Study on the Effects of Structural Parameters of the Pre-Cooler on the Performance of Combined Power Generation Engines
Abstract
1. Introduction
2. Numerical Calculation
2.1. Governing Equation
2.2. Calculation Model
2.3. Performance Indicators
3. Calculation Results
3.1. Flow and Heat Transfer
3.2. Effects of the Number of Air Crossflow Tubes on Performance
3.3. Effects of Tube Spacing on Performance
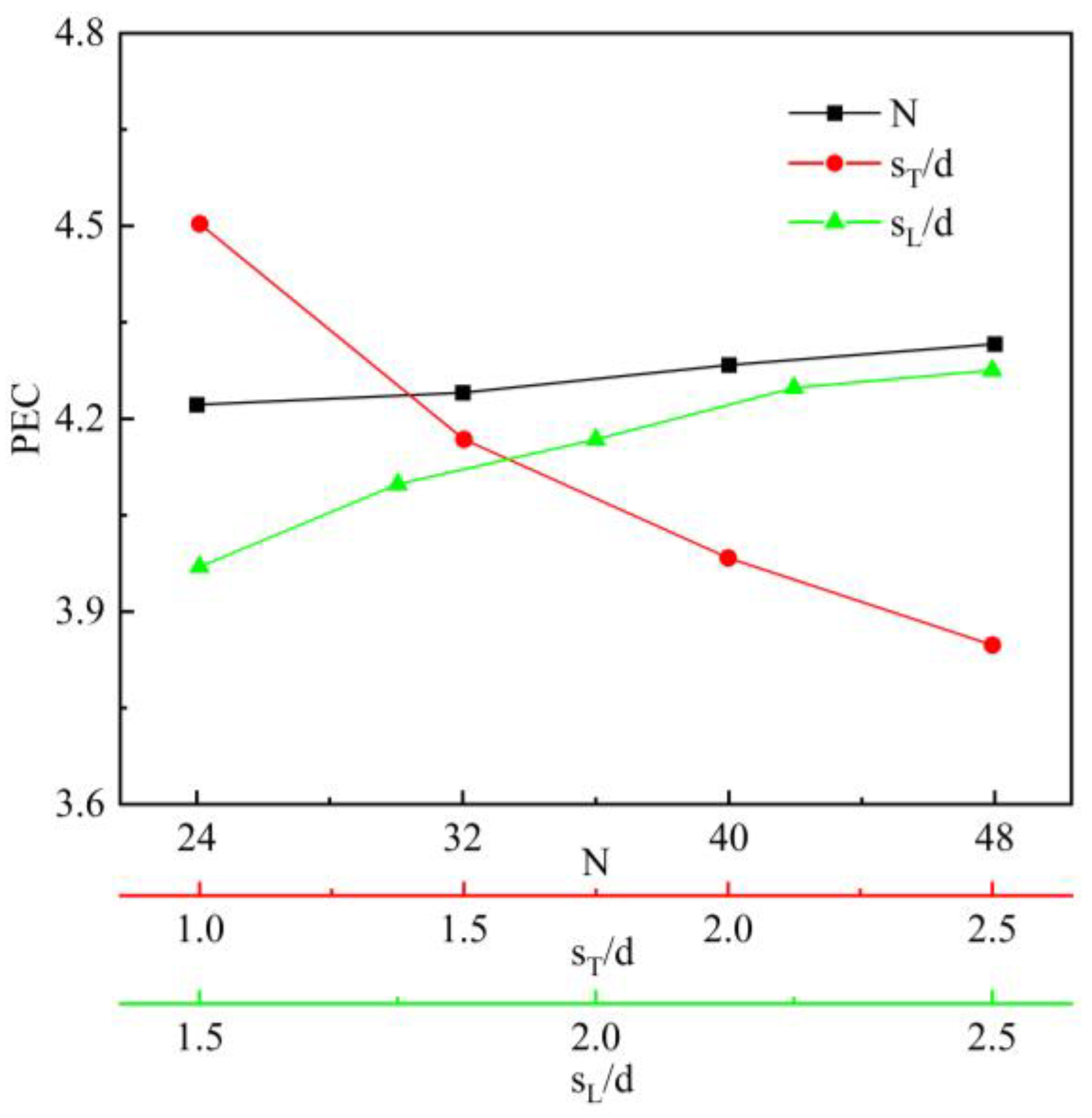
3.4. Comprehensive Heat Transfer Performance Evaluation
4. Conclusions
- (1)
- As high-temperature air flowed through the gaps between the heat exchange tube bundles of the pre-cooler, it gradually cooled, exhibiting a distinct temperature gradient. The overall heat exchange process can be characterized as counterflow heat transfer.
- (2)
- Increasing the number of air crossflow tubes can significantly enhance heat transfer capacity; however, it also results in greater total pressure loss. When the number of air crossflow tubes increases from 24 to 48, the overall heat transfer capacity increases by 42.1%, while the total pressure loss coefficient nearly doubles.
- (3)
- Increasing either the axial or radial tube spacing can weaken heat exchange, and decrease flow resistance. The arrangement of tube spacing in the heat exchange tubes has a more significant impact on airflow resistance than on heat exchange. Given the potential reduction in cooling performance, selecting an appropriate tube spacing is essential to minimize total pressure loss.
- (4)
- The increase in the number of air crossflow tubes and the radial tube spacing both contribute to the enhancement of the overall performance of the precooler, whereas an increase in the transverse tube spacing leads to a decline in comprehensive performance. Specifically, when the number of traversed tubes increases from 24 to 48, the overall heat transfer performance of the precooler improves by 2.2%. Meanwhile, an increase in the radial tube spacing results in a 7.7% increase in PEC.
Author Contributions
Funding
Data Availability Statement
Conflicts of Interest
References
- Longstaff, R.; Bond, A. The SKYLON Project. In Proceedings of the 17th AIAA International Space Planes and Hypersonic Systems and Technologies Conference, San Francisco, CA, USA, 11–14 April 2011. [Google Scholar] [CrossRef]
- Varvill, R. Heat exchanger development at Reaction Engines Ltd. Acta Astronaut. 2010, 66, 1468–1474. [Google Scholar] [CrossRef]
- Varvill, R.; Bond, A. The SKYLON Spaceplane—Progress to Realisation. J. Br. Interplanet. Soc. 2008, 61, 22–32. [Google Scholar] [CrossRef]
- Niu, W.; Li, W. Research on SKYLON Vehicle and SABRE Engine. Aerodyn. Missile J. 2013, 3, 70–75. (In Chinese) [Google Scholar]
- Kang, K.; Ding, W. British Future SKYLON Reusable Launch Vehicle. Missiles Space Veh. 2010, 6, 53–56. (In Chinese) [Google Scholar]
- Webber, H.; Bond, A.; Hempsell, M. The Sensitivity of Precooled Air-Breathing Engine Performance to Heat Exchanger Design Parameters. J. Br. Interplanet. Soc. 2007, 60, 188–196. [Google Scholar] [CrossRef]
- Aggarwal, R.; LakharA, K.; Sharma, P.B.; Darang, T.; Jain, N.; Gangly, S. SABRE Engine: Single Stage to Orbit Rocket Engine. Int. J. Innov. Res. Sci. Eng. Technol. 2015, 10, 10360–10366. [Google Scholar]
- Murray, J.J.; Guha, A.; Bond, A. Overview of the development of heat exchangers for use in air-breathing propulsion pre-coolers. Acta Astronaut. 1997, 41, 723–729. [Google Scholar] [CrossRef]
- Tan, Y.; Li, P.; Du, F. Research on Development of Propulsion Technology for Reusable Space Transportation System. Manned Spacefl. 2019, 25, 1–11. (In Chinese) [Google Scholar]
- Varvill, R.; Bond, A. A Comparison of Propulsion Concepts for SSTO Reusable Launchers. J. Br. Interplanet. Soc. 2003, 56, 108–117. [Google Scholar]
- Wang, Z.; Wang, Y.; Zhang, J.; Zhang, B.C. Overview of the Key Technologies of Combined Cycle Engine Precooling Systems and the Advanced Applications of Micro-Channel Heat Transfer. Aerosp. Sci. Technol. 2014, 39, 31–39. [Google Scholar] [CrossRef]
- Pin, X.; Wang, K.; Liang, J.; Zeng, W.; Chen, J.; Xie, J. Investigation on saturated vapor and two-phase refrigerant injection in the rotary compressor for the extreme hot and cold conditions. Appl. Therm. Eng. 2024, 257, 124–210. [Google Scholar] [CrossRef]
- Webber, H.; Feast, S.; Bond, A. Heat exchanger design in combined cycle engines. J. Br. Interplanet. Soc. 2008, 54, 1–6. [Google Scholar]
- Moncho, P. UK rocket engine revolutionizing propulsion. Mil. Technol. 2013, 37, 11. [Google Scholar]
- Tong, C.; Lou, D. Application of Pre-Cooling Technology on the TBCC Propulsion System. Gas Turbine Exp. Res. 2013, 26, 21–25. (In Chinese) [Google Scholar]
- Wang, Z.; Qi, L.; Liu, S.; Hong, W.; Wang, S. The influence of component parameters on cycle characteristic in rotating detonation gas turbine. Appl. Therm. Eng. 2023, 220, 119716. [Google Scholar] [CrossRef]
- Yang, X.; Nie, W.; Liu, X. Performance Analysis of Thermodynamic Cycle and Pre-cooler in SABRE Air-breathing Mode. Tactical Missile Technol. 2018, 1, 104–110. (In Chinese) [Google Scholar]
- Nie, W.; Zhou, S.; Lei, X. Research Progress on Synergetic Air Breathing Rocket Engine Technology. J. Acad. Equip. 2016, 27, 57–64. (In Chinese) [Google Scholar]
- Kong, X.; Ren, D.; Zhang, P.; Guo, S.; Lu, H. Effects of an unsteady end-wall pulsed jet on a highly loaded compressor cascade at different incidence angles. Phys. Fluids 2023, 35, 085129. [Google Scholar] [CrossRef]
- Deng, F.; Tan, H.; Dong, H.; Fu, Q.; Chen, J. Progress on Key Technologies of Hypersonic Aerospace Plane with Pre-Cooled Combined Propulsion. J. Propuls. Technol. 2018, 39, 1. (In Chinese) [Google Scholar]
- Ma, H.; Zhang, M. Preliminary analysis on development course of pre-cooling propulsion system. J. Rocket. Propuls. 2019, 45, 1–8. (In Chinese) [Google Scholar]
- Li, Q.; Zhan, Q.; Yu, S.; Cai, W. Study on thermal-hydraulic performance of printed circuit heat exchangers with supercritical methane based on machine learning methods. Energy 2023, 282, 128711. [Google Scholar] [CrossRef]
- Cai, W.; Li, Y.; Li, Q.; Wang, Y.; Chen, J. Numerical investigation on thermal-hydraulic performance of supercritical LNG in a Zigzag mini-channel of printed circuit heat exchanger. Appl. Therm. Eng. 2022, 214, 118760. [Google Scholar] [CrossRef]
- Jia, Y.; Xu, X.; Li, Y.; Liang, X.; Yao, M. Experimental studies on frost and defrost of fine tube bundles under coolant temperature between −20 and −58 °C. Int. J. Heat Mass Transf. 2018, 116, 617–620. [Google Scholar] [CrossRef]
- Li, S.; Ma, T.; Liu, H.; Zhang, Z.; Xiang, Z.; Mo, Z.; Sun, L. Numerical Analysis of Effects of Pre-Cooler Structure Parameter on Its Performance in SABRE. J. Propuls. Technol. 2022, 43, 200818. (In Chinese) [Google Scholar]
- Gao, Y.; Chen, Y.; Shi, X. SABRE Precooler Calculation Model and Its Application in Engine Model. J. Propuls. Technol. 2021, 42, 2485–2493. (In Chinese) [Google Scholar]
- Li, G.; Ma, T.; Liu, H.; Zhang, Z.; Tang, J.; Sun, L. Evaluation and Analysis of Applicability of Zukauskas Correlation to Microtubular Pre-Cooler. J. Propuls. Technol. 2021, 42, 2754–2761. (In Chinese) [Google Scholar]
- Ming, L.; Wang, Z.; Zhang, J.; Zheng, P.; Zhang, K. Numerical study on the evolution law and correction method of turbine characteristics of the gas turbine under alternative fuel conditions. Front. Energy Res. 2023, 10, 966713. [Google Scholar] [CrossRef]
- Wang, F. Computational Fluid Dynamics Analysis; Tsinghua University Press: Beijing, China, 2004. [Google Scholar]
- Shi, L.; Ma, H.; Wang, L.; Wu, B.; Wang, T. Tip Leakage Flow of a Vibrating Airfoil in a Linear Compressor Cascade. Phys. Fluids 2023, 35, 124108. [Google Scholar] [CrossRef]
- Dai, J.; Chang, H.; Zhao, R.; Huang, J.; Li, K.; Xie, S. Investigation of the relationship among the microstructure, rheological properties of MR grease and the speed reduction performance of a rotary micro-brake. Mech. Syst. Signal Process. 2019, 116, 741–750. [Google Scholar] [CrossRef]
- Guo, Z.; Chen, Y.; Lu, Y.; Wang, T.; Wang, X.; Jiang, X. Application of the fast 3D simplified simulation method for the large CAP1400 nuclear island evaporator based on the coupled source term method. Energy 2024, 299, 131465. [Google Scholar] [CrossRef]
- Ye, J.; He, Y.; Du, Z.; Ji, R.; Xie, J.; Liu, J. The transient flow and heat transfer characteristics in reciprocated conditions of hydraulic-driven piston hydrogen compressor in hydrogen storage system. J. Energy Storage 2024, 89, 111662. [Google Scholar] [CrossRef]
- Kong, X.; Huang, T.; Liu, Y.; Chen, H.; Lu, H. Effects of pre-swirl radius on cooling performance of a rotor-stator pre-swirl system in gas turbine engines. Case Stud. Therm. Eng. 2022, 37, 102250. [Google Scholar] [CrossRef]
- Zhu, T.; Wu, T.; Gao, Z.; Wu, J.; Xie, Q.; Dai, J. Anti-sedimentation mechanism of rotary magnetorheological brake integrating multi-helix microstructure. Int. J. Mech. Sci. 2024, 266, 108980. [Google Scholar] [CrossRef]
- Yang, L.; Deng, C.; Li, W.; Zhao, B.; Li, Q.; Cai, W. Study on the similarity criterions for trans-critical flow and heat transfer of methane and nitrogen in PCHE. Int. Commun. Heat Mass Transf. 2024, 159, 107993. [Google Scholar] [CrossRef]













| Case | Case1 | Case2 | Case3 | Case4 |
|---|---|---|---|---|
| Hot-side flow/kg·s−1 | 1.87 | 1.91 | 1.94 | 1.99 |
| Cold-side flow/kg·s−1 | 3.00 | 2.90 | 2.80 | 2.58 |
| Hot-side temperature at inlet/K | 675.65 | 845.45 | 988.15 | 1210.65 |
| Cold-side temperature at outlet/K | 294.15 | 294.65 | 295.45 | 296.35 |
| Flow Medium | Flow q/kg•s−1 | Temperature at Inlet Tin/K | Pressure at Inlet Pin/MPa |
|---|---|---|---|
| Air | 0.001 | 1250 | 0.02 |
| He | 0.0001 | 200 | 1.2 |
Disclaimer/Publisher’s Note: The statements, opinions and data contained in all publications are solely those of the individual author(s) and contributor(s) and not of MDPI and/or the editor(s). MDPI and/or the editor(s) disclaim responsibility for any injury to people or property resulting from any ideas, methods, instructions or products referred to in the content. |
© 2024 by the authors. Licensee MDPI, Basel, Switzerland. This article is an open access article distributed under the terms and conditions of the Creative Commons Attribution (CC BY) license (https://creativecommons.org/licenses/by/4.0/).
Share and Cite
Li, Y.; Jiang, S.; Chen, X.; Sun, F.; Wang, S.; Lu, Y. Study on the Effects of Structural Parameters of the Pre-Cooler on the Performance of Combined Power Generation Engines. Symmetry 2024, 16, 1471. https://doi.org/10.3390/sym16111471
Li Y, Jiang S, Chen X, Sun F, Wang S, Lu Y. Study on the Effects of Structural Parameters of the Pre-Cooler on the Performance of Combined Power Generation Engines. Symmetry. 2024; 16(11):1471. https://doi.org/10.3390/sym16111471
Chicago/Turabian StyleLi, Yujie, Shunlin Jiang, Xudong Chen, Fengyuan Sun, Shan Wang, and Yeming Lu. 2024. "Study on the Effects of Structural Parameters of the Pre-Cooler on the Performance of Combined Power Generation Engines" Symmetry 16, no. 11: 1471. https://doi.org/10.3390/sym16111471
APA StyleLi, Y., Jiang, S., Chen, X., Sun, F., Wang, S., & Lu, Y. (2024). Study on the Effects of Structural Parameters of the Pre-Cooler on the Performance of Combined Power Generation Engines. Symmetry, 16(11), 1471. https://doi.org/10.3390/sym16111471

