Reliability Analysis for Degradation-Shock Processes with State-Varying Degradation Patterns Using Approximate Bayesian Computation (ABC) for Parameter Estimation
Abstract
1. Introduction
- We propose a multi-state reliability model that accounts for the degradation-shock dependency and considers state-varying degradation patterns using a time-transform Wiener process. Our approach is based on dividing the degradation process into s-states and treating each state according to its pattern based on the time-transform Wiener process.
- We derive the reliability function considering soft failure caused by continuous degradation across multiple states, sudden increases in degradation due to random shocks, and hard failure from certain shock processes.
- We adopt approximate Bayesian computation (ABC) for parameter estimation in complex reliability models, overcoming the limitations posed by highly complex likelihood functions.
- We perform a comprehensive sensitivity analysis to identify the most influential parameters affecting system reliability, providing critical insights for system design and maintenance.
2. Reliability Modeling of a System Subjected to a Degradation-Shock Process with Multiple States
2.1. Shock Modeling Based on Extreme Shock
2.2. Degradation Modeling under Soft Failure and Pattern Variation
2.3. Reliability Modeling
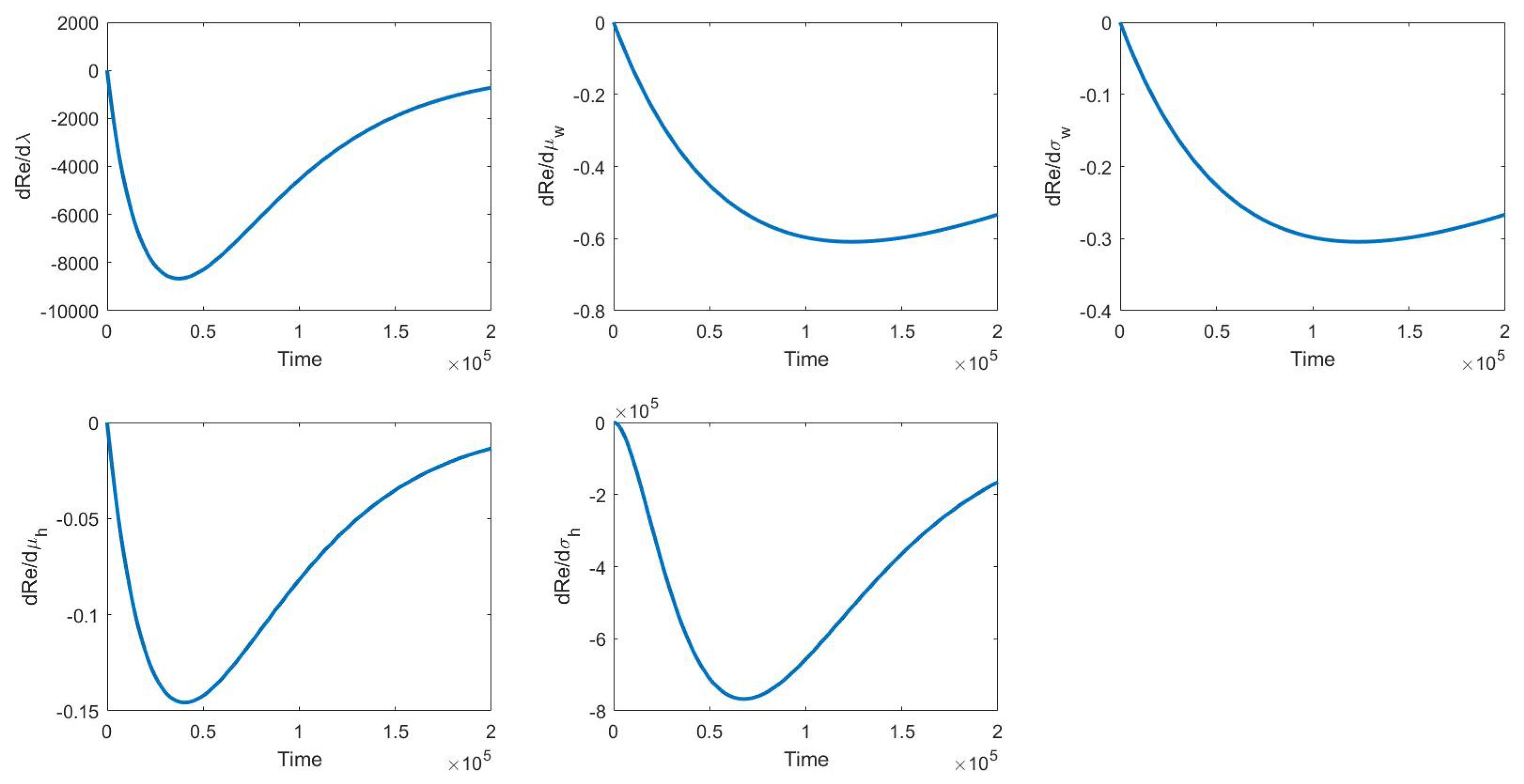
2.4. Reliability Sensitivity Analysis
2.4.1. Sensitivity of Reliability with Respect to Shock Parameters
2.4.2. Sensitivity of Reliability with Respect to Degradation Parameters
3. Parameter Estimation Method
| Algorithm 1 ABC-Gibbs algorithm for s-state degradation-shock process | |
| Inputs: | |
| i. | Observed dataset , |
| ii. | Summary statistics of the observed data , |
| iii. | Desired number of samples , |
| iv. | Distance measure , |
| v. | Tolerance threshold , |
| vi. | Starting points |
| Simulation: | |
| |
4. Illustrative Examples
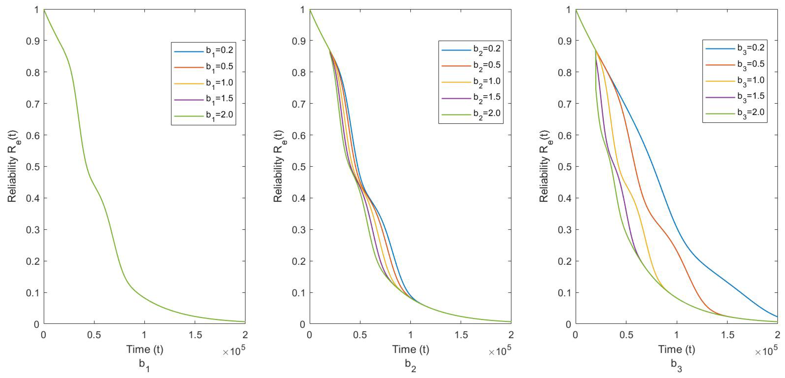
4.1. Simulation Study
4.2. Practical Application
5. Conclusions
Author Contributions
Funding
Data Availability Statement
Conflicts of Interest
References
- Ibrahim, R.; Zemouri, R.; Kedjar, B.; Merkhouf, A.; Tahan, A.; Al-Haddad, K.; Lafleur, F. Non-invasive Detection of Rotor Inter-turn Short Circuit of a Hydrogenerator Using AI-Based Variational Autoencoder. IEEE Trans. Ind. Appl. 2023, 60, 28–37. [Google Scholar] [CrossRef]
- Hossain, R.B.; Kobayashi, K.; Alam, S.B. Sensor degradation in nuclear reactor pressure vessels: The overlooked factor in remaining useful life prediction. NPJ Mater. Degrad. 2024, 8, 71. [Google Scholar] [CrossRef]
- Zhang, Y.; Tang, Q.; Zhang, Y.; Wang, J.; Stimming, U.; Lee, A.A. Identifying degradation patterns of lithium ion batteries from impedance spectroscopy using machine learning. Nat. Commun. 2020, 11, 1706. [Google Scholar] [CrossRef] [PubMed]
- Lu, J.; Xiong, R.; Tian, J.; Wang, C.; Sun, F. Deep learning to estimate lithium-ion battery state of health without additional degradation experiments. Nat. Commun. 2023, 14, 2760. [Google Scholar] [CrossRef]
- Li, Z.; Shen, S.; Ye, Y.; Cai, Z.; Zhen, A. An interpretable online prediction method for remaining useful life of lithium-ion batteries. Sci. Rep. 2024, 14, 12541. [Google Scholar] [CrossRef] [PubMed]
- Yang, N.; Wu, X.; Cai, W.; Liang, S.; Chi, M. An investigation of periodic degradation of axle box vibration spectrum for a high-speed rail vehicle based on Bayesian method. Veh. Syst. Dyn. 2024, 62, 1001–1021. [Google Scholar] [CrossRef]
- Pang, Z.; Li, T.; Pei, H.; Si, X. A condition-based prognostic approach for age-and state-dependent partially observable nonlinear degrading system. Reliab. Eng. Syst. Saf. 2023, 230, 108854. [Google Scholar] [CrossRef]
- Ye, Z.S.; Xie, M. Stochastic modelling and analysis of degradation for highly reliable products. Appl. Stoch. Model. Bus. Ind. 2015, 31, 16–32. [Google Scholar] [CrossRef]
- Si, X.S.; Li, T.; Zhang, J.; Lei, Y. Nonlinear degradation modeling and prognostics: A Box-Cox transformation perspective. Reliab. Eng. Syst. Saf. 2022, 217, 108120. [Google Scholar] [CrossRef]
- Muhammad, I.; Xiahou, T.; Liu, Y.; Muhammad, M. A random-effect Wiener process degradation model with transmuted normal distribution and ABC-Gibbs algorithm for parameter estimation. Reliab. Eng. Syst. Saf. 2024, 250, 110289. [Google Scholar] [CrossRef]
- Muhammad, I.; Wang, X.; Li, C.; Yan, M.; Mukhtar, M.; Muhammad, M. Reliability Analysis with Wiener-Transmuted Truncated Normal Degradation Model for Linear and Non-Negative Degradation Data. Symmetry 2022, 14, 353. [Google Scholar] [CrossRef]
- Song, K.; Cui, L. A common random effect induced bivariate gamma degradation process with application to remaining useful life prediction. Reliab. Eng. Syst. Saf. 2022, 219, 108200. [Google Scholar] [CrossRef]
- Rodríguez-Picón, L.A.; Méndez-González, L.C.; Pérez-Olguín, I.J.C.; Hernández-Hernández, J.I. A gamma process with three sources of variability. Symmetry 2023, 15, 162. [Google Scholar] [CrossRef]
- Wang, X.; Xu, D. An inverse Gaussian process model for degradation data. Technometrics 2010, 52, 188–197. [Google Scholar] [CrossRef]
- Zheng, H.; Yang, J.; Kang, W.; Zhao, Y. Accelerated degradation data analysis based on inverse Gaussian process with unit heterogeneity. Appl. Math. Model. 2024, 126, 420–438. [Google Scholar] [CrossRef]
- Zhang, Y.; Dong, Y.; Li, J. Electrochemical shock and transverse cracking in solid electrolytes. Acta Mater. 2024, 265, 119620. [Google Scholar] [CrossRef]
- Hao, H.; Li, C. Reliability Modeling and Evaluation for Complex Systems Subject to New Dependent Competing Failure Process. Math. Probl. Eng. 2022, 2022, 5432809. [Google Scholar] [CrossRef]
- Hao, H.; Li, C. Multi-State Reliability Analysis Based on General Wiener Degradation Process and Random Shock. Shock Vib. 2022, 2022, 5464643. [Google Scholar] [CrossRef]
- Lemoine, A.J.; Wenocur, M.L. On failure modeling. Nav. Res. Logist. Q. 1985, 32, 497–508. [Google Scholar] [CrossRef]
- Peng, H.; Feng, Q.; Coit, D.W. Reliability and maintenance modeling for systems subject to multiple dependent competing failure processes. IIE Trans. 2010, 43, 12–22. [Google Scholar] [CrossRef]
- Jiang, L.; Feng, Q.; Coit, D.W. Reliability and maintenance modeling for dependent competing failure processes with shifting failure thresholds. IEEE Trans. Reliab. 2012, 61, 932–948. [Google Scholar] [CrossRef]
- Song, S.; Coit, D.W.; Feng, Q.; Peng, H. Reliability analysis for multi-component systems subject to multiple dependent competing failure processes. IEEE Trans. Reliab. 2014, 63, 331–345. [Google Scholar] [CrossRef]
- Fan, M.; Zeng, Z.; Zio, E.; Kang, R. Modeling dependent competing failure processes with degradation-shock dependence. Reliab. Eng. Syst. Saf. 2017, 165, 422–430. [Google Scholar] [CrossRef]
- Che, H.; Zeng, S.; Guo, J.; Wang, Y. Reliability modeling for dependent competing failure processes with mutually dependent degradation process and shock process. Reliab. Eng. Syst. Saf. 2018, 180, 168–178. [Google Scholar] [CrossRef]
- Cao, Y.; Dong, W. Reliability analysis for multi-state systems subject to distinct random shocks. Qual. Reliab. Eng. Int. 2021, 37, 2085–2097. [Google Scholar] [CrossRef]
- Liang, Q.; Yang, Y.; Peng, C. A reliability model for systems subject to mutually dependent degradation processes and random shocks under dynamic environments. Reliab. Eng. Syst. Saf. 2023, 234, 109165. [Google Scholar] [CrossRef]
- Feng, T.; Li, S.; Guo, L.; Gao, H.; Chen, T.; Yu, Y. A degradation-shock dependent competing failure processes based method for remaining useful life prediction of drill bit considering time-shifting sudden failure threshold. Reliab. Eng. Syst. Saf. 2023, 230, 108951. [Google Scholar] [CrossRef]
- Chang, M.; Coolen, F.P.; Coolen-Maturi, T.; Huang, X. A generalized system reliability model based on survival signature and multiple competing failure processes. J. Comput. Appl. Math. 2024, 435, 115364. [Google Scholar] [CrossRef]
- Shao, X.; Cai, B.; Li, J.; Liu, Y.; Gao, L.; Zou, Z.; Liu, G. Remaining useful life prediction method for Degradation–Shock dependence: Case of a subsea hydraulic control system. Ocean. Eng. 2024, 299, 117339. [Google Scholar] [CrossRef]
- Lyu, H.; Lu, B.; Xie, H.; Qu, H.; Yang, Z.; Ma, L.; Jiang, Y. Reliability modeling for dependent competing failure processes considering random cycle times. Qual. Reliab. Eng. Int. 2024, 40, 605–618. [Google Scholar] [CrossRef]
- Qiu, Q.; Cui, L.; Shen, J. Availability and maintenance modeling for systems subject to dependent hard and soft failures. Appl. Stoch. Model. Bus. Ind. 2018, 34, 513–527. [Google Scholar] [CrossRef]
- Jin, Y.; Zhang, Q. Cascading Failure Modeling for Circuit Systems Considering Continuous Degradation and Random Shocks Using an Impedance Network. Symmetry 2024, 16, 488. [Google Scholar] [CrossRef]
- Gan, W.; Tang, J. Multi-Performance Degradation System Reliability Analysis with Varying Failure Threshold Based on Copulas. Symmetry 2024, 16, 57. [Google Scholar] [CrossRef]
- Xu, D.; Jia, X.; Song, X. Reliability analysis of systems with n-stage shock process and m-stage degradation. Reliab. Eng. Syst. Saf. 2024, 247, 110119. [Google Scholar] [CrossRef]
- Becker, G.; Camarinopoulos, L.; Kabranis, D. Dynamic reliability under random shocks. Reliab. Eng. Syst. Saf. 2002, 77, 239–251. [Google Scholar] [CrossRef]
- Zeng, Z.; Fang, Y.P.; Zhai, Q.; Du, S. A Markov reward process-based framework for resilience analysis of multistate energy systems under the threat of extreme events. Reliab. Eng. Syst. Saf. 2021, 209, 107443. [Google Scholar] [CrossRef]
- Wang, J.; Han, X.; Zhang, Y.a.; Bai, G. Modeling the varying effects of shocks for a multi-stage degradation process. Reliab. Eng. Syst. Saf. 2021, 215, 107925. [Google Scholar] [CrossRef]
- Hectors, K.; De Waele, W. Cumulative damage and life prediction models for high-cycle fatigue of metals: A review. Metals 2021, 11, 204. [Google Scholar] [CrossRef]
- Zhao, J.; Zhou, Y.; Zhu, Q.; Song, Y.; Liu, Y.; Luo, H. A remaining useful life prediction method of aluminum electrolytic capacitor based on wiener process and similarity measurement. Microelectron. Reliab. 2023, 142, 114928. [Google Scholar] [CrossRef]
- Feng, J.; Sun, Q.; Jin, T. Storage life prediction for a high-performance capacitor using multi-phase Wiener degradation model. Commun. -Stat.-Simul. Comput. 2012, 41, 1317–1335. [Google Scholar] [CrossRef]
- Chen, P.; Ye, Z.S.; Zhai, Q. Parametric analysis of time-censored aggregate lifetime data. IISE Trans. 2020, 52, 516–527. [Google Scholar] [CrossRef]
- Hazra, I.; Pandey, M.D.; Manzana, N. Approximate Bayesian computation (ABC) method for estimating parameters of the gamma process using noisy data. Reliab. Eng. Syst. Saf. 2020, 198, 106780. [Google Scholar] [CrossRef]
- Thouzeau, V.; Mennecier, P.; Verdu, P.; Austerlitz, F. Genetic and linguistic histories in Central Asia inferred using approximate Bayesian computations. Proc. R. Soc. Biol. Sci. 2017, 284, 20170706. [Google Scholar] [CrossRef]
- Vakilzadeh, M.K.; Huang, Y.; Beck, J.L.; Abrahamsson, T. Approximate Bayesian Computation by Subset Simulation using hierarchical state-space models. Mech. Syst. Signal Process. 2017, 84, 2–20. [Google Scholar] [CrossRef]
- Rau, A.; Jaffrézic, F.; Foulley, J.L.; Doerge, R.W. Reverse engineering gene regulatory networks using approximate Bayesian computation. Stat. Comput. 2012, 22, 1257–1271. [Google Scholar] [CrossRef]
- Vakilzadeh, M.K.; Beck, J.L.; Abrahamsson, T. Using approximate Bayesian computation by Subset Simulation for efficient posterior assessment of dynamic state-space model classes. SIAM J. Sci. Comput. 2018, 40, B168–B195. [Google Scholar] [CrossRef]
- Tsiotas, G. An ABC approach for CAViaR models with asymmetric kernels. J. Stat. Comput. Simul. 2020, 90, 1373–1398. [Google Scholar] [CrossRef]
- Hazra, I.; Bhadra, R.; Pandey, M.D. Likelihood-free Hamiltonian Monte Carlo for modeling piping degradation and remaining useful life prediction using the mixed gamma process. Int. J. Press. Vessel. Pip. 2022, 200, 104834. [Google Scholar] [CrossRef]
- Simola, U.; Cisewski Kehe, J.; Gutmann, M.U.; Corander, J. Adaptive approximate Bayesian computation tolerance selection. Bayesian Anal. 2021, 16, 397–423. [Google Scholar] [CrossRef]
- Clarté, G.; Robert, C.P.; Ryder, R.J.; Stoehr, J. Componentwise approximate Bayesian computation via Gibbs-like steps. Biometrika 2021, 108, 591–607. [Google Scholar] [CrossRef]
- Karabatsos, G. Approximate Bayesian computation using asymptotically normal point estimates. Comput. Stat. 2022, 38, 1–38. [Google Scholar] [CrossRef]
- Li, J.; Wang, Z.; Zhang, Y.; Fu, H.; Liu, C.; Krishnaswamy, S. Degradation data analysis based on a generalized Wiener process subject to measurement error. Mech. Syst. Signal Process. 2017, 94, 57–72. [Google Scholar] [CrossRef]
- van de Schoot, R.; Depaoli, S.; King, R.; Kramer, B.; Märtens, K.; Tadesse, M.G.; Vannucci, M.; Gelman, A.; Veen, D.; Willemsen, J.; et al. Bayesian statistics and modelling. Nat. Rev. Methods Prim. 2021, 1, 1. [Google Scholar] [CrossRef]
- Rodrigues, G.; Nott, D.J.; Sisson, S.A. Likelihood-free approximate Gibbs sampling. Stat. Comput. 2020, 30, 1057–1073. [Google Scholar] [CrossRef]
- Turner, B.M.; Van Zandt, T. Hierarchical approximate Bayesian computation. Psychometrika 2014, 79, 185–209. [Google Scholar] [CrossRef]
- Gnedenko, B.V.; Kolmogorov, A.N. Central limit theorem. Encycl. Math. 2001, 1, 386–391. [Google Scholar]
- Tanner, D.M.; Miller, W.M.; Peterson, K.A.; Dugger, M.T.; Eaton, W.P.; Irwin, L.W.; Senft, D.C.; Smith, N.F.; Tangyunyong, P.; Miller, S.L. Frequency dependence of the lifetime of a surface micromachined microengine driving a load. Microelectron. Reliab. 1999, 39, 401–414. [Google Scholar] [CrossRef]
- Hao, S.; Yang, J.; Ma, X.; Zhao, Y. Reliability modeling for mutually dependent competing failure processes due to degradation and random shocks. Appl. Math. Model. 2017, 51, 232–249. [Google Scholar] [CrossRef]
- Rafiee, K.; Feng, Q.; Coit, D.W. Reliability analysis and condition-based maintenance for failure processes with degradation-dependent hard failure threshold. Qual. Reliab. Eng. Int. 2017, 33, 1351–1366. [Google Scholar] [CrossRef]
- Peng, H.; Feng, Q.; Coit, D.W. Simultaneous quality and reliability optimization for microengines subject to degradation. IEEE Trans. Reliab. 2009, 58, 98–105. [Google Scholar] [CrossRef]
- An, Z.; Sun, D. Reliability modeling for systems subject to multiple dependent competing failure processes with shock loads above a certain level. Reliab. Eng. Syst. Saf. 2017, 157, 129–138. [Google Scholar] [CrossRef]
- Tanner, D.M.; Dugger, M.T. Wear mechanisms in a reliability methodology. Reliab. Testing Charact. 2003, 4980, 22–40. [Google Scholar]











| Sample Mean | |||||||
|---|---|---|---|---|---|---|---|
| No.Itr | |||||||
| TVs | - | 4.0000 | 0.5000 | 2.0000 | 0.1500 | 0.0200 | |
| 0.1000 | 3.9720 | 0.5311 | 2.0426 | 0.1679 | 0.0226 | ||
| 0.0500 | 3.9717 | 0.5317 | 2.0426 | 0.1652 | 0.0223 | ||
| 0.0050 | 3.9760 | 0.5307 | 2.0430 | 0.1642 | 0.0223 | ||
| 0.0010 | 3.9625 | 0.5123 | 2.0428 | 0.1595 | 0.0223 | ||
| Sample Mean | ||||||||||
|---|---|---|---|---|---|---|---|---|---|---|
| State0 | State1 | |||||||||
| No.Itrs | b0 | b1 | ||||||||
| TVs | - | 1.9200 | 0.5800 | 1.2000 | 0.3200 | 2.2000 | 0.5300 | 1.5600 | 0.3800 | |
| 0.1000 | 1.9724 | 0.5857 | 1.2550 | 0.3056 | 2.1658 | 0.5211 | 1.5931 | 0.3857 | ||
| 0.0500 | 1.9754 | 0.5853 | 1.2513 | 0.3052 | 2.1685 | 0.5217 | 1.5912 | 0.3855 | ||
| 0.0050 | 1.9558 | 0.5778 | 1.2428 | 0.3074 | 2.1649 | 0.5231 | 1.5968 | 0.3858 | ||
| 0.0001 | 1.9128 | 0.5815 | 1.2154 | 0.3125 | 2.1892 | 0.5282 | 1.5681 | 0.3836 | ||
| Sample Mean | ||||||||||
| State2 | State3 | |||||||||
| No.Itrs | b2 | b1 | ||||||||
| TVs | - | 5.5000 | 2.7000 | 0.3000 | 0.4000 | 6.0000 | 2.0000 | 2.5000 | 0.5000 | |
| 0.1000 | 5.6195 | 2.7521 | 0.3799 | 0.3916 | 5.8990 | 1.9596 | 2.8011 | 0.5120 | ||
| 0.0500 | 5.6239 | 2.7510 | 0.3755 | 0.3915 | 5.8988 | 1.9626 | 2.8065 | 0.5119 | ||
| 0.0050 | 5.6298 | 2.7580 | 0.3525 | 0.3914 | 5.8630 | 1.9892 | 2.6846 | 0.5133 | ||
| 0.0001 | 5.5679 | 2.7421 | 0.3104 | 0.3945 | 5.9845 | 2.0126 | 2.5110 | 0.5082 | ||
| Parameters | Values | Sources |
|---|---|---|
| 0.00125 μm3 | Tanner et al. [57] | |
| 1.5 Gpa | Rafiee et al. [59] | |
| μm3 | Peng et al. [60] | |
| μm3 | Peng et al. [60] | |
| μm3 | Assumption | |
| μm3 | Assumption | |
| μm3 | Assumption | |
| μm3 | Assumption | |
| 0.00021 μm3 | Assumption | |
| 0.00063 μm3 | Assumption | |
| μm3 | An and Sun [61] | |
| μm3 | An and Sun [61] | |
| 1.2 Gpa | An and Sun [61] | |
| 0.4 Gpa | An and Sun [61] | |
| 0.14 Gpa | Assumption | |
| Tanner and Dugger [62] | ||
| 1 | Assumption |
Disclaimer/Publisher’s Note: The statements, opinions and data contained in all publications are solely those of the individual author(s) and contributor(s) and not of MDPI and/or the editor(s). MDPI and/or the editor(s) disclaim responsibility for any injury to people or property resulting from any ideas, methods, instructions or products referred to in the content. |
© 2024 by the authors. Licensee MDPI, Basel, Switzerland. This article is an open access article distributed under the terms and conditions of the Creative Commons Attribution (CC BY) license (https://creativecommons.org/licenses/by/4.0/).
Share and Cite
Muhammad, I.; Muhammad, M.; Wang, B.; Chen, W.; Abba, B.; Usman, M.M. Reliability Analysis for Degradation-Shock Processes with State-Varying Degradation Patterns Using Approximate Bayesian Computation (ABC) for Parameter Estimation. Symmetry 2024, 16, 1364. https://doi.org/10.3390/sym16101364
Muhammad I, Muhammad M, Wang B, Chen W, Abba B, Usman MM. Reliability Analysis for Degradation-Shock Processes with State-Varying Degradation Patterns Using Approximate Bayesian Computation (ABC) for Parameter Estimation. Symmetry. 2024; 16(10):1364. https://doi.org/10.3390/sym16101364
Chicago/Turabian StyleMuhammad, Isyaku, Mustapha Muhammad, Baohua Wang, Wang Chen, Badamasi Abba, and Mustapha Mukhtar Usman. 2024. "Reliability Analysis for Degradation-Shock Processes with State-Varying Degradation Patterns Using Approximate Bayesian Computation (ABC) for Parameter Estimation" Symmetry 16, no. 10: 1364. https://doi.org/10.3390/sym16101364
APA StyleMuhammad, I., Muhammad, M., Wang, B., Chen, W., Abba, B., & Usman, M. M. (2024). Reliability Analysis for Degradation-Shock Processes with State-Varying Degradation Patterns Using Approximate Bayesian Computation (ABC) for Parameter Estimation. Symmetry, 16(10), 1364. https://doi.org/10.3390/sym16101364

