Abstract
We present a numerical algorithm for a stochastic age-dependent cooperative Lotka–Volterra system that incorporates a partially truncated function. Since it is challenging to obtain the real solution for this system, and traditional numerical algorithms often experience blow-up phenomena, we design a partially truncated algorithm to ensure the solution remains well behaved. We further establish the convergence of the algorithm and obtain its convergence order. Finally, numerical simulations are presented to demonstrate our theoretical findings.
1. Introduction
The cooperative Lotka–Volterra (Co-LV) system is a widely used population model that represents cooperative relationships in population dynamics and ecology, such as the interactions between bees and flowers or the algal–fungal associations of lichens, etc. [1,2,3]. The dynamic nature of the system allows it to capture trends in population size and density over time, facilitating the analysis of existing data and forecasting long-time population growth trends. Consequently, it remains a primary subject of research. Khaliq et al. [4] examined the dynamics of a three-dimensional discrete-time Lotka–Volterra (LV) system, establishing conditions for solution boundedness and local stability through the equilibrium points. Jiang et al. [5] expanded an n-species non-autonomous Co-LV system with time delays and produced new criteria for the system’s dynamic properties, such as global attractivity, boundedness, permanence, and positive periodic solutions. Similarly, Cao et al. [6] studied a type of LV system with time-varying delays, analyzing the system’s dynamical behaviors using the comparison principle, multiple Lyapunov functions, and inequality methods. Taking into account the influence of uncertain factors of the external natural environment, some scholars introduced white noise into the biological mathematical models, including the Co-LV system, to describe the impact of stochastic random noise on the system [7,8,9,10,11,12,13,14]. However, the reproductive capacity of individuals in population dynamics, which plays an important role in population growth, cannot be ignored. The number of newborn individuals is related to the fertility of female individuals, which is determined by the age of females. To better capture this aspect, age-dependence has been introduced into certain dynamical systems to model the dynamic variations in the number of newborn individuals, etc (see, e.g., [15,16,17,18]). Zhang et al. [19] explored the effects of age-dependence in a stochastic population model and analyzed the system’s exponential stability. They concluded that age-dependence can alter the sufficient conditions of population stability. Lv et al. [20] introduced age-dependence into a mosquito population model and by using the contraction mapping theorem, they derived the bounded global solution and obtained the threshold dynamics of extinction and persistence of the system. A fundamental theory for age-dependent population dynamics with nonlocal diffusion was developed by Kang et al. [21], who employed an infinitesimal generator to determine the stability of the zero steady state. However, most existing studies have primarily concentrated on analyzing the asymptotic behavior and the existence of real solutions in age-dependent dynamical systems, with limited attention given to the LV system or the numerical solutions of such models.
The stochastic age-dependent Co-LV (Ad-Co-LV) system is one of the most important models in population ecology, because it effectively represents the dynamic interactions among multiple populations with reproductive capabilities and mutual benefits. For example, bees eat pollen and nectar while flowers use the bees to transmit pollen via their body hairs, with the queen bee influencing bee reproduction. Similarly, aphids feed honeydew to ants through the plant epidermis, and ants drive away aphids’ natural predators. The reproductive rates of ants are closely tied to the presence female ants. From this standpoint, examining the trajectory of Ad-Co-LV systems provides valuable insights into the current state of populations and allows for the future forecasting of population dynamics. However, as a class of stochastic partial differential equations (PDEs), the Ad-Co-LV system presents significant challenges in obtaining its real solution due to the high-order nonlinear terms. Therefore, we focus more on developing a numerical algorithm so we can use the numerical solution to approximate the system’s real solution. The Euler–Maruyama (EM) algorithm, known for its simplicity, has several advantages, including a straightforward algebraic expression and low computational costs. Many scholars have applied this algorithm to different dynamic systems with age-dependence, and have obtained detailed and valuable research results. Li et al. [22,23,24] applied the EM algorithm to population models with age-dependence and different noise disturbances, establishing the sufficient conditions for the algorithm’s convergence. Additionally, they explored the influence of different noise disturbances on the convergence speed of the algorithm. Based on the properties of nonlinear algebraic structures, Nwaigwe and Micula [25] established an operator-based approach combined with a Krasnoselskij iterative scheme and Newton–Cotes quadrature rule. This method eliminates the need for solving algebraic systems, offering an efficient numerical technique. They also established that the algorithm’s convergence order is . For the stochastic AD-Co-LV system, Zhang et al. [26] employed the EM technique to determine the pth-moment boundedness and convergence rate of the algorithm. However, due to the high-order nonlinear terms in the system, the EM algorithm led to explosive behavior with increased errors and instability. References [27,28] introduced the truncated EM algorithm, an explicit and easily implementable method designed to address challenges in random population systems. They analyzed the convergence and stability of the algorithm, concluding that under the local Lipschitz condition and the Khasminskii-type condition , the truncated EM method had a convergence order of , for , where p is the parameter in the Khasminskii-type condition. From this, it can be seen that the convergence order of the truncated EM method depends on this parameter. In Reference [29], the authors discussed the Cox–Ingersoll–Ross (CIR) model with fractional Brownian motion. They found that the method not only ensures the positivity of the numerical solution but also achieves an H-order rate for the root mean square error over a finite time interval. Subsequently, references [30,31] optimized the partially truncated function and constructed the partial truncated EM (PTEM) algorithm, which obtained the effectiveness and convergence rate of the numerical approximate solution. Zhang [32] applied the PTEM algorithm to the stochastic AD-Co-LV system, obtaining the numerical solution and proving the boundedness of the algorithm. However, the study did not address the convergence order of the approximate solution. To address the gaps in this previous research, we focus on the following key contributions:
- We develop a PTEM algorithm for nonlinear, high-order stochastic AD-Co-LV systems that do not satisfy the Khasminskii-type condition, demonstrating the convergence of both numerical solutions and iterative procedures.
- Based on the bounds of the PTEM algorithm, we establish the convergence order of the algorithm, with the results surpassing those reported in the existing literature.
This paper is organized as follows: In Section 2, we provide a brief overview of the main findings from references [26,32] and some preliminary concepts. In Section 3, we introduce the PTEM approximation approach and estimate its p-th moment for an AD-Co-LV system with linear noise. In Section 4, we provide numerical examples to validate our theoretical results. Section 5 presents the conclusions.
2. Mathematical Preliminaries
This section consists of two parts. Relevant notation and background knowledge are introduced in Section 2.1. To keep the paper self-contained, the system and some lemmas used in the subsequent proofs are presented in Section 2.2.
2.1. Notations and Basic Concepts
In this paper, unless otherwise specified, let be a complete probability space with a filtration satisfying the usual conditions (i.e., it is increasing, right-continuous, and contains all -null sets). denotes the expectation corresponding to . is the positive cone in . For two real numbers, a and b, we use and .
For , its norm is denoted as
For a set , its indicator function is denoted by
The precise definitions of the space, norm, and associated space operations utilized in this study are presented in Table 1.
Table 1.
Space and operation symbols in System (1).
2.2. Model Formulation and Assumptions
By [26], the stochastic AD-Co-LV system can be described as
Here, represents a standard Brownian motion defined on a complete probability space and denote the noise intensities of the Brownian motion. All coefficients in System (1) are continuous and bounded functions for . Table 2 provides a detailed and precise description of the biological meanings of the coefficients and parameters in System (1). Due to the integrability of System (1) with respect to time t and age a, we restate System (1) as System (2) for clarity.
Table 2.
Parameters and biological significance in System (1).
The integral form of system (1) can be described as
Assumption 1.
Based on the actual situation concerning the biological background and algebraic structure of System (1), we introduce the following assumptions.
; .
The fertility rate of females .
and satisfies for
and is nondecreasing with , for
and ; .
Remark 1.
The biological significance of Assumptions (A1)–(A5) is explained as follows:
Considering that the reproductive period of female species in nature is continuous and limited, we model the phenomenon using an integral. Specifically, as the age a approaches A for species ν, the number of new individuals born at time t is . This interpretation is analogous for species μ.
The fertility rates of females in species ν and μ are represented by the continuous functions and , respectively, indicating the absence of abrupt external disturbances (other than white noise) that temporarily affect the fertility rates of the species.
The rate of interspecific cooperation is lower than the rate of intraspecific rivalry. This assumption is primarily employed to demonstrate the existence of a global positive solution for the system.
In order to provide a detailed summary of population fertility, we assume that newly born species have no fertility but may die due to diseases or sudden external disasters. Therefore, we require the condition “”. Meanwhile, this article does not consider the situation of population extinction. Therefore, we assume that the reproductive capacity of species with age a satisfies “”.
The values of and are derived from actual data using the least-squares method. Biologically, this indicates that the intrinsic growth rate of species ν at age 0 is inferior to . This condition guarantees that the system possesses the global solution.
Lemma 1.
Under Assumption 1, for any given initial value , there exists a unique global solution of system (1) on W. Moreover, the solution is nonnegative with probability 1 and for any , we have
Proof.
Please refer to [26] for the proof. □
3. Convergence of the PTEM Algorithm
In this section, we revisit the PTEM algorithm. Since the truncated algorithm is designed to handle coefficients with super-linearly growing, it is unnecessary to truncate the linearly growing coefficient. We begin with the following remark.
Remark 2.
We now describe the PTEM numerical algorithm, which is derived from the truncated EM approach. First, , is a strictly increasing, continuous function such that and
From the definition of the inverse function of , it follows that is a strictly increasing continuous function.
Secondly, , , is a strictly decreasing function such that . The functions defined above satisfy the following inequality:
Using the functions f and h, we define the truncated mapping for any step size :
where we set and when and , respectively.
Next, for any , we define the truncated functions and as follows:
and
Thus, we have
The discrete PTEM numerical solution for system (1) can be stated as follows:
where and is the integer part of . , and , respectively.
According to Remark 2, the other continuous-time process of PTEM numerical solution of system (3) is defined as
where the step processes are defined as
It is easy to observe that for all . Now, we introduce some established results as lemmas, which are useful for the proofs of our main results.
Lemma 2.
Under Assumption 1 and for all , we have
and
where is the continuous-time process of the PTEM numerical solution.
Proof.
This lemma is from reference [32]; we will omit the proof here. □
Lemma 3.
Let Assumption 1 and hold; then, for all , , we have
Proof.
For any , there is a unique such that ; thus, fixing any and by system (4), Lemma 2, and using the Hölder inequality, we deduce
where is a constant throughout the species ν reduction process, subject to variation based on specific conditions. Using the same method for the species μ, we obtain
By the inequalities (5) and (6), we can deduce
where C is a constant that varies depending on the situation, unless otherwise specified in this paper. □
Corollary 1.
Let Assumption 1 and hold; then, for all and , we have
Proof.
This follows directly from Lemma 3 by . □
We have examined the convergence order of the numerical solution and the step size procedure of the PTEM algorithm. Now, we will employ this conclusion to demonstrate the convergence of the numerical and real solution of the PTEM algorithm. Consequently, we initially present the following lemma as a scaling instrument for ensuing proofs.
Lemma 4.
Proof.
See reference [26] for the proof of this lemma. □
Theorem 1.
Under Assumption 1, for any positive constant , we define the stopping time
Then, we have
where C is a positive constant that is only related to T and .
Proof.
According to Remark 2, Lemma 4 and System (2), we obtain
By the definition and properties of the inner product, we have
where means the maximum value of . By Lemma 4 and substituting (8) into (7), we obtain
and
where and . Then, for any , using the Gronwall inequality, we have
□
Definition 1.
For any positive constant and , we define the truncated stopping time as follows:
Theorem 2.
Under Assumption 1, we have
where C is a positive constant which only relates to T and .
Proof.
For simplicity, we write as and using the Itô formular, we have
By Lemma 4 and inequality (8), we can derive that
We apply the same method to species , and then can be estimated as follows:
Using the Corallary 1 and Assumption 1, we have
According to Lemma 3, we can obtain that
Substituting (12) into (11), we deduce that
Applying the same method to , we have
Then by Corallary 1, inequalities (13) and (14), we can obtain that
According to the Gronwall inequality, we obtain
which implies
□
Remark 3.
We have demonstrated, from the perspectives of stopping time and probability, that the stopping time of the true solution is constrained by probability (Theorem 1), and the stopping time of PTEM numerical solution is also constrained by probability (Theorem 2). Precise probability estimates were derived, depending on the initial values , and the expression of T. This study primarily focuses on analyzing the difference between the true solution and the PTEM numerical solution (Theorem 3), while Theorems 1 and 2 offer effective estimation techniques for addressing future error analysis challenges.
Next, we prove one of the final theorems of this paper, which establishes the strong convergence between the numerical and the true solutions. For convenience, we begin by introducing the notation as follows:
Theorem 3.
Let Assumption 1 and hold. For any and , we have
Proof.
Using the Itô formula to , for any , we can derive
For the convenience of the following proof, we introduce some notation.
According to the definition of inner product and age-dependent term, we obtain
By Lemma 4, we have
where denotes the Lipschitz coefficient of the linear component of species . Then, using the Young inequality and Lemma 3, we obtain
By Lemmas 1 and 2 and the Young inequality, we have
Using the Lemmas 2 and 3, we obtain
Repeating this procedure for and by the Gronwall inequality, we obtain the desired result. □
Remark 4.
This article is an extended research work based on the author’s reference [32]. The stochastic AD-Co-LV system effectively captures the dynamic characteristics of cooperative species in nature. Therefore, based on the inherent reproductive development laws of the species, we assume conditions – and provide the detailed biological significance of Assumption 1. At the same time, these conditions will also be helpful in the subsequent proof process. References [27,28,30] studied the application of the PTEM algorithm in population models, demonstrating that its convergence order is less than p, but this was under the assumption that the high-order terms of the system satisfy the Khasminskii-type condition. However, the system presented in this article does not meet this condition. Therefore, handling nonlinear high-order terms in the system is a difficult task and the main contribution of this paper. At the same time, this article extends the convergence order to p, which means that our convergence order is strengthened compared to the original research work. This is the main difference between this article and the relevant references.
4. Examples and Simulations
In this section, we explore the stochastic AD-Co-LV system and simulate its numerical approximation using the PTEM scheme. Table 3 provides the specific values for the parameters and functions in System (1). Unless otherwise stated, the age variable a is confined in .
Table 3.
Specific values for relevant parameters and functions in System (1).
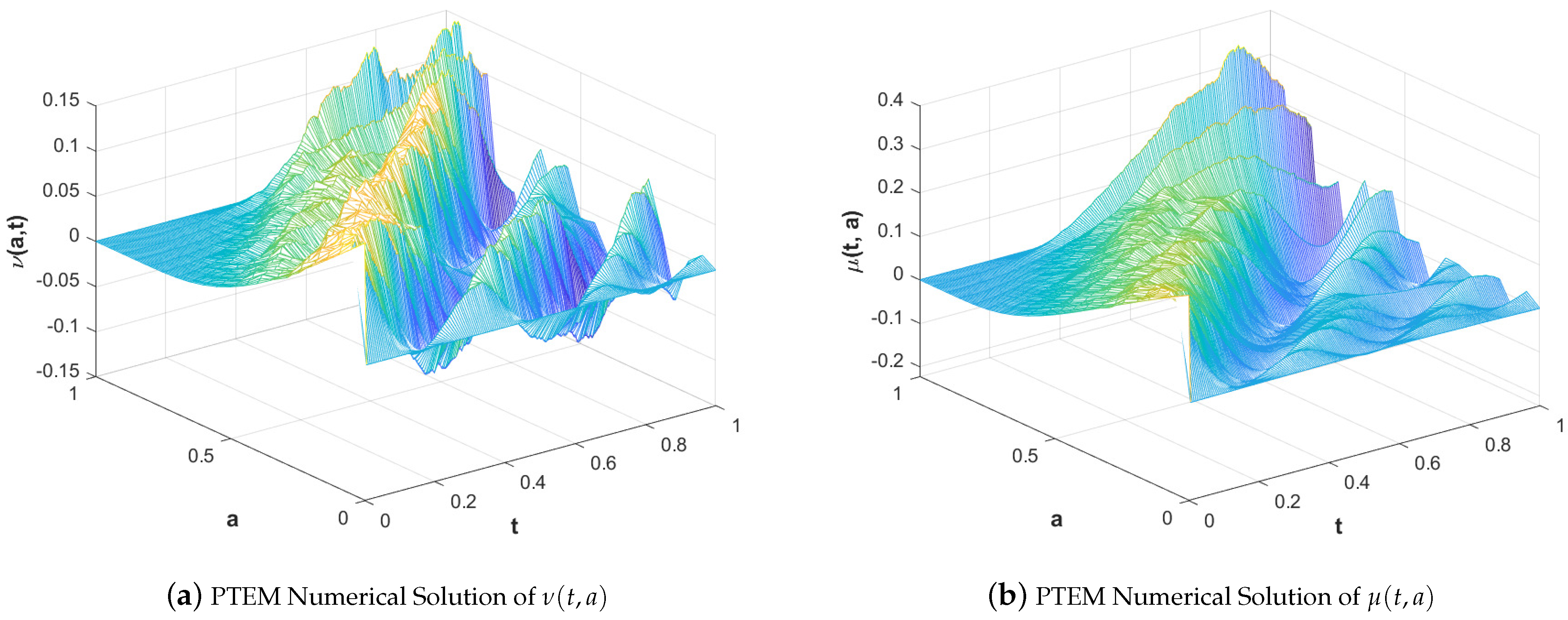
To test the effectiveness of the PTEM algorithm described in this study, we first simulated the true solutions and of System (1) without applying the PTEM algorithm, as shown in Figure 1. The coefficients are listed in Table 3. Figure 1a,b demonstrate that the analytical solution exhibits a high-frequency vibration, with no blasting phenomenon within a finite time, aligning with Theorem 1.
Figure 1.
The true solutions of species and in System (1).
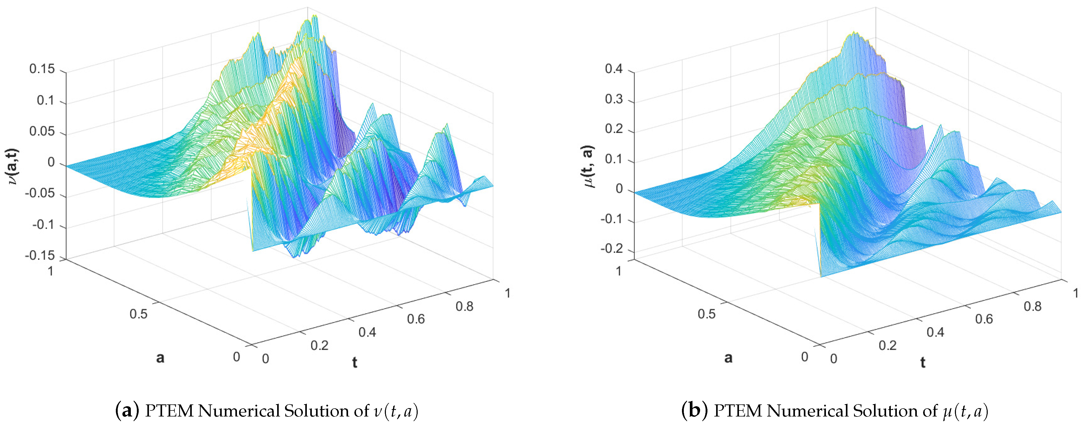
Additionally, we simulated the PTEM algorithm trajectories of populations and in System (1) using Table 3. Figure 2a,b demonstrate that the numerical solution of system (1) does not exhibit explosive behavior and is bounded within a finite time, which is consistent with Theorem 2. Comparing Figure 1 and Figure 2, we observed that for the same initial conditions, the interval range for the PTEM solution is , whereas the interval range without PTEM is . A similar phenomenon is observed for , where the PTEM solution interval is , compared to without PTEM. This comparison highlights the significance of the truncation function in the PTEM algorithm, implying that the partially truncated numerical algorithm developed in this paper is both robust and effective.
Figure 2.
The PTEM numerical solutions of species in System (1).
In order to test the effectiveness of the PTEM algorithm and reflect the role of the truncation function in the simulation process, we created contour lines for the two species in Figure 3. It can be seen that the proportion of the two species with large numbers is quite low, demonstrating the significant influence of the truncation function.
Figure 3.
Vertical perspective and contour lines in System (1).
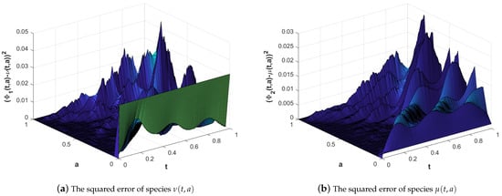
To estimate the convergence of the PTEM algorithm in System (1), this paper numerically estimates the error by comparing the numerical solution with the analytical solution of System (1). As shown in Figure 4, the accuracy of the algorithm for species does not exceed 0.2, while the error for species is between −0.2 and 0.1.
Figure 4.
The error simulation of species and in System (1).
To verify the convergence order of the PTEM algorithm of System (1), we simulate the convergence order of the errors between species and species . From Figure 5, it can be seen that the convergence rate of the species increases with the convergence order, aligning with Theorem 3.
Figure 5.
The squared error simulation of species in System (1).
5. Conclusions and Future Research
This paper investigates the strong convergence of the PTEM algorithm for a stochastic AD-Co-LV system. Due to the explosive behavior caused by the system’s high-order nonlinear terms in numerical simulations, we proposed a PTEM numerical solution to approximate the exact solution of the stochastic AD-Co-LV system. We successfully applied the PTEM scheme to System (2) within a suitable domain and examined its equilibrium points. Furthermore, we demonstrated the convergence of the p-th order moment between the numerical and the exact solutions through a continuous step process (see Theorem 3). Finally, we presented some numerical experiments that validate our theoretical findings.
The LV differential equation effectively models the growth patterns of various natural populations, making it a topic of considerable interest. The Volterra integral equation, being closely related to the LV differential equation, serves as its counterpart since differentiation and integration are inverse operations. Based on references [33,34], an intriguing question arises: can the PTEM algorithm developed for stochastic differential equations in this study be extended to Volterra integro-differential equations with a similar nonlinear algebraic structure? This is an interesting subject that the authors of this paper should investigate further.
Author Contributions
Conceptualization, M.Z. and Q.Z.; methodology, M.Z. and Q.Z.; software, M.Z. and J.T.; validation, M.Z., Q.Z. and J.T.; formal analysis, M.Z.; investigation, Q.Z.; resources, M.Z.; data curation, M.Z.; writing—original draft preparation, M.Z. and J.T.; writing—review and editing, M.Z.; visualization, J.T.; supervision, M.Z. and J.T.; project administration, M.Z.; funding acquisition, M.Z. All authors have read and agreed to the published version of the manuscript.
Funding
This work was jointly supported by the Ningxia Natural Science Foundation (2023AAC03277), the Scientific research projects in higher education institutions (NYG2024083) and the Research Start-Up Project of North Minze University (2021KYQD33).
Data Availability Statement
Data is contained within the article.
Acknowledgments
We are thankful to the editor and the anonymous reviewers for several pertinent questions and suggestions to improve this paper.
Conflicts of Interest
The authors declare that they have no conflicts of interest.
References
- Liang, F.; Jiang, J.; Zhang, X. Global dynamics of 3D cooperative Lotka-Volterra system with the identical intrinsic growth rate. Bull. Sci. Math. 2024, 191, 103382. [Google Scholar] [CrossRef]
- Murray, J. Mathematical Biology; Springer: Berlin/Heidelberg, Germany, 1989. [Google Scholar]
- Fang, H. Existence of eight positive periodic solutions for a food-limited two-species cooperative patch system with harvesting terms. Commun. Nonlinear Sci. 2013, 18, 1857–1869. [Google Scholar] [CrossRef]
- Khaliq, A.; Ibrahim, T.; Alotaibi, A.; Shoaib, M.; EI-Moneam, M. Dynamical Analysis of Discrete-Time Two-Predators One-Prey Lotka-Volterra Model. Mathematics 2022, 10, 4015. [Google Scholar] [CrossRef]
- Jiang, Z.; Halik, A.; Muhammadhaji, A. Dynamics in an n-Species Lotka-Volterra Cooperative System with Delays. Axioms 2023, 12, 501. [Google Scholar] [CrossRef]
- Cao, L.; Halik, A.; Muhammadhaji, A. Further Studies on the Dynamics of a Lotka-Volterra Competitor-Competitor-Mutualist System with Time-Varying Delays. Mathematics 2023, 11, 2902. [Google Scholar] [CrossRef]
- Zhao, Y.; Wang, L. Practical exponential stability of impulsive stochastic food chain system with time-varying delays. Mathematics 2023, 11, 147. [Google Scholar] [CrossRef]
- Xiao, H.; Li, Z.; Zhang, Y.; Lin, H.; Zhao, Y. A dual rumor spreading model with consideration of fans versus ordinary people. Mathematics 2023, 11, 2958. [Google Scholar] [CrossRef]
- Rao, R.; Zhu, Q. Synchronization for reaction-diffusion switched delayed feedback epidemic systems via impulsive control. Mathematics 2024, 12, 447. [Google Scholar] [CrossRef]
- Ren, Y.; Xiong, J.; Yang, X.; Zhou, X. On the extinction-extinguishing dichotomy for a stochastic Lotka-Volterra type population dynamical system. Stoch. Proc. Appl. 2022, 150, 50–90. [Google Scholar] [CrossRef]
- Cao, N.; Fu, X. Stationary distribution and extinction of a Lotka-Volterra model with distribute delay and nonlinear stochastic perturbations. Chaos Solitons Fractals 2023, 169, 113246. [Google Scholar] [CrossRef]
- Zuo, W.; Jiang, D.; Sun, X.; Hayat, T.; Alsaedi, A. Long-time behaviors of a stochastic cooperative Lotka-Volterra system with distributed delay. Phys. A 2018, 506, 542–559. [Google Scholar] [CrossRef]
- Liu, Q. Analysis of a stochastic non-autonomous food-limited Lotka-Volterra cooperative model. Appl. Math. Comput. 2015, 254, 1–8. [Google Scholar] [CrossRef]
- Zhao, Y.; Lin, H.; Qiao, X. Persistence, extinction and practical exponential stability of impulsive stochastic competition models with varying delays. Aims Math. 2023, 8, 22643–22661. [Google Scholar] [CrossRef]
- Lu, R.; Wei, F. Persistence and extinction for an age-structured stochastic SVIR epidemic model with generalized nonlinear incidence rate. Phys. A 2019, 513, 572–587. [Google Scholar] [CrossRef]
- Zhang, Q.; Liu, W.; Nie, Z. Existence, uniqueness and exponential stability for stochastic age-dependent population. Appl. Math. Comput. 2004, 154, 183–201. [Google Scholar] [CrossRef]
- Rao, A.; Rao, J. Stationary status of discrete and continuous age-structured population models. Math. Biosci. 2023, 364, 109058. [Google Scholar]
- Besbeas, P.; McCrea, R.; Morgan, B. Selecting age structure in integrated population models. Ecol. Model. 2022, 473, 110111. [Google Scholar] [CrossRef]
- Zhang, X.; Liu, Z. Periodic oscillations in age-structured ratio-dependent predator-prey model with Michaelis-Menten type functional response. Phys. D 2019, 389, 51–63. [Google Scholar] [CrossRef]
- Lv, Y.; Pei, Y.; Yuan, R. On a periodic age-structured mosquito population model with spatial structure. Nonlinear Anal. Real World Appl. 2021, 61, 103337. [Google Scholar] [CrossRef]
- Kang, H.; Ruan, S.; Yu, X. Age-structured population dynamics with nonlocal diffusion. J. Dyn. Differ. Equ. 2022, 34, 789–823. [Google Scholar] [CrossRef] [PubMed]
- Li, R.; Meng, H.; Chang, Q. Convergence of numerical solutions to stochastic age-dependent population equations. J. Comput. Appl. Math. 2006, 193, 109–120. [Google Scholar]
- Li, R.; Leung, P.; Pang, W. Convergence of numerical solutions to stochastic age-dependent population equations with Markovian switching. J. Comput. Appl. Math. 2009, 233, 1046–1055. [Google Scholar] [CrossRef]
- Li, R.; Pang, W.; Wang, Q. Numerical analysis for stochastic age-dependent population equations with Poisson jumps. J. Math. Anal. Appl. 2007, 327, 1214–1224. [Google Scholar] [CrossRef][Green Version]
- Nwaigwe, C.; Micula, S. Fast and Accurate Numerical Algorithm with Performance Assessment for Nonlinear Functional Volterra Equations. Fractal Fract. 2023, 7, 333. [Google Scholar] [CrossRef]
- Zhang, M.; Zhang, Q.; Tian, J.; Li, X. The asymptotic stability of numerical analysis for stochastic age-dependent cooperative Lotka-Volterra system. Math. Biosci. Eng. 2021, 18, 1425–1449. [Google Scholar] [CrossRef] [PubMed]
- Mao, X. The truncated Euler-Maruyama method for stochastic differential equations. J. Comput. Appl. Math. 2015, 290, 370–384. [Google Scholar] [CrossRef]
- Mao, X. Convergence rates of the truncated Euler-Maruyama method for stochastic differential equations. J. Comput. Appl. Math. 2016, 296, 362–375. [Google Scholar] [CrossRef]
- Gao, X.; Wang, J.; Wang, Y.; Yang, H. The truncated Euler-Maruyama method for CIR model driven by fractional Brownian motion. Stat. Probabil. Lett. 2022, 189, 109573. [Google Scholar] [CrossRef]
- Guo, Q.; Liu, W.; Mao, X.; Yue, R. The partially truncated Euler-Maruyama method and its stability and boundedness. Appl. Numer. Math. 2017, 115, 235–251. [Google Scholar] [CrossRef]
- Li, Y.; Ye, M.; Zhang, Q. Strong convergence of the partially truncated Euler-Maruyama scheme for a stochastic age-structured SIR epidemic model. Appl. Math. Comput. 2019, 362, 124519. [Google Scholar] [CrossRef]
- Zhang, M. The boundedness of partially truncated Euler-Maruyama numerical algorithm in age structured random cooperative Lotka-Volterra model. J. Appl. Math. 2023, 46, 865–877. [Google Scholar]
- Chauhan, H.; Singh, B.; Tunç, C.; Tunç, O. On the existence of solutions of non-linear 2D Volterra integral equations in a Banach Space. Rev. Real Acad. Cienc. Exactas Fis. Nat. Ser. A Mat. 2022, 116, 101. [Google Scholar] [CrossRef]
- Tunç, C.; Tunç, O. A note on the qualitative analysis of Volterra integro-differential equations. J. Taibah. Univ. Sci. 2019, 13, 490–496. [Google Scholar] [CrossRef]
Disclaimer/Publisher’s Note: The statements, opinions and data contained in all publications are solely those of the individual author(s) and contributor(s) and not of MDPI and/or the editor(s). MDPI and/or the editor(s) disclaim responsibility for any injury to people or property resulting from any ideas, methods, instructions or products referred to in the content. |
© 2024 by the authors. Licensee MDPI, Basel, Switzerland. This article is an open access article distributed under the terms and conditions of the Creative Commons Attribution (CC BY) license (https://creativecommons.org/licenses/by/4.0/).




