Controlled State Transfer in Central Spin Models
Abstract
1. Introduction
2. Optimal Control and Krotov’s Method
3. Models
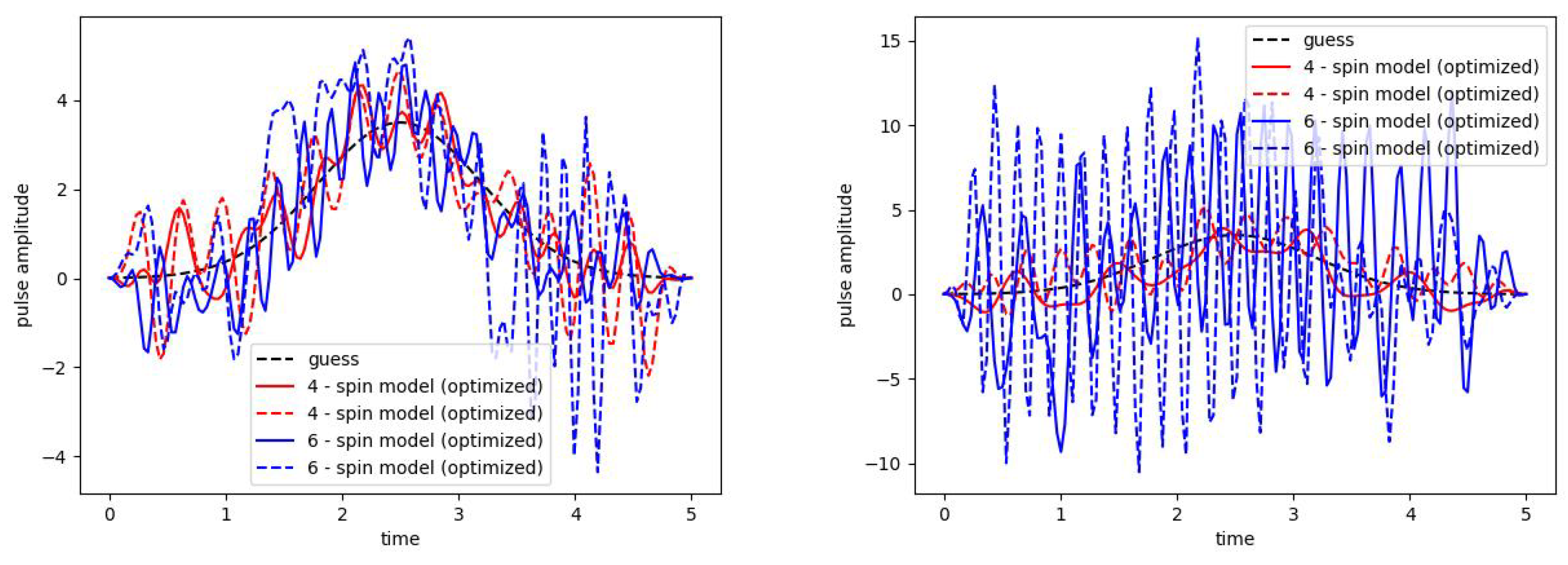
4. State Transfer in Model Type I
5. State Transfer in Model Type II
6. Conclusions
Funding
Data Availability Statement
Acknowledgments
Conflicts of Interest
References
- Chakrabarty, I.; Banerjee, S.; Siddharth, N. A study of Quantum Correlations in Open Quantum Systems. Quantum Inf. Comput. 2011, 11, 541. [Google Scholar] [CrossRef]
- Shrikant, U.; Srikanth, R.; Banerjee, S. Non-Markovian dephasing and depolarizing channels. Phys. Rev. A 2018, 98, 032328. [Google Scholar] [CrossRef]
- Thomas, G.; Siddharth, N.; Banerjee, S.; Ghosh, S. Thermodynamics of non-Markovian reservoirs and heat engines. Phys. Rev. E 2018, 97, 062108. [Google Scholar] [CrossRef]
- Bhattacharya, S.; Banerjee, S.; Pati, A.K. Evolution of coherence and non-classicality under global environmental interaction. Quantum Inf. Process. 2018, 17, 236. [Google Scholar] [CrossRef]
- Tanimura, Y. Numerically “exact” approach to open quantum dynamics: The hierarchical equations of motion (HEOM). J. Chem. Phys. 2020, 153, 020901. [Google Scholar] [CrossRef]
- Liu, J.-X.; Shi, H.-L.; Shi, Y.-H.; Wang, X.-H.; Yang, W.-L. Entanglement and work extraction in the central-spin quantum battery. Phys. Rev. B 2021, 104, 245418. [Google Scholar] [CrossRef]
- Hanson, R.; Dobrovitski, V.V.; Feigun, A.E.; Gywat, O.; Awschalom, D.D. Coherent Dynamics of a Single Spin Interacting with an Adjustable Spin Bath. Science 2008, 320, 352. [Google Scholar] [CrossRef] [PubMed]
- Rahman, A.U.; Haddadi, S.; Pourkarimi, M.R. Tripartite Quantum Correlations under Power-Law and Random Telegraph Noises: Collective Effects of Markovian and Non-Markovian Classical Fields. Ann. Phys. 2022, 534, 2100584. [Google Scholar] [CrossRef]
- Chen Wang, C.; Chen, Q.-H. Exact dynamics of quantum correlations of two qubits coupled to bosonic baths. New J. Phys. 2013, 15, 103020. [Google Scholar] [CrossRef]
- Deffner, S.; Campbell, S. Quantum speed limits: From Heisenberg’s uncertainty principle to optimal quantum control. J. Phys. A Math. Theor. 2017, 50, 453001. [Google Scholar] [CrossRef]
- Frey, M.R. Quantum speed limits-primer, perspectives, and potential future directions. Quantum Inf. Process. 2016, 15, 3919. [Google Scholar] [CrossRef]
- Khurshudyan, M. On a State Transfer Mediated by a Central Spin Model. Russ. Phys. J. 2024, 67, 330. [Google Scholar] [CrossRef]
- Palaiodimopoulos, N.E.; Kiefer-Emmanouilidis, M.; Kurizki, G.; Petrosyan, D. Excitation transfer in disordered spin chains with long-range exchange interactions. SciPost Phys. Core 2023, 6, 017. [Google Scholar] [CrossRef]
- Lee, C.M.; Hoban, M.J. Towards Device-Independent Information Processing on General Quantum Networks. Phys. Rev. Lett. 2018, 120, 020504. [Google Scholar] [CrossRef] [PubMed]
- Marchukov, O.V.; Volosniev, A.G.; Valiente, M.; Petrosyan, D.; Zinner, N.T. Quantum spin transistor with a Heisenberg spin chain. Nat. Commun. 2016, 7, 13070. [Google Scholar] [CrossRef] [PubMed]
- Knill, E.; Laflamme, R.; Milburn, G.J. A scheme for efficient quantum computation with linear optics. Nature 2001, 409, 46–52. [Google Scholar] [CrossRef] [PubMed]
- Bose, S. Quantum Communication through an Unmodulated Spin Chain. Phys. Rev. Lett. 2003, 91, 207901. [Google Scholar] [CrossRef]
- Kay, A. Perfect, efficient, state transfer and its application as a constructive tool. Int. J. Quant. Inf. 2010, 8, 641–676. [Google Scholar] [CrossRef]
- Lu, Z.G.; Zheng, H. Effects of counter-rotating interaction on driven tunneling dynamics: Coherent destruction of tunneling and Bloch-Siegert shift. Phys. Rev. A 2012, 86, 023831. [Google Scholar] [CrossRef]
- Satanin, A.M.; Denisenko, M.V.; Gelman, A.I.; Nori, F. Amplitude and phase effects in Josephson qubits driven by a biharmonic electromagnetic field. Phys. Rev. B 2014, 90, 104516. [Google Scholar] [CrossRef]
- Goldman, N.; Dalibard, J. Periodically Driven Quantum Systems: Effective Hamiltonians and Engineered Gauge Fields. Phys. Rev. X 2014, 4, 031027, Erratum in Phys. Rev. X 2015, 5, 029902.. [Google Scholar] [CrossRef]
- Chen, C.; An, J.-H.; Luo, H.-G.; Sun, C.P.; Oh, C.H. Floquet control of quantum dissipation in spin chains. Phys. Rev. A 2015, 91, 052122. [Google Scholar] [CrossRef]
- Baksic, A.; Ribeiro, H.; Clerk, A.A. Speeding up Adiabatic Quantum State Transfer by Using Dressed States. Phys. Rev. Lett. 2016, 116, 230503. [Google Scholar] [CrossRef] [PubMed]
- Shi, T.; Li, Y.; Song, Z.; Sun, C.-P. Quantum-state transfer via the ferromagnetic chain in a spatially modulated field. Phys. Rev. A 2005, 71, 032309. [Google Scholar] [CrossRef]
- Kosloff, R. Quantum thermodynamics and open-systems modeling. J. Chem. Phys. 2019, 150, 204105. [Google Scholar] [CrossRef] [PubMed]
- Prokofev, N.V.; Stamp, P.C.E. Theory of the spin bath. Rep. Prog. Phys. 2000, 63, 669. [Google Scholar] [CrossRef]
- Taylor, J.M.; Imamoglu, A.; Lukin, M.D. Controlling a Mesoscopic Spin Environment by Quantum Bit Manipulation. Phys. Rev. Lett. 2003, 91, 246802. [Google Scholar] [CrossRef]
- Yuzbashyan, E.A.; Altshuler, B.L.; Kuznetsov, V.B.; Enolskii, V.Z. Solution for the dynamics of the BCS and central spin problems. J. Phys. A 2005, 38, 7831. [Google Scholar] [CrossRef]
- Zhang, W.; Konstantinidis, N.; Al-Hassanieh, K.A.; Dobrovitski, V.V. Modelling decoherence in quantum spin systems. J. Phys. Cond. Matt. 2007, 19, 083202. [Google Scholar] [CrossRef]
- Chen, G.; Bergman, D.L.; Balents, L. Semiclassical dynamics and long-time asymptotics of the central-spin problem in a quantum dot. Phys. Rev. B 2007, 76, 045312. [Google Scholar] [CrossRef]
- Lee, B.; Witzel, W.M.; Sarma, S.D. Universal Pulse Sequence to Minimize Spin Dephasing in the Central Spin Decoherence Problem. Phys. Rev. Lett. 2008, 100, 160505, Erratum in Phys. Rev. Lett. 2008, 100, 199901.. [Google Scholar] [CrossRef] [PubMed]
- Bortz, M.; Eggert, S.; Schneider, C.; Stubneret, R.; Stolze, J. Dynamics and decoherence in the central spin model using exact methods. Phys. Rev. B 2010, 82, 161308. [Google Scholar] [CrossRef]
- Kessler, E.M.; Giedke, G.; Imamoglu, A.; Yelin, S.F.; Lukin, M.D.; Cirac, J.I. Dissipative phase transition in a central spin system. Phys. Rev. A 2012, 86, 012116. [Google Scholar] [CrossRef]
- Rowlands, D.A.; Lamacraft, A. Noisy Spins and the Richardson-Gaudin Model. Phys. Rev. Lett. 2018, 120, 090401. [Google Scholar] [CrossRef] [PubMed]
- Villazon, T.; Polkovnikov, A.; Chandran, A. Swift heat transfer by fast-forward driving in open quantum systems. Phys. Rev. A 2019, 100, 012126. [Google Scholar] [CrossRef]
- Dong, L.; Liang, H.; Duan, C.-K.; Wang, Y.; Li, Z.; Rong, X.; Du, J. Optimal control of a spin bath. Phys. Rev. A 2019, 99, 013426. [Google Scholar] [CrossRef]
- He, W.-B.; Chesi, S.; Lin, H.-Q.; Guan, X.-W. Exact quantum dynamics of XXZ central spin problems. Phys. Rev. B 2019, 99, 174308. [Google Scholar] [CrossRef]
- Lai, C.W.; Maletinsky, P.; Badolato, A.; Imamoglu, A. Knight-Field-Enabled Nuclear Spin Polarization in Single Quantum Dots. Phys. Rev. Lett. 2006, 96, 167403. [Google Scholar] [CrossRef]
- Ding, W.; Shi, A.; You, J.Q.; Zhang, W. High-fidelity quantum memory utilizing inhomogeneous nuclear polarization in a quantum dot. Phys. Rev. B 2014, 90, 235421. [Google Scholar] [CrossRef]
- Faribault, A.; Schuricht, D. Integrability-Based Analysis of the Hyperfine-Interaction-Induced Decoherence in Quantum Dots. Phys. Rev. Lett. 2013, 110, 040405. [Google Scholar] [CrossRef]
- Claeys, P.W.; De Baerdemacker, S.; Araby, O. E; Caux, J.-S. Spin Polarization through Floquet Resonances in a Driven Central Spin Model. Phys. Rev. Lett. 2018, 121, 080401. [Google Scholar] [CrossRef] [PubMed]
- Epstein, O. The Supramolecular Matrix Concept. Symmetry 2023, 15, 1914. [Google Scholar] [CrossRef]
- Brevik, I.; Shapovalov, A.V. Effects of Low Concentration in Aqueous Solutions within the Fractal Approach. Russ. Phys. J. 2022, 65, 197–207. [Google Scholar] [CrossRef]
- Goerz, M.H.; Basilewitsch, D.; Gago-Encinas, F.; Krauss, M.G.; Horn, K.P.; Reich, D.M.; Koch, C.P. Krotov: A Python implementation of Krotov’s method for quantum optimal control. SciPost Phys. 2019, 7, 080. [Google Scholar] [CrossRef]
- Johansson, J.R.; Nation, P.D.; Nori, F. QuTiP 2: A Python framework for the dynamics of open quantum systems. Comp. Phys. Commun. 2013, 184, 1234. [Google Scholar] [CrossRef]
- Johansson, J.R.; Nation, P.D.; Nori, F. QuTiP: An open-source Python framework for the dynamics of open quantum systems. Comp. Phys. Commun. 2012, 183, 1760–1772. [Google Scholar] [CrossRef]
- Odintsov, S.D. Asymptotical conformal invariance and phase transitions induced by a curvature in curved space time with external gauss field. Ukr. Fiz. Zh. (Russ. Ed.) 1988, 33, 488–491. [Google Scholar]





Disclaimer/Publisher’s Note: The statements, opinions and data contained in all publications are solely those of the individual author(s) and contributor(s) and not of MDPI and/or the editor(s). MDPI and/or the editor(s) disclaim responsibility for any injury to people or property resulting from any ideas, methods, instructions or products referred to in the content. |
© 2024 by the author. Licensee MDPI, Basel, Switzerland. This article is an open access article distributed under the terms and conditions of the Creative Commons Attribution (CC BY) license (https://creativecommons.org/licenses/by/4.0/).
Share and Cite
Khurshudyan, M. Controlled State Transfer in Central Spin Models. Symmetry 2024, 16, 489. https://doi.org/10.3390/sym16040489
Khurshudyan M. Controlled State Transfer in Central Spin Models. Symmetry. 2024; 16(4):489. https://doi.org/10.3390/sym16040489
Chicago/Turabian StyleKhurshudyan, Martiros. 2024. "Controlled State Transfer in Central Spin Models" Symmetry 16, no. 4: 489. https://doi.org/10.3390/sym16040489
APA StyleKhurshudyan, M. (2024). Controlled State Transfer in Central Spin Models. Symmetry, 16(4), 489. https://doi.org/10.3390/sym16040489