MHD Free Convection Flows for Maxwell Fluids over a Porous Plate via Novel Approach of Caputo Fractional Model
Abstract
:1. Introduction
2. Problem Description
3. Fractional Analogue
4. Mathematical Computation
4.1. Computation for Temperature Profile
4.2. Computation for Concentration Profile
4.3. Computation for Velocity Profile
4.4. Computation for Shear Stress
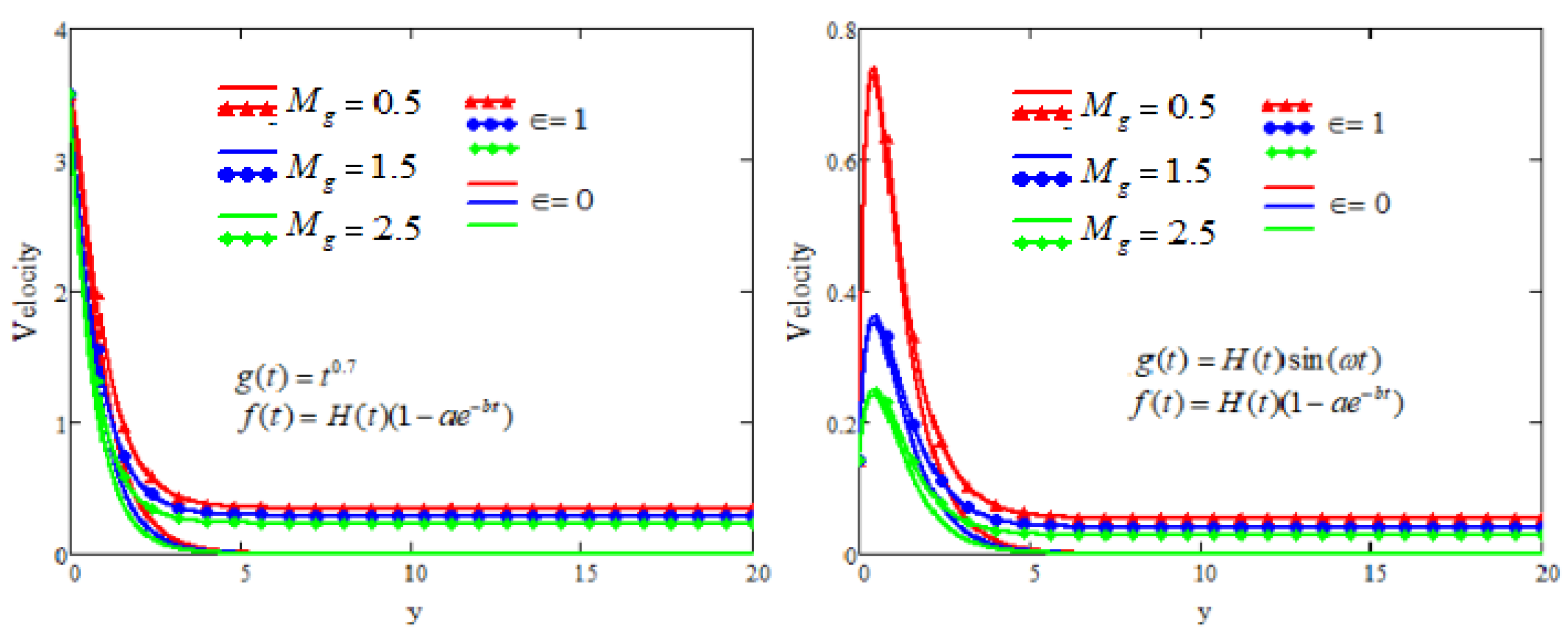
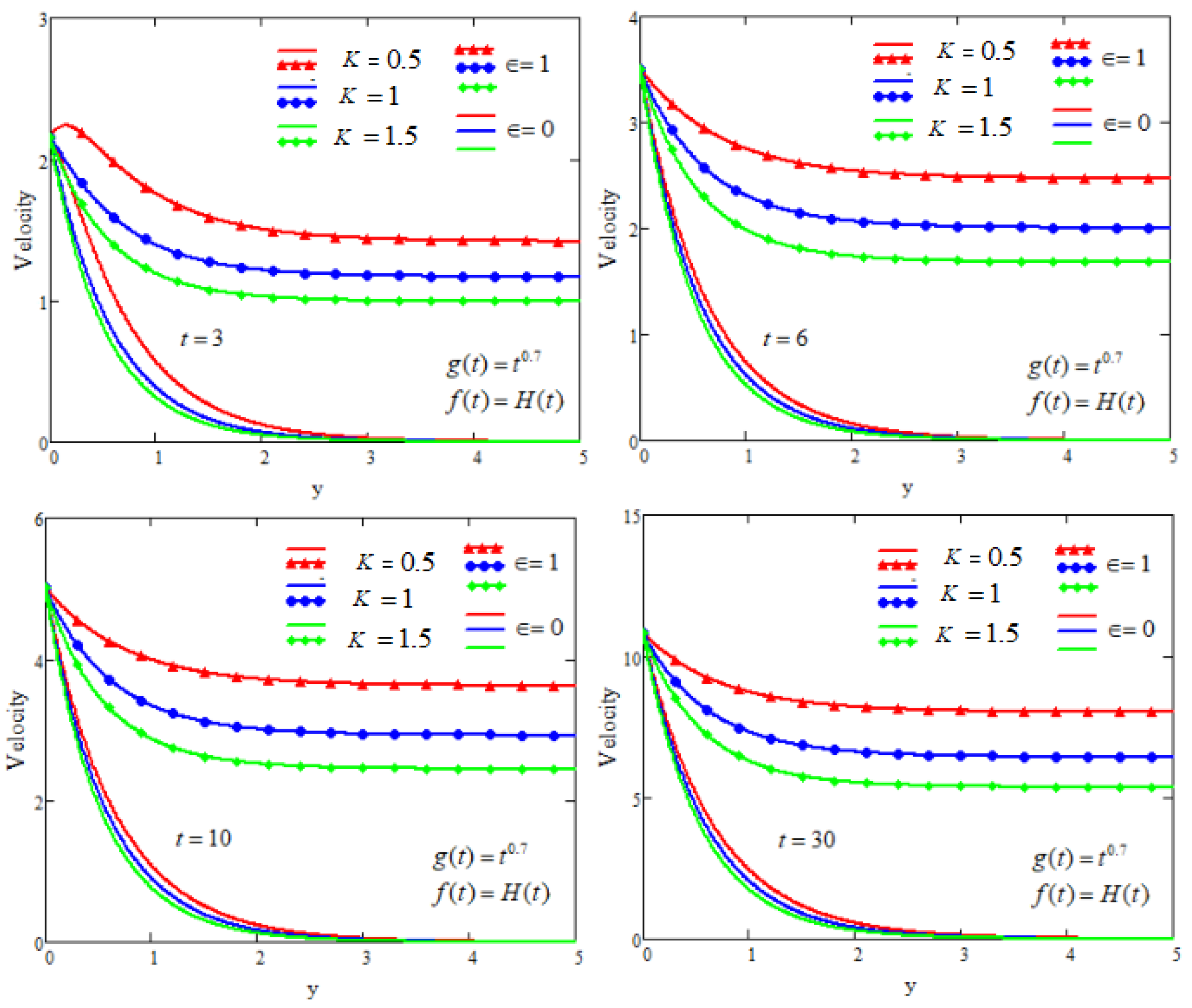
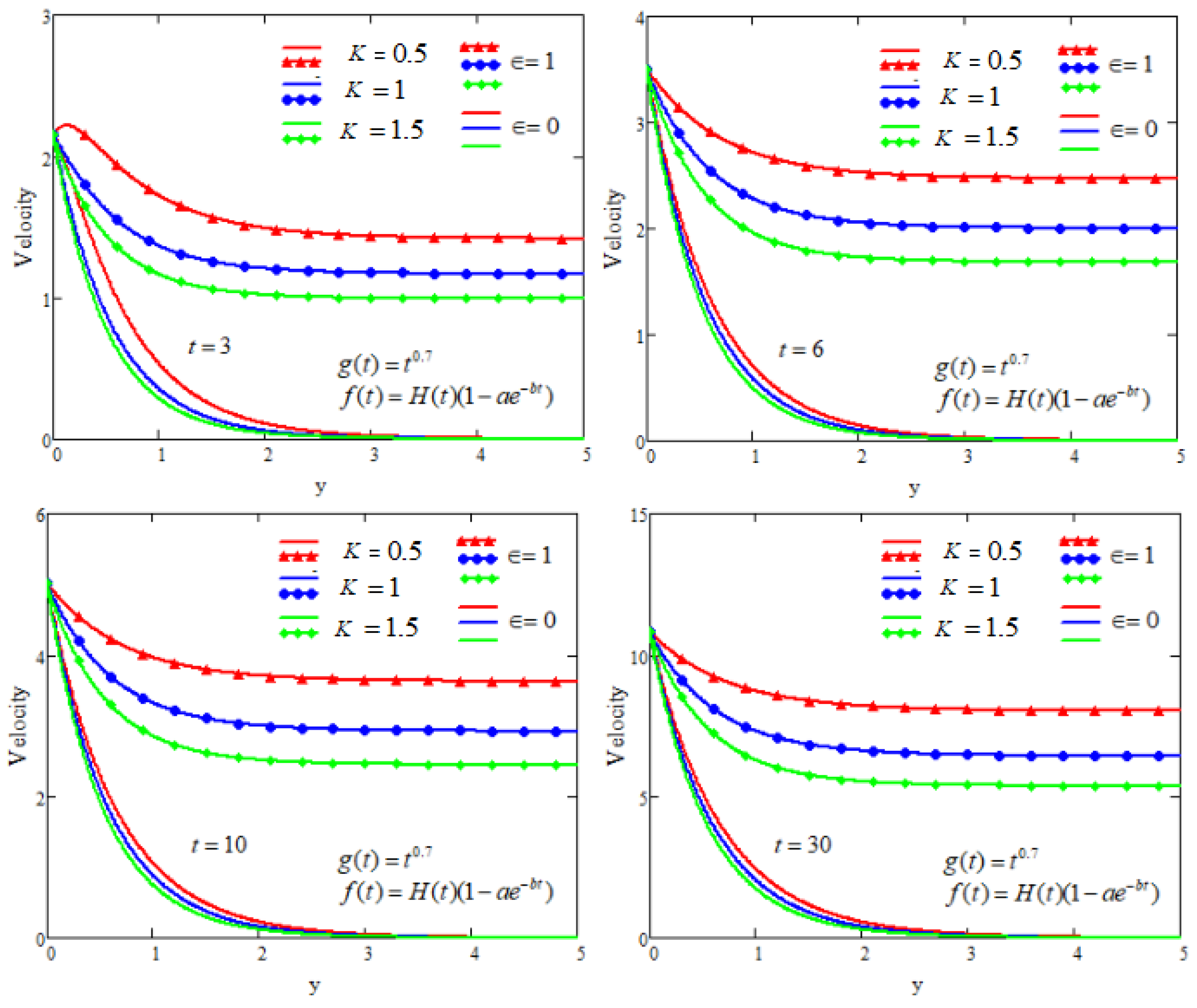
5. Graphical Analysis and Discussion
6. Conclusions
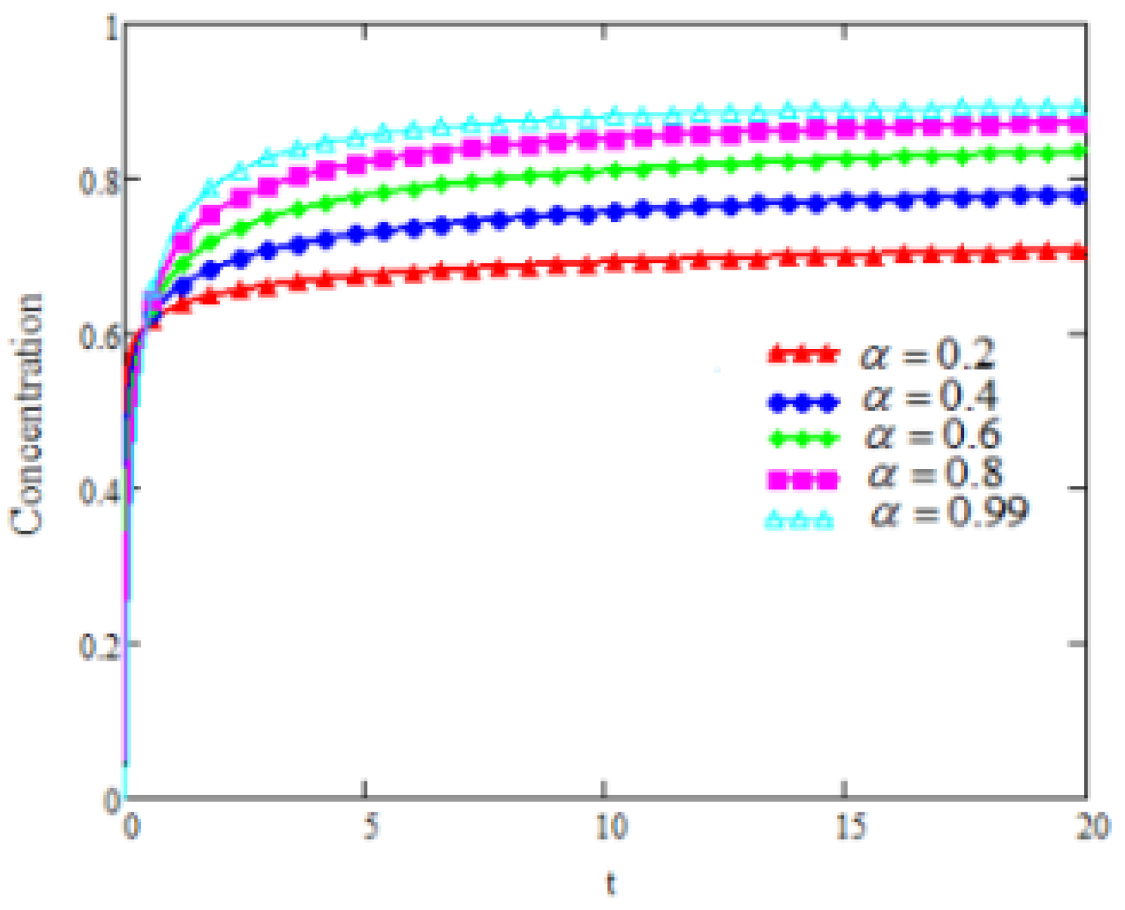
- With respect to the increasing values of the fractional-order parameter, the profiles of concentration, temperature, and velocity exhibit increasing trends.
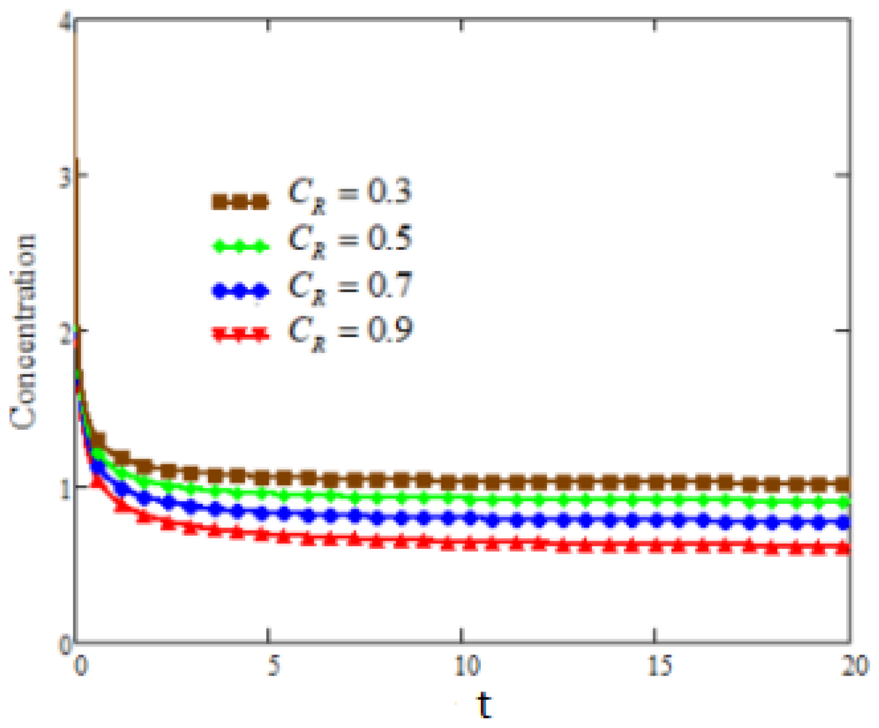
- As the value of rises, there is a corresponding decrease in the concentration profile of the fluid.
- A higher value of the chemical reaction parameter catalyzes a decline in the fluid velocity.
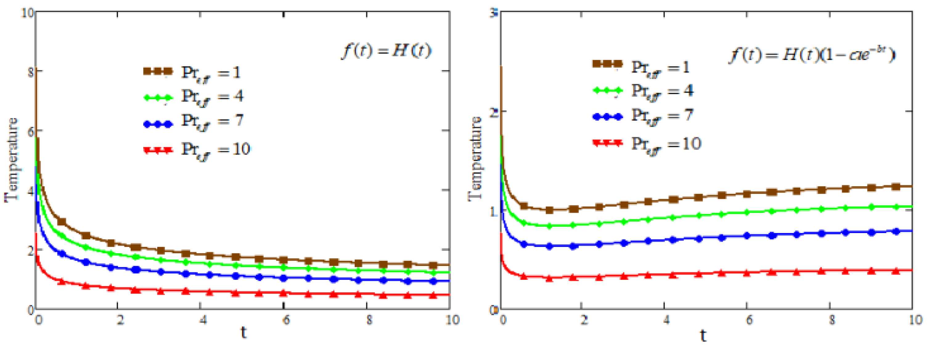
- As the effective Prandtl number increases, the rate of heat transfer also rises, but it gradually diminishes over time.
- Increasing the values of leads to a decrease in temperature profiles.
- The fluid velocity decreases as the relaxation time and porosity parameters increase, and their control weakens over time.
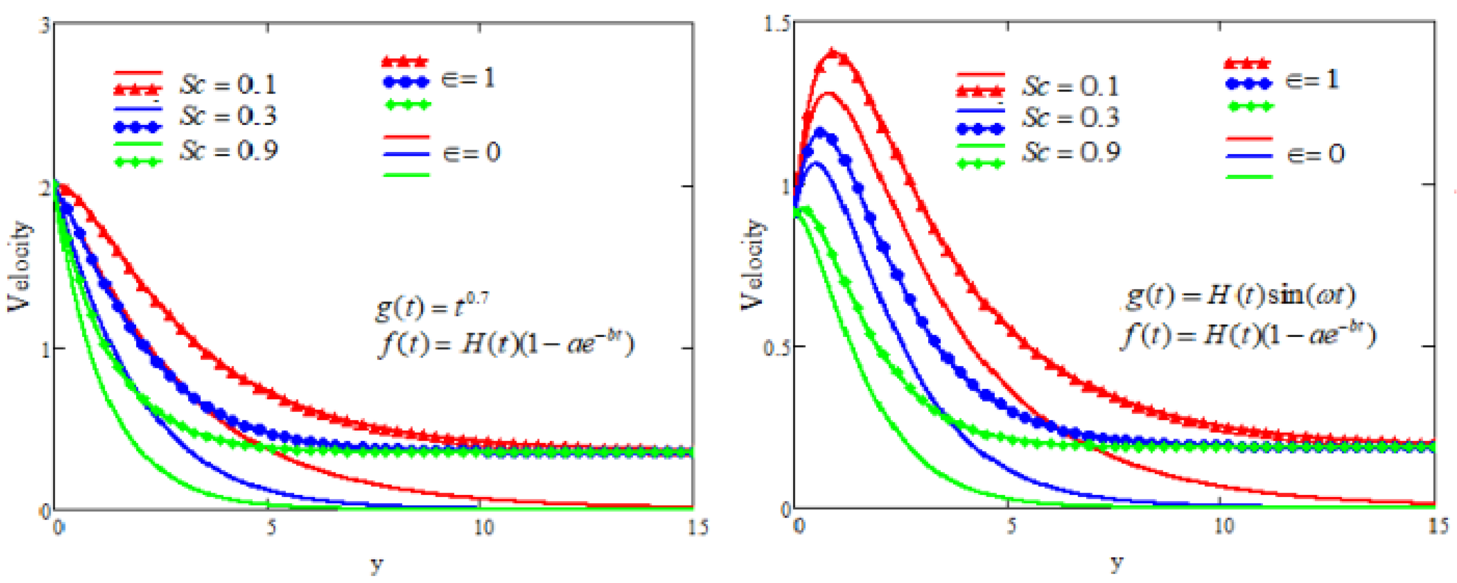
- With the increase in the Schmidt number, the velocity profiles depreciate.
- Strengthening the Prandtl number weakens the magnitude of the velocity profiles.
- With an increase in the values of the magnetic parameter, the boundary layer thickness becomes narrower, causing a corresponding decrease in the flow velocity.
- In the case when MFFRP, the profiles of fluid velocity are significantly greater in comparison to the scenario when MFFRF.
7. Future Works
Author Contributions
Funding
Data Availability Statement
Acknowledgments
Conflicts of Interest
Abbreviations
| Symbol | Quantity |
| Velocity of the fluid | |
| Volumetric coefficient of thermal expansion | |
| Volumetric coefficient of expansion with concentration | |
| Electric conductivity | |
| Applied magnetic field | |
| s | Laplace Transform parameter |
| Thermal conductivity | |
| Temperature of the fluid | |
| C | Concentration |
| Shear stress | |
| Density | |
| Maxwell fluid parameter (relaxation time) | |
| Viscosity(Dynamic) | |
| Viscosity(Kinematic) | |
| Schmidt number | |
| Magnetic parameter | |
| Prandtl number | |
| Effective Prandtl number | |
| Chemical reaction parameter | |
| K | Porosity parameter |
| Buoyancy forces ratio parameter | |
| Constants |
References
- Khan, I.; Ellahi, R.; Fectecau, C. Some MHD flows of second grade fluid throgh the prous medium. J. Porous Media 2008, 11, 389–400. [Google Scholar]
- Parida, S.K.; Panda, S.; Acharya, M.K. Magnetrohydrodynamics (MHD) flow of a second grade fluid in a channel with porous wall. Meccanica 2011, 46, 1093–1102. [Google Scholar] [CrossRef]
- Javaherdeh, K.; Nejad, M.M.; Moslemi, M. Natural convection heat and mass transfer in MHD fluid flow past a moving vertical plate with veriable surface temperature and concentration in a porous medium. Eng. Sci. Technol. Int. J. 2015, 18, 423–431. [Google Scholar]
- Seth, G.S.; Hussain, S.M.; Sarkar, S. Hydromagnetic natural convection flow with radiative heat transfer past an accelerated moving vertical plate with ramped temperature through a porous medium. J. Porous Media 2014, 17, 67–79. [Google Scholar] [CrossRef]
- Cortell, R. MHD flow and heat transfer of an electrically conducting fluid of second grade in a porous medium over a stretching sheet with chemically reactive species. Chem. Eng. Process. 2007, 48, 721–728. [Google Scholar] [CrossRef]
- Raptis, A.; Singh, A.K. MHD free convection flow past an accelerated vertical plate. Int. Commun. Heat Mass Transf. 1983, 10, 313–321. [Google Scholar] [CrossRef]
- Fetecau, C.; Morosanu, C. Influence of magnetic field and porous medium on the steady state and flow resistance of Second grade fluids over an infinite plate. Symmetry 2023, 15, 1269. [Google Scholar] [CrossRef]
- Baranovskii, E.S.; Artemov, M.A. Model for aqueous polymer solutions with damping term: Solvability and vanishing relaxation limit. Polymers 2022, 14, 3789. [Google Scholar] [CrossRef] [PubMed]
- Ali, F.; Khan, I.; Samiulhaq; Shafie, S. Conjugate effects of heat and mass transfer on MHD free convection flow over an inclined plate embedded in a porous medium. PLoS ONE 2013, 8, e65223. [Google Scholar] [CrossRef]
- Refahati, N.; Jearsiripongkul, T.; Thongchom, C.; Saffari, P.R.; Saffari, P.R.; Keawsawasvong, S. Sound transmission loss of double-walled sandwich cross-ply layered magneto-electro-elastic plates under thermal environment. Sci. Rep. 2022, 12, 16621. [Google Scholar] [CrossRef] [PubMed]
- Rouhi, S.; Pourmirzaagha, H.; Bidgoli, M.O. Molecular dynamics simulations of gallium nitride nanosheets under uniaxial and biaxial tensile loads. Int. J. Mod. Phys. B 2018, 32, 1850051. [Google Scholar] [CrossRef]
- Jana, R.; Datta, N.; Mazumder, B. Magnetohydrodynamics Couette flow and heat transfer in a rotating system. J. Phys. Soc. Jpn. 1977, 42, 1034–1039. [Google Scholar] [CrossRef]
- Katagiri, M. Flow formation in Couette motion in magnetohydrodynamics. J. Phys. Soc. Jpn. 1962, 17, 393–396. [Google Scholar] [CrossRef]
- Muthucummaraswamy, R.; Kumar, G.S. Heat and mass transfer effects on moving vertical plate in the presence of thermal radiation. Theor. Appl. Machanics 2004, 31, 25–46. [Google Scholar] [CrossRef]
- Reddy, B.P. Effect of thermal diffusion and viscous dissipation on unsteady MHD free convection flow past a vertical porous plate under ossicilatory suction velocity with heat sink. Int. J. Appl. Mech. Eng. 2014, 19, 303–320. [Google Scholar] [CrossRef]
- Abro, K.A.; Hussain, M.; Baig, M.M. Impacts of magnetic field on fractionalized viscoelastic fluid. J. Appl. Environ. Biol. Sci. 2016, 6, 84–93. [Google Scholar]
- Jamil, M.; Abro, K.A.; Khan, N.A. Helices of fractionalized Maxwell fluid. Nonlinear Eng. 2015, 4, 191–201. [Google Scholar] [CrossRef]
- Megahed, A.M. Variable fluid properties and variable heat flux effects on the flow and heat transfer in a non-Newtonian Maxwell fluid over an unsteady streatching sheet with slipo velocity. Chin. Phys. B 2013, 922, 094701. [Google Scholar] [CrossRef]
- Hosseinzadeh, K.; Mogharrebi, A.; Asadi, A.; Paikar, M.; Ganji, D. Effects of fin and hybrid nano-particles on solid process in hexagonal triplex latent heat thermal energy storage system. J. Mol. Liq. 2020, 300, 112347. [Google Scholar] [CrossRef]
- Gholinia, M.; Gholinia, S.; Hosseinzadeh, K.; Ganji, D.D. Investigation on ethylene glycol nano fluid flow over a vertical permeable circular cylinder under effect of magnetic field. Results Phys. 2018, 9, 1525–1533. [Google Scholar] [CrossRef]
- Rahimi, J.; Ganji, D.; Khaki, M.; Hosseinzadeh, K. Solution of the boundary layer flow of an Eyring Powell non-Newtonian fluid over a linear stretching sheet by collocation method. Alex. Eng. J. 2017, 56, 621–627. [Google Scholar] [CrossRef]
- Hosseinzadeh, K.; Moghaddam, M.; Asadi, A.; Mogharrebi, A.; Ganji, D. Effect of internal fins along with Hybrid Nano-Particles on solid process in star shape triplex Latent Heat thermal Energy Storage System by numerical simulation. Eng. Renew. Energy 2020, 154, 497–507. [Google Scholar] [CrossRef]
- Riaz, M.B.; Asgir, M.; Yao, S. Combined effects of heat and mass transfer on MHD free convective flow of Maxwell fluid with variable temperature and concentration. Math. Probl. Eng. 2021, 2021, 6641835. [Google Scholar] [CrossRef]
- Iftikhar, N.; Husnine, S.M.; Riaz, M.B. Heat and mass transfer in MHD Maxwell fluid over an infinite vertical plate. J. Prime Res. Math. 2019, 15, 63–80. [Google Scholar]
- Shah, N.A.; Zafar, A.A.; Akhtar, S. General solution for MHD-free convection flow over a vertical plate with ramped wall. temperature and chemical reaction. Arab. J. Math. 2018, 7, 49–60. [Google Scholar] [CrossRef]
- Imran, M.A.; Khan, I.; Aleem, M. Applications of non-integer Caputo time fractional derivatives to natural convection flow subject to arbitrary velocity and Newtonian heating. Neural Comput. Appl. 2018, 30, 1589–1599. [Google Scholar] [CrossRef]
- Khan, I.; Dennis, L.C.C. A scientific report on heat transfer analysis in mixed convection flow of Maxwell fluid over an oscillating vertical plate. Sci. Rep. 2017, 7, 40147. [Google Scholar] [CrossRef]
- Wang, F.; Awais, M.; Parveen, R.; Alam, M.K.; Rehman, S.; deif, A.M.H.; Shah, A.N. Melting rheology of three-dimensional Maxwell nanofluid (graphene-engine-oil) flow with slip condition past a stretching surface through Darcy-Forchheimer medium. Results Phys. 2023, 51, 106647. [Google Scholar] [CrossRef]
- Aslam, M.S.; Rahman, M.M.; Sattar, M.A. MHD free convective heat and mass transfer flow past an inclined surface with heat generation. Thammasat Int. J. Sci. Technol. 2006, 11, 1–8. [Google Scholar]
- Caputo, M.; Mainardi, F. A new dissipation model based on memory mechanism. Pure Appl. Geophys. 1971, 91, 134–147. [Google Scholar] [CrossRef]
- Wang, F.; Hou, E.; Salama, S.A.; Khater, M.M.A. Numerical investigation of the nonlinear fractional Ostrovsky equation. Fractals 2022, 30, 2240142. [Google Scholar] [CrossRef]
- Imran, M.A.; Riaz, M.B.; Shah, N.A. Boundary layer flow of MHD generalized Maxwell fluid over an exponentially accelerated infinite vertical surface with slip and Newtonian heating at the boundary. Results Phys. 2018, 8, 1061–1067. [Google Scholar] [CrossRef]
- Zafar, A.A.; Awrejcewicz1, J.; Kudra, G.; Shah, N.A.; Yook, S. Magneto Free convection flow of a Rate type fluid over an inclined plate with heat and mass flux. Case Stud. Therm. Eng. 2021, 27, 101249. [Google Scholar] [CrossRef]
- Narahari, M.; Debnath, L. Unsteady magnetohydrodynamic free convection flow past an accelerated vertical plate with constant heat flux and heat generation or absorption. Z. Angew. Math. Mech. 2013, 93, 38–49. [Google Scholar] [CrossRef]
- Tokis, J.N. A class of exact solutions of the unsteady magneto hydrodynamic free-convection flows. Astrophys. Space Sci. 1985, 112, 413–422. [Google Scholar] [CrossRef]
- Seth, G.S.; Ansari, M.S.; Nandkeolyar, R. MHD natural convection flow with radiative heat transfer past an impulsively moving plate with ramped wall temperature. Heat Mass Transf. 2011, 47, 551–561. [Google Scholar] [CrossRef]
- Narahari, N.; Dutta, B.K. Effects of thermal radiation and mass diffusion on free convection flow near a vertical plate with Newtonian heating. ChemEng Commun. 2012, 199, 628–643. [Google Scholar] [CrossRef]
- Lehmann, P.; Moreau, R.; Camel, D.; Bolcato, R. Modification of interdendritic convection in directional solidification by a uniform magnetic field. Acta Mater. 1998, 46, 1067–1079. [Google Scholar] [CrossRef]
- Rubbab, Q.; Vieru, D.; Fetecau, C. Natural convection flow near a vertical plate that applies a shear stress to a viscous fluid. PLoS ONE 2013, 8, e78352. [Google Scholar] [CrossRef] [PubMed]
- Baïri, A. On the Nusselt number definition adapted to natural convection in parallelogramic cavities. Appl. Therm. Eng. 2008, 28, 1267–1271. [Google Scholar] [CrossRef]
- Ruzicka, M.C. On dimensionless number. Chem. Eng. Res. Des. 2008, 86, 835–837. [Google Scholar] [CrossRef]
- Atangana, A.; Baleanu, D. New fractional derivative with non local and non-singular kernel: Theory and application to heat transfer model. Therm. Sci. 2016, 20, 763–769. [Google Scholar] [CrossRef]
- Stehfest, H.A. Numerical inversion of Laplace transformation. Commun. Acm 1970, 13, 9–47. [Google Scholar]
- Tzou, D.Y. Macro to Microscale Heat Transfer: Le Lagging Behaviour; Taylor & Francis: Washington, DC, USA, 1970. [Google Scholar]















Disclaimer/Publisher’s Note: The statements, opinions and data contained in all publications are solely those of the individual author(s) and contributor(s) and not of MDPI and/or the editor(s). MDPI and/or the editor(s) disclaim responsibility for any injury to people or property resulting from any ideas, methods, instructions or products referred to in the content. |
© 2023 by the authors. Licensee MDPI, Basel, Switzerland. This article is an open access article distributed under the terms and conditions of the Creative Commons Attribution (CC BY) license (https://creativecommons.org/licenses/by/4.0/).
Share and Cite
Aslam, K.; Zafar, A.A.; Shah, N.A.; Almutairi, B. MHD Free Convection Flows for Maxwell Fluids over a Porous Plate via Novel Approach of Caputo Fractional Model. Symmetry 2023, 15, 1731. https://doi.org/10.3390/sym15091731
Aslam K, Zafar AA, Shah NA, Almutairi B. MHD Free Convection Flows for Maxwell Fluids over a Porous Plate via Novel Approach of Caputo Fractional Model. Symmetry. 2023; 15(9):1731. https://doi.org/10.3390/sym15091731
Chicago/Turabian StyleAslam, Khadeja, Azhar Ali Zafar, Nehad Ali Shah, and Bander Almutairi. 2023. "MHD Free Convection Flows for Maxwell Fluids over a Porous Plate via Novel Approach of Caputo Fractional Model" Symmetry 15, no. 9: 1731. https://doi.org/10.3390/sym15091731
APA StyleAslam, K., Zafar, A. A., Shah, N. A., & Almutairi, B. (2023). MHD Free Convection Flows for Maxwell Fluids over a Porous Plate via Novel Approach of Caputo Fractional Model. Symmetry, 15(9), 1731. https://doi.org/10.3390/sym15091731

