On the Discretization of the Weibull-G Family of Distributions: Properties, Parameter Estimates, and Applications of a New Discrete Distribution
Abstract
1. Introduction
2. Discrete Weibull Exponential Distribution (DWE)
3. Statistical Properties of the DWE Distribution
3.1. The Quantile Function and the Median
3.2. Moments
3.3. The Moment-Generating Function
3.4. The Dispersion Index and Coefficient of Variation
3.5. The Rényi Entropy
3.6. The Order Statistic
4. Parameter Estimation for DWE Distribution
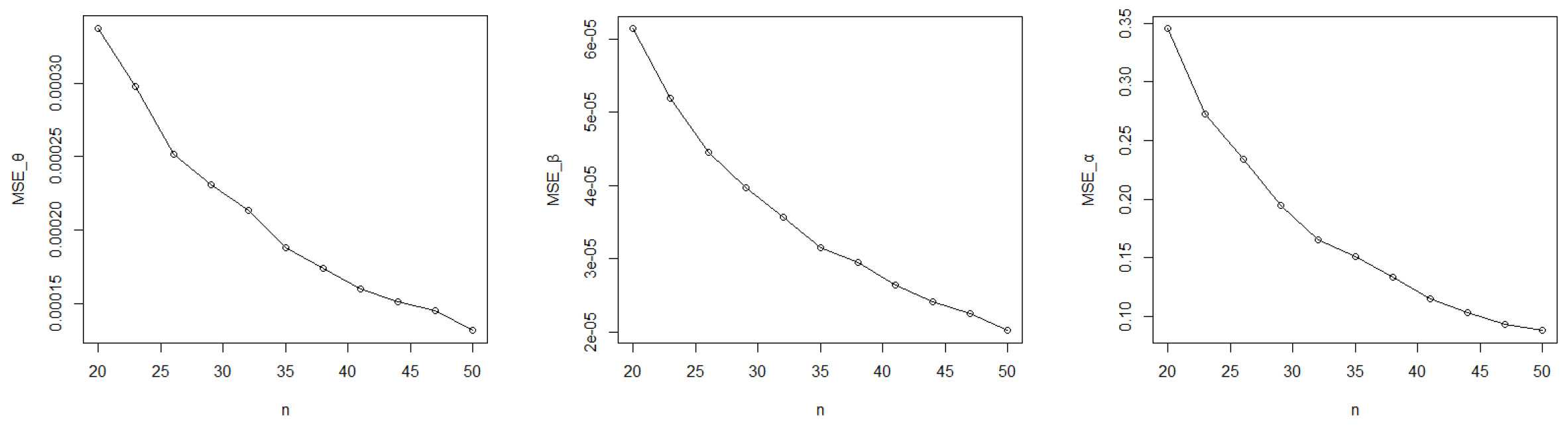
5. Simulation Study
- Case I:
- .
- Case II:
- .
- Case III:
- .
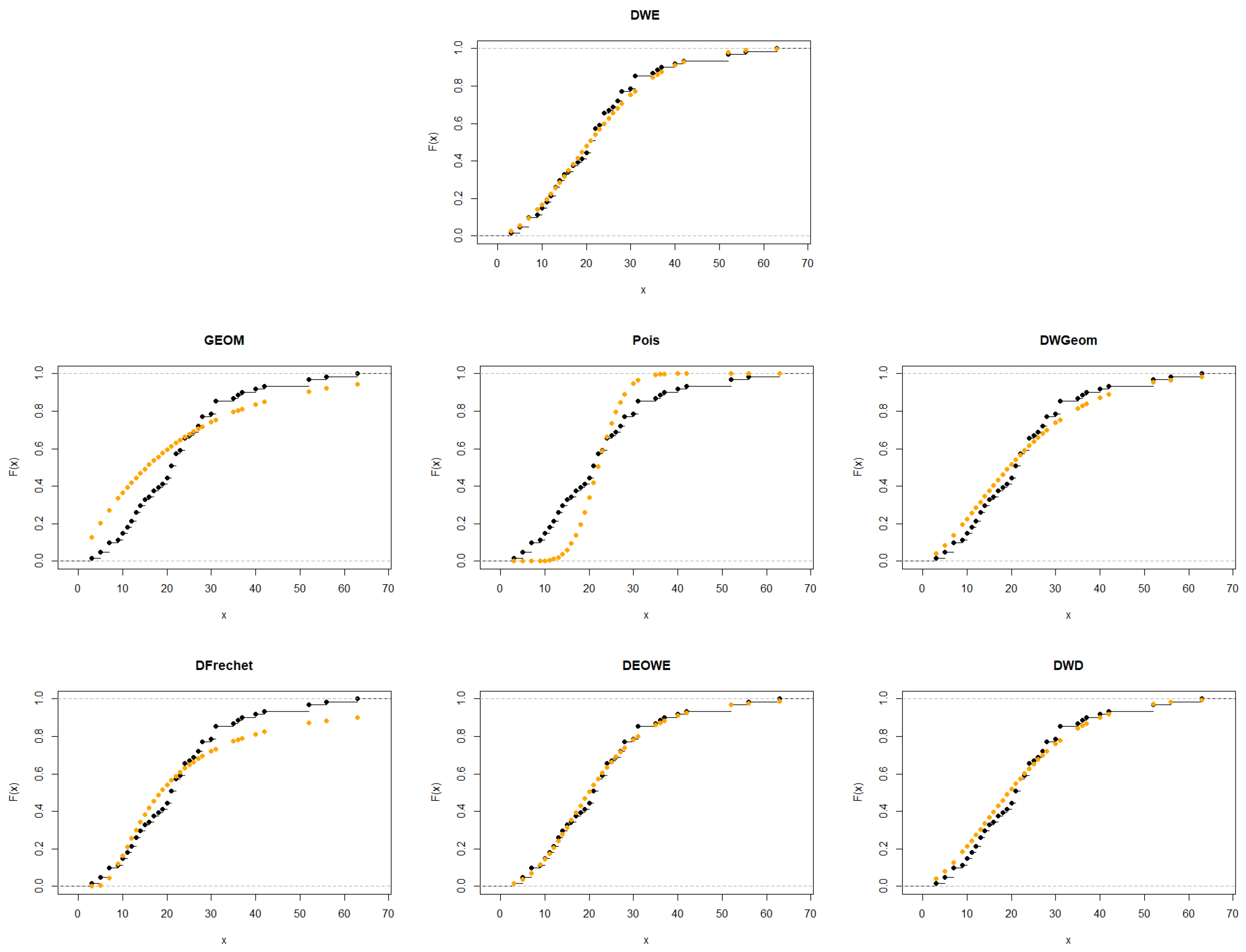
6. Application
- (1)
- Geometric Distribution (Geom)
- (2)
- Poisson distribution (Pois)
- (3)
- Discrete Weibull–Geometric Distribution (DWGeom) [16]:
- (4)
- Discrete fréchet (dfréchet) [17]:
- (5)
- Discrete extended odd Weibull exponential distribution (DEOWE) [18]:
- (6)
- Discrete Weibull Distribution (DWD) [19]:
6.1. First Data Set
6.2. Second Data Set
6.3. Third Data Set
7. Conclusions
Author Contributions
Funding
Data Availability Statement
Conflicts of Interest
References
- Eliwa, M.; Alhussain, Z.; El-Morshedy, M. Discrete Gompertz-G family of distributions for over-and under-dispersed data with properties, estimation, and applications. Mathematics 2020, 8, 358. [Google Scholar] [CrossRef]
- Steutel, F.W.; Van Harn, K. Infinite Divisibility of Probability Distributions on the Real Line; CRC Press: Boca Raton, FL, USA, 2003. [Google Scholar]
- Yousof, H.M.; Majumder, M.; Jahanshahi, S.; Masoom Ali, M.; Hamedani, G. A new Weibull class of distributions: Theory, characterizations and applications. J. Stat. Res. Iran JSRI 2018, 15, 45–82. [Google Scholar] [CrossRef]
- Bourguignon, M.; Silva, R.B.; Cordeiro, G.M. The Weibull-G family of probability distributions. J. Data Sci. 2014, 12, 53–68. [Google Scholar] [CrossRef]
- Aboraya, M.; M. Yousof, H.; Hamedani, G.; Ibrahim, M. A new family of discrete distributions with mathematical properties, characterizations, Bayesian and non-Bayesian estimation methods. Mathematics 2020, 8, 1648. [Google Scholar] [CrossRef]
- Ibrahim, M.; Ali, M.M.; Yousof, H.M. The discrete analogue of the Weibull G family: Properties, different applications, Bayesian and non-Bayesian estimation methods. Ann. Data Sci. 2021, 10, 1069–1106. [Google Scholar] [CrossRef]
- Alzaatreh, A.; Lee, C.; Famoye, F. A new method for generating families of continuous distributions. Metron 2013, 71, 63–79. [Google Scholar] [CrossRef]
- Alzaatreh, A.; Ghosh, I. On the Weibull-X family of distributions. J. Stat. Theory Appl. 2015, 14, 169–183. [Google Scholar] [CrossRef]
- Cordeiro, G.M.; M. Ortega, E.M.; Ramires, T.G. A new generalized Weibull family of distributions: Mathematical properties and applications. J. Stat. Distrib. Appl. 2015, 2, 13. [Google Scholar] [CrossRef]
- Kemp, A.W. Classes of Discrete Lifetime Distributions. Commun. Stat.—Theory Methods 2004, 33, 3069–3093. [Google Scholar] [CrossRef]
- Elbatal, I.; Alotaibi, N.; Almetwally, E.M.; Alyami, S.A.; Elgarhy, M. On Odd Perks-G Class of Distributions: Properties, Regression Model, Discretization, Bayesian and Non-Bayesian Estimation, and Applications. Symmetry 2022, 14, 883. [Google Scholar] [CrossRef]
- Eliwa, M.S.; El-Morshedy, M.; Yousof, H.M. A Discrete Exponential Generalized-G Family of Distributions: Properties with Bayesian and Non-Bayesian Estimators to Model Medical, Engineering and Agriculture Data. Mathematics 2022, 10, 3348. [Google Scholar] [CrossRef]
- El-Morshedy, M.; Eliwa, M.; Tyagi, A. A discrete analogue of odd Weibull-G family of distributions: Properties, classical and Bayesian estimation with applications to count data. J. Appl. Stat. 2022, 49, 2928–2952. [Google Scholar] [CrossRef]
- Rényi, A. On measures of entropy and information. In Proceedings of the Fourth Berkeley Symposium on Mathematical Statistics and Probability, Volume 1: Contributions to the Theory of Statistics; University of California Press: Berkeley, CA, USA, 1961; Volume 4, pp. 547–562. [Google Scholar]
- Arnold, B.C.; Balakrishnan, N.; Nagaraja, H.N. A First Course in Order Statistics; Wiley: New York, NY, USA, 1992. [Google Scholar]
- Jayakumar, K.; Babu, M.G. Discrete Weibull geometric distribution and its properties. Commun. Stat.—Theory Methods 2018, 47, 1767–1783. [Google Scholar] [CrossRef]
- Nadarajah, S.; Lyu, J. New discrete heavy tailed distributions as models for insurance data. PLoS ONE 2023, 18, e0285183. [Google Scholar] [CrossRef]
- Nagy, M.; Almetwally, E.M.; Gemeay, A.M.; Mohammed, H.S.; Jawa, T.M.; Sayed-Ahmed, N.; Muse, A.H. The new novel discrete distribution with application on covid-19 mortality numbers in Kingdom of Saudi Arabia and Latvia. Complexity 2021, 2021, 7192833. [Google Scholar] [CrossRef]
- Augusto Taconeli, C.; Rodrigues de Lara, I.A. Discrete Weibull distribution: Different estimation methods under ranked set sampling and simple random sampling. J. Stat. Comput. Simul. 2022, 92, 1740–1762. [Google Scholar] [CrossRef]
- Hurvich, C.M.; Tsai, C.L. Regression and time series model selection in small samples. Biometrika 1989, 76, 297–307. [Google Scholar] [CrossRef]
- Akaike, H. A new look at the statistical model identification. IEEE Trans. Autom. Control 1974, 19, 716–723. [Google Scholar] [CrossRef]
- Schwarz, G. Estimating the dimension of a model. Ann. Stat. 1978, 6, 461–464. [Google Scholar] [CrossRef]
- Hannan, E.J.; Quinn, B.G. The determination of the order of an autoregression. J. R. Stat. Soc. Ser. B Methodol. 1979, 41, 190–195. [Google Scholar] [CrossRef]
- Gacula, M., Jr.; Kubala, J. Statistical models for shelf life failures. J. Food Sci. 1975, 40, 404–409. [Google Scholar] [CrossRef]
- Nassar, M.; Kumar, D.; Dey, S.; Cordeiro, G.M.; Afify, A.Z. The Marshall–Olkin alpha power family of distributions with applications. J. Comput. Appl. Math. 2019, 351, 41–53. [Google Scholar] [CrossRef]
- Almetwally, E.M.; Abdo, D.A.; Hafez, E.; Jawa, T.M.; Sayed-Ahmed, N.; Almongy, H.M. The new discrete distribution with application to COVID-19 Data. Results Phys. 2022, 32, 104987. [Google Scholar] [CrossRef] [PubMed]
- Birnbaum, Z.W.; Saunders, S.C. Estimation for a family of life distributions with applications to fatigue. J. Appl. Probab. 1969, 6, 328–347. [Google Scholar] [CrossRef]











| Mean | var | Sk | K | DSI | COV | |||
|---|---|---|---|---|---|---|---|---|
| 0.9 | 0.8 | 0.8 | 0.63613 | 1.4820365 | 2.623497 | 11.67308 | 2.178932 | 1.764302 |
| 1.0 | 0.8 | 0.8 | 0.53651 | 1.1562765 | 2.692359 | 12.16114 | 1.955228 | 1.625485 |
| 1.1 | 0.8 | 0.8 | 0.46758 | 0.9618487 | 2.755160 | 12.46055 | 1.986928 | 1.709372 |
| 1.2 | 0.8 | 0.8 | 0.40572 | 0.7907006 | 2.827562 | 12.82022 | 2.118363 | 2.330601 |
| 1.3 | 0.8 | 0.8 | 0.35036 | 0.6422556 | 2.868490 | 13.08421 | 1.194890 | 2.651182 |
| 1.4 | 0.8 | 0.8 | 0.31317 | 0.5464306 | 2.915547 | 13.27730 | 1.565657 | 2.502524 |
| 1.5 | 0.8 | 0.8 | 0.27463 | 0.4599740 | 3.007003 | 13.82224 | 1.392622 | 2.460666 |
| 1.6 | 0.8 | 0.8 | 0.24485 | 0.3937704 | 3.050039 | 13.98168 | 1.111485 | 2.028944 |
| 1.7 | 0.8 | 0.8 | 0.22099 | 0.3426884 | 3.105343 | 14.22292 | 2.144781 | 3.195817 |
| 0.7 | 0.9 | 2.5 | 0.63839 | 0.3318948 | 0.2150545 | 2.273680 | 0.6397306 | 1.0325782 |
| 0.7 | 1.0 | 2.5 | 0.76310 | 0.3838390 | 0.2229947 | 2.591419 | 0.4885216 | 0.7450759 |
| 0.7 | 1.1 | 2.5 | 0.89339 | 0.4471207 | 0.2431885 | 2.708928 | 0.4970760 | 0.7233519 |
| 0.7 | 1.2 | 2.5 | 1.01903 | 0.5134084 | 0.2575146 | 2.758525 | 0.4499450 | 0.6674504 |
| 0.7 | 1.3 | 2.5 | 1.14110 | 0.5835564 | 0.2629662 | 2.781759 | 0.3957219 | 0.6228665 |
| 0.7 | 1.4 | 2.5 | 1.27459 | 0.6669239 | 0.2675351 | 2.782106 | 0.5070707 | 0.6369117 |
| 0.7 | 1.5 | 2.5 | 1.39779 | 0.7482641 | 0.2737800 | 2.796096 | 0.5004979 | 0.5936862 |
| 0.7 | 1.6 | 2.5 | 1.52671 | 0.8363944 | 0.2810906 | 2.799882 | 0.4797980 | 0.5476073 |
| 0.7 | 1.7 | 2.5 | 1.65514 | 0.9356285 | 0.2849057 | 2.799589 | 0.6695992 | 0.6572667 |
| 0.5 | 0.5 | 0.9 | 0.65577 | 1.2787146 | 2.273438 | 9.417977 | 2.0405504 | 1.719686 |
| 0.5 | 0.5 | 1.0 | 0.58157 | 0.9162312 | 2.025603 | 7.960426 | 1.5180573 | 1.442058 |
| 0.5 | 0.5 | 1.1 | 0.53670 | 0.7277665 | 1.831957 | 6.841325 | 1.4842629 | 1.466665 |
| 0.5 | 0.5 | 1.2 | 0.49981 | 0.5927157 | 1.657637 | 5.929515 | 1.2475738 | 1.564041 |
| 0.5 | 0.5 | 1.3 | 0.46878 | 0.4969840 | 1.498745 | 5.175420 | 0.9437229 | 1.835876 |
| 0.5 | 0.5 | 1.4 | 0.45180 | 0.4368885 | 1.351888 | 4.502136 | 0.8915989 | 1.474663 |
| 0.5 | 0.5 | 1.5 | 0.43161 | 0.3865797 | 1.242426 | 4.034442 | 0.7800224 | 1.316580 |
| 0.5 | 0.5 | 1.6 | 0.41877 | 0.3507332 | 1.133300 | 3.592376 | 0.7650417 | 1.289626 |
| 0.5 | 0.5 | 1.7 | 0.40692 | 0.3244679 | 1.049193 | 3.242691 | 0.8106648 | 1.373050 |
| Sample Size | Parameter | Case I | Case II | Case III | |||
|---|---|---|---|---|---|---|---|
| MLE | MSE | MLE | MSE | MLE | MSE | ||
| 0.5074528 | 0.003882414 | 0.2025147 | 2.214930 × 10−4 | 0.05138392 | 5.946656 × 10−5 | ||
| 0.5964033 | 0.002817521 | 0.5015774 | 3.806611 × 10−5 | 0.40195144 | 6.627253 × 10−6 | ||
| 1.1929766 | 0.087645668 | 2.5298629 | 1.904817 × 10−1 | 1.35938594 | 4.455467 × 10−2 | ||
| 0.5025115 | 0.0010940215 | 0.2011377 | 6.642254 × 10−5 | 0.05058812 | 1.721367 × 10−5 | ||
| 0.5989836 | 0.0007626512 | 0.5013801 | 1.236618 × 10−5 | 0.40171244 | 3.818087 × 10−6 | ||
| 1.1241868 | 0.0179010381 | 2.4408913 | 4.721245 × 10−2 | 1.31816245 | 1.151682 × 10−2 | ||
| 0.5010536 | 0.0005443831 | 0.2007682 | 3.185856 × 10−5 | 0.05029812 | 8.172484 × 10−6 | ||
| 0.5996454 | 0.0003819548 | 0.5014658 | 7.656253 × 10−6 | 0.40149683 | 2.769827 × 10−6 | ||
| 1.1114204 | 0.0085155657 | 2.4174074 | 2.289356 × 10−2 | 1.30845216 | 5.572183 × 10−3 | ||
| 0.5006724 | 0.0002112696 | 0.2006683 | 1.355192 × 10−5 | 0.05026356 | 3.346773 × 10−6 | ||
| 0.5998296 | 0.0001473779 | 0.5012536 | 3.362149 × 10−6 | 0.40140377 | 2.338581 × 10−6 | ||
| 1.1045133 | 0.0033042406 | 2.4075469 | 8.797369 × 10−3 | 1.30385604 | 2.169917 × 10−3 | ||
| Distributions | DWE | GEOM | Pois | DWGeom | DFrechet | DEOWE | DW |
|---|---|---|---|---|---|---|---|
| Parameter estimation | = 0.0505 | = 0.0233 | = 42.884 | = 0.1166 | = 35.906 | = 2.6158 | = 0.9941 |
| (0.0995) | (0.0045) | (1.2843) | (0.3936) | (2.1594) | (0.2543) | (0.0037) | |
| = 2.4137 | = 0.9959 | = 3.4671 | = 0.6271 | = 1.3578 | |||
| (4.751) | (0.0021) | (0.5085) | (0.8295) | (0.1654) | |||
| = 4.3467 | = 1.4229 | = 0.0162 | |||||
| (0.6987) | (0.1404) | (0.0006) | |||||
| −logL | 100.1117 | 123.4158 | 114.7385 | 116.5324 | 104.1828 | 103.9409 | 116.8963 |
| AICc | 207.3144 | 248.9983 | 231.6436 | 240.1557 | 212.8872 | 214.9728 | 238.3143 |
| AIC | 206.2235 | 248.8316 | 231.4769 | 239.0648 | 212.3655 | 213.8819 | 237.7925 |
| BIC | 209.9978 | 250.0897 | 232.7350 | 242.8391 | 214.8817 | 217.6562 | 240.3087 |
| HQIC | 207.3103 | 249.1939 | 231.8392 | 240.1517 | 213.0901 | 214.9688 | 238.5171 |
| p-Value | 6.7108 × 10−1 | 1.2006 × 10−4 | 3.9658 × 10−2 | 3.6631 × 10−3 | 4.0413 × 10−1 | 5.5648 × 10−1 | 1.4349 × 10−3 |
| Distributions | DWE | GEOM | Pois | DWGeom | DFrechet | DEOWE | DW |
|---|---|---|---|---|---|---|---|
| Parameter estimation | = 0.0362 | = 0.0442 | = 22.623 | = 0.0211 | = 14.604 | = 7.8043 | = 0.9925 |
| (0.0836 ) | (0.0055) | (0.609) | (0.36163 ) | (1.2822) | (1.5493) | (0.0031) | |
| = 0.9462 | = 0.9923 | = 1.5544 | = 17.578 | = 1.5259 | |||
| (2.1857 ) | (0.0044) | (0.1407) | (6.7639) | (0.1236) | |||
| = 1.9434 | = 1.5108 | = 0.0883 | |||||
| (0.1868) | (0.1346) | (0.012) | |||||
| −logL | 235.5084 | 249.8884 | 349.2768 | 238.6766 | 245.6704 | 248.2538 | 238.3603 |
| AICc | 477.4378 | 501.8445 | 700.6214 | 483.7743 | 495.5477 | 502.9286 | 480.9276 |
| AIC | 477.0168 | 501.7767 | 700.5536 | 483.3533 | 495.3408 | 502.5076 | 480.7207 |
| BIC | 483.3494 | 503.8876 | 702.6645 | 489.6859 | 499.5625 | 508.8402 | 484.9424 |
| HQIC | 479.4986 | 502.6040 | 701.3809 | 485.8351 | 496.9953 | 504.9894 | 482.3752 |
| p-Value | 8.3373 × 10−1 | 1.0404 × 10−3 | 3.245 × 10−4 | 4.3862 × 10−1 | 2.4088 × 10−1 | 6.9468 × 10−3 | 2.0653 × 10−1 |
| Distributions | DWE | GEOM | Pois | DWGeom | DFrechet | DEOWE | DW |
|---|---|---|---|---|---|---|---|
| Parameter estimation | = 0.0165 | = 0.0146 | = 68.34 | = 0.165 | = 50.9829 | = 5.4788 | = 0.9952 |
| (0.0188) | (0.0014) | (0.8267) | (0.1901) | (3.7091) | (0.5196) | (0.0013) | |
| = 1.2586 | = 0.9952 | = 1.4642 | = 11.866 | = 1.2614 | |||
| (1.4371) | (0.0014) | (0.0834) | (1.8745) | (0.0663) | |||
| = 3.2033 | = 1.2306 | = 0.0163 | |||||
| (0.232921) | (0.070508) | (0.001101) | |||||
| −logL | 454.2379 | 521.7143 | 678.2322 | 509.1632 | 513.9630 | 511.3819 | 503.4051 |
| AICc | 914.7257 | 1045.4694 | 1358.5051 | 1024.5765 | 1032.0497 | 1029.0138 | 1010.9339 |
| AIC | 914.4757 | 1045.4286 | 1358.4643 | 1024.3265 | 1031.9260 | 1028.7638 | 1010.8102 |
| BIC | 922.2912 | 1048.0338 | 1361.0695 | 1032.1420 | 1037.1363 | 1036.5793 | 1016.0205 |
| HQIC | 917.6388 | 1046.4829 | 1359.5187 | 1027.4895 | 1034.0347 | 1031.9269 | 1012.9189 |
| P-Value | 6.5356 × 10−1 | 3.0345 × 10−12 | 6.5006 × 10−5 | 1.1408 × 10−9 | 1.895 × 10−6 | 2.9103 × 10−12 | 1.5569 × 10−9 |
Disclaimer/Publisher’s Note: The statements, opinions and data contained in all publications are solely those of the individual author(s) and contributor(s) and not of MDPI and/or the editor(s). MDPI and/or the editor(s) disclaim responsibility for any injury to people or property resulting from any ideas, methods, instructions or products referred to in the content. |
© 2024 by the authors. Licensee MDPI, Basel, Switzerland. This article is an open access article distributed under the terms and conditions of the Creative Commons Attribution (CC BY) license (https://creativecommons.org/licenses/by/4.0/).
Share and Cite
Balubaid, A.; Klakattawi, H.; Alsulami, D. On the Discretization of the Weibull-G Family of Distributions: Properties, Parameter Estimates, and Applications of a New Discrete Distribution. Symmetry 2024, 16, 1519. https://doi.org/10.3390/sym16111519
Balubaid A, Klakattawi H, Alsulami D. On the Discretization of the Weibull-G Family of Distributions: Properties, Parameter Estimates, and Applications of a New Discrete Distribution. Symmetry. 2024; 16(11):1519. https://doi.org/10.3390/sym16111519
Chicago/Turabian StyleBalubaid, Abeer, Hadeel Klakattawi, and Dawlah Alsulami. 2024. "On the Discretization of the Weibull-G Family of Distributions: Properties, Parameter Estimates, and Applications of a New Discrete Distribution" Symmetry 16, no. 11: 1519. https://doi.org/10.3390/sym16111519
APA StyleBalubaid, A., Klakattawi, H., & Alsulami, D. (2024). On the Discretization of the Weibull-G Family of Distributions: Properties, Parameter Estimates, and Applications of a New Discrete Distribution. Symmetry, 16(11), 1519. https://doi.org/10.3390/sym16111519

