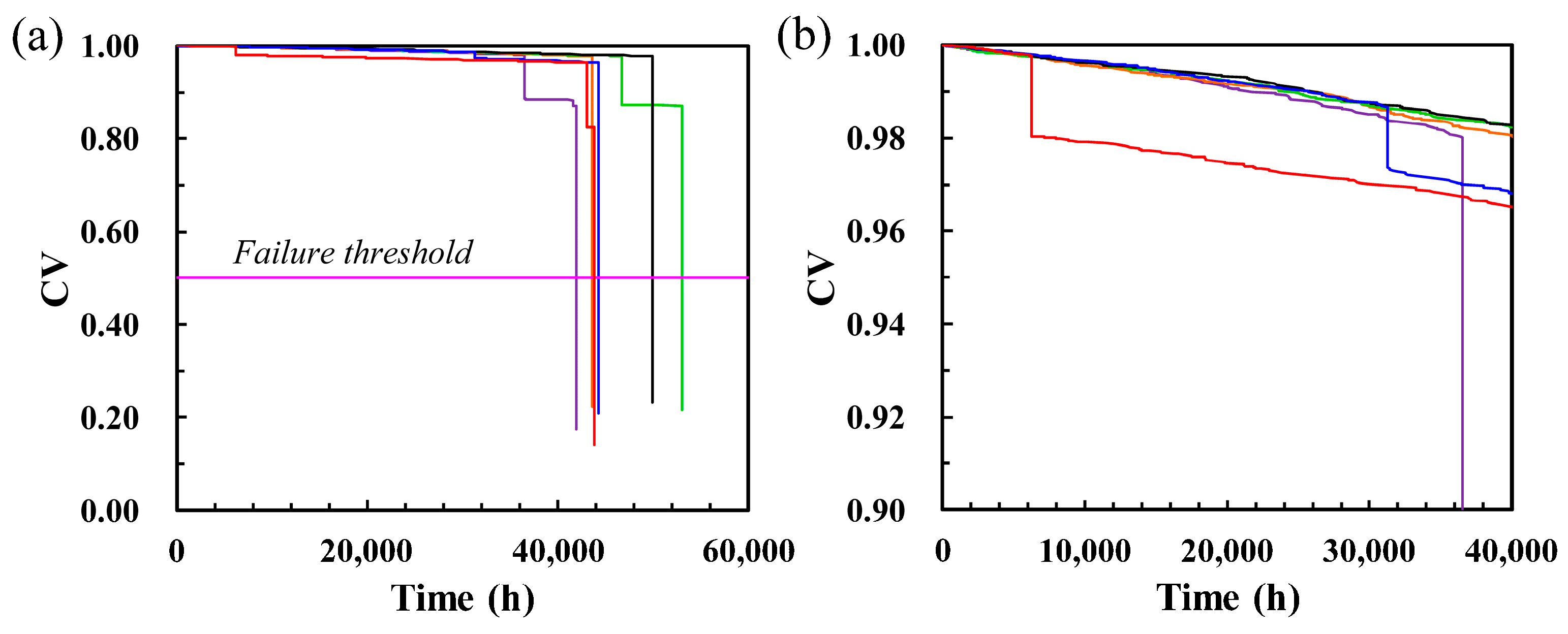
- Random shocks can affect the propagation behavior of cascading failure in a circuit system undergoing continuous degradation. When the shock strength threshold is high, external shocks mainly accelerate the evolution of cascading failure in the form of damage shocks. As the shock strength threshold decreases, the effects of shock become more pronounced. When the threshold drops to a certain level, the probability of hard failures due to random shocks increases. This makes the system capable of triggering cascading failures even in the early stages of operation. However, the circuit system’s capability to suppress cascading failures ensures that the system’s health state undergoes only minor abrupt changes. As the shock strength threshold decreases, more components experience hard failures, resulting in further superposition of redistributed currents in the remaining components. This causes the cascading failure to propagate globally. The main cause of cascading failure changes from continuous degradation dominance to random shock dominance, resulting in hard failure replacing soft failure as the main root cause of triggering cascading failure.
- At higher shock strength thresholds, the failure time of the circuit system follows the lognormal distribution, and the trigger cause of cascading failure is dominated by soft failures caused by degradation and damage shocks. However, at lower shock strength thresholds, the failure time conforms to the Weibull distribution, and the trigger cause of cascading failure is dominated by hard failures caused by fatal shocks. Within the range of the two types of threshold settings, there may be instances where soft and hard failures coexist. To evaluate the reliability of the circuit system under different operating periods, a mixed distribution model constructed using the Weibull and lognormal distributions can be effective compared to a single distribution.
Author Contributions
Funding
Data Availability Statement
Conflicts of Interest
References
- Vasan, A.S.S.; Pecht, M.G. Electronic Circuit Health Estimation through Kernel Learning. IEEE Trans. Ind. Trial Electron. 2018, 65, 1585–1594. [Google Scholar] [CrossRef]
- Jia, Z.; Liu, Z.; Gan, Y.; Vong, C.M.; Pecht, M. A Deep Forest-Based Fault Diagnosis Scheme for Electronics-Rich Analog Circuit Systems. IEEE Trans. Ind. Electron. 2021, 68, 10087–10096. [Google Scholar] [CrossRef]
- Jin, Y.; Zhang, Q.; Chen, Y.; Lu, Z.; Zu, T. Cascading failures modeling of electronic circuits with degradation using impedance network. Reliab. Eng. Syst. Saf. 2023, 233, 109101. [Google Scholar] [CrossRef]
- Jin, Y.; Chen, Y.; Lu, Z.; Zhang, Q.; Kang, R. Cascading Failure Modeling for Circuit Systems Using Impedance Networks: A Current-Flow Redistribution Approach. IEEE Trans. Ind. Electron. 2021, 68, 632–641. [Google Scholar] [CrossRef]
- Shi, J.; He, Q.; Wang, Z. GMM Clustering-Based Decision Trees Considering Fault Rate and Cluster Validity for Analog Circuit Fault Diagnosis. IEEE Access 2019, 7, 140637–140650. [Google Scholar] [CrossRef]
- Sharifi, M.; Taghipour, S. Optimizing a redundancy allocation problem with open-circuit and short-circuit failure modes at the component and subsystem levels. Eng. Optim. 2021, 53, 1064–1080. [Google Scholar] [CrossRef]
- Leroux, H.; Andreu, D.; Godary-Dejean, K. Handling Exceptions in Petri Net-Based Digital Architecture: From Formalism to Implementation on FPGAs. IEEE Trans. Ind. Inform. 2015, 11, 897–906. [Google Scholar] [CrossRef]
- Zhai, G.; Zhou, Y.; Ye, X. A Tolerance Design Method for Electronic Circuits Based on Performance Degradation. Qual. Reliab. Eng. Int. 2015, 31, 635–643. [Google Scholar] [CrossRef]
- Nakao, H.; Yonezawa, Y.; Sugawara, T.; Nakashima, Y.; Kurokawa, F. Online Evaluation Method of Electrolytic Capacitor Degradation for Digitally Controlled SMPS Failure Prediction. IEEE Trans. Power Electron. 2018, 33, 2552–2558. [Google Scholar] [CrossRef]
- Li, D.; Zhang, Q.; Zio, E.; Havlin, S.; Kang, R. Network reliability analysis based on percolation theory. Reliab. Eng. Syst. Saf. 2015, 142, 556–562. [Google Scholar] [CrossRef]
- Wu, C.W. Evolution and Dynamics of Complex Networks of Coupled Systems. IEEE Circuits Syst. Mag. 2010, 10, 55–63. [Google Scholar] [CrossRef]
- Wang, W.X.; Chen, G. Universal robustness characteristic of weighted networks against cascading failure. Phys. Rev. E 2008, 77, 026101. [Google Scholar] [CrossRef]
- Fan, Y.; Cheng, Y.; Chen, Y.; Yang, Y. Analysis of cascading failure of circuit systems based on load-capacity model of complex network. In Proceedings of the 2nd International Conference on Reliability Systems Engineering (ICRSE 2017), Beijing, China, 10–12 July 2017; p. R089. [Google Scholar]
- Rommes, J.; Schilders, W.H.A. Efficient Methods for Large Resistor Networks. IEEE Trans. Comput. Aided Des. Integr. Circuits Syst. 2010, 29, 28–39. [Google Scholar] [CrossRef]
- Mei, S.; Raghavan, N.; Bosman, M.; Pey, K.L. Stochastic Modeling of FinFET Degradation Based on a Resistor Network Embedded Metropolis Monte Carlo Method. IEEE Trans. Electron Devices 2018, 65, 440–447. [Google Scholar] [CrossRef]
- Van Mieghem, P.; Devriendt, K.; Cetinay, H. Pseudoinverse of the Laplacian and best spreader node in a network. Phys. Rev. E 2017, 96, 032311. [Google Scholar] [CrossRef] [PubMed]
- Lehmann, J.; Bernasconi, J. Current redistribution in resistor networks: Fat-tail statistics in regular and small-world networks. Phys. Rev. E 2017, 95, 032310. [Google Scholar] [CrossRef] [PubMed]
- Lehmann, J.; Bernasconi, J. Stochastic load-redistribution model for cascading failure propagation. Phys. Rev. E 2010, 81, 031129. [Google Scholar] [CrossRef] [PubMed]
- Hou, Y.; Xing, X.; Li, M.; Zeng, A.; Wang, Y. Overload cascading failure on complex networks with heterogeneous load redistribution. Phys. A-Stat. Mech. Its Appl. 2017, 481, 160–166. [Google Scholar] [CrossRef]
- Kang, F.; Cui, L.; Ye, Z.; Zhou, Y. Reliability analysis for systems with self-healing mechanism in degradation-shock dependence processes with changing degradation rate. Reliab. Eng. Syst. Saf. 2024, 241, 109671. [Google Scholar] [CrossRef]
- Cao, S.; Wang, Z.; Liu, C.; Wu, Q.; Li, J.; Ouyang, X. A novel solution for comprehensive competing failure process considering two-phase degradation and non-Poisson shock. Reliab. Eng. Syst. Saf. 2023, 239, 109534. [Google Scholar] [CrossRef]
- Wu, B.; Zhang, Y.; Zhao, S. Modeling coupled effects of dynamic environments and zoned shocks on systems under dependent failure processes. Reliab. Eng. Syst. Saf. 2023, 231, 108911. [Google Scholar] [CrossRef]
- Hu, J.; Sun, Q.; Ye, Z.S. Condition-Based Maintenance Planning for Systems Subject to Dependent Soft and Hard Failures. IEEE Trans. Reliab. 2021, 70, 1468–1480. [Google Scholar] [CrossRef]
- Zeng, Z.; Barros, A.; Coit, D. Dependent failure behavior modeling for risk and reliability: A systematic and critical literature review. Reliab. Eng. Syst. Saf. 2023, 239, 109515. [Google Scholar] [CrossRef]
- Bian, L.; Wang, G.; Liu, P. Reliability analysis for k-out-of-n(G) systems subject to dependent competing failure processes. Comput. Ind. Eng. 2023, 177, 109084. [Google Scholar] [CrossRef]
- Song, S.; Coit, D.W.; Feng, Q.; Peng, H. Reliability Analysis for Multi-Component Systems Subject to Multiple Dependent Competing Failure Processes. IEEE Trans. Reliab. 2014, 63, 331–345. [Google Scholar] [CrossRef]
- Shen, J.; Elwany, A.; Cui, L. Reliability analysis for multi-component systems with degradation interaction and categorized shocks. Appl. Math. Model. 2018, 56, 487–500. [Google Scholar] [CrossRef]
- Schaub, M.T.; Lehmann, J.; Yaliraki, S.N.; Barahona, M. Structure of complex networks: Quantifying edge-to-edge relations by failure-induced flow redistribution. Netw. Sci. 2014, 2, 66–89. [Google Scholar] [CrossRef]









| Component Type | Resistor | Capacitor | |||||
|---|---|---|---|---|---|---|---|
| Parameter | EA,1/eV | EA,2/eV | |||||
| Value | 0.52 | 0.5 | 200 | 0.6 | 95.54 | ||
| Wth | Distribution | Parameter Estimates 1 | Parameter Estimates 2 | Parameter Estimates 3 | AIC |
|---|---|---|---|---|---|
| Wth,normal | Lognormal | — | 10588 | ||
| Weibull | — | 10667 | |||
| 95% Wth,normal | Lognormal | — | 12011 | ||
| Lognormal (mixed) | 10766 | ||||
| Weibull (mixed) | |||||
| Weibull | — | 11396 | |||
| 90% Wth,normal | Lognormal | — | 11687 | ||
| Weibull | — | 11515 |
Disclaimer/Publisher’s Note: The statements, opinions and data contained in all publications are solely those of the individual author(s) and contributor(s) and not of MDPI and/or the editor(s). MDPI and/or the editor(s) disclaim responsibility for any injury to people or property resulting from any ideas, methods, instructions or products referred to in the content. |
© 2024 by the authors. Licensee MDPI, Basel, Switzerland. This article is an open access article distributed under the terms and conditions of the Creative Commons Attribution (CC BY) license (https://creativecommons.org/licenses/by/4.0/).
Share and Cite
Jin, Y.; Zhang, Q. Cascading Failure Modeling for Circuit Systems Considering Continuous Degradation and Random Shocks Using an Impedance Network. Symmetry 2024, 16, 488. https://doi.org/10.3390/sym16040488
Jin Y, Zhang Q. Cascading Failure Modeling for Circuit Systems Considering Continuous Degradation and Random Shocks Using an Impedance Network. Symmetry. 2024; 16(4):488. https://doi.org/10.3390/sym16040488
Chicago/Turabian StyleJin, Yi, and Qingyuan Zhang. 2024. "Cascading Failure Modeling for Circuit Systems Considering Continuous Degradation and Random Shocks Using an Impedance Network" Symmetry 16, no. 4: 488. https://doi.org/10.3390/sym16040488
APA StyleJin, Y., & Zhang, Q. (2024). Cascading Failure Modeling for Circuit Systems Considering Continuous Degradation and Random Shocks Using an Impedance Network. Symmetry, 16(4), 488. https://doi.org/10.3390/sym16040488

