Explicit and Implicit Preference for Symmetry Across Object Categories
Highlights
Abstract
1. Introduction
2. Experiment 1
2.1. Method
2.1.1. Participants
2.1.2. Materials
2.1.3. Procedure
2.1.4. Scoring
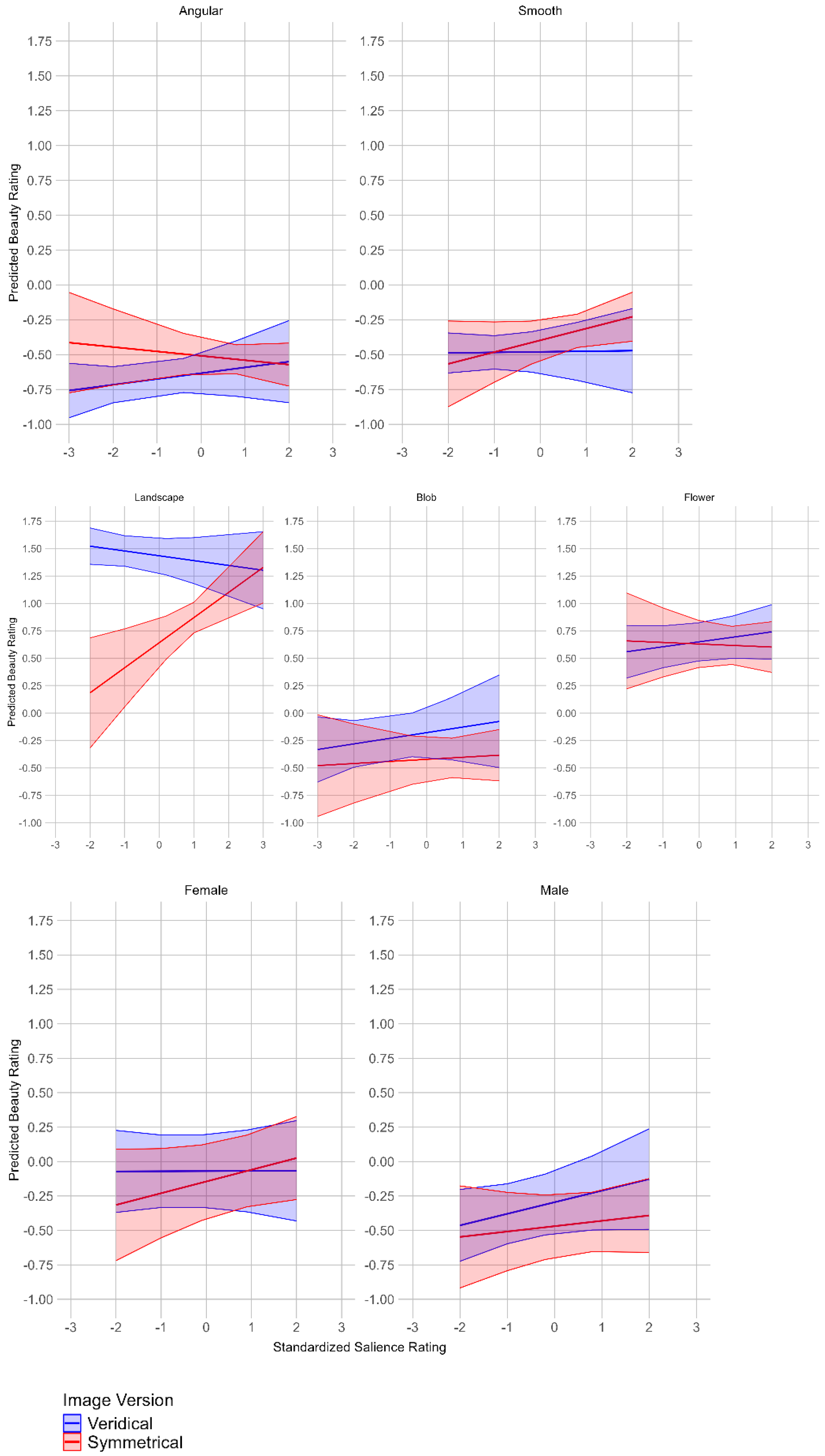
2.2. Results
2.3. Discussion
3. Experiment 2
3.1. Method
3.1.1. Participants
3.1.2. Materials
3.1.3. Procedure
3.1.4. Scoring
3.2. Results
3.3. Discussion
4. General Discussion
Supplementary Materials
Author Contributions
Funding
Data Availability Statement
Conflicts of Interest
References
- Pizlo, Z.; de Barros, J.A. The Concept of Symmetry and the Theory of Perception. Front. Comput. Neurosci. 2021, 15, 681162. [Google Scholar] [CrossRef] [PubMed]
- Zee, A. Fearful Symmetry: The Search for Beauty in Modern Physics; Princeton University Press: Princeton, NJ, USA, 1986. [Google Scholar]
- Voloshinov, A. Symmetry as a Superprinciple of Science and Art. Leonardo 2017. Available online: https://www.semanticscholar.org/paper/Symmetry-as-a-Superprinciple-of-Science-and-Art-Voloshinov/cedecad3fcd39141cb36afa45664cb59d6ccc023 (accessed on 21 August 2024).
- Velasco, C.; Pathak, A.; Woods, A.T.; Corredor, A.; Elliot, A.J. The relation between symmetry in food packaging and approach and avoidance words. Q. J. Exp. Psychol. 2020, 73, 654–663. [Google Scholar] [CrossRef] [PubMed]
- Azemati, H.; Jam, F.; Ghorbani, M.; Dehmer, M.; Ebrahimpour, R.; Ghanbaran, A.; Emmert-Streib, F. The Role of Symmetry in the Aesthetics of Residential Building Façades Using Cognitive Science Methods. Symmetry 2020, 12, 1438. [Google Scholar] [CrossRef]
- Liu, Y. Computational Symmetry in Computer Vision and Computer Graphics. FNT Comput. Graph. Vis. 2008, 5, 1–195. [Google Scholar] [CrossRef]
- Plan, A. Symmetry in n-player games. J. Econ. Theory 2023, 207, 105549. [Google Scholar] [CrossRef]
- Andersen, J.V.; Nowak, A. Symmetry and financial markets. EPL 2022, 139, 22001. [Google Scholar] [CrossRef]
- Siegrist, J. Symmetry in social exchange and health. Eur. Rev. 2005, 13, 145–155. [Google Scholar] [CrossRef]
- Washburn, D.K. Cognitive archaeology: A symmetry/symmetry-breaking model for the analysis of societies. Time Mind 2018, 11, 121–161. [Google Scholar] [CrossRef]
- Bertamini, M.; Rampone, G. The Study of Symmetry in Empirical Aesthetics. In The Oxford Handbook of Empirical Aesthetics; Nadal, M., Vartanian, O., Eds.; Oxford University Press: Oxford, UK, 2022; pp. 488–509. [Google Scholar] [CrossRef]
- Mather, K.B.; Aleem, H.; Rhee, Y.; Grzywacz, N.M. Social groups and polarization of aesthetic values from symmetry and complexity. Sci. Rep. 2023, 13, 21507. [Google Scholar] [CrossRef]
- Sun, Z.; Firestone, C. Beautiful on the inside: Aesthetic preferences and the skeletal complexity of shapes. Perception 2022, 51, 904–918. [Google Scholar] [CrossRef]
- Van Geert, E.; Wagemans, J. Order, complexity, and aesthetic appreciation. Psychol. Aesthet. Creat. Arts 2020, 14, 135–154. [Google Scholar] [CrossRef]
- Chuquichambi, E.G.; Corradi, G.B.; Munar, E.; Rosselló-Mir, J. When symmetric and curved visual contour meet intentional instructions: Hedonic value and preference. Q. J. Exp. Psychol. 2021, 74, 1525–1541. [Google Scholar] [CrossRef] [PubMed]
- Brodeur, M.B.; Chauret, M.; Dion-Lessard, G.; Lepage, M. Symmetry brings an impression of familiarity but does not improve recognition memory. Acta Psychol. 2011, 137, 359–370. [Google Scholar] [CrossRef] [PubMed]
- Mentus, T.; Marković, S. Effects of symmetry and familiarity on the attractiveness of human faces. Psihologija 2016, 49, 301–311. [Google Scholar] [CrossRef]
- Song, J.; Kwak, Y.; Kim, C.-Y. Familiarity and Novelty in Aesthetic Preference: The Effects of the Properties of the Artwork and the Beholder. Front. Psychol. 2021, 12, 694927. [Google Scholar] [CrossRef]
- Leder, H.; Gerger, G.; Brieber, D.; Schwarz, N. What makes an art expert? Emotion and evaluation in art appreciation. Cogn. Emot. 2014, 28, 1137–1147. [Google Scholar] [CrossRef]
- Weichselbaum, H.; Leder, H.; Ansorge, U. Implicit and Explicit Evaluation of Visual Symmetry as a Function of Art Expertise. Iperception 2018, 9, 2041669518761464. [Google Scholar] [CrossRef]
- Birkhoff, G.D. Aesthetic Measure; Harvard University Press: Cambridge, MA, USA, 1933; Volume 38. [Google Scholar]
- Reber, R.; Wurtz, P.; Zimmermann, T.D. Exploring “fringe” consciousness: The subjective experience of perceptual fluency and its objective bases. Conscious. Cogn. 2004, 13, 47–60. [Google Scholar] [CrossRef]
- Reber, R. Processing fluency, aesthetic pleasure, and culturally shared taste. In Aesthetic Science: Connecting Minds, Brains, and Experience; Oxford University Press: New York, NY, USA, 2012; pp. 223–249. [Google Scholar]
- Yoo, J.; Jasko, K.; Winkielman, P. Fluency, prediction and motivation: How processing dynamics, expectations and epistemic goals shape aesthetic judgements. Philos. Trans. R. Soc. B Biol. Sci. 2023, 379, 20230326. [Google Scholar] [CrossRef]
- Bertamini, M.; Palumbo, L.; Gheorghes, T.N.; Galatsidas, M. Do observers like curvature or do they dislike angularity? Br. J. Psychol. 2016, 107, 154–178. [Google Scholar] [CrossRef]
- Gómez-Puerto, G.; Munar, E.; Nadal, M. Preference for Curvature: A Historical and Conceptual Framework. Front. Hum. Neurosci. 2016, 9. [Google Scholar] [CrossRef] [PubMed]
- Chuquichambi, E.G.; Vartanian, O.; Skov, M.; Corradi, G.B.; Nadal, M.; Silvia, P.J.; Munar, E. How universal is preference for visual curvature? A systematic review and meta-analysis. Ann. N. Y. Acad. Sci. 2022, 1518, 151–165. [Google Scholar] [CrossRef] [PubMed]
- Yue, X.; Robert, S.; Ungerleider, L.G. Curvature processing in human visual cortical areas. NeuroImage 2020, 222, 117295. [Google Scholar] [CrossRef] [PubMed]
- Chuquichambi, E.G.; Palumbo, L.; Rey, C.; Munar, E. Shape familiarity modulates preference for curvature in drawings of common-use objects. PeerJ 2021, 9, e11772. [Google Scholar] [CrossRef] [PubMed]
- Cotter, K.N.; Silvia, P.J.; Bertamini, M.; Palumbo, L.; Vartanian, O. Curve Appeal: Exploring Individual Differences in Preference for Curved Versus Angular Objects. i-Perception 2017, 8, 2041669517693023. [Google Scholar] [CrossRef]
- Zajonc, R.B. Attitudinal effects of mere exposure. J. Personal. Social. Psychol. 1968, 9, 1–27. [Google Scholar] [CrossRef]
- Leder, H.; Belke, B.; Oeberst, A.; Augustin, D. A model of aesthetic appreciation and aesthetic judgments. Br. J. Psychol. 2004, 95, 489–508. [Google Scholar] [CrossRef]
- Huang, Y.; Xue, X.; Spelke, E.; Huang, L.; Zheng, W.; Peng, K. The aesthetic preference for symmetry dissociates from early-emerging attention to symmetry. Sci. Rep. 2018, 8, 6263. [Google Scholar] [CrossRef]
- Schindler, I.; Hosoya, G.; Menninghaus, W.; Beermann, U.; Wagner, V.; Eid, M.; Scherer, K.R. Measuring aesthetic emotions: A review of the literature and a new assessment tool. PLoS ONE 2017, 12, e0178899. [Google Scholar] [CrossRef]
- Greenwald, A.G.; Brendl, M.; Cai, H.; Cvencek, D.; Dovidio, J.F.; Friese, M.; Hahn, A.; Hehman, E.; Hofmann, W.; Hughes, S.; et al. Best research practices for using the Implicit Association Test. Behav. Res. Methods 2022, 54, 1161–1180. [Google Scholar] [CrossRef]
- Makin, A.D.J.; Pecchinenda, A.; Bertamini, M. Implicit affective evaluation of visual symmetry. Emotion 2012, 12, 1021–1030. [Google Scholar] [CrossRef] [PubMed]
- Bertamini, M.; Makin, A.; Rampone, G. Implicit Association of Symmetry with Positive Valence, High Arousal and Simplicity. i-Perception 2013, 4, 317–327. [Google Scholar] [CrossRef]
- Mastandrea, S.; Maricchiolo, F. Implicit and Explicit Aesthetic Evaluation of Design Objects. Art Percept. 2014, 2, 141–162. [Google Scholar] [CrossRef]
- Salera, C.; Vallebella, C.; Iosa, M.; Pecchinenda, A. Implicit and Explicit Preferences for Golden Ratio. Symmetry 2024, 16, 333. [Google Scholar] [CrossRef]
- Bertamini, M.; Rampone, G.; Makin, A.D.J.; Jessop, A. Symmetry preference in shapes, faces, flowers and landscapes. PeerJ 2019, 7, e7078. [Google Scholar] [CrossRef] [PubMed]
- Gartus, A.; Völker, M.; Leder, H. What Experts Appreciate in Patterns: Art Expertise Modulates Preference for Asymmetric and Face-Like Patterns. Symmetry 2020, 12, 707. [Google Scholar] [CrossRef]
- Hůla, M.; Flegr, J. What flowers do we like? The influence of shape and color on the rating of flower beauty. PeerJ 2016, 4, e2106. [Google Scholar] [CrossRef]
- Leder, H.; Mikuni, J.; Kawabata, H.; Rosenberg, R. Symmetry as an Inter-Cultural Feature Constituting Beauty: Implicit and Explicit Beauty Evaluation of Visual Symmetry in Japan. Empir. Stud. Arts 2024, 42, 519–535. [Google Scholar] [CrossRef]
- de Leeuw, J.R.; Gilbert, R.A.; Luchterhandt, B. jsPsych: Enabling an Open-Source Collaborative Ecosystem of Behavioral Experiments. J. Open Source Softw. 2023, 8, 5351. [Google Scholar] [CrossRef]
- Rhodes, G.; Proffitt, F.; Grady, J.M.; Sumich, A. Facial symmetry and the perception of beauty. Psychon. Bull. Rev. 1998, 5, 659–669. [Google Scholar] [CrossRef]
- R Core Team. R: A Language and Environment for Statistical Computing; R Foundation for Statistical Computing: Vienna, Austria, 2023; Available online: https://www.R-project.org/ (accessed on 21 August 2024).
- Benjamini, Y.; Hochberg, Y. Controlling the False Discovery Rate: A Practical and Powerful Approach to Multiple Testing. J. R. Stat. Soc. Ser. B (Methodol.) 1995, 57, 289–300. [Google Scholar] [CrossRef]
- Bradley, M.; Lang, P. Affective Norms for English Words (ANEW): Instruction Manual and Affective Ratings. 1999. Available online: https://www.semanticscholar.org/paper/Affective-Norms-for-English-Words-(ANEW)%3A-Manual-Bradley-Lang/c765eb0a31849361d829b24e173a37bab0919892 (accessed on 21 August 2024).
- Nosek, B.A.; Greenwald, A.; Banaji, M. The Implicit Association Test at Age 7: A Methodological and Conceptual Review. 2007. Available online: https://www.semanticscholar.org/paper/The-Implicit-Association-Test-at-Age-7%3A-A-and-Nosek-Greenwald/13888d871fe7e1c097bb624d7698849a569a0339 (accessed on 21 August 2024).
- Palumbo, L.; Bertamini, M. The Curvature Effect: A Comparison Between Preference Tasks. Empir. Stud. Arts 2016, 34, 35–52. [Google Scholar] [CrossRef]
- Djebbara, Z.; Kalantari, S. Affordances and curvature preference: The case of real objects and spaces. Ann. N. Y. Acad. Sci. 2023, 1527, 14–19. [Google Scholar] [CrossRef]
- Tveit, M.; Ode, Å.; Fry, G. Key concepts in a framework for analysing visual landscape character. Landsc. Res. 2006, 31, 229–255. [Google Scholar] [CrossRef]
- Ode, Å.; Tveit, M.S.; Fry, G. Capturing Landscape Visual Character Using Indicators: Touching Base with Landscape Aesthetic Theory. Landsc. Res. 2008, 33, 89–117. [Google Scholar] [CrossRef]
- Mante, H. The Photograph: Composition and Color Design, 2nd ed.; Rocky Nook: Santa Barabara, CA, USA, 2012. [Google Scholar]
- Mai, L.; Le, H.; Niu, Y.; Liu, F. Rule of Thirds Detection from Photograph. In Proceedings of the 2011 IEEE International Symposium on Multimedia, Dana Point, CA, USA, 5–7 December 2011; pp. 91–96. [Google Scholar] [CrossRef]
- Svobodova, K.; Sklenicka, P.; Molnarova, K.; Vojar, J. Does the composition of landscape photographs affect visual preferences? The rule of the Golden Section and the position of the horizon. J. Environ. Psychol. 2014, 38, 143–152. [Google Scholar] [CrossRef]
- Bruno, N.; Gabriele, V.; Tasso, T.; Bertamini, M. “Selfies” Reveal Systematic Deviations from Known Principles of Photographic Composition. Art Percept. 2014, 2, 45–58. [Google Scholar] [CrossRef]
- Wang, J.; Lee, M.A.; Lee, T.C.M. When might we break the rules? A statistical analysis of aesthetics in photographs. PLoS ONE 2022, 17, e0269152. [Google Scholar] [CrossRef]
- Arnheim, R. The Power of the Center: A Study of Composition in the Visual Arts; University of California Press: Berkeley, CA, USA, 1982. [Google Scholar]
- Dondis, D.A. A Primer of Visual Literacy; MIT Press: Cambridge, MA, USA, 1973. [Google Scholar]
- Jiang, Y.; Moubayidin, L. Floral symmetry: The geometry of plant reproduction. Emerg. Top. Life Sci. 2022, 6, 259–269. [Google Scholar] [CrossRef]
- Little, A.C.; Jones, B.C.; DeBruine, L.M. Facial attractiveness: Evolutionary based research. Philos. Trans. R. Soc. Lond. B Biol. Sci. 2011, 366, 1638–1659. [Google Scholar] [CrossRef]
- Coetzee, V.; Greeff, J.M.; Stephen, I.D.; Perrett, D.I. Cross-Cultural Agreement in Facial Attractiveness Preferences: The Role of Ethnicity and Gender. PLoS ONE 2014, 9, e99629. [Google Scholar] [CrossRef] [PubMed]
- Zhan, J.; Liu, M.; Garrod, O.G.; Daube, C.; Ince, R.A.; Jack, R.E.; Schyns, P.G. Modeling individual preferences reveals that face beauty is not universally perceived across cultures. Curr. Biol. 2021, 31, 2243–2252.e6. [Google Scholar] [CrossRef] [PubMed]
- Ibáñez-Berganza, M.; Amico, A.; Loreto, V. Subjectivity and complexity of facial attractiveness. Sci. Rep. 2019, 9, 8364. [Google Scholar] [CrossRef]
- Marcinkowska, U.M.; Jones, B.C.; Lee, A.J. Self-rated attractiveness predicts preferences for sexually dimorphic facial characteristics in a culturally diverse sample. Sci. Rep. 2021, 11, 10905. [Google Scholar] [CrossRef]
- Voegeli, R.; Schoop, R.; Prestat-Marquis, E.; Rawlings, A.V.; Shackelford, T.K.; Fink, B. Cross-cultural perception of female facial appearance: A multi-ethnic and multi-centre study. PLoS ONE 2021, 16, e0245998. [Google Scholar] [CrossRef]
- Sano, T.; Kawabata, H. A computational approach to investigating facial attractiveness factors using geometric morphometric analysis and deep learning. Sci. Rep. 2023, 13, 19797. [Google Scholar] [CrossRef]
- Rhodes, G. The Evolutionary Psychology of Facial Beauty. Annu. Rev. Psychol. 2006, 57, 199–226. [Google Scholar] [CrossRef]
- Zheng, R.; Ren, D.; Xie, C.; Pan, J.; Zhou, G. Normality mediates the effect of symmetry on facial attractiveness. Acta Psychol. 2021, 217, 103311. [Google Scholar] [CrossRef]
- Monteiro, L.C.P.; Nascimento, V.E.F.D.; da Silva, A.C.; Miranda, A.C.; Souza, G.S.; Ripardo, R.C. The Role of Art Expertise and Symmetry on Facial Aesthetic Preferences. Symmetry 2022, 14, 423. [Google Scholar] [CrossRef]
- Makin, A.D.J. The Gap Between Aesthetic Science and Aesthetic Experience. J. Conscious. Stud. 2017, 24, 184–213. [Google Scholar]
- Wassiliwizky, E.; Menninghaus, W. Why and How Should Cognitive Science Care about Aesthetics? Trends Cogn. Sci. 2021, 25, 437–449. [Google Scholar] [CrossRef] [PubMed]




| Category | t-Statistic | Mean Diff. | Direction | p Value | Corrected p Value |
|---|---|---|---|---|---|
| Angular | 3.424 | 0.147 | Sym > Ver | <0.001 | 0.002 |
| Smooth | 3.283 | 0.151 | Sym > Ver | 0.001 | 0.002 |
| Landscape | −12.65 | −0.584 | Ver > Sym | <0.001 | <0.001 |
| Blob | −3.06 | −0.178 | Ver > Sym | 0.002 | 0.004 |
| Flower | −0.592 | −0.028 | Ver > Sym | 0.554 | 0.647 |
| Female | −0.318 | −0.016 | Ver > Sym | 0.751 | 0.751 |
| Male | −2.004 | −0.101 | Ver > Sym | 0.045 | 0.064 |
| Category | t-Statistic | Mean Diff. | Direction | p Value | Corrected p Value |
|---|---|---|---|---|---|
| Angular | 56.6 | 1.884 | Sym > Ver | <0.001 | <0.001 |
| Smooth | 57.6 | 1.857 | Sym > Ver | <0.001 | <0.001 |
| Landscape | 53.892 | 2.006 | Sym > Ver | <0.001 | <0.001 |
| Blob | 52.164 | 1.792 | Sym > Ver | <0.001 | <0.001 |
| Flower | 26.96 | 0.965 | Sym > Ver | <0.001 | <0.001 |
| Female | 35.656 | 1.218 | Sym > Ver | <0.001 | <0.001 |
| Male | 39.968 | 1.277 | Sym > Ver | <0.001 | <0.001 |
| Category | Spearman Correlation | p Value | Corrected p Value |
|---|---|---|---|
| Angular | 0.148 | <0.001 | <0.001 |
| Smooth | 0.141 | <0.001 | <0.001 |
| Landscape | −0.293 | <0.001 | <0.001 |
| Blob | −0.01 | 0.747 | 0.747 |
| Flower | 0.085 | 0.007 | 0.013 |
| Female | 0.056 | 0.079 | 0.092 |
| Male | 0.056 | 0.076 | 0.092 |
| Category | t-Statistic | p Value | CI Low | CI High |
|---|---|---|---|---|
| Angular | 6.592 | <0.001 | 0.164 | 0.307 |
| Blob | 6.166 | <0.001 | 0.145 | 0.285 |
| Landscape | 3.707 | <0.001 | 0.094 | 0.317 |
Disclaimer/Publisher’s Note: The statements, opinions and data contained in all publications are solely those of the individual author(s) and contributor(s) and not of MDPI and/or the editor(s). MDPI and/or the editor(s) disclaim responsibility for any injury to people or property resulting from any ideas, methods, instructions or products referred to in the content. |
© 2024 by the authors. Licensee MDPI, Basel, Switzerland. This article is an open access article distributed under the terms and conditions of the Creative Commons Attribution (CC BY) license (https://creativecommons.org/licenses/by/4.0/).
Share and Cite
Roccato, M.; Contemori, G.; Campana, G.; Bertamini, M. Explicit and Implicit Preference for Symmetry Across Object Categories. Symmetry 2024, 16, 1478. https://doi.org/10.3390/sym16111478
Roccato M, Contemori G, Campana G, Bertamini M. Explicit and Implicit Preference for Symmetry Across Object Categories. Symmetry. 2024; 16(11):1478. https://doi.org/10.3390/sym16111478
Chicago/Turabian StyleRoccato, Marco, Giulio Contemori, Gianluca Campana, and Marco Bertamini. 2024. "Explicit and Implicit Preference for Symmetry Across Object Categories" Symmetry 16, no. 11: 1478. https://doi.org/10.3390/sym16111478
APA StyleRoccato, M., Contemori, G., Campana, G., & Bertamini, M. (2024). Explicit and Implicit Preference for Symmetry Across Object Categories. Symmetry, 16(11), 1478. https://doi.org/10.3390/sym16111478

