Next Article in Journal
Interval Forecast Method for Wind Power Based on GCN-GRU
Next Article in Special Issue
Gauge Covariance of the Gap Equation: From the Rainbow Truncation to Gauge Symmetry Constraints
Previous Article in Journal
A Novel Approach for Multi-Criteria Decision-Making Problem with Linguistic q-Rung Orthopair Fuzzy Attribute Weight Information
Previous Article in Special Issue
Extraordinary Nature of the Nucleon Scalar Charge and Its Densities as a Signal of Nontrivial Vacuum Structure of QCD
 
 
Font Type:
Arial Georgia Verdana
Font Size:
Aa Aa Aa
Line Spacing:
Column Width:
Background:
Review

Axial-Vector and Tensor Spin Polarization and Chiral Restoration in Quark Matter

by
Tomoyuki Maruyama
1,* and
Toshitaka Tatsumi
2
1
College of Bioresource Sciences, Nihon University, Fujisawa 252-0880, Japan
2
Independent Researcher, Kitashirakawa Kamiikeda-cho 52-4, Kyoto 606-8287, Japan
*
Author to whom correspondence should be addressed.
Symmetry 2024, 16(12), 1642; https://doi.org/10.3390/sym16121642
Submission received: 6 November 2024 / Revised: 2 December 2024 / Accepted: 9 December 2024 / Published: 11 December 2024
(This article belongs to the Special Issue Chiral Symmetry, and Restoration in Nuclear Dense Matter)

Abstract

We study spontaneous the spin polarization of quark matter with flavor S U ( 2 ) symmetry at zero temperature in the NJL model. In a relativistic framework, there are two types of spin–spin interactions: axial vector (AV) and tensor (T), which accordingly give rise to different types of spin-polarized materials. When the spin–spin interaction is sufficiently strong, the spin-polarized phase emerges within a specific density region. As the spin–spin interaction becomes stronger, this phase extends over a higher-density region beyond the critical density of chiral restoration in normal quark matter. We show that the spin-polarized phase leads to another kind of spontaneous chiral symmetry breaking phase.

1. Introduction

The discovery of magnetars, neutron stars with extremely strong magnetic fields of the order of O 10 15 G, has reignited the long-standing question regarding the origin of intense magnetic fields in neutron stars [1,2,3,4,5,6]. Various theories have proposed mechanisms for the generation and persistence of these magnetic fields throughout neutron star evolution [5,6], but a comprehensive explanation has yet to be established.
It was shown in Refs. [7,8] that magnetars may contain both poloidal and toroidal magnetic field components within their interiors, with the latter being approximately 10 2 times stronger than the former. Then, it should be interesting to study the internal properties of hadronic matter as a microscopic origin of such strong magnetic fields in neutron stars. It may also provide some clue to solve the “magnetar” problem.
In recent years, theoretical and experimental research has extensively examined the QCD phase diagram in the temperature–density plane. This diagram is believed to be intimately linked to phenomena observed in relativistic heavy-ion collisions [9,10,11,12], compact stars [13,14,15], and the early universe [16,17]. Notably, extensive studies have been conducted on quark–gluon plasma (QGP) in the high-temperature, low-density regime, and the restoration of the spontaneous breaking of chiral symmetry or color superconductivity (CSC) in the high-density, low-temperature regime [9,12,18].
In dense matter, ferromagnetic properties can be realized when spin polarization (SP) occurs collectively among charged particles like baryons or quarks, highlighting the significance of spin interactions. The spontaneous spin polarization or magnetization of strongly interacting matter is important for understanding the origin of strong magnetic fields. In Ref. [19], one of the authors (T.T.) proposed the possibility of a ferromagnetic transition in QCD. This transition could appear in quark matter due to one-gluon exchange interactions, with a critical density similar to nuclear density.
Using this idea, we can estimate the magnetic field strength at the surface of compact stars. For a star with a mass of M 1.4 M and a radius of R 10 km, and assuming a dipole field structure, the maximum surface magnetic field strength can be estimated as B max = ( 8 π / 3 ) f Q μ q ρ 0 , where f Q represents the quark matter volume fraction, and μ q , the quark magnetic moment. In the extreme case, where f Q = 1 , this gives B max O ( 10 15 17 ) G, which agrees with observational data. This approach uses a perturbative calculation based on the Bloch mechanism, similar to methods in electron gas systems [20,21,22,23].
Within the relativistic framework, we examine two types of spin density operators [24]: the first is the spatial component of the axial-vector (AV) current operator, defined as ψ Σ i ψ ( ψ ¯ γ 5 γ i ψ ) , and the second is the spatial component of the tensor (T) operator, ψ γ 0 Σ i ψ ( ϵ i j k 2 ψ ¯ σ j k ψ ) , where ψ represents the Dirac field. While these two operators are equivalent in the non-relativistic limit, they diverge significantly in behavior in the ultra-relativistic (massless) limit [24]. Throughout this text, we refer to the former as the AV-type spin operator and the latter as the T-type operator.
The chiral symmetry plays a crucial role in quark matter, and there have been many effective models of QCD proposed such as the chiral quark mean field model [25,26,27] and the NJL model [28]. Here, we use the NJL model, for example, which allows for the inclusion of axial-vector (AV) and tensor (T) interactions. The NJL model, centered on four-fermion interactions, offers a simpler yet effective tool for investigating spin-polarized phases in quark matter, particularly the interplay between spin polarization and chiral symmetry restoration at high densities.
We examined the magnetic properties of quark matter using a non-perturbative approach incorporating AV-type and T-type spin operators. Starting from the AV interaction, we have analyzed the spin polarization (SP) mechanism within the mean field approximation, demonstrating the possible coexistence of SP and CSC [29]. We also studied the magnetic properties of the dual chiral density wave (DCDW) phase, an inhomogeneous chiral structure [30]. Maedan further explored SP in the NJL model [28] under the AV mean field [31]. In these systems, SP typically emerges at high densities when the quark mass remains constant. However, as the quark mass approaches zero, the AV mean field diminishes, indicating that spin-polarized phases are confined to a specific density range.
Later, we introduced the T interaction into quark matter and found that it behaves differently from the case of the AV interaction in manifesting spin-polarized phases. Unlike the AV-type SP, the T-type SP can appear even when the quark mass is zero [32,33]. In fact, Tsue et al. [34] showed that SP arises in the density region beyond the critical density of the spontaneous breaking of the chiral symmetry of normal quark matter, where the quark dynamical mass vanishes, using the NJL model with an effective potential approach.
Subsequently, we introduced the T interaction into quark matter and discovered distinct behavior in the emergence of spin-polarized phases compared to the AV interaction. Unlike AV-type SP, T-type SP can develop even in the absence of quark mass [32,33]. Tsue et al. [34] demonstrated that SP emerges in regions beyond the critical density for spontaneous chiral symmetry breaking in normal quark matter. In this chirally restored phase, where the quark dynamical mass vanishes, SP is achieved through the NJL model with an effective potential approach.
In these analyses, we adopted the mean field approximation, incorporating AV and T channel interactions and introducing the corresponding mean fields. AV-type interactions in quark matter, for instance, can be derived from the perturbative one-gluon exchange (OGE) interaction via the Fierz transformation. Conversely, T-type interactions likely stem from non-perturbative QCD effects, similar to those observed in effective hadron–hadron interactions [35,36]. Therefore, effective QCD models should account for both types of interactions. To date, various studies have explored the relationship between SP and other phases at high baryon-number densities, including the coexistence of SP with CSC [29,34,37,38], as well as spatially homogeneous [31,33,39,40,41] and inhomogeneous chiral condensations [30,42]. These studies indicate that AV- and T-type mean fields respond differently to dynamical chiral symmetry breaking: the AV-type spin-polarized phase cannot emerge when the dynamical quark mass is zero, whereas the T-type spin-polarized phase can still manifest. Consequently, examining the relationship between AV- and T-type SPs and their role in chiral symmetry restoration is essential.
Furthermore, in Fermi degenerate systems, magnetic fields are primarily coupled to the term proportional to the tensor density, ψ γ 0 Σ i ψ . This suggests that AV- and T-type spin-polarized phases may exhibit distinct magnetic properties.
Interestingly, we shall see the deformation of the Fermi surface, which also differs between these two types of SP: in the AV-type phase, the Fermi surface is prolate, while in the T-type phase, it is oblate. This deformation is significant and may have large effects on the system’s properties such as thermal transport or conductivity.
To systematically investigate these effects, this paper employs the NJL model, treating AV and T interactions separately to analyze spin-polarized phases.
The organization of this paper is as follows. In the Section 2, we present the framework used for our analysis. Section 3 provides the results of the numerical calculations and discusses the relationship between spin polarization and chiral restoration. In this section, we omit vacuum polarization effects on spin polarization due to the unresolved ambiguity in its treatment. Finally, Section 4 summarizes our findings and offers concluding remarks.

2. Formalism

2.1. Lagrangian

In this section, we present our approach to modeling spin-polarized systems. A preferred direction arises along the axis of spin polarization, which we set to point in the positive z-direction. This setup breaks spherical symmetry, while preserving axial symmetry around the z-axis.
As introduced, spin-polarization in quark matter arises from two types of spin–spin interactions in the axial-vector (AV) and tensor (T) channels. We describe spin-polarized systems using the following Lagrangian density, which preserves flavor S U ( 2 ) chiral symmetry:
L = L K + L S + L V + L A + L T
with
L K = ψ ¯ ( i m ) ψ ,
L S = G s 2 ( ψ ¯ ψ ) 2 ( ψ ¯ γ 5 τ ψ ) 2 ,
L V = G V 2 ( ψ ¯ γ μ ψ ) ( ψ ¯ γ μ ψ ) G V 2 ( ψ ¯ γ μ τ a ψ ) ( ψ ¯ γ μ τ a ψ ) ,
L A = G A 2 ( ψ ¯ γ 5 γ μ ψ ) ( ψ ¯ γ μ γ 5 ψ ) G A 2 ( ψ ¯ γ 5 γ μ τ a ψ ) ( ψ ¯ γ μ τ a γ 5 ψ ) ,
L T = G T 2 ( ψ ¯ σ μ ν ψ ) ( ψ ¯ σ μ ν ψ ) ( ψ ¯ τ a γ 5 σ μ ν ψ ) ( ψ ¯ τ a σ μ ν γ 5 ψ ) ,
where ψ is the quark field operator, m is the quark current mass, and τ a ( a = 1 , 2 , 3 ) denotes the Pauli matrices in isospin space. The constants G s and G T are the coupling constants for the scalar and T channels, respectively, while G V , G A , G V , and G A are the coupling constants for the isoscalar vector, isoscalar AV, isovector vector, and isovector AV channels, respectively.
Here, we discuss the relationship between chiral symmetry and each interaction channel. The scalar channel of the Lagrangian respects chiral symmetry; however, only the scalar interaction generates a mean field, leading to spontaneous chiral symmetry breaking. Note that each term in this channel does not preserve S U ( 2 ) chiral symmetry. Similarly, the T channel in Equation (6) satisfies S U ( 2 ) chiral symmetry, but each term individually does not preserve any chiral symmetry, while all terms in the vector channel in Equation (4) and the AV channel in Equation (5) satisfy S U ( 2 ) chiral symmetry. This suggests that the T mean field contributes to spontaneous chiral symmetry breaking.

2.2. Quark Propagator and Mean Field Approximation

In this work, we focus on isospin-symmetric matter, where the densities of u-quark and d-quark are equal, and discard isovector terms from the Lagrangian. In addition, isovector spin-polarized phases, where the polarized spin direction is opposite for u- and d-quarks, are possible even in isospin-symmetric matter. These phases are determined by the values and signs of the couplings, G A , G A , and G T , but the expressions of the iso-scalar and isovector SPs are the same after the simple transformation, which is discussed later. Then, we, in the following, assume the iso-scalar spin-polarized phases in the actual expressions by omitting G A .
With the assumption of a spatially uniform spin polarization, the Dirac spinor u ( p , s ) of the quark with momentum p = ( p T , p z ) is derived as the solution of the equation
p M q U 0 γ 0 U A γ 0 Σ z U T Σ z u ( p , s ) = 0 ,
within the mean field approximation, with Σ z = diag ( 1 , 1 , 1 , 1 ) , where the dynamical mass and each mean field render are as follows:
M q = G s ρ s = G s < ψ ¯ ψ > ,
U 0 = G V ρ q = G V < ψ ¯ γ 0 ψ > ,
U A = G A ρ A = G A < ψ ¯ γ 0 Σ z ψ > ,
U T = G T ρ T = G T < ψ ¯ Σ z ψ > .
The vector mean field, U 0 , serves solely to shift the single-particle energy and has no effect on spin properties. Without the vector mean field U 0 , the quark chemical potential μ does not increase monotonically with density, resulting in a density range that becomes inaccessible. In normal quark matter, the spontaneous breaking of chiral symmetry is restored at the density corresponding to the maximum chemical potential, with this transition being of the first order. As the vector coupling strength G V increases, the transition density shifts higher, and, when G V is sufficiently large, the phase transition becomes second-order.
Thus, we can control the feature of the phase transition by tuning the strength of the vector interaction. However, it does not essentially change properties of matter, especially the magnetic properties; its only role is to exclude some density region in the chiral symmetry breaking phase. We, hereafter, assume that the vector coupling G V is large and that the chiral phase transition is of the second order. For simplicity, in addition, we rewrite p 0 U 0 to p 0 and eliminate U 0 in the following formulation.
To proceed, we introduce the quark propagator. The quark propagator S ( p ) is given by the following equation:
K ˜ S ( p ) = 1 .
with
K ^ p M q U A γ 0 Σ z U T Σ z .
The single-particle energy p 0 is obtained as a solution to the following equation:
det [ K ^ ] = ( p 0 2 E p 2 ) 2 2 p 0 2 ( U A 2 + U T 2 ) 8 p 0 M q U A U T 2 M q 2 ( U A 2 + U T 2 ) + ( U A 2 U T 2 ) 2 2 ( U A 2 U T 2 ) ( p z 2 p T 2 ) = 0 ,
where E p = p 2 + M q 2 . This equation should yield two positive-energy solutions, e α = 1 , 2 ( p ) , and two negative-energy solutions, e α = 3 , 4 ( p ) , corresponding to the spin degrees of freedom. However, when U A 0 and U T 0 , it becomes challenging to solve Equation (14) analytically to find e α ( p ) .
The quark propagator is divided into a vacuum part, S F , and a density-dependent part, S D , which vanishes at zero temperature and density, as shown by
S ( p ) = S F ( p ) + S D ( p ) .
With this separation, the densities in Equation (11) are also divided into the vacuum parts and the density dependent parts as
ρ Γ α < ψ ¯ Γ α ψ > = N d d 4 p ( 2 π ) 4 Tr i Γ α S ( p ) = N d d 4 p ( 2 π ) 4 Tr i Γ α S F ( p ) + N d d 4 p ( 2 π ) 4 Tr i Γ α S D ( p ) = ρ Γ α ( V ) + ρ Γ α ( D )
where N d = N f N c = 6 represents the degeneracy factor, with N f = 2 for the flavor and N c = 3 for color degrees of freedom.
In addition, the quark density, which dose not include the vacuum part, is written as
ρ q = α = 1 , 2 d 3 p ( 2 π ) 3 n [ e α ( p ) ]
with n ( E ) = Θ ( μ E ) being the Fermi–Dirac distribution function, where Θ ( x ) is the step function, and μ is the quark number chemical potential. Accordingly, the baryon density can be expressed as ρ B = ρ q / N c .
The Fermionic part of the thermodynamic potential now renders
Ω = N d d 3 p ( 2 π ) 3 α = 1 , 2 e α ( p ) μ Θ ( μ e α ( p ) ) + α = 3 , 4 e ( p , s ) = Ω D + Ω v a c
The density-dependent term Ω D is finite, while the vacuum contribution Ω v a c is infinite and some regularization is needed. In order to isolate the relevant vacuum contribution, we apply proper time regularization (PTR) [43]
Ω v a c = N d d 3 p ( 2 π ) 3 α = 3 , 4 e α ( p , s ) = i N d d 4 p ( 2 π ) 4 α = 3 , 4 ln p 0 2 e α ( p ) + i ϵ 2 = i N d 1 / Λ 2 d τ τ d 4 p ( 2 π ) 4 α = 3 , 4 e τ p 0 2 e α ( p ) 2
with Λ being the cut-off parameter. The vacuum parts of the scalar, AV, and T densities are then given by
ρ s ( V ) = Ω v a c M q , ρ A ( V ) = Ω v a c U A , ρ T ( V ) = Ω v a c U T .
Before discussing the spin-polarized system, we should show the result for the spin-saturated (SS) system, U A = U T = 0 . In this system, the single-particle energies can be written as ± e ( p , s ) = ± p 2 + M q 2 for each spin state s = ± 1 , and Ω v a c is written as
Ω v a c = 2 N d d 4 p E ( 2 π ) 4 1 / Λ 2 d τ τ e τ ( p E 2 + M q 2 ) = N d 8 π 2 1 / Λ 2 d τ τ 3 e τ M q 2 ,
where p E is Euclidian four-dimensional momentum. Then, the vacuum contribution of the scalar density is expressed as
ρ s ( V ) = N d 4 π 2 M q 1 / Λ 2 d τ τ 2 e τ M q 2 = N d 4 π 2 M q 3 M q 2 / Λ 2 d τ τ 2 e τ = N d 4 π 2 M q Λ 2 F 2 M q 2 Λ 2 .
where the function F α is defined as
F α ( x ) = x x d τ τ α e τ .
On the other hand, the density-dependent part of the scalar density is
ρ s ( D ) = 2 N d ( 2 π ) 3 0 p F d 3 p n p 2 + M q 2 M q ( p 2 + M q 2 ) 3 = N d ( 2 π ) 2 M q 2 p F μ M q 2 ln p F + μ M q ,
where p F = μ 2 M q 2 is the Fermi momentum in the SS system.
The dynamical quark mass is given by
1 + G s ( ρ s ( V ) + ρ s ( D ) ) M q = 0 ,
Then, the dynamical quark mass in the vacuum, M 0 , is given by
1 N d 4 π 2 G s Λ 2 F 2 M 0 2 Λ 2 = 0 ,
and the critical density of the chiral restoration, ρ c NQ , is obtained as
1 N d 4 π 2 G s Λ 2 2 p c 2 = 0
with ρ c NQ = N d p c 3 / 3 π 2 and F 2 ( 0 ) = 1 , which is the fiducial density in the following discussion. Note that there is a trivial solution M 0 = 0 besides the one in Equation (26), while the latter solution is energetically favored in normal quark matter.
Next, we explain the formulation in the spin-polarized system. The dynamical quark mass M q is also calculated with Equation (25), where U A and U T are determined by
1 G A ρ A U A = 0 ,
1 G T ρ T U T = 0 .
However, the coexistence of the AV and T interactions makes calculation quite complicated. In addition, we do not have sufficient information about the quark interaction to distinguish the AV and T interactions, and there is no serious reason to consider both interactions simultaneously. Thus, we, hereafter, discuss the spin polarization mechanism through the AV interaction and T interaction separately.

2.3. AV-Type Spin Polarization

From Equation (28), we can know that ρ A < 0 when G A < 0 and G T = 0 . In this subsection, then, we consider these AV-type spin-polarized phases, which we call AVS.
The single-particle energies ± e ( p , s ) are expressed as
± e ( p , s ) = ± ( M q 2 + p z 2 + s U A ) 2 + p T 2 = ± E p 2 + 2 s U A p z 2 + M q 2 + U A 2 .
where E p = p 2 + M q 2 , and s = ± 1 denotes the spin state of a quark, With the above single-particle energies, the propagator of the quark is written as
S ( p ) = S F ( p ) + S D ( p ) ,
where
S F ( p ) = p + M q + γ 0 Σ z U A p 2 M q 2 + U A 2 + 2 U A p 0 Σ z i p x α y + i p y α x ( p 0 2 e 2 ( p , + 1 ) + i δ ) ( p 0 2 e 2 ( p , 1 ) + i δ ) ,
S D ( p ) = s = ± 1 p + M q + γ 0 Σ z U A 1 + s ( p 0 Σ z i p x α y + i p y α x ) + s U A p z 2 + M q 2 × i π 2 e ( p , s ) n ( p , s ) δ [ p 0 e ( p , s ) ] .
The density-dependent part of the scalar and AV densities are described as
ρ s ( D ) = N d s = ± 1 d 3 p ( 2 π ) 3 n [ e ( p , s ) ] M q e ( p , s ) 1 + s U A p z 2 + M q 2 , ρ A ( D ) = N d s = ± 1 d 3 p ( 2 π ) 3 n [ e ( p , s ) ] s p z 2 + M q 2 + U A e ( p , s ) .
The thermodynamical potential (19) is written as
Ω v a c = i N d s = ± 1 d 4 p ( 2 π ) 4 1 / Λ 2 d τ τ e τ p 0 2 p T 2 ( p z 2 + M q 2 + s U A ) 2 = 1 8 π 5 / 2 s = ± 1 1 / Λ 2 d τ τ 5 / 2 0 d p z e τ p z 2 + M q 2 + s U A 2
The vacuum part of the scalar and AV densities are written as
ρ s ( V ) = Ω v a c M q = N d Λ 4 π 5 / 2 M q s = ± 1 0 d p z 1 + s U A p z 2 + M q 2
× F 3 / 2 p z 2 + M q 2 + s U A Λ , ρ A ( V ) = Ω v a c U A = N d Λ 4 π 5 / 2 s = ± 1 s 0 d p z p z 2 + M q 2 + s U A
× F 3 / 2 p z 2 + M q 2 + s U A Λ ,
where F α ( x ) is defined in Equation (23). The detailed deviations of these densities are presented in Appendix A for the density-dependent part and Appendix B for the vacuum contribution.
Here, we examine the AV density when M q = 0 . The density-dependent part of the AV density in Equation (34) becomes
ρ A ( D ) = s = ± 1 d 3 p ( 2 π ) 3 n [ e ( p , s ) ] s | p z | + U A ( p z + U A ) 2 + p T 2 . = N d d 3 p ( 2 π ) 3 n ( p z + U A ) 2 + p T 2 p z + U A ( p z + U A ) 2 + p T 2 + n ( p z + U A ) 2 + p T 2 p z + U A ( p z U A ) 2 + p T 2 = N d d 3 p ( 2 π ) 3 n p z 2 + p T 2 p z p z 2 + p T 2 + ( p z ) p z 2 + p T 2 = 0 .
The vacuum contribution in Equation (37) becomes
ρ A ( V ) = N d Λ 4 π 5 / 2 0 d p z p z + U A F 3 / 2 p z + U A Λ p z U A F 3 / 2 p z U A Λ = N d Λ 4 π 5 / 2 U A U A d p z p z F 3 / 2 p z Λ = 0 .
When U A > 0 and M q = U T = 0 , the single-particle energy satisfies the relation e ( p T , p z , s ) = e ( p T , p z , s ) . The Fermi sea can be visualized as two spheres with centers at ( 0 , 0 , ± U A ) . These spheres contribute oppositely, resulting in the AV density of zero, ρ A = 0 , and the SP disappears. Thus, when M q = 0 , the AV density is zero ρ A ( D ) = ρ A ( V ) = 0 , meaning that the spin-polarized phase never appears in in the zero-mass quark regime.

2.4. Tensor-Type Spin Polarization

From Equation (29), we can see that ρ T < 0 when G T < 0 and G A = 0 . In this subsection, we examine the T-type spin-polarized phases through the T interaction with G T < 0 and G A = 0 .
The single-particle energies ± e ( p , s ) are given by
± e ( p , s ) = ± ( M q 2 + p T 2 + s U T ) 2 + p z 2 = ± E p 2 + 2 s U T M q 2 + p T 2 + U T 2
with s = ± 1 .
The quark propagator is then written as
S ( p ) = S F ( p ) + S D ( p ) ,
where
S F ( p ) = p + M q + Σ z U T p 2 M q 2 + U T 2 + 2 U T ( p z γ 5 γ 0 p 0 γ 5 γ 3 ) p 0 2 e 2 ( p , 1 ) + i δ p 0 2 e 2 ( p , 1 ) + i δ ,
S D ( p ) = s = ± 1 p + M q + Σ z U T 1 + s ( p z γ 5 γ 0 p 0 γ 5 γ 3 ) + s U T p T 2 + M q 2 × i π 2 e ( p , s ) n ( p , s ) δ [ p 0 e ( p , s ) ] .
The density-dependent parts of the scalar and T densities are written as
ρ s ( D ) = N d s = ± 1 d 3 p ( 2 π ) 3 n ( p , s ) M q e ( p , s ) 1 + s U T M q 2 + p T 2 ,
ρ T ( D ) = N d s = ± 1 d 3 p ( 2 π ) 3 n ( p , s ) s p T 2 + M q 2 + U T e ( p , s ) .
because ρ T < 0 when U T > 0 , so Equation (29) has a solution when G T < 0 .
The vacuum contribution of the thermodynamic potential density is written as
Ω v a c = i N d s = ± 1 d 4 p ( 2 π ) 4 1 / Λ 2 d τ τ e τ p 0 2 p z 2 ( p T 2 + M q 2 + s U T ) 2 = N d 8 π 2 s = ± 1 1 / Λ 2 d τ τ 2 0 d p T p T e τ ( p T 2 + M q 2 + s U T ) 2 .
The vacuum contribution of the scalar density is then given by
ρ s ( V ) = Ω v a c M q = N d 4 π 2 M q s = ± 1 1 / Λ 2 d τ τ 0 d p T p T 1 + s U T p T 2 + M q 2 × e τ ( p T 2 + M q 2 + s U T ) 2 . = N d 4 π 2 M q s = ± 1 1 / Λ 2 d τ τ M q + s U T d x T x T e τ x T 2 = N d M q 8 π 2 s 1 / Λ 2 d τ τ 2 e τ ( M q + s U T ) 2 = N d M q 8 π 2 Λ 2 s F 2 ( M q + s U T ) 2 Λ 2 .
The detailed deviations of these densities are presented in Appendix A for the density-dependent part and Appendix B for the vacuum contribution.
Here, we comment on the SP when M q = 0 .
Different from the AV case, for M q = 0 , the T density is non-zero and described as
ρ T ( D ) = N d s = ± 1 d p z d p T p T ( 2 π ) 2 n [ ( p T + s U T ) 2 + p z 2 ] s p T + U T ( p T + s U T ) 2 + p z 2 = N d ( 2 π ) 2 s = ± 1 s d p z s U T d p T n p T 2 + p z 2 p T ( p T s U T ) p T 2 + p z 2 = N d 2 π 2 d p z U T d p T n | p | p T | p | + 0 U T d p T n | p | p T 2 | p | 0 ,
ρ T ( V ) = N d 4 π 2 Λ 2 2 0 U T d E T F 1 E T 2 Λ 2 + U T F 2 U T 2 Λ 2 0 .
Thus, we can see that the T density is non-zero even when M q = 0 .
As mentioned before, M q = 0 is a trivial solution of Equation (8) besides the dynamical mass, which is a solution of Equation (25). In the T-type SP, then, the two kinds of spin-polarized states can exist: one is a state with U T > 0 and M q > 0 , and the other is that with U T > 0 and M q = 0 . We will call the former state TS-I and the latter state TS-II.
As previously mentioned, the purpose of this study was to explore the relationship between spin polarization (SP) and chiral symmetry. To clarify this relationship, we set the current quark mass to zero ( m = 0 ) throughout this analysis.
Chiral symmetry is preserved only when both scalar and pseudo-scalar interactions are present. However, it is the scalar interaction that explicitly breaks this symmetry, leading to spontaneous chiral symmetry breaking in the mean field approximation.
Regarding the relationship between spin polarization and chiral symmetry, it is important to note that the axial-vector (AV) interaction respects chiral symmetry and does not break it. However, the AV mean field induces spin polarization, which results in spontaneous chiral symmetry breaking. Consequently, the AV mean field can exist when the quark acquires a dynamical mass.
Moreover, the tensor interaction considered in this work maintain S U ( 2 ) chiral symmetry. In isospin-symmetric matter, tensor mean fields induce both spontaneous chiral symmetry breaking and spin polarization, even when the quark mass is zero.

2.5. Remarks

Here, we provide remarks on the vacuum contributions. In our model with the PTR, the vacuum contributions of the AV and T densities are strongly dependent on Λ . Then, these give too large negative contributions to the spin polarization, and never allow the spin-polarized phase to be realized. However, the QCD calculation indicate that the negative magnetic susceptibility at the zero temperature limit is zero [44] or negative [45]. The substantial vacuum contributions in our approach may not align with these findings.
Moreover, the vacuum terms in the AV and T densities depend significantly on the chosen regularization scheme and the specific cut-off value [33]. For instance, in AV-type SP, the PTR regularization decreases SP [30], whereas momentum cut-off regularization increases it [31]. In T-type SP, the PTR diminishes SP, while an effective potential approach enhances it [41].
The cut-off parameter limits the momentum space in the calculation. The T and AV densities are given by the difference between the spin-up and spin-down contributions, and they are sensitive to momentum space restrictions, making the results highly dependent on the regularization scheme and the value of the cut-off parameter.
In the usual renormalization procedure, we renormalize the vacuum polarization by introducing suitable counter terms and redefine the T and AV densities to fit their physical values. In the standard treatment of the NJL model, which is an unrenormalizable model, we simply regularize the vacuum contributions to the scalar density using a cut-off parameter. The vacuum part of the scalar density is associated with the dynamical quark mass in the vacuum, but nothing to do with the spin properties. In the present model, the vacuum contributions of the AV and T densities strongly diverge as Λ even for the small asymmetry of the spin states. Thus, it may be rather difficult to control the scalar and the AV and T densities simultaneously: we do not have any clear rule to regularize the AV and T densities in a systematic way. Thus, the cut-off dependence of the AV and T densities from the vacuum contribution is less meaningful in the present approach. In the NJL model, it is not easy to apply a consistent method even for the qualitative discussions. In the next section, then, we show actual calculations without the vacuum contributions for the AV and T densities: ρ A , T ρ A , T ( D ) .
In standard renormalization, we handle vacuum polarization by adding counter terms, adjusting T and AV densities to reflect their physical values. In the NJL model, which is inherently unrenormalizable, we control the vacuum contributions to the scalar density using a cut-off parameter. The vacuum term in the scalar density correlates with the vacuum dynamical quark mass, rather than spin features. In our model, the vacuum contributions to AV and T densities diverge as Λ , even under slight spin-state asymmetry. Thus, it becomes challenging to manage both scalar and AV/T densities concurrently. We lack a systematic rule for regularizing AV and T densities, making the cut-off dependency of vacuum contributions in these densities less meaningful in our approach. Applying a consistent method in the NJL model, even qualitatively, remains difficult.
Therefore, in the following section, we calculate the AV and T densities without including vacuum contributions: ρ A , T ρ A , T ( D ) .
Furthermore, we provide an additional comment on the isospin dependence of spin polarization (SP). For the T-type SP, this holds only when the spin polarization is isoscalar, i.e., when the average spins of the u- and d-quarks are aligned in the same direction. In the case of isovector SP, the T densities of the u- and d-quarks have opposite signs.
In symmetric matter, we define ρ T = ρ T ( u ) ρ T ( d ) = 2 ρ T ( u ) and U T = U T ( u ) U T ( d ) = 2 U T ( u ) , which allows us to rewrite Equation (11) as U T = G T ρ T , matching the form of Equation (29) except for the sign on the right-hand side. This shows that when G T > 0 , the isovector SP can arise, with its strength comparable to the case where G T < 0 .
Although our discussion focuses on the case G T < 0 , the same argument applies to the isovector SP system when G T > 0 . In that scenario, the system exhibits enhanced ferromagnetic properties due to the opposite charges of the u- and d-quarks.
For the AV-type SP, the isoscalar and isovector axial-vector couplings, G A and G A , are unrelated to chiral symmetry. The SP is isoscalar when G A < G A and G A < 0 and isovector when G A < G A and G A < 0 . SP does not occur when both G A > 0 and G A > 0 .
Following a similar reasoning as for the T-type, we can describe the isovector SP by replacing G A with G A . Therefore, we omit the case where G A > 0 and G A > 0 , and in this work, we assume G A < 0 .

3. Results

In this section, we present numerical results examining SP in relation with chiral restoration. For this purpose, we adopt the chiral limit and utilize two parameter sets from Ref. [30], of which their details are presented in Table 1, where we also show the chiral phase transition density in normal quark matter ρ c NQ in units of the nuclear saturation density ( ρ 0 = 0.17   fm 3 ).
In the spin-polarized system, spherical symmetry is broken. Indeed, the expression of the single-particle energies, Equation (30), does not hold spherical symmetry and thereby causes the deformation of the Fermi sea, n ( e ( p , s ) ) = Θ ( μ e ( p , s ) ) in the spin-polarized system.
In Figure 1, we show contour plots of the single-particle energy, e ( p , s ) e m i n ( s ) , where e m i n ( s ) is the minimum energy of e ( p , s ) as functions of momenta along the symmetry axis, p z , and perpendicular to that, p y ( p x = 0 ), which are scaled with the dynamical mass M q when U A = 0 (a), U A = 1.4 M q (b), and U A = 2.8 M q (c). The solid and dashed lines represent the results of s = 1 and s = 1 , respectively. We can see that the momentum distribution is deformed prolately when s = 1 and oblately when s = 1 . When U A > M q , the minimum of the single-particle energy in the major spin state ( s = 1 ) becomes zero, e m i n ( s = 1 ) = 0 , and moves from p = 0 to p = 0 , 0 , ± U A 2 M q 2 . It should be interesting to see that these points are known as Weyl points in the context of Weyl semimetal in condensed matter physics [46,47].
They may play a peculiar role in the electric or thermal transport in the AV-type SP phase.
In the T-type spin-polarized system, the momentum distribution is deformed oblately when s = 1 and prolately when s = 1 through the single-particle energy, Equation (40). Its shape is given by exchanging p y and p z in Figure 1. When U T > M q , e m i n ( s = 1 ) becomes zero on the circle, and p = ( p x , p y , 0 ) with p x 2 + p y 2 = U T 2 M q 2 , which corresponds to the line node in the context of topological material in condensed matter physics [46,47].
In order to clarify the difference in the Fermi distribution between the AV and T types, we display the constant energy surface for e ( p , 1 ) = 2.5 M q in Figure 2, when U A = 2.8 M q (a) or U T = 2.8 M q (b). We see the difference in the momentum distribution between the two types of SP: it is deformed prolately in the T-type SP and oblately in the AV-type SP.
First, we discuss the AV-type SP.
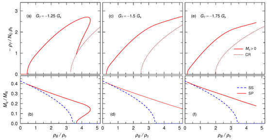
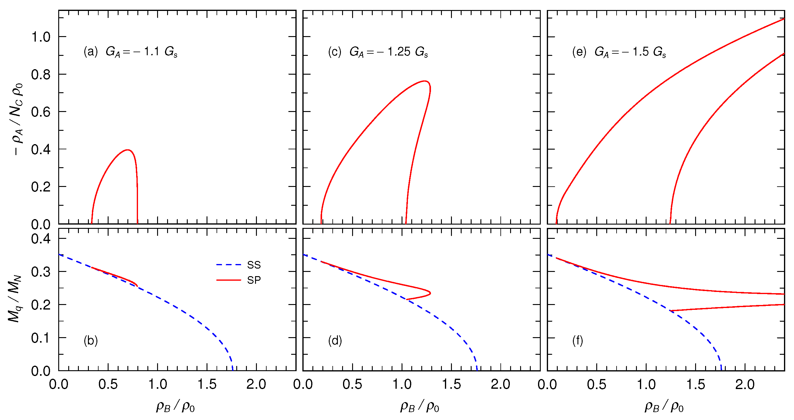
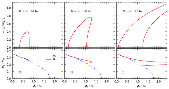
In Figure 3, we show the AV density ρ A / ( N c ρ 0 ) with PM1 (upper panel) and that of the dynamical mass (lower panel) versus baryon density for G A = 1.25 G s (a,b), G A = 1.5 G s (c,d), and G A = 1.75 G s (e,f).
The AV-type spin-polarized phase appears in 0.76 ρ B / ρ 0 1.38 for G A = 1.25 G s (a,b), and in 0.30 ρ B / ρ 0 2.89 for G A = 1.5 G s (c,d). For G A = 1.5 G s , there are two AVSs at the same density in 2.10 ρ B / ρ 0 2.89 . We cannot say which AVS is realized without energetic discussions. For G A = 1.75 G s , the AVS extends over a higher density region beyond the chiral critical density, ρ B > ρ c NQ . As G A increases, the AV density grows, and the spin-polarized phase extends into a higher-density region beyond the chiral critical density in normal quark matter ρ c NQ , where the dynamical quark mass is non-zero.
In Figure 4, we show the results with the PM2 parameter set, where G s is about 1.06 times larger than that of PM1. We note that the critical point of the coupling G A , where the spontaneous SP appears, is between G A / G s = 1.0 and G A / G s = 1.1 . The qualitative behaviors are very similar, but they appear in smaller G A values.
In Refs. [30,31], the AV-type SP was mentioned to appear only in a narrow density region before the chiral restoration ( ρ q < ρ c NQ ). However, the present results show the AV-type spin-polarized phases, where the quark mass is non-zero in the density region above ρ c NQ when the AV interaction is large.
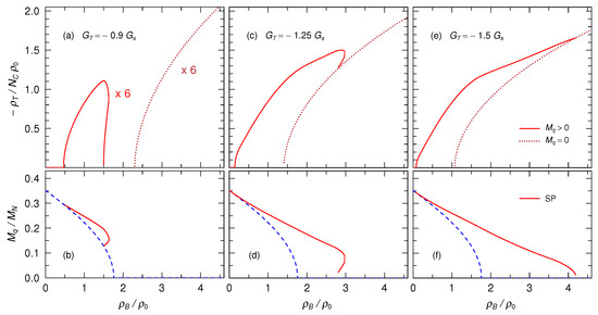
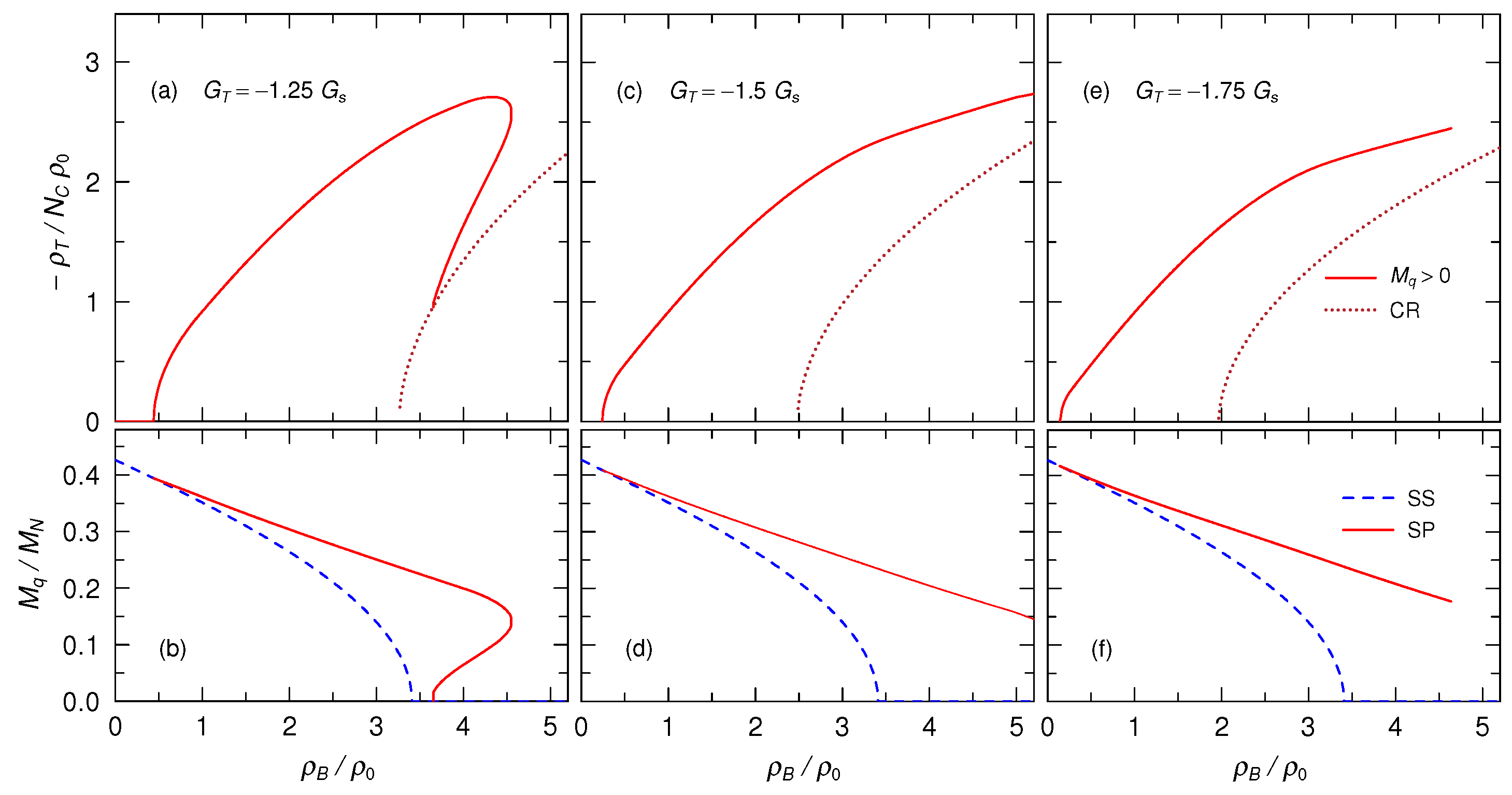
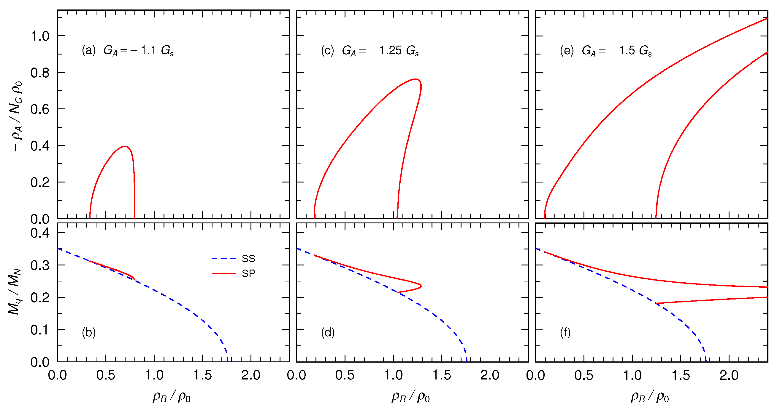
Next, we show the results for the T-type SP. In Figure 5, we show the baryon density dependence of the tensor density ρ T / ρ 0 with PM1 (upper panel) and that of the dynamical mass (lower panel) for G T = 1.25 G s (a,b), G T = 1.5 G s (c,d), and G T = 1.75 G s (e,f). In the upper panel, the solid lines represent ρ T / ( N c ρ 0 ) in the spin-polarized phase when M q > 0 (TS-I), and the dotted lines indicate that M q = 0 (TS-II). In the lower panel, the solid and dashed lines represent the dynamical quark mass in the spin-polarized and spin-saturated phases, respectively. Note again that some energetic discussions are necessary to see which phase is realized.
For all the parameters, we can see that two kinds of spin-polarized phases, TS-I and TS-II appear, the TS-I phase appears first, and the TS-II phase appears in the density region, ρ B < ρ c NQ . For G T = 1.25 G s , there appear density regions for the three solutions corresponding to the spin-polarized phases, two TS-I phases, and one TS-II phase. For G T = 1.5 G s (c,d) and G T = 1.75 G s , on the other hand, the TS-I phase extends to a higher-density region, and the end point is invisible.
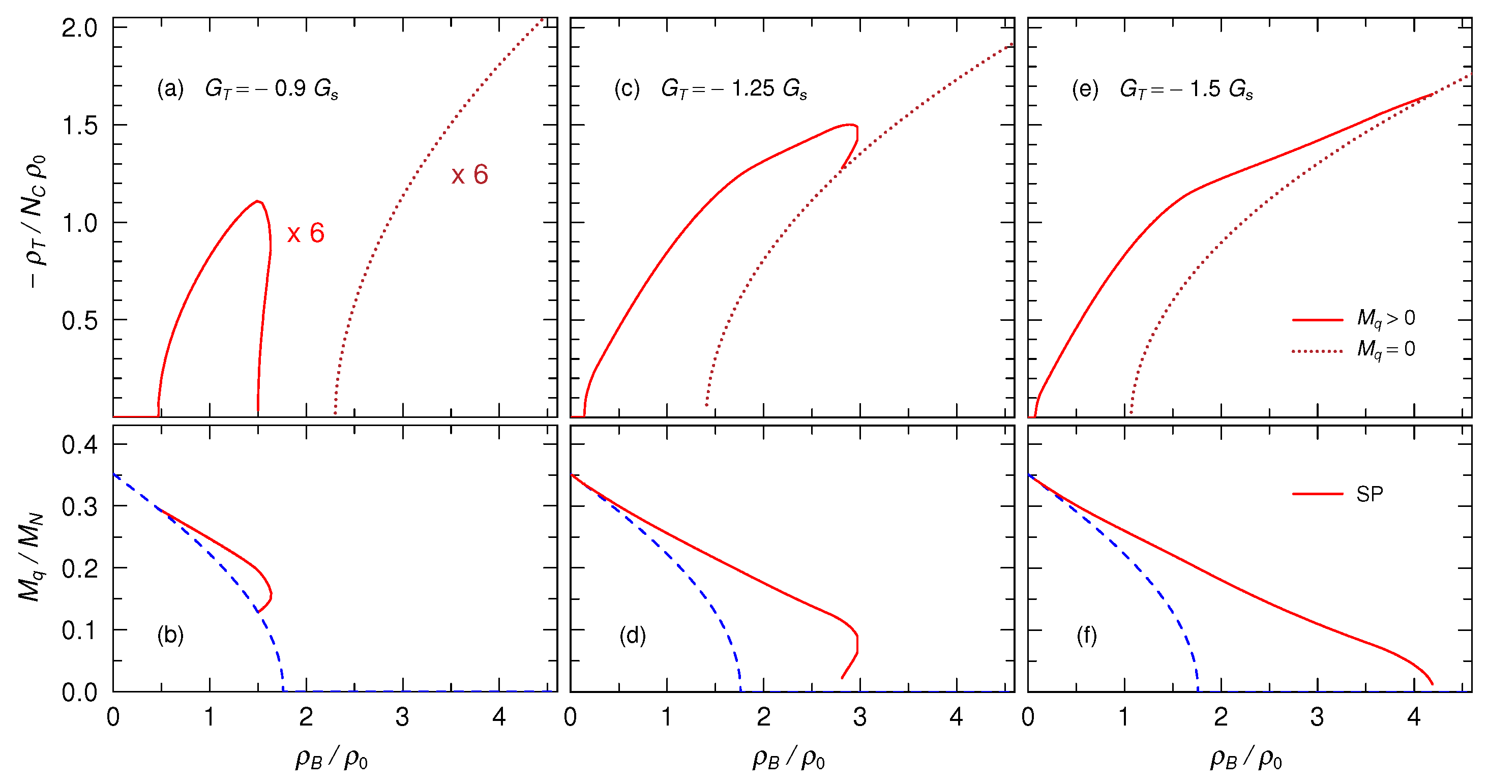
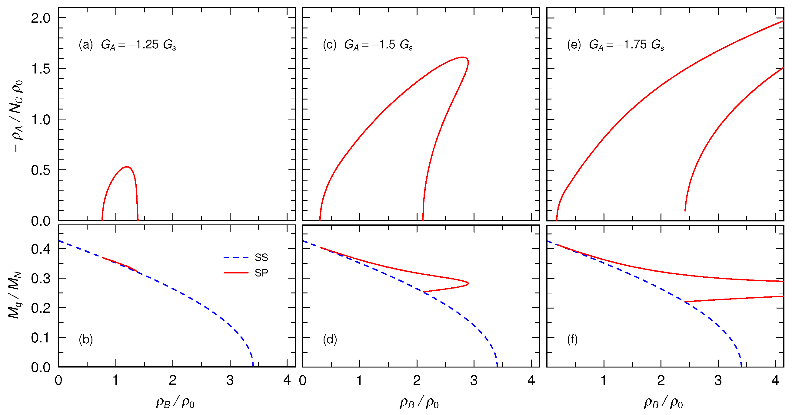
In Figure 6, we show the results with the parameter set PM2. For G T = 0.9 G s (a,b), G T = 1.25 G s (c,d), and G T = 1.5 G s (c,d), G T / G s = 0.9 is close to the lowest coupling strength for the SP, the TS-I state exists in ρ B < ρ c NQ , and the TS-II state appears in ρ B > ρ c NQ , though the two TS-I states exist in some density region.
As the tensor coupling strength increases, the TS-I state extends into a larger density region. For G T = 1.25 G s and G T = 1.5 G s , the TS-I states extend over a density region beyond the chiral critical density, and the end-points are on the TS-II states, though there is a density region where the two TS-I states exist for G T = 1.25 G s .
When G A = G T , the SP appears at a lower density with the T interaction compared to that with the AV interaction. The lowest coupling strength for the SP is also smaller in the T interaction compared to that in the AV interaction.
In both types of the SP, when the interactions are weak, spin-polarized phases with a finite quark mass appear in the density region below ρ c NQ . As the interactions become stronger, backbending appears in the curve representing the spin-polarized states, and two states exist for one density. When the interaction becomes even stronger, the spin-polarized phase extends into a larger density region, and the two states appear at the same density. As the interaction becomes even stronger, these two states extend over ρ c NQ .
In the case of the AV-type interaction, the massless spin-polarized phase does not exist, and the end density of the spin-polarized phase is in the density region below ρ c NQ . The curve representing the AVS phase shows backbending even beyond ρ c NQ , and the end point is always in the CB density region in normal quark matter (< ρ c NQ ).
In the T-type interaction, the massless spin-polarized phase does exist. When the interaction is not very large, the curve representing the state TS-I still shows backbending, but when the interaction is larger, it ends at the intersection with the state TS-II.
In this approach, we discard the vacuum contribution to the tensor density though the scalar density includes it, so that we cannot define the total energy and cannot determine what is realized among the spin-saturated (SS), TS-I, and TS-II phases.
Next, we examine the occupation number of each spin state in the spin-polarized state. In Figure 7, we show the spin polarization ratio ( ρ ρ + ) / ρ q with PM1 for the AV type in the upper panels and for the T type in the lower panels. As the density increases and exceeds the critical density, the spin polarization increases rapidly, reaches one, remains there for a while, and then decreases rapidly. In the TS-II state, on the other hand, the spin polarization increases relatively slowly.
The energy contribution of the coupling with the magnetic field B is proportional to ϵ m a g = μ q B ρ T with μ q being the quark magnetic moment, respectively, because the strength of the magnetic field is weak in the energy scale of the strong interaction. Thus, the T density ρ T is directly related to the magnetic properties of compact stars, and we need to examine the T density in the AVS phase. The T density in the AVS phase is described as
ρ T = N d s = ± 1 d 3 p ( 2 π ) 3 n e ( p , s ) M q p z 2 + M q 2 .
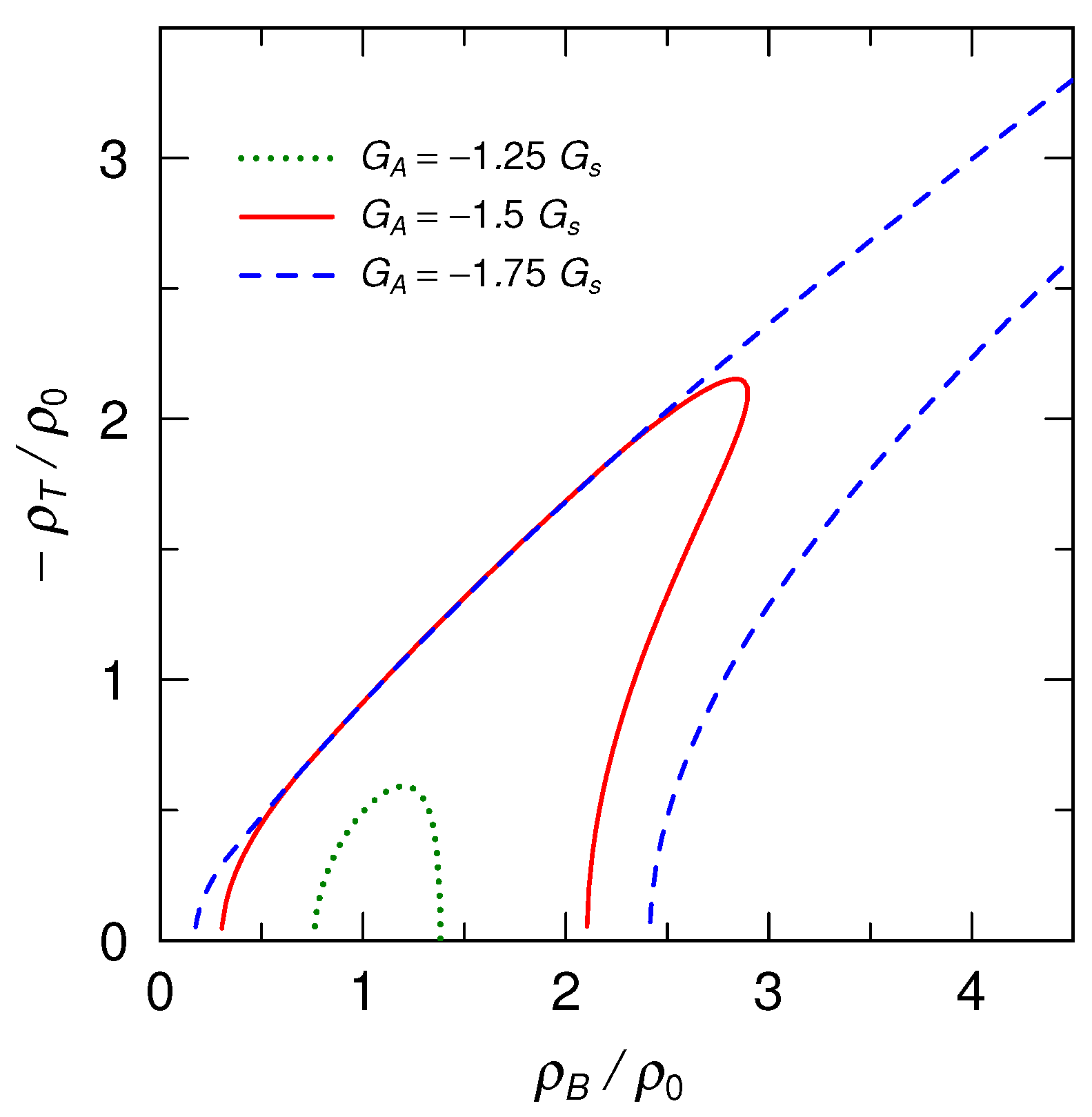
In Figure 8, we show the T density in the AV-type spin-polarized system with PM1. The dotted, solid, and dashed lines represent the results for G A / G s = 1.25 , G A / G s = 1.5 , and G A / G s = 1.75 , respectively. We see that the results for G A / G s = 1.5 and G A / G s = 1.75 agree with each other at 0.7 ρ B / ρ o 2.2 , where the spin polarizations ratio is 1 for both parameters. Furthermore, the T density is larger than the AV density around the peak density region, and they are also larger than those in the T type when G T = G A . Thus, we see that the AV spin-polarization can give rise to large ferromagnetism.
The magnetic properties of the quark matter are determined by two elements: one is the size of the spin polarization, and the other is the form of the Dirac spinor. In the variational approach [24], two SP modes, the AV type and T type, are demonstrated to be decoupled in the massless limit. The T density is very small in the AV-type spin-polarized phase, and the AV density is small in the T-type spin-polarized phase. Using the exact solutions for the Dirac spinor, we may conclude that both the AV and T densities are large in any spin-polarized state.
Finally, we discuss the interplay between spin polarization and chiral symmetry.
In a spin-polarized system, spherical symmetry and inversion symmetry along the z-axis are broken, but rotational symmetry around the z-axis remains. The isoscalar tensor interaction breaks chiral symmetry, though this symmetry can be retained when it is combined with the isovector tensor interaction. However, when combined with the isovector tensor interaction, this symmetry can be retained. As a result, T-type spin-polarized states exhibit spontaneous chiral symmetry breaking, even when quarks have no mass.
For weak spin–spin interactions—whether AV- or T-type—spin-polarized states do not emerge. Here, chiral symmetry is spontaneously broken, and quarks acquire a dynamical mass. As density increases, this symmetry is restored beyond a critical density, consistent with standard discussions.
Conversely, strong spin–spin interactions lead to spin-polarized states above a critical density, causing chiral symmetry breaking. In this case, a chiral-breaking phase persists beyond ρ ch . For T-type interactions, both massless and massive phases can exist, while for AV-type interactions, two massive phases arise. Our findings indicate that strong spin–spin interactions extend the chiral-broken phase to higher densities than in the absence of such interactions.

4. Summary and Remark

In this paper, we studied the spontaneous spin-polarized states caused by the axial-vector (AV) mean field and those caused by the tensor (T) mean field in the NJL model. If the AV (T) coupling is beyond a certain critical strength, the AV- or T-type spin-polarized phase appears. As this coupling strength increases, the spin-polarized phase extends into a higher density, and as it further increases, the spin-polarized phase extends beyond a chiral critical density in normal quark matter. This spin-polarized phase is a kind of phase where the chiral symmetry is spontaneously broken.
The AV interaction has chiral symmetry and cannot, on its own, cause a phase with spontaneous chiral symmetry breaking. In the AV-type spin-polarized phase, the dynamical quark mass stays at non-zero, so this phase has two massive states above the chiral critical density. As the density increases, the spin-polarized phase extends into a higher density range beyond ρ c NQ .
On the other hand, the T interaction consists of two terms —isoscalar and isovector— that together maintain chiral symmetry (see Equation (6)). However, only one of these terms can produce a mean field that spontaneously breaks chiral symmetry. In the T-type interaction, not only does the TS-I state extend to high density, but the TS-II state also emerges, as the dynamical quark mass is not required for the formation of the chiral symmetry breaking phase. In this approach, the TS-II state exists across the high-density region without a clear boundary.
In the spin-polarized phase, the spontaneous breaking of chiral symmetry occurs. This phase extends into the high-density region beyond the critical chiral density in normal quark matter, regardless of whether the spin–spin interaction is of the axial vector (AV) or tensor (T) type. These findings suggest that spontaneous chiral symmetry breaking, whether due to AV- or T-type interactions, is realized at higher densities than that in normal quark matter predicted by the standard NJL model.
In this work, multiple spin-polarized states emerge in the results. Determining which state is physically realized and whether the phase transition is of the first order or second order requires calculating and comparing the values of the total energy of the quark matter. However, this calculation cannot be performed in the current study due to the inability to incorporate the vacuum polarization effects in the AV and T interactions. This is because the contribution from vacuum polarization in the AV and T mean fields depends on the regularization scheme used.
The significant vacuum effect on spin polarization suggests the presence of large antimagnetic behavior, which is inconsistent with lattice QCD results. However, even after removing the vacuum effect with U T 2 , the counter term largely grows as U T increases, preventing us from obtaining reasonable results.
The significant vacuum effect on spin polarization indicates the presence of strong antimagnetic behavior, which is inconsistent with lattice QCD results. In Ref. [33], we introduced counter terms to remove U T 2 at zero density. However, even after removing the vacuum effect using U T 2 , the counter term grows significantly as U T increases, making it difficult to obtain reasonable results.
One possible solution to the vacuum problem is to use the chiral quark mean-field model [25,26,27]. With the introduction of AV and T bosons, this approach enables the formulation of a renormalizable framework. However, for both AV and T interactions, at least five counter terms must be introduced, leading to arbitrariness in their determination.
In this paper, we focus only on zero temperature. We can extend the formulation to finite temperature using imaginary time formalism [48] or thermo-field dynamics [49,50]. As the temperature increases, the entropy of the system increases, and the SP phase must be broken at some temperature.
In this work, we study the AV-type and T-type spin-polarized states, but not the states with the coexistence of both the AV and T mean fields because their calculation is too hard to be performed when the dynamical quark mass is non-zero. However, we calculated these mixed states in the zero mass quark system and found that the AV mean field can appear in the density region of the TS-II state [51]. As mentioned before, the T mean field creates the spontaneous breaking of the chiral symmetry and the AV field can appear in such a phase. Thus, the T fields as well as the scalar field play the role of creating spontaneous chiral symmetry breaking, and the AV field can appear in this field.
In this study, we do not consider effects that explicitly break chiral symmetry, such as a current mass or an external magnetic field. Ref. [52] demonstrated that the tensor density becomes non-zero in a one-flavor NJL model under an external magnetic field, underscoring the significance of these factors in spin polarization. Additionally, magnetic effects play a role in CSC, as highlighted in Ref. [53]. Including such effects would be essential for a more realistic treatment of spin polarization in compact star environments.
Finally, our current work is based on an S U ( 2 ) model, but it can be extended to S U ( 3 ) . With zero current masses, the results are unlikely to change significantly. However, introducing a current mass for the strange quark and considering instanton effects [54,55] may lead to different outcomes. Investigating these aspects remains a subject for future work.
Spin-polarized phases in dense quark matter may help explain the strong magnetic fields observed in magnetars [7,8], particularly in the interplay between poloidal and toroidal components in their interiors. These phases could offer insights into the microscopic origins of such fields and their connection to neutron star properties, including observable astrophysical signatures such as magnetic field structures and polarization phenomena. Furthermore, spin-polarized phases may have experimental relevance, as similar phenomena could be explored in heavy-ion collisions [12], providing a bridge between compact astrophysical objects and laboratory studies.

Author Contributions

Conceptualization, methodology, writing, and editing: T.M. and T.T.; numerical calculation: T.M. All authors have read and agreed to the published version of the manuscript.

Funding

This work was supported by Grants-in-Aid for Scientific Research of JSPS (JP19K03833, JP24K07057).

Data Availability Statement

No new data were created or analyzed in this study. Data sharing is not applicable to this article.

Conflicts of Interest

The authors declare no conflicts of interest.

Abbreviations

The following abbreviations are used in this manuscript:
QGPquark–gluon plasma;
SSspin-saturated;
SPspin polarization;
AVaxial vector;
Ttensor;
PTRproper time regularization.

Appendix A. Density-Dependent Parts of Densities

In this section, we describe the detailed expressions of quark number density ρ q , scalar density ρ s , AV density ρ A , and T density ρ T with quark mass M q , chemical potential μ , and AV mean field U A ( > 0 ) or T mean field U T ( > 0 ) .
Here, we define an arbitrary operator A ( p ) in the momentum space, which has the rotation symmetry around the z-axis and depends on p z and p T = | p T | . Then, we consider the integration of F ( p T , p z ) , which is over the momentum inside the Fermi sea, which is described as
< A > = s = ± 1 d 3 p Θ μ e ( p , s ) F ( p z , p T ) .
When U A 0 and U T = 0 , the single-particle energy is described as
e ( p T , p z , s ) = ( m 2 + p z 2 + s U A ) 2 + p T 2 .
Then,
< A > = 2 π s = ± 1 p z m i n ( μ s U A ) 2 M q 2 d p z 0 μ 2 ( p z 2 + M q 2 + s U A ) 2 d p T p T F ( p z , p T ) ,
where p z m i n = ( U A μ ) 2 M q 2 when μ < M q + U A and s = 1 , and p z m i n = 0 otherwise.
When U T 0 and U A = 0 , the single-particle energy is described as
e ( p T , p z , s ) = ( m 2 + p T 2 + s U T ) 2 + p z 2 .
Then,
< A > = 2 π s = ± 1 p T m i n ( μ s U A ) 2 M q 2 d p T p T 0 μ 2 ( p T 2 + M q 2 + s U T ) 2 d p z F ( p z , p T ) ,
where p T m i n = ( U T μ ) 2 M q 2 when μ < M q + U T and s = 1 , and p T m i n = 0 otherwise.

Appendix A.1. Axial-Vector-Type Spin Polarization

In this subsection, we show the detailed expressions of the densities when U A 0 and U T = 0 .

Appendix A.1.1. Quark Number Density

The quark number density, ρ q is written as
ρ q ( s ) = N d ( 2 π ) 3 d 3 p n e ( p , s ) .
with n ( E ) = Θ μ E .
When μ M q + s U A ,
ρ q ( s ) = N d ( 2 π ) 2 ( μ s U A ) 2 M q 2 3 × 2 ( μ s U A ) ( μ + 2 s U A ) 3 s U A μ s U A 2 M q 2 s 2 U A M q 2 ln μ s U A + ( μ s U A ) 2 M q 2 μ s U A ( μ s U A ) 2 M q 2 ρ q ( 0 ) .
When U A + s M q μ ,
ρ q ( + ) = 0 , ρ q ( ) = ρ q ( 0 ) + N d ( 2 π ) 2 2 ( U A μ ) 2 M q 2 3 ( U A μ ) ( 2 μ + U A )
1 2 M q 2 U A ln U A μ + ( U A μ ) 2 M q 2 U A μ ( U A μ ) 2 M q 2 .

Appendix A.1.2. Scalar Density

The scalar density is described as
ρ s = N d s = ± 1 d 3 p ( 2 π ) 3 n ( e ( p , s ) ) M q p z 2 + M q 2 + s M q U A e p z 2 + M q 2 = M q ( 2 π ) 2 s = ± 1 d p z 1 + s U A M q 2 + p z 2 × 0 μ 2 ( E z + s U A ) 2 d p T p T p T 2 + ( E z + s U A ) 2
with E z = p z 2 + M q 2 . When M q U A and s 1 , or μ M q + U A and s = + 1 ,
ρ s ( s ) = N d M q ( 2 π ) 2 1 2 ( μ 3 s U A ) ( μ s U A ) 2 M q 2 + s U A μ U A 2 M q 2 2 ln ( μ s U A ) + ( μ s U A ) 2 M q 2 ( μ s U A ) ( μ s U A ) 2 M q 2 .
When M q U A μ + M q and s = 1 ,
ρ s ( 1 ) = N d M q ( 2 π ) 2 ( μ + 3 U A ) ( μ + U A ) 2 M q 2 6 U A U A 2 M q 2 + M q 2 + 2 U A 2 ln U A + U A 2 M q 2 U A U A 2 M q 2 M q 2 2 + U A ( μ + U A ) ln μ + U A + ( μ + U A ) 2 M q 2 μ + U A ( μ + U A ) 2 M q 2 .
When U A + s M q μ ,
ρ s ( + 1 ) = 0 ,
ρ s ( 1 ) = N d M q ( 2 π ) 2 ( μ + 3 U A ) ( μ + U A ) 2 M q 2 + ( 3 U A μ ) ( U A μ ) 2 M q 2 + ( 3 U A μ ) ( U A μ ) 2 M q 2 3 U A U A 2 M q 2 + M q 2 ln U A + U A 2 M q 2 U A U A 2 M q 2 M q 2 + 2 U A 2 + 2 U A μ ln ( U A + μ ) 2 M q 2 + U A + μ M q M q 2 + 2 U A 2 2 U A μ ln ( U A μ ) 2 M q 2 + U A μ M q .

Appendix A.1.3. Axial-Vector Density

The AV density is described as
ρ A ( s ) = N d d 3 p ( 2 π ) 3 n ( e ( p , s ) ) s p z 2 + M q 2 + U A e ( p , s ) .
When M q U A and s 1 or μ M q + U A and s = + 1 ,
ρ A ( s ) = N d ( 2 π ) 2 s 1 3 ( μ s U A ) 2 M q 2 ( μ + 2 s U A ) ( μ s U A ) 4 M q 2 + M q 2 2 ( μ 2 s U A ) ln μ s U A + ( μ s U A ) 2 M q 2 μ s U A ( μ s U A ) 2 M q 2 .
When M q U A μ + M q and s = 1 ,
ρ A ( ) = N d ( 2 π ) 2 ( μ + U A ) 2 M q 2 3 ( μ 2 U A ) ( μ + U A ) 4 M q 2 + U A 2 M q 2 3 U A 2 + 2 M q 2 2 M q 2 U A ln U A + U A 2 M q 2 U A U A 2 M q 2 + M q 2 2 ( μ + 2 U A ) ln μ + U A + ( μ + U A ) 2 M q 2 μ + U A ( μ + U A ) 2 M q 2 .
When U A + s M q μ ,
ρ A ( + ) = 0 ,
ρ A ( ) = 2 N d ( 2 π ) 2 ( μ + U A ) 2 M q 2 6 ( μ + U A ) ( μ 2 U A ) 4 M q 2 + 2 3 U A 2 M q 2 U A 2 + 2 M q 2 + ( U A μ ) 2 M q 2 6 ( μ U A ) ( μ + 2 U A ) 4 M q 2 2 M q 2 U A ln U A + U A 2 M q 2 m + M q 2 2 ( μ + 2 U A ) ln μ + U A + ( μ + U A ) 2 M q 2 M q M q 2 2 ( μ 2 U A ) ln U A μ + ( U A μ ) 2 M q 2 M q .

Appendix A.2. Tensor Type Spin Polarization

Appendix A.2.1. Quark Number Density

When U T < μ s M q for s = ± 1 ,
ρ q ( s ) = N d 2 π 2 1 6 μ 2 ( M q + s U T ) 2 2 μ 2 ( M q + s U T ) ( 2 M q s U T ) s 2 U T μ 2 π 2 sin 1 M q + s U T μ .
When U T > μ s M q ,
ρ q ( + 1 ) = 0 , ρ q ( 1 ) = N d 4 π U T μ 2 .

Appendix A.2.2. Scalar Density

When U T < μ s M q for s = ± 1 ,
ρ s ( s ) = N d 4 π 2 M q μ μ 2 ( M q + s U T ) 2 ( M q + s U T ) 2 2 ln μ + μ 2 ( M q + s U T ) 2 μ μ 2 ( M q + s U T ) 2 .
When U T > μ s M q ,
ρ s ( ± 1 ) = 0 ,

Appendix A.2.3. Tensor Density

When U T < μ M q for s = 1 or U T < M q for s = 1 ,
ρ T ( s ) = N d 12 π 2 s ( M q + s U T ) 2 M q + s 2 U T ln μ + μ 2 ( M q + s U T ) 2 μ μ 2 ( M q + s U T ) 2 + μ ( M q 2 s U T ) μ 2 ( M q + s U T ) 2 + μ 3 sin 1 μ 2 ( U T + s M q ) 2 μ .
When U T > μ M q for s = 1 ,
ρ T ( + 1 ) = 0 .
When μ + M q > U T > M q for s = 1 ,
ρ T ( 1 ) = N d 12 π 2 1 2 ( U T M q ) 2 U T + 2 M q ln μ + μ 2 ( U T M q ) 2 μ μ 2 ( U T M q ) 2 + μ 2 U T + M q μ 2 ( U T M q ) 2 + μ 3 π sin 1 μ 2 ( U T M q ) 2 μ .
When U T > μ + M q for s = 1 ,
ρ T ( 1 ) = N d 12 π μ 3 .

Appendix B. Vacuum Contributions of Densities

Appendix B.1. Axial-Vector-Type Spin Polarization

When U A > 0 and U T = 0 , the thermodynamic potential is written as
Ω v a c = i N d s = ± 1 d 4 p ( 2 π ) 4 1 / Λ 2 d τ τ e τ p 0 2 p T 2 ( p z 2 + M q 2 + s U A ) 2 = 1 8 π 5 / 2 s = ± 1 1 / Λ 2 d τ τ 5 / 2 0 d p z e τ p z 2 + M q 2 + s U A 2 .
Then, the scalar density is expressed as
ρ s ( V ) = Ω v a c M q = s = ± 1 2 N d 8 π 5 / 2 1 / Λ 2 d τ τ 3 / 2 0 d p z M q p z 2 + M q 2 p z 2 + M q 2 + s U A × e τ p z 2 + M q 2 + s U A 2 . = N d Λ 4 π 5 / 2 M q s = ± 1 0 d p z 1 + s U A p z 2 + M q 2 F 3 / 2 p z 2 + M q 2 + s U A Λ .
The AV density is expressed as
ρ A ( V ) = Ω v a c U A = s = ± 1 2 s N d 8 π 5 / 2 1 / Λ 2 d τ τ 3 / 2 0 d p z p z 2 + M q 2 + s U A e τ p z 2 + M q 2 + s U A 2 = N d Λ 4 π 5 / 2 s = ± 1 s 0 d p z p z 2 + M q 2 + s U A F 3 / 2 p z 2 + M q 2 + s U A Λ ,
where F α ( x ) is defined in Equation (23).

Appendix B.2. Tensor-Type Spin Polarization

The vacuum contribution to the thermodynamic potential is described as
Ω v a c = i N d s = ± 1 d 4 p ( 2 π ) 4 1 / Λ 2 d τ τ e τ p 0 2 p z 2 ( p T 2 + M q 2 + s U T ) 2 = N d 8 π 2 s = ± 1 1 / Λ 2 d τ τ 2 0 d p T p T e τ ( p T 2 + M q 2 + s U T ) 2 = N d 8 π 2 s = ± 1 1 / Λ 2 d τ τ 2 M q d E T E T e τ ( E T + s U T ) 2 .
Then, the scalar density is expressed as
ρ s ( V ) = Ω v a c M q = N d 4 π 2 M q s = ± 1 1 / Λ 2 d τ τ M q d E T E T + s U T e τ ( E T + s U T ) 2 . = N d M q 8 π 2 s 1 / Λ 2 d τ τ 2 e τ ( M q + s U T ) 2 = N d M q 8 π 2 Λ 2 s F 2 ( M q + s U T ) 2 Λ 2 .
The tensor density is expressed as
ρ T ( V ) = Ω v a c U T = N d 4 π 2 s = ± 1 s 1 / Λ 2 d τ τ M q d E T E T ( E T + s U T ) e τ ( E T + s U T ) 2 = N d 4 π 2 s = ± 1 s 1 / Λ 2 d τ τ M q + s U T d E T E T ( E T s U T ) e τ E T 2 = N d 4 π 2 s = ± 1 s 1 / Λ 2 d τ τ M q + s U T d E T E T 2 e τ E T 2 U T 2 τ e τ ( M q + s U T ) 2 = N d 8 π 2 Λ 2 2 M q U T M q + U T d E T F 1 E T 2 Λ 2 + s U T F 2 ( M q + s U T ) 2 Λ 2 .

References

  1. Chanmugam, G. Magnetic fields of degenerate stars. Annu. Rev. Astron. Astrophys. 1992, 30, 143–184. [Google Scholar] [CrossRef]
  2. Woods, P.M.; Thompson, C. Soft gamma ray repeaters and anomalous X-ray pulsars: Magnetar candidates. In Compact Stellar X-Ray Sources; Cambridge University Press: Cambridge, UK, 2006; pp. 547–586. [Google Scholar]
  3. Harding, A.K.; Lai, D. Physics of strongly magnetized neutron stars. Rep. Prog. Phys. 2006, 69, 2631. [Google Scholar]
  4. Thompson, C.; Duncan, R.C. The soft gamma repeaters as very strongly magnetized neutron stars. Mon. Not. R. Astron. Soc. 1995, 275, 255–300. [Google Scholar] [CrossRef]
  5. Turolla, R.; Zane, S.; Watts, A.L. Magnetars: The physics behind observations. A review. Rep. Prog. Phys. 2015, 78, 116901. [Google Scholar]
  6. Kaspi, V.M.; Beloborodov, A.M. Magnetars. Annu. Rev. Astron. Astrophys. 2017, 55, 261–301. [Google Scholar]
  7. Braithwaite, J.; Spruit, H.C. A fossil origin for the magnetic field in A stars and white dwarfs. Nature 2004, 431, 819–821. [Google Scholar] [CrossRef]
  8. Makishima, K.; Enoto, T.; Hiraga, J.S.; Nakano, T.; Nakazawa, K.; Sakurai, S.; Sasano, M.; Murakami, H. Possible Evidence for Free Precession of a Strongly Magnetized Neutron Star in the Magnetar 4U 0142+61. Phys. Rev. Lett. 2014, 112, 171102. [Google Scholar] [CrossRef]
  9. Braun-Munzinger, P.; Stachel, J. The quest for the quark–gluon plasma. Nature 2007, 448, 302–309. [Google Scholar]
  10. Fu, B.; Liu, S.Y.F.; Pang, L.; Song, H.; Yin, Y. Shear-Induced Spin Polarization in Heavy-Ion Collisions. Phys. Rev. Lett. 2021, 127, 142301. [Google Scholar]
  11. Sheng, X.-L.; Oliva, L.; Liang, Z.-T.; Wang, Q.; Wang, X.-N. Spin Alignment of Vector Mesons in Heavy-Ion Collisions. Phys. Rev. Lett. 2023, 131, 042304. [Google Scholar]
  12. Becattini, F.; Buzzegoli, M.; Niida, T.; Pu, S.; Tang, A.-H.; Wang, Q. Spin polarization in relativistic heavy-ion collisions. Int. J. Mod. Phys. E 2024, 33, 2430006. [Google Scholar] [CrossRef]
  13. Weber, F. Strange quark matter and compact stars. Prog. Part. Nucl. Phys. 2005, 54, 193–288. [Google Scholar] [CrossRef]
  14. Page, D.; Reddy, S. Dense Matter in Compact Stars: Theoretical Developments and Observational Constraints. Ann. Rev. Nucl. Part. Sci. 2006, 56, 327–374. [Google Scholar] [CrossRef]
  15. Lattimer, J.M.; Prakash, M. Neutron star observations: Prognosis for equation of state constraints. Phys. Rep. 2006, 442, 109–165. [Google Scholar] [CrossRef]
  16. Schaefer, T. Phases of QCD. arXiv 2005, arXiv:hep-ph/0509068. [Google Scholar]
  17. Braun-Munzinger, P.; Wambach, J. Colloquium: Phase diagram of strongly interacting matter. Rev. Mod. Phys. 2009, 81, 103–1051. [Google Scholar] [CrossRef]
  18. Alford, M.G.; Rajagopal, K.; Schaefer, T.; Schmitt, A. Color superconductivity in dense quark matter. Rev. Mod. Phys 2008, 80, 1455–1515. [Google Scholar] [CrossRef]
  19. Tatsumi, T. Ferromagnetism of quark liquid. Phys. Lett. B 2000, 489, 280–286. [Google Scholar] [CrossRef]
  20. Bloch, F. Bemerkung zur Elektronentheorie des Ferromagnetismus und der elektrischen Leitfaehigkeit. Z. Phys 1929, 57, 545–555. [Google Scholar] [CrossRef]
  21. Herring, C. Exchange Interactions Among Itinerant Electrons: Magnetism IV; Academic Press: New York, NY, USA, 1966. [Google Scholar]
  22. Yoshida, K. Theory of Magnetism; Springer: Berlin/Heidelberg, Germany, 1998. [Google Scholar]
  23. Moriya, T. Spin Fluctuations in Itinerant Electron Magnetism; Springer: Berlin/Heidelberg, Germany, 1985. [Google Scholar]
  24. Maruyama, T.; Tatsumi, T. Ferromagnetism of nuclear matter in the relativistic approach. Nucl. Phys. A 2001, 693, 710–730. [Google Scholar] [CrossRef]
  25. Jungnickel, D.-U.; Wetterich, C. Effective action for the chiral quark-meson model. Phys. Rev. D 1996, 53, 5142–5175. [Google Scholar] [CrossRef] [PubMed]
  26. Wang, P.; Lyubovitskij, V.E.; Gutsche, T.; Faessler, A. Strange quark matter in a chiral SU(3) quark mean field model. Phys. Rev. C 2003, 67, 05210. [Google Scholar] [CrossRef]
  27. Wang, P.; Leinweber, D.B.; Thomas, A.W.; Williams, A.G. New treatment of the chiral SU(3) quark mean field model. Nucl. Phys. A 2004, 744, 273–292. [Google Scholar] [CrossRef]
  28. Nambu, Y. Spontaneous Breaking of Lie and Current Algebras. J. Stat. Phys 2004, 115, 7–17. [Google Scholar] [CrossRef]
  29. Nakano, E.; Maruyama, T.; Tatsumi, T. Spin polarization and color superconductivity in quark matter. Phys. Rev. D 2003, 68, 105001. [Google Scholar] [CrossRef]
  30. Nakano, E.; Tatsumi, T. Chiral symmetry and density waves in quark matter. Phys. Rev. D 2005, 71, 114006. [Google Scholar] [CrossRef]
  31. Maedan, S. Spin Polarization and Chiral Symmetry Breaking at Finite Density. Prog. Theor. Phys. 2007, 118, 729–748. [Google Scholar] [CrossRef]
  32. Maruyama, T.; Nakano, E.; Tatsumi, T. Relativistic Spin-Polarization and Ferromagnetism in Quark Matter. In Horizons in World Physics; Nova Science: New York, NY, USA, 2011; Chapter 7; Volume 276. [Google Scholar]
  33. Maruyama, T.; Tatsumi, T. Spontaneous spin polarization due to tensor self-energies in quark matter. Phys. Rev. D 2017, 96, 096016. [Google Scholar] [CrossRef]
  34. Tsue, Y.; da Providencia, J.; Providencia, C.; Yamamura, M.; Bohr, H. Interplay between Spin Polarization and Color Superconductivity in High Density Quark Matter. PTEP 2013, 2013, 103D01. [Google Scholar] [CrossRef][Green Version]
  35. Ring, P. Relativistic mean field theory in finite nuclei. Prog. Part. Nucl. Phys. 1996, 37, 193–263. [Google Scholar] [CrossRef]
  36. Shuryak, E.V. The QCD Vacuum, Hadrons and Superdense Matter. In World Scientific Lecture Notes in Physics; World Scientific Publishing Co Pte Ltd.: Singapore, 2004; Volume 71. [Google Scholar]
  37. Tsue, Y.; da Providência, J.; Providência, C.; Yamamura, M.; Bohr, H. Spin polarization versus color–flavor locking in high-density quark matter. PTEP 2015, 2015, 013D02. [Google Scholar]
  38. Matsuoka, H.; Tsue, Y.; da Providencia, J.; Providencia, C.; Yamamura, M. Spin polarization and color superconductivity in the Nambu–Jona-Lasinio model at finite temperature. Phys. Rev. D 2017, 95, 054025. [Google Scholar]
  39. Matsuoka, H.; Tsue, Y.; da Providência, J.; Providência, C.; Yamamura, M.; Bohr, H. Spin-polarized versus chiral condensate in quark matter at finite temperature and density. PTEP 2016, 2016, 053D02. [Google Scholar]
  40. Morimoto, M.; Tsue, Y.; da Providencia, J.; Providencia, C.; Yamamura, M. Spontaneous magnetization under a pseudovector interaction between quarks in high density quark matter. Int. J. Mod. Phys. E 2018, 27, 1850028. [Google Scholar]
  41. Tsue, Y.; Providencia, J.D.; Providencia, C.; Yamamura, M. Effective Potential Approach to Quark Ferromagnetization in High Density Quark Matter: Tensor. Prog. Theor. Phys. 2012, 128, 507–522. [Google Scholar]
  42. Yoshiike, R.; Nishiyama, K.; Tatsumi, T. Spontaneous magnetization of quark matter in the inhomogeneous chiral phase. Phys. Lett. B 2015, 751, 123–126. [Google Scholar]
  43. Schwinger, J. On Gauge Invariance and Vacuum Polarization. Phys. Rev. 1951, 82, 664–679. [Google Scholar]
  44. Bonati, C.; D’Elia, M.; Mariti, M.; Negro, F.; Sanfilippo, F. Magnetic susceptibility and equation of state of Nf = 2 + 1 QCD with physical quark masses. Phys. Rev. D 2014, 89, 054506. [Google Scholar]
  45. Bali, G.S.; Bruckmann, F.; Constantinou, M.; Costa, M.; Endrodi, G.; Katz, S.D.; Panagopoulos, H.; Schaefer, A. Magnetic susceptibility of QCD at zero and at finite temperature from the lattice. Phys. Rev. D 2012, 86, 094512. [Google Scholar]
  46. Armitage, N.P.; Mele, E.J.; Vishwanath, A. Weyl and Dirac semimetals in three-dimensional solids. Rev. Mod. Phys. 2018, 90, 015001. [Google Scholar]
  47. Tatsumi, T.; Yoshiike, R.; Kashiwa, K. Anomalous Hall effect in dense QCD matter. Phys. Lett. B 2018, 785, 46–50. [Google Scholar] [CrossRef]
  48. Hatsuda, T.; Kunihiro, T. QCD phenomenology based on a chiral effective Lagrangian. Phys. Rep. 2004, 247, 221–367. [Google Scholar] [CrossRef]
  49. Tsushima, K.; Maruyama, T.; Faessler, A. Temperature and density dependence of quark dynamical properties: Application of `thermo field dynamics’ to the SU(3) NJL model with instanton effects. Nucl. Phys. A 1991, 535, 497–508. [Google Scholar]
  50. Tsushima, K.; Maruyama, T.; Faessler, A. Chiral Phase Transition and Dynamical Properties of Quark at Finite Temperature and Density. Nucl. Phys. A 1992, 537, 303–326. [Google Scholar]
  51. Maruyama, T.; Nakano, E.; Yanase, K.; Yoshinaga, N. Spin polarized phases in strongly interacting matter: Interplay between axial-vector and tensor mean fields. Phys. Rev. D 2018, 97, 114014. [Google Scholar]
  52. Ferrer, E.J.; Incera, V.d.; Portillo, I.; Quiroz, M. New look at the QCD ground state in a magnetic field. Phys. Rev. D 2014, D 89, 085034. [Google Scholar]
  53. Feng, B.; Ferrer, E.J.; de la Incera, V. Cooper pairs’ magnetic moment in MCFL color superconductivity. Nucl. Phys. B 2011, 853, 213–239. [Google Scholar]
  54. Lutz, M.; Klimt, S.; Weis, W. Chiral phase transition in the SU(3) Nambu and Jona-Lasinio model. Phys. Lett. B 1990, 249, 386–390. [Google Scholar]
  55. Klevansky, S.P. The Nambu-Jona-Lasinio model of quantum chromodynamics. Rev. Mod. Phys. 1992, 64, 649–705. [Google Scholar]
Figure 1. Contour plots of the single-particle energy minus its minimum value in the p y p z plane ( p x = 0 ) when U A = 0 (a), U A = 1.4 M q (b), and U A = 2.8 M q (c). The red solid and blue dashed lines show the results for the major spin states ( s = 1 ) and that for the minor spin states ( s = 1 ).
Figure 1. Contour plots of the single-particle energy minus its minimum value in the p y p z plane ( p x = 0 ) when U A = 0 (a), U A = 1.4 M q (b), and U A = 2.8 M q (c). The red solid and blue dashed lines show the results for the major spin states ( s = 1 ) and that for the minor spin states ( s = 1 ).
Symmetry 16 01642 g001
Figure 2. The energy constant surfaces for e = 2.5 M q and s = 1 , when U A = 2.8 M q (a) and when U T = 2.8 M q (b).
Figure 2. The energy constant surfaces for e = 2.5 M q and s = 1 , when U A = 2.8 M q (a) and when U T = 2.8 M q (b).
Symmetry 16 01642 g002
Figure 3. AV-type spin polarization characteristics with PM1. In upper panels (a,c,e), the tensor densities are normalized to the normal nuclear density. In lower panels (b,d,f), the dynamical quark mass is normalized by the nucleon mass for the spin-polarized (red solid lines) and spin-saturated (blue dashed line) phases. Results for G A = 1.25 (a,b), = 1.5 (c,d), and = 1.75 (e,f) are shown in the left, middle, and right panels, respectively.
Figure 3. AV-type spin polarization characteristics with PM1. In upper panels (a,c,e), the tensor densities are normalized to the normal nuclear density. In lower panels (b,d,f), the dynamical quark mass is normalized by the nucleon mass for the spin-polarized (red solid lines) and spin-saturated (blue dashed line) phases. Results for G A = 1.25 (a,b), = 1.5 (c,d), and = 1.75 (e,f) are shown in the left, middle, and right panels, respectively.
Symmetry 16 01642 g003
Figure 4. AV-type spin polarization characteristics with PM2. In upper panels (a,c,e), the AV densities are normalized to the normal nuclear density. In lower panels (b,d,f), the dynamical quark mass is normalized by the nucleon mass, shown for the spin-polarized (red solid lines) and spin-saturated (blue dashed line) phases. Results for G A = 1.1 (a,b), = 1.25 (c,d), and = 1.75 (e,f) are shown in the left, middle, and right panels, respectively.
Figure 4. AV-type spin polarization characteristics with PM2. In upper panels (a,c,e), the AV densities are normalized to the normal nuclear density. In lower panels (b,d,f), the dynamical quark mass is normalized by the nucleon mass, shown for the spin-polarized (red solid lines) and spin-saturated (blue dashed line) phases. Results for G A = 1.1 (a,b), = 1.25 (c,d), and = 1.75 (e,f) are shown in the left, middle, and right panels, respectively.
Symmetry 16 01642 g004
Figure 5. T-type spin polarization characteristics with PM1. In upper panels (a,c,e), the tensor densities are normalized to the normal nuclear density. The solid and dotted lines correspond to the results in the massive quark and massless quark phases, respectively. In lower panels (b,d,f), the dynamical quark mass is normalized by the nucleon mass, shown for the spin-polarized (red solid lines) and spin-saturated (blue dashed line) phases. The left, middle, and right panels present the results for G T = 1.25 G s (a,b), = 1.5 G s (c,d), and = 1.75 G s (e,f), respectively.
Figure 5. T-type spin polarization characteristics with PM1. In upper panels (a,c,e), the tensor densities are normalized to the normal nuclear density. The solid and dotted lines correspond to the results in the massive quark and massless quark phases, respectively. In lower panels (b,d,f), the dynamical quark mass is normalized by the nucleon mass, shown for the spin-polarized (red solid lines) and spin-saturated (blue dashed line) phases. The left, middle, and right panels present the results for G T = 1.25 G s (a,b), = 1.5 G s (c,d), and = 1.75 G s (e,f), respectively.
Symmetry 16 01642 g005
Figure 6. T-type spin polarization characteristics with PM2. In upper panels (a,c,e), the tensor densities are normalized to the normal nuclear density. The solid and dotted lines correspond to the results in the massive quark and massless quark phases, respectively. In lower panels (b,d,f), the dynamical quark mass is normalized by the nucleon mass for the spin-polarized (red solid lines) and spin-saturated (blue dashed line) phases. The left, middle, and right panels show the results for G T = 0.9 G s (a,b), = 1.25 G s (c,d), and = 1.5 G s (e,f), respectively.
Figure 6. T-type spin polarization characteristics with PM2. In upper panels (a,c,e), the tensor densities are normalized to the normal nuclear density. The solid and dotted lines correspond to the results in the massive quark and massless quark phases, respectively. In lower panels (b,d,f), the dynamical quark mass is normalized by the nucleon mass for the spin-polarized (red solid lines) and spin-saturated (blue dashed line) phases. The left, middle, and right panels show the results for G T = 0.9 G s (a,b), = 1.25 G s (c,d), and = 1.5 G s (e,f), respectively.
Symmetry 16 01642 g006
Figure 7. Spin polarization ratio with PM1. The upper panels show the results for the AV type when G A = 1.25 G s (a), G A = 1.5 G s (b), and G A = 1.75 G s (c). Rhe lower panels show the results for the AV type when G T = 1.25 G s (d), G T = 1.5 G s (e), and G A = 1.75 G s (f). In the lower panel, the solid and dotted lines represent the results in the massive and massless spin-polarized phases, respectively.
Figure 7. Spin polarization ratio with PM1. The upper panels show the results for the AV type when G A = 1.25 G s (a), G A = 1.5 G s (b), and G A = 1.75 G s (c). Rhe lower panels show the results for the AV type when G T = 1.25 G s (d), G T = 1.5 G s (e), and G A = 1.75 G s (f). In the lower panel, the solid and dotted lines represent the results in the massive and massless spin-polarized phases, respectively.
Symmetry 16 01642 g007
Figure 8. Tensor density in the AV-type spin-polarized phase with G A / G s = 1.25 (dotted line), = 1.5 (solid line), and = 1.75 (dashed line) in the PM1 parameter sets.
Figure 8. Tensor density in the AV-type spin-polarized phase with G A / G s = 1.25 (dotted line), = 1.5 (solid line), and = 1.75 (dashed line) in the PM1 parameter sets.
Symmetry 16 01642 g008
Table 1. Parameter sets.
Table 1. Parameter sets.
 Parameter    G s Λ 2    Λ (MeV)   M 0 / M N   ρ c NQ / N c ρ 0  
PM16.08500.4263.4085
PM26.35660.370.3521.7614
Disclaimer/Publisher’s Note: The statements, opinions and data contained in all publications are solely those of the individual author(s) and contributor(s) and not of MDPI and/or the editor(s). MDPI and/or the editor(s) disclaim responsibility for any injury to people or property resulting from any ideas, methods, instructions or products referred to in the content.

Share and Cite

MDPI and ACS Style

Maruyama, T.; Tatsumi, T. Axial-Vector and Tensor Spin Polarization and Chiral Restoration in Quark Matter. Symmetry 2024, 16, 1642. https://doi.org/10.3390/sym16121642

AMA Style

Maruyama T, Tatsumi T. Axial-Vector and Tensor Spin Polarization and Chiral Restoration in Quark Matter. Symmetry. 2024; 16(12):1642. https://doi.org/10.3390/sym16121642

Chicago/Turabian Style

Maruyama, Tomoyuki, and Toshitaka Tatsumi. 2024. "Axial-Vector and Tensor Spin Polarization and Chiral Restoration in Quark Matter" Symmetry 16, no. 12: 1642. https://doi.org/10.3390/sym16121642

APA Style

Maruyama, T., & Tatsumi, T. (2024). Axial-Vector and Tensor Spin Polarization and Chiral Restoration in Quark Matter. Symmetry, 16(12), 1642. https://doi.org/10.3390/sym16121642

Note that from the first issue of 2016, this journal uses article numbers instead of page numbers. See further details here.

Article Metrics

Back to TopTop