A Variational Approach to Analyze the Settlement of Existing Tunnels Caused by Ground Surcharge
Abstract
1. Introduction
2. Methods
2.1. Problem Statement
2.2. Additional Force Induced by Surface Surcharge
2.3. The Total Potential Energy of the Model
3. Recommendation for Parameters
3.1. The Coefficient of Subgrade Reaction
3.2. The Shear Modulus of the Foundation
3.3. The Equivalent Longitudinal Bending Stiffness
3.4. The Equivalent Longitudinal Shear Stiffness
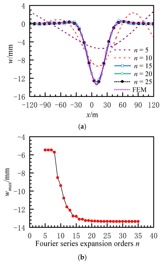
3.5. The Fourier Series Expansion Order n
4. Validations
5. Parametric Analysis
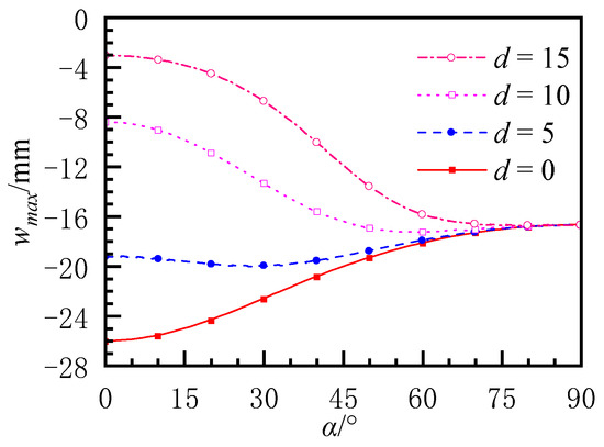
5.1. The Influence of Load Position
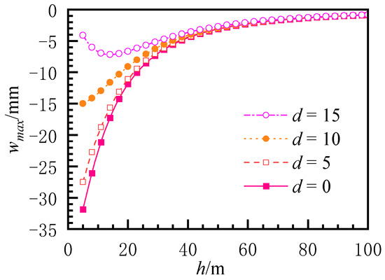
5.2. The Influence of the Tunnel Burial Depth h
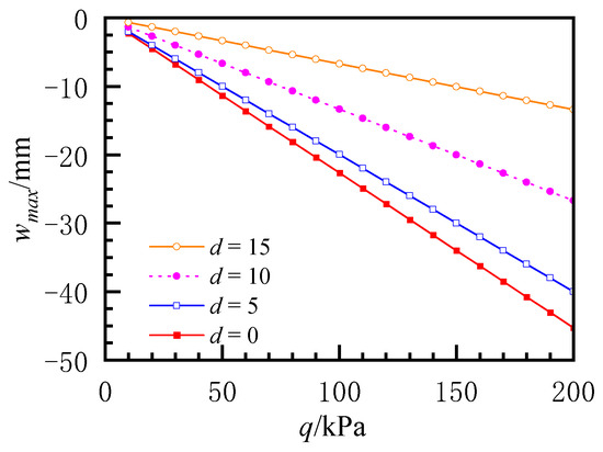
5.3. The Influence of the Ground Surcharge Load q
6. Conclusions
Author Contributions
Funding
Data Availability Statement
Conflicts of Interest
References
- Richards, J.A. Inspection, Maintenance and repair of tunnels: International lessons and practice. Tunn. Undergr. Space Technol. 1998, 13, 369–375. [Google Scholar] [CrossRef]
- Cavalaro, S.H.P.; Blom, C.B.M.; Walraven, J.C.; Aguado, A. Structural analysis of contact deficiencies in segmented lining. Tunn. Undergr. Space Technol. 2011, 26, 734–749. [Google Scholar] [CrossRef]
- Yuan, Y.; Bai, Y.; Liu, J. Assessment service state of tunnel structure. Tunn. Undergr. Space Technol. 2012, 27, 72–85. [Google Scholar] [CrossRef]
- Shao, H.; Huang, H.W.; Zhang, D.M.; Wang, R.L. Case study on repair work for excessively deformed shield tunnel under accidental surface surcharge in soft clay. Chin. J. Geotech. Eng. 2016, 38, 1036–1043. [Google Scholar]
- Huang, H.; Shao, H.; Zhang, D.; Wang, F. Deformational responses of operated shield tunnel to extreme surcharge: A case study. Struct. Infrastruct. Eng. 2017, 13, 345–360. [Google Scholar] [CrossRef]
- Zhang, J.Z.; Huang, H.W.; Zhang, D.M.; Zhou, M.L.; Tang, C.; Liu, D.J. Effect of ground surface surcharge on deformational performance of tunnel in spatially variable soil. Comput. Geotech. 2021, 136, 104229. [Google Scholar] [CrossRef]
- Fan, Y.; Guo, X.; Deng, Z.; Xu, Y. Deformation analysis of shield tunnel with loading and unloading above. Shi Gong Ji Shu 2014, 43, 107–109. [Google Scholar] [CrossRef]
- Yamamoto, K.; Lyamin, A.V.; Wilson, D.W.; Sloan, S.W.; Abbo, A.J. Stability of a circular tunnel in cohesive-frictional soil subjected to surcharge loading. Comput. Geotech. 2011, 38, 504–514. [Google Scholar] [CrossRef]
- Yamamoto, K.; Lyamin, A.V.; Wilson, D.W.; Sloan, S.W.; Abbo, A.J. Stability of dual circular tunnels in cohesive-frictional soil subjected to surcharge loading. Comput. Geotech. 2013, 50, 41–54. [Google Scholar] [CrossRef]
- Katebi, H.; Rezaei, A.H.; Hajialilue-Bonab, M.; Tarifard, A. Assessment the influence of ground stratification, tunnel and surface buildings specifications on shield tunnel lining loads (by FEM). Tunn. Undergr. Space Technol. 2015, 49, 67–78. [Google Scholar] [CrossRef]
- Wang, H.N.; Chen, X.P.; Jiang, M.J.; Song, F.; Wu, L. The analytical predictions on displacement and stress around shallow tunnels subjected to surcharge loadings. Tunn. Undergr. Space Technol. 2018, 71, 403–427. [Google Scholar] [CrossRef]
- Huang, H.W.; Zhang, D.M. Resilience analysis of shield tunnel lining under extreme surcharge: Characterization and field application. Tunn. Undergr. Space Technol. 2016, 51, 301–312. [Google Scholar] [CrossRef]
- Gao, J.; Huang, B.; Zhang, W.; Chen, J. Study of calculation method for vertical displacement of crossed tunnels under surface surcharge loading. Tunn. Constr. 2018, 38, 818–823. [Google Scholar]
- Huang, Z.; Zhang, H.; Fu, H.; Ma, S.; Liu, Y. Deformation response induced by surcharge loading above shallow shield tunnels in soft soil. KSCE J. Civ. Eng. 2020, 24, 2533–2545. [Google Scholar] [CrossRef]
- Atkinson, J.H.; Potts, D.M. Stability of a shallow circular tunnel in cohesionless soil. Géotechnique 1977, 27, 203–215. [Google Scholar] [CrossRef]
- Wei, G.; Zhang, S.; Xiang, P. Model test study on the influence of ground surcharges on the deformation of shield tunnels. Symmetry 2021, 13, 1565. [Google Scholar] [CrossRef]
- Hou, F. The Analytical Solution of the Winkler Beam Under the Uniform Distributed Load and Its Application in the Longitudinal Calculation of the Shield Tunnel. Master’s Thesis, Qingdao Technological University, Qingdao, China, 2009. [Google Scholar]
- Jiang, Q.; Guan, P.; Ye, R. The analysis of longitudinal deformation of shield tunnel in soft soil. Tunn. Rail Transit 1999, 04, 2–6+21–46. [Google Scholar]
- Dai, H.; Chen, R.; Chen, Y. Study on effect of construction loads on longitudinal deformation of adjacent metro tunnels. Chin. J. Geotech. Eng. 2006, 28, 312–316. [Google Scholar]
- Kang, C.; Mei, G.X.; Liang, R.Z.; Wu, W.B.; Fang, Y.X.; Ke, Z.B. Analysis of the longitudinal deformation of existing shield tunnel induced by temporary surface surcharge. Rock Soil Mech. 2018, 39, 4605–4616. [Google Scholar] [CrossRef]
- Wang, Z.; Shi, C.; Gong, C.; Cao, C.; Peng, Z.; Sun, Y. Difference solutions for responses of foundation-beams with arbitrary boundary conditions considering spatial soil variability and its applications. Comput. Geotech. 2022, 151, 105002. [Google Scholar] [CrossRef]
- Wu, H.N.; Shen, S.L.; Yang, J.; Zhou, A. Soil-tunnel interaction modelling for shield tunnels considering shearing dislocation in longitudinal joints. Tunn. Undergr. Space Technol. 2018, 78, 168–177. [Google Scholar] [CrossRef]
- Liang, F.; Yuan, Q.; Song, Z.; Li, J.; Zhang, S. Longitudinal responses of shield tunnel subjected to surcharge considering dislocation. Proc. Inst. Civ. Eng. Geotech. Eng. 2021, 174, 342–354. [Google Scholar] [CrossRef]
- Wei, Z.; Jiang, Y. A simplified analysis method for the deformation response of an existing tunnel to ground surcharge based on the Pasternak model. Appl. Sci. 2021, 11, 3255. [Google Scholar] [CrossRef]
- Shen, W.Y.; Teh, C.I. Analysis of laterally loaded pile groups using a variational approach. Géotechnique 2002, 52, 201–208. [Google Scholar] [CrossRef]
- Shang, H.S.; Zhang, H.; Liang, F.Y. Lateral bearing capacity of pile foundation due to shallow tunneling. Chin. J. Geotech. Eng. 2013, 35, 740–743. [Google Scholar]
- Wang, W.; Wang, H.; Huang, M.; Xu, Z. Simplified calculation method of lateral deformation of gravity retaining wall. J. Tongji Univ. (Nat. Sci.) 2011, 39, 814–818. [Google Scholar] [CrossRef]
- Avramidis, I.E.; Morfidis, K. Bending of beams on three-parameter elastic foundation. Int. J. Solids Struct. 2006, 43, 357–375. [Google Scholar] [CrossRef]
- Liu, X.Q.; Liang, F.Y.; Zhang, H.; Chu, F. Energy variational solution for settlement of buried pipeline induced by tunneling. Rock Soil Mech. 2014, 35, 217–222+231. [Google Scholar] [CrossRef]
- Attewell, P.B.; Yeates, J.; Selby, A.R. Soil movements induced by tunnelling and their effects on pipelines and structures. Int. J. Rock Mech. Min. Sci. Geomech. Abstr. 1986. [CrossRef]
- Xu, R.Q.; Cheng, K.; Ying, H.W.; Lin, C.G.; Liang, R.Z.; Feng, S.Y. Deformation response of a tunnel under foundation pit unloading considering burial depth and shearing effect. Rock Soil Mech. 2020, 41, 195–207. [Google Scholar] [CrossRef]
- Yu, J.; Zhang, C.; Huang, M. Soil–pipe interaction due to tunnelling: Assessment of Winkler modulus for underground pipelines. Comput. Geotech. 2013, 50, 17–28. [Google Scholar] [CrossRef]
- Tanahashi, H. Formulas for an infinitely long Bernoulli-Euler beam on the Pasternak model. Soils Found. 2004, 44, 109–118. [Google Scholar] [CrossRef] [PubMed]
- Liang, R.; Wu, W.; Yu, F.; Jiang, G.; Liu, J. Simplified method for evaluating shield tunnel deformation due to adjacent excavation. Tunn. Undergr. Space Technol. 2018, 71, 94–105. [Google Scholar] [CrossRef]
- Shiba, Y.; Kawashima, K.; Obinata, N.; Kano, T. An evaluation method of longitudinal stiffness of shield tunnel linings for application to seismic response analyses. Doboku Gakkai Ronbunshu 1988, 1988, 319–327. [Google Scholar] [CrossRef]
- Wu, H.N.; Shen, S.L.; Liao, S.M.; Yin, Z.Y. Longitudinal structural modelling of shield tunnels considering shearing dislocation between segmental rings. Tunn. Undergr. Space Technol. 2015, 50, 317–323. [Google Scholar] [CrossRef]










| Soils | Thickness /(m) | Weight /(kN/m3) | Young’s Modulus /(MPa) | Poisson’s Ratio | c /(kPa) | /(°) |
|---|---|---|---|---|---|---|
| Backfill soil | 4.5 | 17.0 | - | - | - | - |
| ② | 3.0 | 18.7 | 15 | 0.31 | 22 | 18.5 |
| ③ | 11.0 | 17.2 | 9 | 0.33 | 13 | 15.5 |
| ④ | 9.0 | 16.7 | 6 | 0.33 | 14 | 10.5 |
| ⑥ | 6.0 | 19.4 | 21 | 0.30 | 45 | 15.5 |
| ⑦ | 14.0 | 19.0 | 36 | 0.29 | 3 | 31.5 |
| Segmental Rings | Bolts | ||
|---|---|---|---|
| Outer diameter (mm) | 6200 | Number of longitudinal bolts | 17 |
| Thickness (mm) | 350 | Diameter (mm) | 30 |
| Length (mm) | 1000 | Length (mm) | 400 |
| Young’s modulus(kPa) | 3.45 × 107 | Young’s modulus (kPa) | 2.06 × 108 |
| Poisson’s ratio | 0.2 | Poisson’s ratio | 0.3 |
Disclaimer/Publisher’s Note: The statements, opinions and data contained in all publications are solely those of the individual author(s) and contributor(s) and not of MDPI and/or the editor(s). MDPI and/or the editor(s) disclaim responsibility for any injury to people or property resulting from any ideas, methods, instructions or products referred to in the content. |
© 2024 by the authors. Licensee MDPI, Basel, Switzerland. This article is an open access article distributed under the terms and conditions of the Creative Commons Attribution (CC BY) license (https://creativecommons.org/licenses/by/4.0/).
Share and Cite
Chai, T.; Yan, J.; Jiang, X.; Li, J. A Variational Approach to Analyze the Settlement of Existing Tunnels Caused by Ground Surcharge. Symmetry 2024, 16, 1511. https://doi.org/10.3390/sym16111511
Chai T, Yan J, Jiang X, Li J. A Variational Approach to Analyze the Settlement of Existing Tunnels Caused by Ground Surcharge. Symmetry. 2024; 16(11):1511. https://doi.org/10.3390/sym16111511
Chicago/Turabian StyleChai, Tianjian, Jianwei Yan, Xuehui Jiang, and Jiabao Li. 2024. "A Variational Approach to Analyze the Settlement of Existing Tunnels Caused by Ground Surcharge" Symmetry 16, no. 11: 1511. https://doi.org/10.3390/sym16111511
APA StyleChai, T., Yan, J., Jiang, X., & Li, J. (2024). A Variational Approach to Analyze the Settlement of Existing Tunnels Caused by Ground Surcharge. Symmetry, 16(11), 1511. https://doi.org/10.3390/sym16111511
