A Neural Network-Based State-Constrained Control Strategy for Underactuated Aerial Transportation Systems Within Narrow Workspace
Abstract
1. Introduction
- For the aerial transportation system, as a symmetrical underactuated system where underactuated variables are coupled with actuated variables, the problem of swing angle control presents a high level of complexity. Existing state constraint methods [15] cannot be directly applied to the aerial transportation system without imposing additional constraints on the system. The method proposed in this paper relaxes the requirements on the system, thus enhancing its practical applicability across a broader range of scenarios.
- Unlike previous control methods [8,9], this paper considers more aggressive control strategies for the aerial transportation system within a safe range. This is manifested in the use of the swept volume signed distance field (SVSDF)-based method to search for safe state boundary constraints in the space, a refinement that is often overlooked in many approaches [16]. This not only demonstrates the usability of the control method but also holds practical application value.
2. Main Result
2.1. Dynamics Model
2.2. Auxiliary Variable
2.3. RBF Neural Network
2.4. Safe Bound Refinement
| Algorithm 1 The SVSDF based safe bound search algorithm. |
| Input: Barrier set , Bounding box , Initial position , Destination position , Output: Safe bound
|
2.5. Proposed Controller
3. Stability Analysis
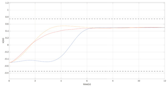
4. Simulation Results
5. Conclusions
Author Contributions
Funding
Data Availability Statement
Acknowledgments
Conflicts of Interest
References
- Zhang, D.; Li, X.; Ren, G.; Yao, J.; Chen, K.; Li, X. Three-Dimensional Path Planning of UAVs in a Complex Dynamic Environment Based on Environment Exploration Twin Delayed Deep Deterministic Policy Gradient. Symmetry 2023, 15, 1371. [Google Scholar] [CrossRef]
- Geronel, R.S.; Begnini, G.R.; Botez, R.M.; Bueno, D.D. An overview on the use of unmanned aerial vehicles for medical product transportation: Flight dynamics and vibration issues. J. Braz. Soc. Mech. Sci. Eng. 2022, 44, 349. [Google Scholar] [CrossRef]
- Wu, Y.; Zhao, P.; Liang, D.; Dong, J. A Learning-based Anti-swing Trajectory Refinement Approach for UAVs With Cable-suspended Payload Without Offline Training. IEEE Trans. Intell. Veh. 2024. [Google Scholar] [CrossRef]
- Fang, Y.; Ma, B.; Wang, P.; Zhang, X. A motion planning-based adaptive control method for an underactuated crane system. IEEE Trans. Control Syst. Technol. 2011, 20, 241–248. [Google Scholar] [CrossRef]
- Kuře, M.; Bušek, J.; Vyhlídal, T.; Niculescu, S.I. Algorithms for cable-suspended payload sway damping by vertical motion of the pivot base. Mech. Syst. Signal Process. 2021, 149, 107131. [Google Scholar] [CrossRef]
- Sreenath, K.; Lee, T.; Kumar, V. Geometric control and differential flatness of a quadrotor UAV with a cable-suspended load. In Proceedings of the 52nd IEEE Conference on Decision and Control, Florence, Italy, 10–13 December 2013; pp. 2269–2274. [Google Scholar]
- Klausen, K.; Fossen, T.I.; Johansen, T.A. Nonlinear control with swing damping of a multirotor UAV with suspended load. J. Intell. Robot. Syst. 2017, 88, 379–394. [Google Scholar] [CrossRef]
- Us, K.Y.; Cevher, A.; Sever, M.; Kırlı, A. On the effect of slung load on quadrotor performance. Procedia Comput. Sci. 2019, 158, 346–354. [Google Scholar] [CrossRef]
- Romero, J.G.; Rodríguez-Cortés, H. Asymptotic stability for a transformed nonlinear UAV model with a suspended load via energy shaping. Eur. J. Control 2020, 52, 87–96. [Google Scholar] [CrossRef]
- Liang, X.; Fang, Y.; Sun, N.; Lin, H. A novel energy-coupling-based hierarchical control approach for unmanned quadrotor transportation systems. IEEE/ASME Trans. Mechatron. 2019, 24, 248–259. [Google Scholar] [CrossRef]
- Vyhlídal, T.; Hromčík, M.; Kučera, V.; Anderle, M. On feedback architectures with zero-vibration signal shapers. IEEE Trans. Autom. Control 2015, 61, 2049–2064. [Google Scholar] [CrossRef]
- Xian, B.; Wang, S.; Yang, S. An online trajectory planning approach for a quadrotor UAV with a slung payload. IEEE Trans. Ind. Electron. 2019, 67, 6669–6678. [Google Scholar] [CrossRef]
- Chen, G.; Dong, J. Approximate optimal adaptive prescribed performance control for uncertain nonlinear systems with feature information. IEEE Trans. Syst. Man Cybern. Syst. 2024, 54, 2298–2308. [Google Scholar] [CrossRef]
- Chen, G.; Dong, J. Adaptive Fuzzy Security Constraint Control for Interconnected Nonlinear Systems With Deception Data Injection Attacks. IEEE Trans. Ind. Inform. 2024, 20, 12633–12642. [Google Scholar] [CrossRef]
- Zhang, J.X.; Chai, T. Singularity-free continuous adaptive control of uncertain underactuated surface vessels with prescribed performance. IEEE Trans. Syst. Man Cybern. Syst. 2021, 52, 5646–5655. [Google Scholar] [CrossRef]
- Sun, W.; Wu, Y.; Lv, X. Adaptive neural network control for full-state constrained robotic manipulator with actuator saturation and time-varying delays. IEEE Trans. Neural Netw. Learn. Syst. 2021, 33, 3331–3342. [Google Scholar] [CrossRef]
- Du, P.; Liang, H.; Zhao, S.; Ahn, C.K. Neural-based decentralized adaptive finite-time control for nonlinear large-scale systems with time-varying output constraints. IEEE Trans. Syst. Man Cybern. Syst. 2019, 51, 3136–3147. [Google Scholar] [CrossRef]
- Liang, X.; Lin, H.; Zhang, P.; Wu, S.; Sun, N.; Fang, Y. A nonlinear control approach for aerial transportation systems with improved antiswing and positioning performance. IEEE Trans. Autom. Sci. Eng. 2020, 18, 2104–2114. [Google Scholar] [CrossRef]
- Yang, T.; Chen, H.; Sun, N.; Fang, Y. Adaptive neural network output feedback control of uncertain underactuated systems with actuated and unactuated state constraints. IEEE Trans. Syst. Man Cybern. Syst. 2021, 52, 7027–7043. [Google Scholar] [CrossRef]
- Ding, W.; Gao, W.; Wang, K.; Shen, S. An efficient b-spline-based kinodynamic replanning framework for quadrotors. IEEE Trans. Robot. 2019, 35, 1287–1306. [Google Scholar] [CrossRef]
- Liang, X.; Fang, Y.; Sun, N.; Lin, H. Dynamics analysis and time-optimal motion planning for unmanned quadrotor transportation systems. Mechatronics 2018, 50, 16–29. [Google Scholar] [CrossRef]
- Palunko, I.; Fierro, R.; Cruz, P. Trajectory generation for swing-free maneuvers of a quadrotor with suspended payload: A dynamic programming approach. In Proceedings of the 2012 IEEE International Conference on Robotics and Automation, St. Paul, MN, USA, 14–18 May 2012; pp. 2691–2697. [Google Scholar]
- Park, J.; Sandberg, I.W. Universal approximation using radial-basis-function networks. Neural Comput. 1991, 3, 246–257. [Google Scholar] [CrossRef] [PubMed]
- Javadi, R.; Mesgarani, H.; Nikan, O.; Avazzadeh, Z. Solving fractional order differential equations by using fractional radial basis function neural network. Symmetry 2023, 15, 1275. [Google Scholar] [CrossRef]
- Wang, J.; Zhang, T.; Zhang, Q.; Zeng, C.; Yu, J.; Xu, C.; Xu, L.; Gao, F. Implicit Swept Volume SDF: Enabling Continuous Collision-Free Trajectory Generation for Arbitrary Shapes. ACM Trans. Graph. (TOG) 2024, 43, 1–14. [Google Scholar] [CrossRef]
- Hou, Y.; Gao, H.; Wang, Z.; Du, C. Path planning for mobile robots based on improved A* algorithm. In Proceedings of the International Conference on Neural Computing for Advanced Applications; Springer: Singapore, 2022; pp. 169–183. [Google Scholar]
- Noto, M.; Sato, H. A method for the shortest path search by extended Dijkstra algorithm. In Proceedings of the SMC 2000 Conference Proceedings, 2000 IEEE International Conference on Systems, Man and Cybernetics, ‘Cybernetics Evolving to Systems, Humans, Organizations, and Their Complex Interactions’ (cat. no. 0), Nashville, TN, USA, 8–11 October 2000; Volume 3, pp. 2316–2320. [Google Scholar]
- Eduardo, D.S. Remarks on stabilization and input-to-state stability. In Proceedings of the IEEE Conference on Decision and Control, Tampa, FL, USA, 13–15 December 1989; Volume 2, pp. 1376–1378. [Google Scholar]
- Khalil, H.K. Adaptive output feedback control of nonlinear systems represented by input-output models. IEEE Trans. Autom. Control 1996, 41, 177–188. [Google Scholar] [CrossRef]
- Fischer, N.; Kamalapurkar, R.; Dixon, W.E. LaSalle-Yoshizawa corollaries for nonsmooth systems. IEEE Trans. Autom. Control 2013, 58, 2333–2338. [Google Scholar] [CrossRef]














| Variable and Function | Definition |
|---|---|
| the state of UAV | |
| the state of payload | |
| q | the state of aerial transportation system |
| the mass of UAV and payload | |
| the length of cable | |
| the unknown air resistance constant | |
| the Lagrangian equation matrix of aerial transportation system | |
| the Lagrangian equation matrix of UAV | |
| the auxiliary variable | |
| the auxiliary function | |
| correlation coefficient | |
| correlation function | |
| the k class function |
Disclaimer/Publisher’s Note: The statements, opinions and data contained in all publications are solely those of the individual author(s) and contributor(s) and not of MDPI and/or the editor(s). MDPI and/or the editor(s) disclaim responsibility for any injury to people or property resulting from any ideas, methods, instructions or products referred to in the content. |
© 2024 by the authors. Licensee MDPI, Basel, Switzerland. This article is an open access article distributed under the terms and conditions of the Creative Commons Attribution (CC BY) license (https://creativecommons.org/licenses/by/4.0/).
Share and Cite
Zhou, Y.; Wu, Y.; Liang, D.; Shi, H. A Neural Network-Based State-Constrained Control Strategy for Underactuated Aerial Transportation Systems Within Narrow Workspace. Symmetry 2024, 16, 1512. https://doi.org/10.3390/sym16111512
Zhou Y, Wu Y, Liang D, Shi H. A Neural Network-Based State-Constrained Control Strategy for Underactuated Aerial Transportation Systems Within Narrow Workspace. Symmetry. 2024; 16(11):1512. https://doi.org/10.3390/sym16111512
Chicago/Turabian StyleZhou, Yongtao, Yiming Wu, Dingkun Liang, and Haibin Shi. 2024. "A Neural Network-Based State-Constrained Control Strategy for Underactuated Aerial Transportation Systems Within Narrow Workspace" Symmetry 16, no. 11: 1512. https://doi.org/10.3390/sym16111512
APA StyleZhou, Y., Wu, Y., Liang, D., & Shi, H. (2024). A Neural Network-Based State-Constrained Control Strategy for Underactuated Aerial Transportation Systems Within Narrow Workspace. Symmetry, 16(11), 1512. https://doi.org/10.3390/sym16111512

