B Meson Decays in the Covariant Confined Quark Model
Abstract
1. Introduction
2. Covariant Confined Quark Model
- Lorentz symmetry and invariant Lagrangian;
- Compositeness and double counting;
- Confinement of quarks;
- Gauge symmetry and inclusion of electromagnetic (EM) fields.
2.1. Lagrangian
2.2. Compositeness Condition
2.3. Infrared Confinement
2.4. Electromagnetic Interactions and Gauge Symmetry
2.5. Computations
3. Leptonic Decays of B Mesons
3.1. Overview
3.2. Radiative Leptonic Decay in CCQM
3.3. Other CCQM Results on B Leptonic Decay
| ℓ | e | . | ||
| . |
4. Semileptonic Decays of B Mesons
4.1. Overview
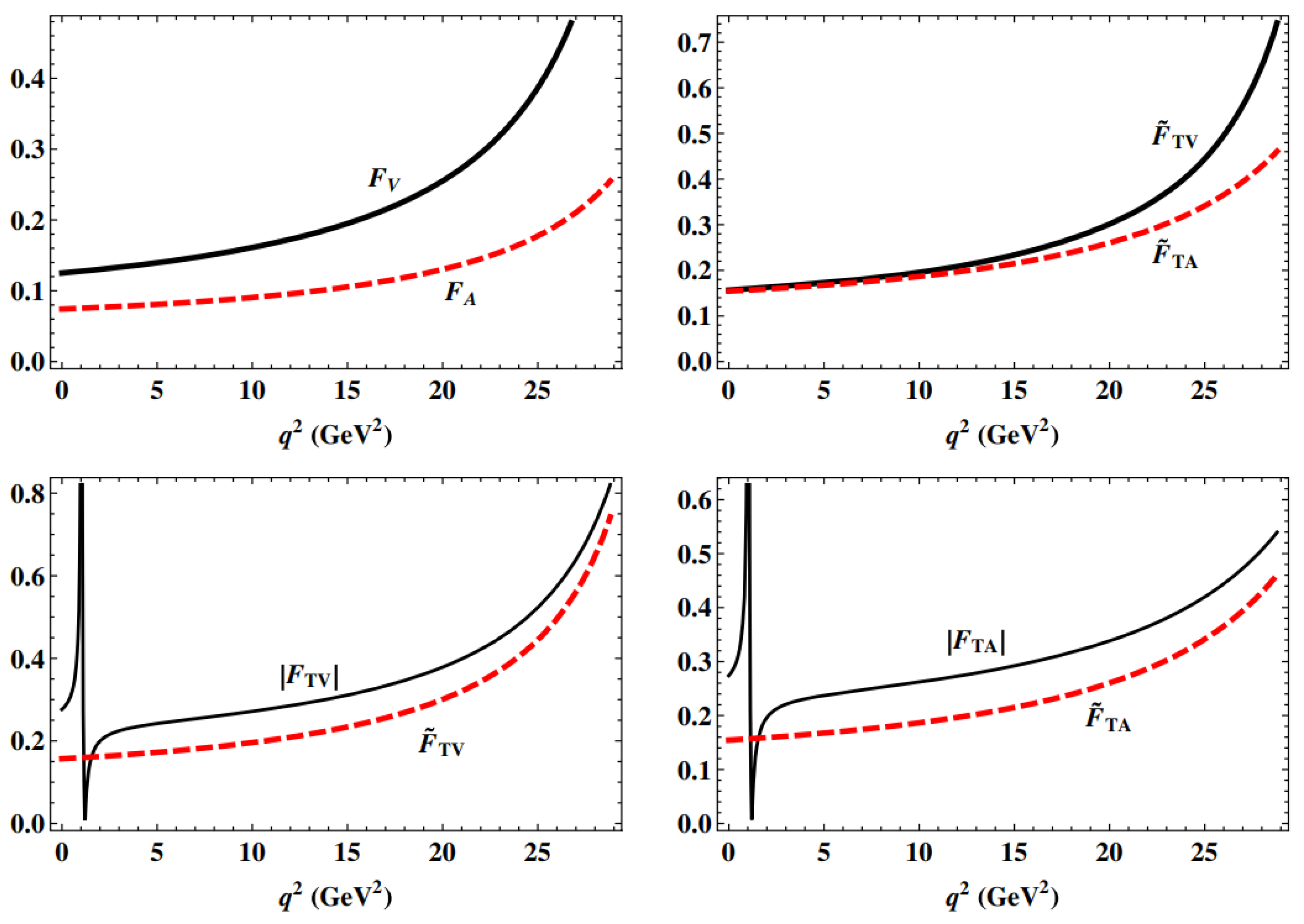
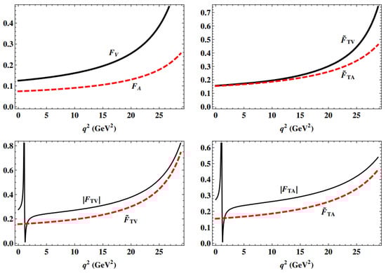
4.2. Semileptonic and Radiative Decays and in CCQM
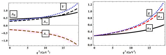
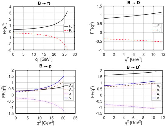
4.3. Other CCQM Results on Semileptonic B Decays
5. Nonleptonic Decays of B Mesons
5.1. Overview
5.2. Nonleptonic B Decays in CCQM
5.2.1. Decay
5.2.2. Decay ,
5.3. Other CCQM Results on Nonleptonic B Decays
6. Summary and Outlook
Author Contributions
Funding
Data Availability Statement
Conflicts of Interest
References
- Weinberg, S. Phenomenological Lagrangians. Physica A 1979, 96, 327–340. [Google Scholar] [CrossRef]
- Gasser, J.; Leutwyler, H. Chiral Perturbation Theory to One Loop. Ann. Phys. 1984, 158, 142. [Google Scholar] [CrossRef]
- Gasser, J.; Leutwyler, H. Chiral Perturbation Theory: Expansions in the Mass of the Strange Quark. Nucl. Phys. B 1985, 250, 465–516. [Google Scholar] [CrossRef]
- Scherer, S. Chiral perturbation theory: Success and challenge. Eur. Phys. J. A 2006, 28, 59–70. [Google Scholar] [CrossRef]
- MacHleidt, R.; Sammarruca, F. Chiral EFT based nuclear forces: Achievements and challenges. Phys. Scr. 2016, 91, 83007. [Google Scholar] [CrossRef]
- Dyson, F.J. The S Matrix in Quantum Electrodynamics. Phys. Rev. 1949, 75, 1736–1755. [Google Scholar] [CrossRef]
- Schwinger, J.S. On the Green’s functions of quantized fields. 1. Proc. Nat. Acad. Sci. USA 1951, 37, 452–455. [Google Scholar] [CrossRef]
- Schwinger, J.S. On the Green’s functions of quantized fields. 2. Proc. Nat. Acad. Sci. USA 1951, 37, 455–459. [Google Scholar] [CrossRef]
- Roberts, C.D.; Williams, A.G. Dyson-Schwinger equations and their application to hadronic physics. Prog. Part. Nucl. Phys. 1994, 33, 477–575. [Google Scholar] [CrossRef]
- Ivanov, M.A.; Kalinovsky, Y.L.; Roberts, C.D. Survey of heavy meson observables. Phys. Rev. D 1999, 60, 034018. [Google Scholar] [CrossRef]
- Shifman, M.A.; Vainshtein, A.I.; Zakharov, V.I. QCD and Resonance Physics. Theoretical Foundations. Nucl. Phys. B 1979, 147, 385–447. [Google Scholar] [CrossRef]
- Shifman, M.A.; Vainshtein, A.I.; Zakharov, V.I. QCD and Resonance Physics: Applications. Nucl. Phys. B 1979, 147, 448–518. [Google Scholar] [CrossRef]
- de Rafael, E. An Introduction to sum rules in QCD: Course. In Proceedings of the Les Houches Summer School in Theoretical Physics, Session 68: Probing the Standard Model of Particle Interactions, Les Houches, France, 28 July–5 September 1997; pp. 1171–1218. [Google Scholar]
- Colangelo, P.; Khodjamirian, A. QCD sum rules, a modern perspective. In At the Frontier of Particle Physics: Handbook of QCD; World Scientific: Singapore, 2000; pp. 1495–1576. [Google Scholar] [CrossRef]
- Isgur, N.; Wise, M.B. Weak Decays of Heavy Mesons in the Static Quark Approximation. Phys. Lett. B 1989, 232, 113–117. [Google Scholar] [CrossRef]
- Isgur, N.; Wise, M.B. Weak transition form-factors between heavy mesons. Phys. Lett. B 1990, 237, 527–530. [Google Scholar] [CrossRef]
- Neubert, M. Heavy quark symmetry. Phys. Rep. 1994, 245, 259–396. [Google Scholar] [CrossRef]
- Aoki, Y.; Blum, T.; Colangelo, G.; Collins, S.; Morte, M.D.; Dimopoulos, P.; Dürr, S.; Feng, X.; Fukaya, H.; Golterman, M.; et al. FLAG Review 2021. Eur. Phys. J. C 2022, 82, 869. [Google Scholar] [CrossRef]
- Gambino, P.; Hashimoto, S. Inclusive Semileptonic Decays from Lattice QCD. Phys. Rev. Lett. 2020, 125, 032001. [Google Scholar] [CrossRef]
- Desiderio, A.; Frezzotti, R.; Garofalo, M.; Giusti, D.; Hansen, M.; Lubicz, V.; Martinelli, G.; Sachrajda, C.T.; Sanfilippo, F.; Simula, S.; et al. First lattice calculation of radiative leptonic decay rates of pseudoscalar mesons. Phys. Rev. D 2021, 103, 014502. [Google Scholar] [CrossRef]
- Boyle, P.A.; Chakraborty, B.; Davies, C.T.; DeGrand, T.; DeTar, C.; Del Debbio, L.; El-Khadra, A.X.; Erben, F.; Flynn, J.M.; Gámiz, E.; et al. A lattice QCD perspective on weak decays of b and c quarks Snowmass 2022 White Paper. arXiv 2022, arXiv:2205.15373. [Google Scholar]
- Gambino, P.; Hashimoto, S.; Mächler, S.; Panero, M.; Sanfilippo, F.; Simula, S.; Smecca, A.; Tantalo, N. Lattice QCD study of inclusive semileptonic decays of heavy mesons. J. High Energy Phys. 2022, 7, 83. [Google Scholar] [CrossRef]
- Particle Data Group; Workman, R.L.; Burkert, V.D.; Crede, V.; Klempt, E.; Thoma, U.; Tiator, L.; Agashe, K.; Aielli, G.; Allanach, B.C.; et al. Review of Particle Physics. PTEP 2022, 2022, 083C01. [Google Scholar] [CrossRef]
- Ebert, D.; Galkin, V.O.; Faustov, R.N. Mass spectrum of orbitally and radially excited heavy—Light mesons in the relativistic quark model. Phys. Rev. D 1998, 57, 5663–5669, Erratum in Phys. Rev. D 1999, 59, 019902. [Google Scholar] [CrossRef]
- Ebert, D.; Faustov, R.N.; Galkin, V.O. Properties of heavy quarkonia and Bc mesons in the relativistic quark model. Phys. Rev. D 2003, 67, 014027. [Google Scholar] [CrossRef]
- Nambu, Y.; Jona-Lasinio, G. Dynamical Model of Elementary Particles Based on an Analogy with Superconductivity. 1. Phys. Rev. 1961, 122, 345–358. [Google Scholar] [CrossRef]
- Nambu, Y.; Jona-Lasinio, G. Dynamical model of elementary particles based on an analogy with superconductivity. II. Phys. Rev. 1961, 124, 246–254. [Google Scholar] [CrossRef]
- Klevansky, S.P. The Nambu-Jona-Lasinio model of quantum chromodynamics. Rev. Mod. Phys. 1992, 64, 649–708. [Google Scholar] [CrossRef]
- Guo, X.Y.; Chen, X.L.; Deng, W.Z. The Heavy mesons in Nambu-Jona-Lasinio model. Chin. Phys. C 2013, 37, 033102. [Google Scholar] [CrossRef][Green Version]
- Luan, Y.L.; Chen, X.L.; Deng, W.Z. Meson electro-magnetic form factors in an extended Nambu–Jona-Lasinio model including heavy quark flavors. Chin. Phys. C 2015, 39, 113103. [Google Scholar] [CrossRef]
- Anikin, I.V.; Ivanov, M.A.; Kulimanova, N.B.; Lyubovitskij, V.E. The Extended Nambu-Jona-Lasinio model with separable interaction: Low-energy pion physics and pion nucleon form-factor. Z. Phys. C 1995, 65, 681–690. [Google Scholar] [CrossRef]
- Buchalla, G.; Buras, A.J.; Lautenbacher, M.E. Weak decays beyond leading logarithms. Rev. Mod. Phys. 1996, 68, 1125–1144. [Google Scholar] [CrossRef]
- Bevan, A.J.; Golob, B.; Mannel, T.; Prell, S.; Yabsley, B.D.; Aihara, H.; Anulli, F.; Arnaud, N.; Aushev, T.; Beneke, M.; et al. The Physics of the B Factories. Eur. Phys. J. C 2014, 74, 3026. [Google Scholar] [CrossRef]
- Artuso, M.; Isidori, G.; Stone, S. New Physics in b Decays; World Scientific: Singapore, 2022. [Google Scholar] [CrossRef]
- Altmannshofer, W.; Stangl, P. New physics in rare B decays after Moriond 2021. Eur. Phys. J. C 2021, 81, 952. [Google Scholar] [CrossRef]
- Jäger, S.; Kirk, M.; Lenz, A.; Leslie, K. Charming new physics in rare B-decays and mixing? Phys. Rev. D 2018, 97, 015021. [Google Scholar] [CrossRef]
- Kumbhakar, S.; Saini, J. New physics effects in purely leptonic Bs* decays. Eur. Phys. J. C 2019, 79, 394. [Google Scholar] [CrossRef]
- Chala, M.; Egede, U.; Spannowsky, M. Searching new physics in rare B-meson decays into multiple muons. Eur. Phys. J. C 2019, 79, 431. [Google Scholar] [CrossRef]
- Coy, R.; Frigerio, M.; Mescia, F.; Sumensari, O. New physics in b→sℓℓ transitions at one loop. Eur. Phys. J. C 2020, 80, 52. [Google Scholar] [CrossRef]
- Charles, J.; Descotes-Genon, S.; Ligeti, Z.; Monteil, S.; Papucci, M.; Trabelsi, K.; Vale Silva, L. New physics in B meson mixing: Future sensitivity and limitations. Phys. Rev. D 2020, 102, 056023. [Google Scholar] [CrossRef]
- Bhutta, F.M.; Huang, Z.R.; Lü, C.D.; Ali Paracha, M.; Wang, W. New physics in b → sll anomalies and its implications for the complementary neutral current decays. Nucl. Phys. B 2022, 979, 115763. [Google Scholar] [CrossRef]
- Cai, F.M.; Deng, W.J.; Li, X.Q.; Yang, Y.D. Probing new physics in class-I B-meson decays into heavy-light final states. J. High Energy Phys. 2021, 10, 235. [Google Scholar] [CrossRef]
- Branz, T.; Faessler, A.; Gutsche, T.; Ivanov, M.A.; Korner, J.G.; Lyubovitskij, V.E. Relativistic constituent quark model with infrared confinement. Phys. Rev. D 2010, 81, 034010. [Google Scholar] [CrossRef]
- Ganbold, G.; Gutsche, T.; Ivanov, M.A.; Lyubovitskij, V.E. On the meson mass spectrum in the covariant confined quark model. J. Phys. G 2015, 42, 075002. [Google Scholar] [CrossRef]
- Gutsche, T.; Ivanov, M.A.; Körner, J.G.; Lyubovitskij, V.E.; Santorelli, P.; Habyl, N. Semileptonic decay Λb → Λc + τ− + τ in the covariant confined quark model. Phys. Rev. D 2015, 91, 074001, Erratum in Phys. Rev. D 2015, 91, 119907. [Google Scholar] [CrossRef]
- Gutsche, T.; Ivanov, M.A.; Körner, J.G.; Lyubovitskij, V.E.; Santorelli, P. Heavy-to-light semileptonic decays of Λb and Λc baryons in the covariant confined quark model. Phys. Rev. D 2014, 90, 114033, Erratum in Phys. Rev. D 2016, 94, 059902. [Google Scholar] [CrossRef]
- Ivanov, M.A. Nonleptonic Decays of Doubly Charmed Baryons. Particles 2020, 3, 123–144. [Google Scholar] [CrossRef]
- Dubnička, S.; Dubničková, A.Z.; Ivanov, M.A.; Liptaj, A. Dynamical Approach to Decays of XYZ States. Symmetry 2020, 12, 884. [Google Scholar] [CrossRef]
- Dubnička, S.; Dubničková, A.Z.; Habyl, N.; Ivanov, M.A.; Liptaj, A.; Nurbakova, G.S. Decay B→K*(→Kπ)ℓ+ℓ− in covariant quark model. Few Body Syst. 2016, 57, 121–143. [Google Scholar] [CrossRef][Green Version]
- Jouvet, B. On the meaning of Fermi coupling. Nuovo Cim. 1956, 3, 1133–1135. [Google Scholar] [CrossRef][Green Version]
- Salam, A. Lagrangian theory of composite particles. Nuovo Cim. 1962, 25, 224–227. [Google Scholar] [CrossRef]
- Weinberg, S. Elementary particle theory of composite particles. Phys. Rev. 1963, 130, 776–783. [Google Scholar] [CrossRef]
- Hayashi, K.; Hirayama, M.; Muta, T.; Seto, N.; Shirafuji, T. Compositeness criteria of particles in quantum field theory and S-matrix theory. Fortschritte Phys. 1967, 15, 625–660. [Google Scholar] [CrossRef]
- Faessler, A.; Gutsche, T.; Ivanov, M.A.; Korner, J.G.; Lyubovitskij, V.E. The Exclusive rare decays B→ K(K*) ℓ¯ℓ and Bc→ D(D*) ℓ¯ℓ in a relativistic quark model. Eur. Phys. J. Direct 2002, 4, 18. [Google Scholar] [CrossRef]
- Branz, T.; Faessler, A.; Gutsche, T.; Ivanov, M.A.; Korner, J.G.; Lyubovitskij, V.E.; Oexl, B. Radiative decays of double heavy baryons in a relativistic constituent three–quark model including hyperfine mixing. Phys. Rev. D 2010, 81, 114036. [Google Scholar] [CrossRef]
- Terning, J. Gauging nonlocal Lagrangians. Phys. Rev. D 1991, 44, 887–897. [Google Scholar] [CrossRef]
- Ruijl, B.; Ueda, T.; Vermaseren, J.A.M. Forcer, a FORM program for the parametric reduction of four-loop massless propagator diagrams. Comput. Phys. Commun. 2020, 253, 107198. [Google Scholar] [CrossRef]
- Aaij, R.; Abellán Beteta, C.; Ackernley, T.; Adeva, B.; Adinolfi, M.; Afsharnia, H.; Aidala, C.A.; Aiola, S.; Ajaltouni, Z.; Akar, S.; et al. Analysis of Neutral B-Meson Decays into Two Muons. Phys. Rev. Lett. 2022, 128, 041801. [Google Scholar] [CrossRef] [PubMed]
- Aaboud, M.; Aad, G.; Abbott, B.; Abbott, D.C.; Abdinov, O.; Abeloos, B.; Abhayasinghe, D.K.; Abidi, S.H.; AbouZeid, O.S.; Abraham, N.L.; et al. Study of the rare decays of and B0 mesons into muon pairs using data collected during 2015 and 2016 with the ATLAS detector. J. High Energy Phys. 2019, 04, 098. [Google Scholar] [CrossRef]
- Sirunyan, A.M.; Tumasyan, A.; Adam, W.; Ambrogi, F.; Bergauer, T.; Brandstetter, J.; Dragicevic, M.; Erö, J.; Escalante Del Valle, A.; Flechl, M.; et al. Measurement of properties of →μ+μ− decays and search for B0→μ+μ− with the CMS experiment. J. High Energy Phys. 2020, 04, 188. [Google Scholar] [CrossRef]
- Langenegger, U. Recent results on B→μ+μ− decays with the CMS experiment. Mod. Phys. Lett. A 2020, 35, 2030017. [Google Scholar] [CrossRef]
- Kronenbitter, B.; Heck, M.; Goldenzweig, P.; Kuhr, T.; Abdesselam, A.; Adachi, I.; Aihara, H.; Said, S.l.; Arinstein, K.; Asner, D.M.; et al. Measurement of the branching fraction of B+→τ+ντ decays with the semileptonic tagging method. Phys. Rev. D 2015, 92, 051102. [Google Scholar] [CrossRef]
- Hara, K.; Horii, Y.; Iijima, T.; Adachi, I.; Aihara, H.; Asner, D.M.; Aushev, T.; Aziz, T.; Bakich, A.M.; Barrett, M.; et al. Evidence for B−→τ−τ with a Hadronic Tagging Method Using the Full Data Sample of Belle. Phys. Rev. Lett. 2013, 110, 131801. [Google Scholar] [CrossRef]
- Lees, J.P.; Poireau, V.; Tisserand, V.; Garra Tico, J.; Grauges, E.; Palano, A.; Eigen, G.; Stugu, B.; Brown, D.N.; Kerth, L.T.; et al. Evidence of B+→τ+ν decays with hadronic B tags. Phys. Rev. D 2013, 88, 031102. [Google Scholar] [CrossRef]
- Aubert, B.; Karyotakis, Y.; Lees, J.P.; Poireau, V.; Prencipe, E.; Prudent, X.; Tisserand, V.; Garra Tico, J.; Grauges, E.; Martinelliab, M.; et al. A Search for B+→ℓ+νℓ Recoiling Against B−→D0ℓ−X. Phys. Rev. D 2010, 81, 051101. [Google Scholar] [CrossRef]
- Sibidanov, A.; Varvell, K.E.; Adachi, I.; Aihara, H.; Al Said, S.; Asner, D.M.; Aushev, T.; Ayad, R.; Babu, V.; Badhrees, I.; et al. Search for B−→μ−μ Decays at the Belle Experiment. Phys. Rev. Lett. 2018, 121, 031801. [Google Scholar] [CrossRef] [PubMed]
- Prim, M.T.; Bernlochner, F.U.; Goldenzweig, P.; Heck, M.; Adachi, I.; Adamczyk, K.; Aihara, H.; Al Said, S.; Asner, D.M.; Atmacan, H.; et al. Search for B+→μ+νμ and B+→μ+N with inclusive tagging. Phys. Rev. D 2020, 101, 032007. [Google Scholar] [CrossRef]
- Gelb, M.; Bernlochner, F.U.; Goldenzweig, P.; Metzner, F.; Adachi, I.; Aihara, H.; Al Said, S.; Asner, D.M.; Atmacan, H.; Aushev, T.; et al. Search for the rare decay of B+→ℓ+νℓγ with improved hadronic tagging. Phys. Rev. D 2018, 98, 112016. [Google Scholar] [CrossRef]
- Rosner, J.L.; Stone, S.; Van de Water, R.S. Leptonic Decays of Charged Pseudoscalar Mesons-2015. arXiv 2015, arXiv:1509.02220. [Google Scholar]
- Dingfelder, J.; Mannel, T. Leptonic and semileptonic decays of B mesons. Rev. Mod. Phys. 2016, 88, 035008. [Google Scholar] [CrossRef]
- Buchalla, G.; Buras, A.J. QCD corrections to rare K and B decays for arbitrary top quark mass. Nucl. Phys. B 1993, 400, 225–239. [Google Scholar] [CrossRef]
- Bazavov, A.; Bernard, C.; Brown, N.; DeTar, C.; El-Khadra, A.X.; Gámiz, E.; Gottlieb, S.; Heller, U.M.; Komijani, J.; Kronfeld, A.S.; et al. B- and D-meson leptonic decay constants from four-flavor lattice QCD. Phys. Rev. D 2018, 98, 074512. [Google Scholar] [CrossRef]
- Hermann, T.; Misiak, M.; Steinhauser, M. Three-loop QCD corrections to Bs→μ+μ−. J. High Energy Phys. 2013, 12, 097. [Google Scholar] [CrossRef]
- Bobeth, C.; Gorbahn, M.; Stamou, E. Electroweak Corrections to Bs,d→ℓ+ℓ−. Phys. Rev. D 2014, 89, 034023. [Google Scholar] [CrossRef]
- Bobeth, C.; Gorbahn, M.; Hermann, T.; Misiak, M.; Stamou, E.; Steinhauser, M. Bs,d→l+l− in the Standard Model with Reduced Theoretical Uncertainty. Phys. Rev. Lett. 2014, 112, 101801. [Google Scholar] [CrossRef] [PubMed]
- Beneke, M.; Bobeth, C.; Szafron, R. Enhanced electromagnetic correction to the rare B-meson decay Bs,d→μ+μ−. Phys. Rev. Lett. 2018, 120, 011801. [Google Scholar] [CrossRef] [PubMed]
- Beneke, M.; Bobeth, C.; Szafron, R. Power-enhanced leading-logarithmic QED corrections to Bq→μ+μ−. J. High Energy Phys. 2019, 10, 232, Erratum in J. High Energy Phys. 2022, 11, 099. [Google Scholar] [CrossRef]
- Eilam, G.; Lu, C.D.; Zhang, D.X. Radiative dileptonic decays of B mesons. Phys. Lett. B 1997, 391, 461–464. [Google Scholar] [CrossRef][Green Version]
- Aliev, T.M.; Ozpineci, A.; Savci, M. B(q) ---> lepton+ lepton- gamma decays in light cone QCD. Phys. Rev. D 1997, 55, 7059–7066. [Google Scholar] [CrossRef]
- Aliev, T.M.; Pak, N.K.; Savci, M. Rare radiative B —> tau+ tau- gamma decay. Phys. Lett. B 1998, 424, 175–184. [Google Scholar] [CrossRef]
- Geng, C.Q.; Lih, C.C.; Zhang, W.M. Study of B(s,d) —> l+ l- gamma decays. Phys. Rev. D 2000, 62, 074017. [Google Scholar] [CrossRef]
- Dincer, Y.; Sehgal, L.M. Charge asymmetry and photon energy spectrum in the decay B(s) —> l+ l- gamma. Phys. Lett. B 2001, 521, 7–14. [Google Scholar] [CrossRef]
- Kruger, F.; Melikhov, D. Gauge invariance and form-factors for the decay B —> gamma l+ l-. Phys. Rev. D 2003, 67, 034002. [Google Scholar] [CrossRef]
- Descotes-Genon, S.; Sachrajda, C.T. Universality of nonperturbative QCD effects in radiative B decays. Phys. Lett. B 2003, 557, 213–223. [Google Scholar] [CrossRef]
- Melikhov, D.; Nikitin, N. Rare radiative leptonic decays B(d,s) —> l+l- gamma. Phys. Rev. D 2004, 70, 114028. [Google Scholar] [CrossRef]
- Carvunis, A.; Dettori, F.; Gangal, S.; Guadagnoli, D.; Normand, C. On the effective lifetime of Bs→μμγ. J. High Energy Phys. 2021, 12, 078. [Google Scholar] [CrossRef]
- Burdman, G.; Goldman, J.T.; Wyler, D. Radiative leptonic decays of heavy mesons. Phys. Rev. D 1995, 51, 111–117. [Google Scholar] [CrossRef]
- Korchemsky, G.P.; Pirjol, D.; Yan, T.M. Radiative leptonic decays of B mesons in QCD. Phys. Rev. D 2000, 61, 114510. [Google Scholar] [CrossRef]
- Braun, V.M.; Khodjamirian, A. Soft contribution to B→γℓνℓ and the B-meson distribution amplitude. Phys. Lett. B 2013, 718, 1014–1019. [Google Scholar] [CrossRef]
- Beneke, M.; Braun, V.M.; Ji, Y.; Wei, Y.B. Radiative leptonic decay B→γℓνℓ with subleading power corrections. J. High Energy Phys. 2018, 07, 154. [Google Scholar] [CrossRef]
- Lunghi, E.; Pirjol, D.; Wyler, D. Factorization in leptonic radiative B →γeν decays. Nucl. Phys. B 2003, 649, 349–364. [Google Scholar] [CrossRef]
- Bosch, S.W.; Hill, R.J.; Lange, B.O.; Neubert, M. Factorization and Sudakov resummation in leptonic radiative B decay. Phys. Rev. D 2003, 67, 094014. [Google Scholar] [CrossRef]
- Wang, C.; Wang, Y.M.; Wei, Y.B. QCD factorization for the four-body leptonic B-meson decays. J. High Energy Phys. 2022, 2, 141. [Google Scholar] [CrossRef]
- Danilina, A.; Nikitin, N.; Toms, K. Decays of charged B-mesons into three charged leptons and a neutrino. Phys. Rev. D 2020, 101, 096007. [Google Scholar] [CrossRef]
- Ivanov, M.A.; Melikhov, D. Theoretical analysis of the leptonic decays B→ℓℓℓνℓ: Identical leptons in the final state. Phys. Rev. D 2022, 105, 094038. [Google Scholar] [CrossRef]
- Ivanov, M.A.; Melikhov, D. Theoretical analysis of the leptonic decays B→ℓℓℓ′ℓ′. Phys. Rev. D 2022, 105, 014028, Erratum in Phys. Rev. D 2022, 106, 119901. [Google Scholar] [CrossRef]
- Geng, L.S.; Grinstein, B.; Jäger, S.; Li, S.Y.; Martin Camalich, J.; Shi, R.X. Implications of new evidence for lepton-universality violation in b→sℓ+ℓ− decays. Phys. Rev. D 2021, 104, 035029. [Google Scholar] [CrossRef]
- Algueró, M.; Capdevila, B.; Descotes-Genon, S.; Matias, J.; Novoa-Brunet, M. b→sℓ+ℓ− global fits after RKS and RK*+. Eur. Phys. J. C 2022, 82, 326. [Google Scholar] [CrossRef]
- Fleischer, R.; Jaarsma, R.; Tetlalmatzi-Xolocotzi, G. Mapping out the space for new physics with leptonic and semileptonic B(c) decays. Eur. Phys. J. C 2021, 81, 658. [Google Scholar] [CrossRef]
- D’Ambrosio, G.; Giudice, G.F.; Isidori, G.; Strumia, A. Minimal flavor violation: An Effective field theory approach. Nucl. Phys. B 2002, 645, 155–187. [Google Scholar] [CrossRef]
- De Bruyn, K.; Fleischer, R.; Knegjens, R.; Koppenburg, P.; Merk, M.; Pellegrino, A.; Tuning, N. Probing New Physics via the →μ+μ− Effective Lifetime. Phys. Rev. Lett. 2012, 109, 041801. [Google Scholar] [CrossRef]
- Greljo, A.; Soreq, Y.; Stangl, P.; Thomsen, A.E.; Zupan, J. Muonic force behind flavor anomalies. J. High Energy Phys. 2022, 04, 151. [Google Scholar] [CrossRef]
- Hou, W.S. Enhanced charged Higgs boson effects in B- —> tau anti-neutrino, mu anti-neutrino and b —> tau anti-neutrino + X. Phys. Rev. D 1993, 48, 2342–2344. [Google Scholar] [CrossRef]
- Akeroyd, A.G.; Recksiegel, S. The Effect of H+- on B+- —> tau+- nu(tau) and B+- —> mu+- muon neutrino. J. Phys. G 2003, 29, 2311–2317. [Google Scholar] [CrossRef]
- Crivellin, A.; Greub, C.; Kokulu, A. Explaining B→Dτν, B→D*τν and B→τν in a 2HDM of type III. Phys. Rev. D 2012, 86, 054014. [Google Scholar] [CrossRef]
- He, X.G.; Valencia, G. B decays with τ leptons in nonuniversal left-right models. Phys. Rev. D 2013, 87, 014014. [Google Scholar] [CrossRef]
- Dubnička, S.; Dubničková, A.Z.; Ivanov, M.A.; Liptaj, A.; Santorelli, P.; Tran, C.T. Study of Bs→ℓ+ℓ−γ decays in covariant quark model. Phys. Rev. D 2019, 99, 014042. [Google Scholar] [CrossRef]
- Bauer, C.W.; Ligeti, Z.; Luke, M.; Manohar, A.V.; Trott, M. Global analysis of inclusive B decays. Phys. Rev. D 2004, 70, 094017. [Google Scholar] [CrossRef]
- Descotes-Genon, S.; Hurth, T.; Matias, J.; Virto, J. Optimizing the basis of B→K*ll observables in the full kinematic range. J. High Energy Phys. 2013, 5, 137. [Google Scholar] [CrossRef]
- Kozachuk, A.; Melikhov, D.; Nikitin, N. Rare FCNC radiative leptonic Bs,d→γl+l− decays in the standard model. Phys. Rev. D 2018, 97, 053007. [Google Scholar] [CrossRef]
- Melikhov, D.; Kozachuk, A.; Nikitin, N. Rare FCNF radiative leptonic decays B→γℓ+ℓ−. PoS 2017, EPS-HEP2017, 314. [Google Scholar] [CrossRef]
- Wang, W.Y.; Xiong, Z.H.; Zhou, S.H. Complete Analyses on the Short-Distance Contribution of Bs→ℓ+ℓ−γ in the Standard Model. Chin. Phys. Lett. 2013, 30, 111202. [Google Scholar] [CrossRef]
- Ivanov, M.A.; Körner, J.G.; Tran, C.T. Exclusive decays B→ℓ− and B→D(∗)ℓ− in the covariant quark model. Phys. Rev. D 2015, 92, 114022. [Google Scholar] [CrossRef]
- Ivanov, M.A.; Körner, J.G.; Tran, C.T. Looking for new physics in leptonic and semileptonic decays of B-meson. Phys. Part. Nucl. Lett. 2017, 14, 669–676. [Google Scholar] [CrossRef]
- Amhis, Y.; Banerjee, S.; Ben-Haim, E.; Bertholet, E.; Bernlochner, F.U.; Bona, M.; Bozek, A.; Bozzi, C.; Brodzicka, J.; Chobanova, V.; et al. Averages of b-hadron, c-hadron, and τ-lepton properties as of 2021. Phys. Rev. D 2023, 107, 052008. [Google Scholar] [CrossRef]
- Bernlochner, F.U.; Sevilla, M.F.; Robinson, D.J.; Wormser, G. Semitauonic b-hadron decays: A lepton flavor universality laboratory. Rev. Mod. Phys. 2022, 94, 015003. [Google Scholar] [CrossRef]
- Crivellin, A.; Greub, C.; Müller, D.; Saturnino, F. Importance of Loop Effects in Explaining the Accumulated Evidence for New Physics in B Decays with a Vector Leptoquark. Phys. Rev. Lett. 2019, 122, 011805. [Google Scholar] [CrossRef] [PubMed]
- LHCb Collaboration. Measurement of the Ratios of Branching Fractions R(D*) and R(D0). arXiv 2023, arXiv:2302.02886.
- LHCb Collaboration. Test of Lepton Universality in b→sℓ+ℓ− decays. arXiv 2022, arXiv:2212.09152.
- Puthumanaillam, R. Measurement of R(D*) with Hadronic τ+ Decays at = 13TeV TeV by the LHCb Collaboration (CERN Seminar). Available online: https://indico.cern.ch/event/1231797/ (accessed on 21 March 2023).
- Aaij, R.; Beteta, C.A.; Adeva, B.; Adinolfi, M.; Adrover, C.; Affolder, A.; Ajaltouni, Z.; Albrecht, J.; Alessio, F.; Alexander, M.; et al. Differential branching fraction and angular analysis of the decay B0→K*0μ+μ−. J. High Energy Phys. 2013, 8, 131. [Google Scholar] [CrossRef]
- Aaij, R.; Adeva, B.; Adinolfi, M.; Adrover, C.; Affolder, A.; Ajaltouni, Z.; Albrecht, J.; Alessio, F.; Alexander, M.; Ali, S.; et al. Measurement of Form-Factor-Independent Observables in the Decay B0→K*0μ+μ−. Phys. Rev. Lett. 2013, 111, 191801. [Google Scholar] [CrossRef]
- Aaij, R.; Adeva, B.; Adinolfi, M.; Affolder, A.; Ajaltouni, Z.; Albrecht, J.; Alessio, F.; Alexander, M.; Ali, S.; Alkhazov, G.; et al. Differential branching fractions and isospin asymmetries of B→K(∗)μ+μ− decays. J. High Energy Phys. 2014, 6, 133. [Google Scholar] [CrossRef]
- Aaij, R.; Adeva, B.; Adinolfi, M.; Affolder, A.; Ajaltouni, Z.; Akar, S.; Albrecht, J.; Alessio, F.; Alexander, M.; Ali, S.; et al. Angular analysis of the B0→K*0e+e− decay in the low-q2 region. J. High Energy Phys. 2015, 4, 64. [Google Scholar] [CrossRef]
- Aaij, R.; Abellán Beteta, C.; Adeva, B.; Adinolfi, M.; Affolder, A.; Ajaltouni, Z.; Akar, S.; Albrecht, J.; Alessio, F.; Alexander, M.; et al. Angular analysis of the B0→K*0μ+μ− decay using 3 fb−1 of integrated luminosity. J. High Energy Phys. 2016, 2, 104. [Google Scholar] [CrossRef]
- Aaij, R.; Adeva, B.; Adinolfi, M.; Ajaltouni, Z.; Akar, S.; Albrecht, J.; Alessio, F.; Alexander, M.; Ali, S.; Alkhazov, G.; et al. Test of lepton universality with B0→K*0ℓ+ℓ− decays. J. High Energy Phys. 2017, 8, 55. [Google Scholar] [CrossRef]
- Aaij, R.; Abellán Beteta, C.; Ackernley, T.; Adeva, B.; Adinolfi, M.; Afsharnia, H.; Aidala, C.A.; Aiola, S.; Ajaltouni, Z.; Akar, S.; et al. Measurement of CP-Averaged Observables in the B0→K*0μ+μ− Decay. Phys. Rev. Lett. 2020, 125, 011802. [Google Scholar] [CrossRef]
- Aaij, R.; Beteta, C.A.; Ackernley, T.; Adeva, B.; Adinolfi, M.; Afsharnia, H.; Aidala, C.A.; Aiola, S.; Ajaltouni, Z.; Akar, S.; et al. Angular Analysis of the B+→K*+μ+μ− Decay. Phys. Rev. Lett. 2021, 126, 161802. [Google Scholar] [CrossRef]
- Aaij, R.; Abdelmotteleb, A.S.W.; Abellán Beteta, C.; Abudinén, F.; Ackernley, T.; Adeva, B.; Adinolfi, M.; Afsharnia, H.; Agapopoulou, C.; Aidala, C.A.; et al. Tests of lepton universality using B0→ℓ+ℓ− and B+→K*+ℓ+ℓ− decays. Phys. Rev. Lett. 2022, 128, 191802. [Google Scholar] [CrossRef]
- Aaij, R.; Beteta, C.A.; Adametz, A.; Adeva, B.; Adinolfi, M.; Adrover, C.; Affolder, A.; Ajaltouni, Z.; Albrecht, J.; Alessio, F.; et al. Differential branching fraction and angular analysis of the B+→K+μ+μ− decay. J. High Energy Phys. 2013, 2, 105. [Google Scholar] [CrossRef]
- Aaij, R.; Adeva, B.; Adinolfi, M.; Affolder, A.; Ajaltouni, Z.; Akar, S.; Albrecht, J.; Alessio, F.; Alexander, M.; Ali, S.; et al. Test of lepton universality using B+→K+ℓ+ℓ− decays. Phys. Rev. Lett. 2014, 113, 151601. [Google Scholar] [CrossRef] [PubMed]
- Aaij, R.; Abellán Beteta, C.; Adeva, B.; Adinolfi, M.; Aidala, C.A.; Ajaltouni, Z.; Akar, S.; Albicocco, P.; Albrecht, J.; Alessio, F.; et al. Search for lepton-universality violation in B+→K+ℓ+ℓ− decays. Phys. Rev. Lett. 2019, 122, 191801. [Google Scholar] [CrossRef]
- Aaij, R.; Adeva, B.; Adinolfi, M.; Affolder, A.; Ajaltouni, Z.; Akar, S.; Albrecht, J.; Alessio, F.; Alexander, M.; Ali, S.; et al. Measurement of the ratio of branching fractions B(0→D*+τ−τ)/B(0→D*+μ−μ). Phys. Rev. Lett. 2015, 115, 111803, Erratum in Phys. Rev. Lett. 2015, 115, 159901. [Google Scholar] [CrossRef]
- Aaij, R.; Adeva, B.; Adinolfi, M.; Ajaltouni, Z.; Akar, S.; Albrecht, J.; Alessio, F.; Alexander, M.; Albero, A.A.; Ali, S.; et al. Measurement of the ratio of the B0→D*−τ+ντ and B0→D*−μ+νμ branching fractions using three-prong τ-lepton decays. Phys. Rev. Lett. 2018, 120, 171802. [Google Scholar] [CrossRef]
- Aaij, R.; Adeva, B.; Adinolfi, M.; Ajaltouni, Z.; Akar, S.; Albrecht, J.; Alessio, F.; Alexander, M.; Albero, A.A.; Ali, S.; et al. Test of Lepton Flavor Universality by the measurement of the B0→D*−τ+ντ branching fraction using three-prong τ decays. Phys. Rev. D 2018, 97, 072013. [Google Scholar] [CrossRef]
- Aaij, R.; Adeva, B.; Adinolfi, M.; Ajaltouni, Z.; Akar, S.; Albrecht, J.; Alessio, F.; Alexander, M.; Albero, A.A.; Ali, S.; et al. Measurement of the ratio of branching fractions B(→J/ψτ+ντ)/B(→J/ψμ+νμ). Phys. Rev. Lett. 2018, 120, 121801. [Google Scholar] [CrossRef] [PubMed]
- Aaij, R.; Abellan Beteta, C.; Adeva, B.; Adinolfi, M.; Adrover, C.; Affolder, A.; Ajaltouni, Z.; Albrecht, J.; Alessio, F.; Alexander, M.; et al. Differential branching fraction and angular analysis of the decay →ϕμ+μ−. J. High Energy Phys. 2013, 7, 84. [Google Scholar] [CrossRef]
- Aaij, R.; Adeva, B.; Adinolfi, M.; Affolder, A.; Ajaltouni, Z.; Akar, S.; Albrecht, J.; Alessio, F.; Alexander, M.; Ali, S.; et al. Angular analysis and differential branching fraction of the decay →ϕμ+μ−. J. High Energy Phys. 2015, 9, 179. [Google Scholar] [CrossRef]
- Aaij, R.; Abellán Beteta, C.; Ackernley, T.; Adeva, B.; Adinolfi, M.; Afsharnia, H.; Aidala, C.A.; Aiola, S.; Ajaltouni, Z.; Akar, S.; et al. Branching Fraction Measurements of the Rare →ϕμ+μ− and →f2′(1525)μ+μ−- Decays. Phys. Rev. Lett. 2021, 127, 151801. [Google Scholar] [CrossRef]
- Aaij, R.; Beteta, C.A.; Ackernley, T.; Adeva, B.; Adinolfi, M.; Afsharnia, H.; Aidala, C.A.; Aiola, S.; Ajaltouni, Z.; Akar, S.; et al. Test of lepton universality in beauty-quark decays. Nat. Phys. 2022, 18, 277–282. [Google Scholar] [CrossRef]
- Aubert, B.; Bona, M.; Boutigny, D.; Karyotakis, Y.; Lees, J.P.; Poireau, V.; Prudent, X.; Tisserand, V.; Zghiche, A.; Tico, J.G.; et al. Observation of the semileptonic decays B→D*τ−(τ) and evidence for B→Dτ−(τ). Phys. Rev. Lett. 2008, 100, 021801. [Google Scholar] [CrossRef]
- Lees, J.P.; Poireau, V.; Tisserand, V.; Garra Tico, J.; Grauges, E.; Palano, A.; Eigen, G.; Stugu, B.; Brown, D.N.; Kerth, L.T.; et al. Evidence for an excess of B¯→D(∗)τ−τ decays. Phys. Rev. Lett. 2012, 109, 101802. [Google Scholar] [CrossRef]
- Lees, J.P.; Poireau, V.; Tisserand, V.; Grauges, E.; Palano, A.; Eigen, G.; Stugu, B.; Brown, D.N.; Kerth, L.T.; Kolomensky, Y.G.; et al. Measurement of an Excess of B¯→D(∗)τ−τ Decays and Implications for Charged Higgs Bosons. Phys. Rev. D 2013, 88, 072012. [Google Scholar] [CrossRef]
- Aubert, B.; Karyotakis, Y.; Lees, J.P.; Poireau, V.; Prencipe, E.; Prudent, X.; Tisserand, V.; Tico, J.G.; Grauges, E.; Martinelli, M.; et al. Measurement of |V(cb)| and the Form-Factor Slope in anti-B —> D l- anti-nu Decays in Events Tagged by a Fully Reconstructed B Meson. Phys. Rev. Lett. 2010, 104, 011802. [Google Scholar] [CrossRef]
- Aubert, B.; Bona, M.; Boutigny, D.; Karyotakis, Y.; Lees, J.P.; Poireau, V.; Prudent, X.; Tisserand, V.; Zghiche, A.; Tico, J.G.; et al. Determination of the form-factors for the decay B0→D*−ℓ+νl and of the CKM matrix element |Vcb|. Phys. Rev. D 2008, 77, 032002. [Google Scholar] [CrossRef]
- Aubert, B.; Bona, M.; Karyotakis, Y.; Lees, J.P.; Poireau, V.; Prencipe, E.; Prudent, X.; Tisserand, V.; Tico, J.G.; Grauges, E.; et al. Measurements of the Semileptonic Decays anti-B —> D l anti-nu and anti-B —> D* l anti-nu Using a Global Fit to D X l anti-nu Final States. Phys. Rev. D 2009, 79, 012002. [Google Scholar] [CrossRef]
- Lees, J.P.; Poireau, V.; Tisserand, V.; Grauges, E.; Palano, A.; Eigen, G.; Brown, D.N.; Kolomensky, Y.G.; Fritsch, M.; Koch, H.; et al. Extraction of form Factors from a Four-Dimensional Angular Analysis of B¯→D*ℓ−ℓ. Phys. Rev. Lett. 2019, 123, 091801. [Google Scholar] [CrossRef] [PubMed]
- Aubert, B.; Barate, R.; Boutigny, D.; Gaillard, J.-M.; Hicheur, A.; Karyotakis, Y.; Lees, J.P.; Robbe, P.; Tisserand, V.; Zghiche, A.; et al. Evidence for the rare decay B→K*ℓ+ℓ− and measurement of the B→Kℓ+ℓ− branching fraction. Phys. Rev. Lett. 2003, 91, 221802. [Google Scholar] [CrossRef] [PubMed]
- Aubert, B.; Barate, R.; Bona, M.; Boutigny, D.; Couderc, F.; Karyotakis, Y.; Lees, J.P.; Poireau, V.; Tisserand, V.; Zghiche, A.; et al. Measurements of branching fractions, rate asymmetries, and angular distributions in the rare decays B→Kℓ+ℓ− and B→K*ℓ+ℓ−. Phys. Rev. D 2006, 73, 092001. [Google Scholar] [CrossRef]
- Aubert, B.; Bona, M.; Karyotakis, Y.; Lees, J.P.; Poireau, V.; Prencipe, E.; Prudent, X.; Tisserand, V.; Garra Tico, J.; Grauges, E.; et al. Direct CP, Lepton Flavor and Isospin Asymmetries in the Decays B→K(∗)ℓ+ℓ−. Phys. Rev. Lett. 2009, 102, 091803. [Google Scholar] [CrossRef] [PubMed]
- Lees, J.P.; Poireau, V.; Tisserand, V.; Garra Tico, J.; Grauges, E.; Palano, A.; Eigen, G.; Stugu, B.; Brown, D.N.; Kerth, L.T.; et al. Measurement of Branching Fractions and Rate Asymmetries in the Rare Decays B→K(∗)l+l−. Phys. Rev. D 2012, 86, 032012. [Google Scholar] [CrossRef]
- Aubert, B.; Bona, M.; Karyotakis, Y.; Lees, J.P.; Poireau, V.; Prudent, X.; Tisserand, V.; Zghiche, A.; Tico, J.G.; Grauges, E.; et al. Angular Distributions in the Decays B —> K* l+ l-. Phys. Rev. D 2009, 79, 031102. [Google Scholar] [CrossRef]
- Lees, J.P.; Poireau, V.; Tisserand, V.; Grauges, E.; Palano, A.; Eigen, G.; Stugu, B.; Brown, D.N.; Kerth, L.T.; Kolomensky, Y.G.; et al. Measurement of angular asymmetries in the decays B→K*ℓ+ℓ−. Phys. Rev. D 2016, 93, 052015. [Google Scholar] [CrossRef]
- Aubert, B.; Bona, M.; Boutigny, D.; Karyotakis, Y.; Lees, J.P.; Poireau, V.; Prudent, X.; Tisserand, V.; Zghiche, A.; Grauges, E.; et al. Measurement of the B0→π−ℓ+ν form-factor shape and branching fraction, and determination of |Vub| with a loose neutrino reconstruction technique. Phys. Rev. Lett. 2007, 98, 091801. [Google Scholar] [CrossRef]
- Del Amo Sanchez, P.; Lees, J.P.; Poireau, V.; Prencipe, E.; Tisserand, V.; Garra Tico, J.; Grauges, E.; Martinelli, M.; Palano, A.; Pappagallo, M.; et al. Study of B→πℓν and B→ρℓν Decays and Determination of |Vub|. Phys. Rev. D 2011, 83, 032007. [Google Scholar] [CrossRef]
- Aubert, B.; Barate, R.; Boutigny, D.; Couderc, F.; Gaillard, J.-M.; Hicheur, A.; Karyotakis, Y.; Lees, J.P.; Tisserand, V.; Zghiche, A.; et al. Measurement of the B→Xsℓ+ℓ− branching fraction with a sum over exclusive modes. Phys. Rev. Lett. 2004, 93, 081802. [Google Scholar] [CrossRef] [PubMed]
- Lees, J.P.; Poireau, V.; Tisserand, V.; Grauges, E.; Palano, A.; Eigen, G.; Stugu, B.; Brown, D.N.; Kerth, L.T.; Kolomensky, Y.G.; et al. Measurement of the B→Xsl+l− branching fraction and search for direct CP violation from a sum of exclusive final states. Phys. Rev. Lett. 2014, 112, 211802. [Google Scholar] [CrossRef]
- Aubert, B.; Barate, R.; Boutigny, D.; Gaillard, J.-M.; Hicheur, A.; Karyotakis, Y.; Lees, J.P.; Robbe, P.; Tisserand, V.; Zghiche, A.; et al. Measurement of the inclusive charmless semileptonic branching ratio of B mesons and determination of |Vub|. Phys. Rev. Lett. 2004, 92, 071802. [Google Scholar] [CrossRef]
- Lees, J.P.; Poireau, V.; Tisserand, V.; Garra Tico, J.; Grauges, E.; Palano, A.; Eigen, G.; Stugu, B.; Brown, D.N.; Kerth, L.T.; et al. Branching fraction and form-factor shape measurements of exclusive charmless semileptonic B decays, and determination of |Vub|. Phys. Rev. D 2012, 86, 092004. [Google Scholar] [CrossRef]
- Lees, J.P.; Poireau, V.; Tisserand, V.; Grauges, E.; Palano, A.; Eigen, G.; Brown, D.N.; Kolomensky, Y.G.; Koch, H.; Schroeder, T.; et al. Measurement of the inclusive electron spectrum from B meson decays and determination of |Vub|. Phys. Rev. D 2017, 95, 072001. [Google Scholar] [CrossRef]
- Lees, J.P.; Poireau, V.; Tisserand, V.; Grauges, E.; Palanoab, A.; Eigen, G.; Stugu, B.; Brown, D.N.; Kerth, L.T.; Kolomensky, Y.G.; et al. Observation of →D(∗)π+π−ℓ− decays in e+e− collisions at the Υ(4S) resonance. Phys. Rev. Lett. 2016, 116, 041801. [Google Scholar] [CrossRef]
- Bozek, A.; Rozanska, M.; Adachi, I.; Aihara, H.; Arinstein, K.; Aulchenko, V.; Aushev, T.; Aziz, T.; Bakich, A.M.; Bhardwaj, V.; et al. Observation of B+→*0τ+ντ and Evidence for B+→0τ+ντ at Belle. Phys. Rev. D 2010, 82, 072005. [Google Scholar] [CrossRef]
- Huschle, M.; Kuhr, T.; Heck, M.; Goldenzweig, P.; Abdesselam, A.; Adachi, I.; Adamczyk, K.; Aihara, H.; Al Said, S.; Arinstein, K.; et al. Measurement of the branching ratio of →D(∗)τ−τ relative to →D(∗)ℓ−ℓ decays with hadronic tagging at Belle. Phys. Rev. D 2015, 92, 072014. [Google Scholar] [CrossRef]
- Abdesselam, A.; Adachi, I.; Adamczyk, K.; Aihara, H.; Said, S.A.; Arinstein, K.; Arita, Y.; Asner, D.M.; Aso, T.; Atmacan, H.; et al. Measurement of R(D) and R(D*) with a semileptonic tagging method. arXiv 2019, arXiv:1904.08794. [Google Scholar]
- Caria, G.; Urquijo, P.; Adachi, I.; Aihara, H.; Al Said, S.; Asner, D.M.; Atmacan, H.; Aushev, T.; Babu, V.; Badhrees, I.; et al. Measurement of R(D) and R(D*) with a semileptonic tagging method. Phys. Rev. Lett. 2020, 124, 161803. [Google Scholar] [CrossRef]
- Abudinén, F.; Adachi, I.; Adamczyk, K.; Aggarwal, L.; Ahlburg, P.; Ahmed, H.; Ahn, J.K.; Aihara, H.; Akopov, N.; Aloisio, A.; et al. Measurement of the B0→D*−ℓ+νℓ branching ratio and |Vcb| with a fully reconstructed accompanying B meson in 2019–2021 Belle II data. arXiv 2023, arXiv:2301.04716. [Google Scholar]
- Matyja, A.; Rozanska, M.; Adachi, I.; Aihara, H.; Aulchenko, V.; Aushev, T.; Bahinipati, S.; Bakich, A.M.; Balagura, V.; Barberio, E.; et al. Observation of B0 —> D*- tau+ nu(tau) decay at Belle. Phys. Rev. Lett. 2007, 99, 191807. [Google Scholar] [CrossRef] [PubMed]
- Dungel, W.; Schwanda, C.; Adachi, I.; Aihara, H.; Aushev, T.; Aziz, T.; Bakich, A.M.; Balagura, V.; Barberio, E.; Bischofberger, M.; et al. Measurement of the form factors of the decay B0 -> D*- ell+ nu and determination of the CKM matrix element |Vcb|. Phys. Rev. D 2010, 82, 112007. [Google Scholar] [CrossRef]
- Sato, Y.; Iijima, T.; Adamczyk, K.; Aihara, H.; Asner, D.M.; Atmacan, H.; Aushev, T.; Ayad, R.; Aziz, T.; Babu, V.; et al. Measurement of the branching ratio of 0→D*+τ−τ relative to 0→D*+ℓ−ℓ decays with a semileptonic tagging method. Phys. Rev. D 2016, 94, 072007. [Google Scholar] [CrossRef]
- Hirose, S.; Iijima, T.; Adachi, I.; Adamczyk, K.; Aihara, H.; Al Said, S.; Asner, D.M.; Atmacan, H.; Aulchenko, V.; Aushev, T.; et al. Measurement of the τ lepton polarization and R(D*) in the decay →D*τ−τ. Phys. Rev. Lett. 2017, 118, 211801. [Google Scholar] [CrossRef]
- Hirose, S.; Iijima, T.; Adachi, I.; Adamczyk, K.; Aihara, H.; Al Said, S.; Asner, D.M.; Atmacan, H.; Aushev, T.; Ayad, R.; et al. Measurement of the τ lepton polarization and R(D*) in the decay →D*τ−τ with one-prong hadronic τ decays at Belle. Phys. Rev. D 2018, 97, 012004. [Google Scholar] [CrossRef]
- Waheed, E.; Urquijo, P.; Ferlewicz, D.; Adachi, I.; Adamczyk, K.; Aihara, H.; Al Said, S.; Asner, D.M.; Atmacan, H.; Aushev, T.; et al. Measurement of the CKM matrix element |Vcb| from B0→D*−ℓ+νℓ at Belle. Phys. Rev. D 2019, 100, 052007, Erratum in Phys. Rev. D 2021, 103, 079901. [Google Scholar] [CrossRef]
- Glattauer, R.; Schwanda, C.; Abdesselam, A.; Adachi, I.; Adamczyk, K.; Aihara, H.; Al Said, S.; Asner, D.M.; Aushev, T.; Ayad, R.; et al. Measurement of the decay B→Dℓνℓ in fully reconstructed events and determination of the Cabibbo-Kobayashi-Maskawa matrix element |Vcb|. Phys. Rev. D 2016, 93, 032006. [Google Scholar] [CrossRef]
- Abudinén, F.; Adachi, I.; Adamczyk, K.; Aggarwal, L.; Ahlburg, P.; Ahmed, H.; Ahn, J.K.; Aihara, H.; Akopov, N.; Aloisio, A.; et al. Determination of |Vcb| from B→Dℓν decays using 2019-2021 Belle II data. arXiv 2022, arXiv:2210.13143. [Google Scholar]
- Meier, F.; Vossen, A.; Adachi, I.; Adamczyk, K.; Aihara, H.; Al Said, S.; Asner, D.M.; Atmacan, H.; Aushev, T.; Ayad, R.; et al. First observation of B→1(→π+π−)ℓ+νℓ and measurement of the B→(∗)πℓ+νℓ and B→(∗)π+π−ℓ+νℓ branching fractions with hadronic tagging at Belle. arXiv 2022, arXiv:2211.09833. [Google Scholar] [CrossRef]
- Abe, K.; Abe, K.; Abe, R.; Adachi, I.; Ahn, B.S.; Aihara, H.; Akatsu, M.; Asano, Y.; Aso, T.; Aulchenko, V.; et al. Observation of the decay B→Kℓ+ℓ−. Phys. Rev. Lett. 2002, 88, 021801. [Google Scholar] [CrossRef] [PubMed]
- Choudhury, S.; Sandilya, S.; Trabelsi, K.; Giri, A.; Aihara, H.; Al Said, S.; Asner, D.M.; Atmacan, H.; Aulchenko, V.; Aushev, T.; et al. Test of lepton flavor universality and search for lepton flavor violation in B→Kℓℓ decays. J. High Energy Phys. 2021, 03, 105. [Google Scholar] [CrossRef]
- Ishikawa, A.; Abe, K.; Adachi, I.; Aihara, H.; Anipko, D.; Asano, Y.; Aushev, T.; Bakich, A.M.; Balagura, V.; Barbero, M.; et al. Measurement of Forward-Backward Asymmetry and Wilson Coefficients in B —> K* l+ l-. Phys. Rev. Lett. 2006, 96, 251801. [Google Scholar] [CrossRef]
- Wehle, S.; Niebuhr, C.; Yashchenko, S.; Adachi, I.; Aihara, H.; Al Said, S.; Asner, D.M.; Aulchenko, V.; Aushev, T.; Ayad, R.; et al. Lepton-Flavor-Dependent Angular Analysis of B→K*ℓ+ℓ−. Phys. Rev. Lett. 2017, 118, 111801. [Google Scholar] [CrossRef]
- Wehle, S.; Adachi, I.; Adamczyk, K.; Aihara, H.; Asner, D.M.; Atmacan, H.; Aulchenko, V.; Aushev, T.; Ayad, R.; Babu, V.; et al. Test of Lepton-Flavor Universality in B→K*ℓ+ℓ− Decays at Belle. Phys. Rev. Lett. 2021, 126, 161801. [Google Scholar] [CrossRef]
- Wei, J.-T.; Chang, P.; Adachi, I.; Aihara, H.; Aulchenko, V.; Aushev, T.; Bakich, A.M.; Balagura, V.; Barberio, E.; Bondar, A.; et al. Measurement of the Differential Branching Fraction and Forward-Backward Asymmetry for B→K(∗)ℓ+ℓ−. Phys. Rev. Lett. 2009, 103, 171801. [Google Scholar] [CrossRef]
- Ha, H.; Won, E.; Adachi, I.; Aihara, H.; Aziz, T.; Bakich, A.M.; Balagura, V.; Barberio, E.; Bay, A.; Belous, K.; et al. Measurement of the decay B0→π−ℓ+ν and determination of |Vub|. Phys. Rev. D 2011, 83, 071101. [Google Scholar] [CrossRef]
- Adamczyk, K.; Aggarwal, L.; Ahlburg, P.; Ahmed, H.; Ahn, J.K.; Aihara, H.; Akopov, N.; Aloisio, A.; Ameli, F.; Andricek, L.; et al. Determination of |Vub| from untagged B0→π−ℓ+νℓ decays using 2019–2021 Belle II data. arXiv 2022, arXiv:2210.04224. [Google Scholar]
- Abudinén, F.; Adachi, I.; Adamczyk, K.; Aggarwal, L.; Ahlburg, P.; Ahmed, H.; Ahn, J.K.; Aihara, H.; Akopov, N.; Aloisio, A.; et al. Reconstruction of B→ρℓνℓ decays identified using hadronic decays of the recoil B meson in 2019–2021 Belle II data. arXiv 2022, arXiv:2211.15270. [Google Scholar]
- Gebauer, U.; Beleño, C.; Frey, A.; Adachi, I.; Adamczyk, K.; Aihara, H.; Al Said, S.; Asner, D.M.; Atmacan, H.; Aushev, T.; et al. Measurement of the branching fractions of the B+→ηℓ+νℓ and B+→η′ℓ+νℓ decays with signal-side only reconstruction in the full q2 range. Phys. Rev. D 2022, 106, 032013. [Google Scholar] [CrossRef]
- Kaneko, J.; Abe, K.; Abe, K.; Abe, T.; Adachi, I.; Ahn, B.S.; Aihara, H.; Akatsu, M.; Asano, Y.; Aso, T.; et al. Measurement of the electroweak penguin process B —> X(s) l+ l-. Phys. Rev. Lett. 2003, 90, 021801. [Google Scholar] [CrossRef]
- Iwasaki, M.; Itoh, K.; Aihara, H.; Abe, K.; Abe, K.; Adachi, I.; Asano, Y.; Aushev, T.; Bahinipati, S.; Bakich, A.M.; et al. Improved measurement of the electroweak penguin process B→Xsl+l−. Phys. Rev. D 2005, 72, 092005. [Google Scholar] [CrossRef]
- Cao, L.; Sutcliffe, W.; Van Tonder, R.; Bernlochner, F.U.; Adachi, I.; Aihara, H.; Asner, D.M.; Aushev, T.; Babu, V.; Bahinipati, S.; et al. Measurement of Differential Branching Fractions of Inclusive B→Xuℓ+νℓ Decays. Phys. Rev. Lett. 2021, 127, 261801. [Google Scholar] [CrossRef] [PubMed]
- Cao, L.; Sutcliffe, W.; Van Tonder, R.; Bernlochner, F.U.; Adachi, I.; Aihara, H.; Al Said, S.; Asner, D.M.; Atmacan, H.; Aushev, T.; et al. Measurements of Partial Branching Fractions of Inclusive B→Xuℓ+νℓ Decays with Hadronic Tagging. Phys. Rev. D 2021, 104, 012008. [Google Scholar] [CrossRef]
- Sibidanov, A.; Varvell, K.E.; Adachi, I.; Aihara, H.; Asner, D.M.; Aulchenko, V.; Aushev, T.; Bakich, A.M.; Bala, A.; Bozek, A.; et al. Study of Exclusive B→Xuℓν Decays and Extraction of ‖Vub‖ using Full Reconstruction Tagging at the Belle Experiment. Phys. Rev. D 2013, 88, 032005. [Google Scholar] [CrossRef]
- van Tonder, R.; Cao, L.; Sutcliffe, W.; Welsch, M.; Bernlochner, F.U.; Adachi, I.; Aihara, H.; Asner, D.M.; Aushev, T.; Ayad, R.; et al. Measurements of q2 Moments of Inclusive B→Xcℓ+νℓ Decays with Hadronic Tagging. Phys. Rev. D 2021, 104, 112011. [Google Scholar] [CrossRef]
- Abudinén, F.; Adamczyk, K.; Aggarwal, L.; Ahmed, H.; Aihara, H.; Akopov, N.; Aloisio, A.; Anh Ky, N.; Asner, D.M.; Atmacan, H.; et al. Measurement of lepton mass squared moments in BtoXcℓνℓ decays with the Belle II experiment. Phys. Rev. D 2023, 107, 072002. [Google Scholar] [CrossRef]
- Aggarwal, L.; Ahmed, H.; Aihara, H.; Akopov, N.; Aloisio, A.; Ky, N.A.; Asner, D.M.; Atmacan, H.; Aushev, T.; Aushev, V.; et al. A test of light-lepton universality in the rates of inclusive semileptonic B-meson decays at Belle II. arXiv 2023, arXiv:2301.08266. [Google Scholar] [CrossRef]
- Altmannshofer, W.; Ball, P.; Bharucha, A.; Buras, A.J.; Straub, D.M.; Wick, M. Symmetries and Asymmetries of B→K*μ+μ− Decays in the Standard Model and Beyond. J. High Energy Phys. 2009, 01, 019. [Google Scholar] [CrossRef]
- Calibbi, L.; Signorelli, G. Charged Lepton Flavour Violation: An Experimental and Theoretical Introduction. Riv. Nuovo Cim. 2018, 41, 71–174. [Google Scholar] [CrossRef]
- Blake, T.; Lanfranchi, G.; Straub, D.M. Rare B Decays as Tests of the Standard Model. Prog. Part. Nucl. Phys. 2017, 92, 50–91. [Google Scholar] [CrossRef]
- Bifani, S.; Descotes-Genon, S.; Romero Vidal, A.; Schune, M.H. Review of Lepton Universality tests in B decays. J. Phys. G 2019, 46, 023001. [Google Scholar] [CrossRef]
- Cornella, C.; Faroughy, D.A.; Fuentes-Martin, J.; Isidori, G.; Neubert, M. Reading the footprints of the B-meson flavor anomalies. J. High Energy Phys. 2021, 08, 050. [Google Scholar] [CrossRef]
- London, D.; Matias, J. B Flavour Anomalies: 2021 Theoretical Status Report. Ann. Rev. Nucl. Part. Sci. 2022, 72, 37–68. [Google Scholar] [CrossRef]
- Isgur, N.; Scora, D.; Grinstein, B.; Wise, M.B. Semileptonic B and D Decays in the Quark Model. Phys. Rev. D 1989, 39, 799–818. [Google Scholar] [CrossRef]
- Scora, D.; Isgur, N. Semileptonic meson decays in the quark model: An update. Phys. Rev. D 1995, 52, 2783–2812. [Google Scholar] [CrossRef] [PubMed]
- Boyd, C.G.; Grinstein, B.; Lebed, R.F. Model independent determinations of anti-B —> D (lepton), D* (lepton) anti-neutrino form-factors. Nucl. Phys. B 1996, 461, 493–511. [Google Scholar] [CrossRef]
- Boyd, C.G.; Grinstein, B.; Lebed, R.F. Precision corrections to dispersive bounds on form-factors. Phys. Rev. D 1997, 56, 6895–6911. [Google Scholar] [CrossRef]
- Caprini, I.; Lellouch, L.; Neubert, M. Dispersive bounds on the shape of anti-B —> D(∗) lepton anti-neutrino form-factors. Nucl. Phys. B 1998, 530, 153–181. [Google Scholar] [CrossRef]
- Ball, P.; Zwicky, R. Bd,s→ρ,ω,K*,ϕ decay form-factors from light-cone sum rules revisited. Phys. Rev. D 2005, 71, 014029. [Google Scholar] [CrossRef]
- Bobeth, C.; Hiller, G.; Piranishvili, G. Angular distributions of →ℓ+ℓ− decays. J. High Energy Phys. 2007, 12, 040. [Google Scholar] [CrossRef]
- Khodjamirian, A.; Mannel, T.; Pivovarov, A.A.; Wang, Y.M. Charm-loop effect in B→K(∗)ℓ+ℓ− and B→K*γ. J. High Energy Phys. 2010, 09, 089. [Google Scholar] [CrossRef]
- Bailey, J.A.; Bazavov, A.; Bernard, C.; Bouchard, C.M.; DeTar, C.; Du, D.; El-Khadra, A.X.; Foley, J.; Freeland, E.D.; Gámiz, E.; et al. Update of |Vcb| from the →D*ℓ form factor at zero recoil with three-flavor lattice QCD. Phys. Rev. D 2014, 89, 114504. [Google Scholar] [CrossRef]
- Na, H.; Bouchard, C.M.; Lepage, G.P.; Monahan, C.; Shigemitsu, J. B→Dlν form factors at nonzero recoil and extraction of |Vcb|. Phys. Rev. D 2015, 92, 054510, Erratum in Phys. Rev. D 2016, 93, 119906. [Google Scholar] [CrossRef]
- Harrison, J.; Davies, C.; Wingate, M. Lattice QCD calculation of the B(s)→D(s)*ℓν form factors at zero recoil and implications for |Vcb|. Phys. Rev. D 2018, 97, 054502. [Google Scholar] [CrossRef]
- Du, D.; El-Khadra, A.X.; Gottlieb, S.; Kronfeld, A.S.; Laiho, J.; Lunghi, E.; Van de Water, R.S.; Zhou, R. Phenomenology of semileptonic B-meson decays with form factors from lattice QCD. Phys. Rev. D 2016, 93, 034005. [Google Scholar] [CrossRef]
- Alberti, A.; Gambino, P.; Healey, K.J.; Nandi, S. Precision Determination of the Cabibbo-Kobayashi-Maskawa Element Vcb. Phys. Rev. Lett. 2015, 114, 061802. [Google Scholar] [CrossRef]
- Bharucha, A.; Straub, D.M.; Zwicky, R. B→Vℓ+ℓ− in the Standard Model from light-cone sum rules. J. High Energy Phys. 2016, 08, 098. [Google Scholar] [CrossRef]
- Bigi, D.; Gambino, P. Revisiting B→Dℓν. Phys. Rev. D 2016, 94, 094008. [Google Scholar] [CrossRef]
- Bordone, M.; Isidori, G.; Pattori, A. On the Standard Model predictions for RK and RK*. Eur. Phys. J. C 2016, 76, 440. [Google Scholar] [CrossRef]
- Jäger, S.; Martin Camalich, J. Reassessing the discovery potential of the B→K*ℓ+ℓ− decays in the large-recoil region: SM challenges and BSM opportunities. Phys. Rev. D 2016, 93, 014028. [Google Scholar] [CrossRef]
- Capdevila, B.; Descotes-Genon, S.; Hofer, L.; Matias, J. Hadronic uncertainties in B→K*μ+μ−: A state-of-the-art analysis. J. High Energy Phys. 2017, 04, 016. [Google Scholar] [CrossRef]
- Bigi, D.; Gambino, P.; Schacht, S. R(D*), |Vcb|, and the Heavy Quark Symmetry relations between form factors. J. High Energy Phys. 2017, 11, 061. [Google Scholar] [CrossRef]
- Jaiswal, S.; Nandi, S.; Patra, S.K. Extraction of |Vcb| from B→D(∗)ℓνℓ and the Standard Model predictions of R(D(∗)). J. High Energy Phys. 2017, 12, 060. [Google Scholar] [CrossRef]
- Isidori, G.; Nabeebaccus, S.; Zwicky, R. QED corrections in →ℓ+ℓ− at the double-differential level. J. High Energy Phys. 2020, 12, 104. [Google Scholar] [CrossRef]
- Gubernari, N.; van Dyk, D.; Virto, J. Non-local matrix elements in B(s)→{K(∗),ϕ}ℓ+ℓ−. J. High Energy Phys. 2021, 02, 088. [Google Scholar] [CrossRef]
- Iguro, S.; Kitahara, T.; Watanabe, R. Global fit to b→cτν anomalies 2022 mid-autumn. arXiv 2022, arXiv:2210.10751. [Google Scholar]
- Hiller, G.; Kruger, F. More model-independent analysis of b→s processes. Phys. Rev. D 2004, 69, 074020. [Google Scholar] [CrossRef]
- Fajfer, S.; Kamenik, J.F.; Nisandzic, I. On the B→D*ττ Sensitivity to New Physics. Phys. Rev. D 2012, 85, 094025. [Google Scholar] [CrossRef]
- Hiller, G.; Schmaltz, M. RK and future b→sℓℓ physics beyond the standard model opportunities. Phys. Rev. D 2014, 90, 054014. [Google Scholar] [CrossRef]
- Fajfer, S.; Košnik, N. Vector leptoquark resolution of RK and RD(∗) puzzles. Phys. Lett. B 2016, 755, 270–274. [Google Scholar] [CrossRef]
- Crivellin, A.; Müller, D.; Ota, T. Simultaneous explanation of R(D(∗)) and b→sμ+μ−: The last scalar leptoquarks standing. J. High Energy Phys. 2017, 09, 040. [Google Scholar] [CrossRef]
- Angelescu, A.; Bečirević, D.; Faroughy, D.A.; Jaffredo, F.; Sumensari, O. Single leptoquark solutions to the B-physics anomalies. Phys. Rev. D 2021, 104, 055017. [Google Scholar] [CrossRef]
- Abada, A.; Krauss, M.E.; Porod, W.; Staub, F.; Vicente, A.; Weiland, C. Lepton flavor violation in low-scale seesaw models: SUSY and non-SUSY contributions. J. High Energy Phys. 2014, 11, 048. [Google Scholar] [CrossRef]
- Gripaios, B.; Nardecchia, M.; Renner, S.A. Composite leptoquarks and anomalies in B-meson decays. J. High Energy Phys. 2015, 05, 006. [Google Scholar] [CrossRef]
- Crivellin, A.; D’Ambrosio, G.; Heeck, J. Explaining h→μ±τ∓, B→K*μ+μ− and B→Kμ+μ−/B→Ke+e− in a two-Higgs-doublet model with gauged Lμ−Lτ. Phys. Rev. Lett. 2015, 114, 151801. [Google Scholar] [CrossRef]
- Descotes-Genon, S.; Hofer, L.; Matias, J.; Virto, J. Global analysis of b→sℓℓ anomalies. J. High Energy Phys. 2016, 06, 092. [Google Scholar] [CrossRef]
- Altmannshofer, W.; Stangl, P.; Straub, D.M. Interpreting Hints for Lepton Flavor Universality Violation. Phys. Rev. D 2017, 96, 055008. [Google Scholar] [CrossRef]
- Algueró, M.; Capdevila, B.; Crivellin, A.; Descotes-Genon, S.; Masjuan, P.; Matias, J.; Novoa Brunet, M.; Virto, J. Emerging patterns of New Physics with and without Lepton Flavour Universal contributions. Eur. Phys. J. C 2019, 79, 714, Addendum Eur. Phys. J. C 2020, 80, 511. [Google Scholar] [CrossRef]
- Hurth, T.; Mahmoudi, F.; Santos, D.M.; Neshatpour, S. More Indications for Lepton Nonuniversality in b→sℓ+ℓ−. Phys. Lett. B 2022, 824, 136838. [Google Scholar] [CrossRef]
- Dubnička, S.; Dubničková, A.Z.; Issadykov, A.; Ivanov, M.A.; Liptaj, A.; Sakhiyev, S.K. Decay Bs→ϕℓ+ℓ− in covariant quark model. Phys. Rev. D 2016, 93, 094022. [Google Scholar] [CrossRef]
- Aaij, R.; Abdelmotteleb, A.S.W.; Abellán Beteta, C.; Ackernley, T.; Adeva, B.; Adinolfi, M.; Afsharnia, H.; Agapopoulou, C.; Aidala, C.A.; Aiola, S.; et al. Angular analysis of the rare decay →ϕμ+μ−. J. High Energy Phys. 2021, 11, 043. [Google Scholar] [CrossRef]
- Asatryan, H.H.; Asatrian, H.M.; Greub, C.; Walker, M. Calculation of two loop virtual corrections to b→sl+l− in the standard model. Phys. Rev. D 2002, 65, 074004. [Google Scholar] [CrossRef]
- Greub, C.; Pilipp, V.; Schupbach, C. Analytic calculation of two-loop QCD corrections to b→sl+l− in the high q2 region. J. High Energy Phys. 2008, 12, 040. [Google Scholar] [CrossRef]
- Aaboud, M.; Aad, G.; Abbott, B.; Abdinov, O.; Abeloos, B.; Abidi, S.H.; AbouZeid, O.S.; Abraham, N.L.; Abramowicz, H.; Abreu, H.; et al. Angular analysis of →K*μ+μ− decays in pp collisions at = 8 TeV with the ATLAS detector. J. High Energy Phys. 2018, 10, 047. [Google Scholar] [CrossRef]
- Ivanov, M.A.; Khomutenko, O.E. B and D meson decays with taking into account confinement of light quarks. Sov. J. Nucl. Phys. 1991, 53, 337–342. [Google Scholar]
- Ivanov, M.A.; Khomutenko, O.E.; Mizutani, T. Form-factors of semileptonic decays of heavy mesons in the quark confinement model. Phys. Rev. D 1992, 46, 3817–3831. [Google Scholar] [CrossRef] [PubMed]
- Ivanov, M.A.; Santorelli, P. Leptonic and semileptonic decays of pseudoscalar mesons. Phys. Lett. B 1999, 456, 248–255. [Google Scholar] [CrossRef][Green Version]
- Ivanov, M.A.; Santorelli, P.; Tancredi, N. The Semileptonic form-factors of B and D mesons in the quark confinement model. Eur. Phys. J. A 2000, 9, 109–114. [Google Scholar] [CrossRef][Green Version]
- Ivanov, M.A.; Korner, J.G.; Santorelli, P. The Semileptonic decays of the Bc meson. Phys. Rev. D 2001, 63, 074010. [Google Scholar] [CrossRef]
- Ivanov, M.A.; Lyubovitskij, V.E. Exclusive rare decays of B and Bc mesons in a relativistic quark model. Lect. Notes Phys. 2004, 647, 245–263. [Google Scholar] [CrossRef]
- Ivanov, M.A.; Korner, J.G.; Santorelli, P. Semileptonic decays of Bc mesons into charmonium states in a relativistic quark model. Phys. Rev. D 2005, 71, 094006, Erratum in Phys. Rev. D 2007, 75, 019901. [Google Scholar] [CrossRef]
- Ivanov, M.A.; Korner, J.G.; Santorelli, P. Exclusive semileptonic and nonleptonic decays of the Bc meson. Phys. Rev. D 2006, 73, 054024. [Google Scholar] [CrossRef]
- Ivanov, M.A.; Korner, J.G.; Kovalenko, S.G.; Santorelli, P.; Saidullaeva, G.G. Form factors for semileptonic, nonleptonic and rare B(Bs) meson decays. Phys. Rev. D 2012, 85, 034004. [Google Scholar] [CrossRef]
- Dineykhan, M.; Ivanov, M.A.; Saidullaeva, G.G. Exotic states and rare B/s-decays in the covariant quark model. Phys. Part. Nucl. 2012, 43, 749–782. [Google Scholar] [CrossRef]
- Issadykov, A.; Ivanov, M.A.; Sakhiyev, S.K. Form factors of the B-S-transitions in the covariant quark model. Phys. Rev. D 2015, 91, 074007. [Google Scholar] [CrossRef]
- Ivanov, M.A.; Körner, J.G.; Tran, C.T. Analyzing new physics in the decays 0→D(∗)τ−τ with form factors obtained from the covariant quark model. Phys. Rev. D 2016, 94, 094028. [Google Scholar] [CrossRef]
- Ivanov, M.A.; Körner, J.G.; Tran, C.T. Probing new physics in 0→D(∗)τ−τ using the longitudinal, transverse, and normal polarization components of the tau lepton. Phys. Rev. D 2017, 95, 036021. [Google Scholar] [CrossRef]
- Tran, C.T.; Ivanov, M.A.; Körner, J.G.; Santorelli, P. Implications of new physics in the decays Bc→(J/ψ,ηc)τν. Phys. Rev. D 2018, 97, 054014. [Google Scholar] [CrossRef]
- Issadykov, A.; Ivanov, M.A. The decays Bc→J/ψ+νℓ and Bc→J/ψ+π(K) in covariant confined quark model. Phys. Lett. B 2018, 783, 178–182. [Google Scholar] [CrossRef]
- Issadykov, A.; Ivanov, M.A. b-s Anomaly Decays in Covariant Quark Model. Phys. Part. Nucl. Lett. 2018, 15, 393–396. [Google Scholar] [CrossRef]
- Issadykov, A.; Ivanov, M.A. B→K(∗)ν in covariant confined quark model. Mod. Phys. Lett. A 2023, 38, 2350006. [Google Scholar] [CrossRef]
- Aaij, R.; Adeva, B.; Adinolfi, M.; Adrover, C.; Affolder, A.; Ajaltouni, Z.; Albrecht, J.; Alessio, F.; Alexander, M.; Alvarez Cartelle, P.; et al. First observation of →J/ψf0(980) decays. Phys. Lett. B 2011, 698, 115–122. [Google Scholar] [CrossRef]
- Aaij, R.; Abellan Beteta, C.; Adeva, B.; Adinolfi, M.; Adrover, C.; Affolder, A.; Ajaltouni, Z.; Albrecht, J.; Alessio, F.; Alexander, M.; et al. Observation of →J/ψ and →J/ψ+ decays. Phys. Rev. D 2013, 87, 112012, Erratum Phys. Rev. D 2014, 89, 019901. [Google Scholar] [CrossRef]
- Aaij, R.; Adeva, B.; Adinolfi, M.; Adrover, C.; Affolder, A.; Ajaltouni, Z.; Albrecht, J.; Alessio, F.; Alexander, M.; Ali, S.; et al. Observation of the Decay →π+. Phys. Rev. Lett. 2013, 111, 181801. [Google Scholar] [CrossRef]
- LHCb Collaboration. First observation of the B+→K+ decay. arXiv 2022, arXiv:2211.05034.
- LHCb Collaboration. Observation of the →D*+D*− decay. arXiv 2022, arXiv:2210.14945.
- LHCb Collaboration. Observation of the B+→J/ψη′K+ decay. arXiv 2023, arXiv:2303.09443.
- LHCb Collaboration. Observation of the →χc1(3872)π+π− decay. arXiv 2023, arXiv:2302.10629.
- Aaij, R.; Abellan Beteta, C.; Adeva, B.; Adinolfi, M.; Adrover, C.; Affolder, A.; Ajaltouni, Z.; Albrecht, J.; Alessio, F.; Alexander, M.; et al. Determination of the X(3872) meson quantum numbers. Phys. Rev. Lett. 2013, 110, 222001. [Google Scholar] [CrossRef]
- Aaij, R.; Abellan Beteta, C.; Adeva, B.; Adinolfi, M.; Adrover, C.; Affolder, A.; Ajaltouni, Z.; Albrecht, J.; Alessio, F.; Alexander, M.; et al. Analysis of the resonant components in Bs→J/ψπ+π−. Phys. Rev. D 2012, 86, 052006. [Google Scholar] [CrossRef]
- Aaij, R.; Adeva, B.; Adinolfi, M.; Affolder, A.; Ajaltouni, Z.; Albrecht, J.; Alessio, F.; Alexander, M.; Ali, S.; Alkhazov, G.; et al. Measurement of resonant and CP components in →J/ψπ+π− decays. Phys. Rev. D 2014, 89, 092006. [Google Scholar] [CrossRef]
- Aaij, R.; Adeva, B.; Adinolfi, M.; Affolder, A.; Ajaltouni, Z.; Albrecht, J.; Alessio, F.; Alexander, M.; Ali, S.; Alkhazov, G.; et al. Measurement of the resonant and CP components in 0→J/ψπ+π− decays. Phys. Rev. D 2014, 90, 012003. [Google Scholar] [CrossRef]
- Aaij, R.; Adeva, B.; Adinolfi, M.; Ajaltouni, Z.; Akar, S.; Albrecht, J.; Alessio, F.; Alexander, M.; Ali, S.; Alkhazov, G.; et al. Observation of J/ψϕ structures consistent with exotic states from amplitude analysis of B+→J/ψϕK+ decays. Phys. Rev. Lett. 2017, 118, 022003. [Google Scholar] [CrossRef]
- Aaij, R.; Abellán Beteta, C.; Ackernley, T.; Adeva, B.; Adinolfi, M.; Afsharnia, H.; Aidala, C.A.; Aiola, S.; Ajaltouni, Z.; Akar, S.; et al. Observation of New Resonances Decaying to J/ψK++ and J/ψϕ. Phys. Rev. Lett. 2021, 127, 082001. [Google Scholar] [CrossRef]
- LHCb Collaboration. Observation of a J/ψΛ resonance consistent with a strange pentaquark candidate in B−→J/ψΛ decays. arXiv 2022, arXiv:2210.10346.
- LHCb Collaboration. Observation of a resonant structure near the threshold in the B+→K+ decay. arXiv 2022, arXiv:2210.15153.
- Aaij, R.; Abellán Beteta, C.; Ackernley, T.; Adeva, B.; Adinolfi, M.; Afsharnia, H.; Aidala, C.A.; Aiola, S.; Ajaltouni, Z.; Akar, S.; et al. A model-independent study of resonant structure in B+→D+D−K+ decays. Phys. Rev. Lett. 2020, 125, 242001. [Google Scholar] [CrossRef]
- Aaij, R.; Abdelmotteleb, A.S.W.; Abellán Beteta, C.; Ackernley, T.; Adeva, B.; Adinolfi, M.; Afsharnia, H.; Aidala, C.A.; Aiola, S.; Ajaltouni, Z.; et al. Evidence for a new structure in the J/ψp and J/ψ systems in →J/ψp decays. Phys. Rev. Lett. 2022, 128, 062001. [Google Scholar] [CrossRef]
- LHCb Collaboration. Evidence of a J/ψ structure in B0→J/ψϕ decays. arXiv 2023, arXiv:2301.04899.
- Aaij, R.; Adeva, B.; Adinolfi, M.; Affolder, A.; Ajaltouni, Z.; Akar, S.; Albrecht, J.; Alessio, F.; Alexander, M.; Ali, S.; et al. Dalitz plot analysis of →0K−π+ decays. Phys. Rev. D 2014, 90, 072003. [Google Scholar] [CrossRef]
- Aaij, R.; Adeva, B.; Adinolfi, M.; Affolder, A.; Ajaltouni, Z.; Akar, S.; Albrecht, J.; Alessio, F.; Alexander, M.; Ali, S.; et al. Dalitz plot analysis of B0→0π+π− decays. Phys. Rev. D 2015, 92, 032002. [Google Scholar] [CrossRef]
- Aaij, R.; Adeva, B.; Adinolfi, M.; Ajaltouni, Z.; Akar, S.; Albrecht, J.; Alessio, F.; Alexander, M.; Ali, S.; Alkhazov, G.; et al. Amplitude analysis of B−→D+π−π− decays. Phys. Rev. D 2016, 94, 072001. [Google Scholar] [CrossRef]
- Aaij, R.; Adeva, B.; Adinolfi, M.; Ajaltouni, Z.; Akar, S.; Albrecht, J.; Alessio, F.; Alexander, M.; Ali, S.; Alkhazov, G.; et al. Amplitude analysis of B+→J/ψϕK+ decays. Phys. Rev. D 2017, 95, 012002. [Google Scholar] [CrossRef]
- Aaij, R.; Abellán Beteta, C.; Ackernley, T.; Adeva, B.; Adinolfi, M.; Afsharnia, H.; Aidala, C.A.; Aiola, S.; Ajaltouni, Z.; Akar, S.; et al. Amplitude analysis of the B+→D+D−K+ decay. Phys. Rev. D 2020, 102, 112003. [Google Scholar] [CrossRef]
- LHCb Collaboration. Amplitude analysis of the →π−π+π+ decay. arXiv 2022, arXiv:2209.09840.
- LHCb Collaboration. Amplitude analysis of B0→0π− and B+→D−π+ decays. arXiv 2022, arXiv:2212.02717.
- Aaij, R.; Abellan Beteta, C.; Adeva, B.; Adinolfi, M.; Adrover, C.; Affolder, A.; Ajaltouni, Z.; Albrecht, J.; Alessio, F.; Alexander, M.; et al. Measurement of the CP-violating phase ϕs in the decay →J/ψϕ. Phys. Rev. Lett. 2012, 108, 101803. [Google Scholar] [CrossRef]
- Aaij, R.; Abellan Beteta, C.; Adeva, B.; Adinolfi, M.; Adrover, C.; Affolder, A.; Ajaltouni, Z.; Albrecht, J.; Alessio, F.; Alexander, M.; et al. First evidence of direct CP violation in charmless two-body decays of mesons. Phys. Rev. Lett. 2012, 108, 201601. [Google Scholar] [CrossRef]
- Aaij, R.; Adeva, B.; Adinolfi, M.; Adrover, C.; Affolder, A.; Ajaltouni, Z.; Albrecht, J.; Alessio, F.; Alexander, M.; Alkhazov, G.; et al. Measurement of the − oscillation frequency Δms in →(3)π decays. Phys. Lett. B 2012, 709, 177–184. [Google Scholar] [CrossRef]
- Aaij, R.; Adeva, B.; Adinolfi, M.; Adrover, C.; Affolder, A.; Ajaltouni, Z.; Albrecht, J.; Alessio, F.; Alexander, M.; Ali, S.; et al. Measurement of CP violation in the phase space of B±→K±π+π− and B±→K±K+K− decays. Phys. Rev. Lett. 2013, 111, 101801. [Google Scholar] [CrossRef]
- Aaij, R.; Adeva, B.; Adinolfi, M.; Adrover, C.; Affolder, A.; Ajaltouni, Z.; Albrecht, J.; Alessio, F.; Alexander, M.; Ali, S.; et al. Measurement of CP violation in the phase space of B±→K+K−π± and B±→π+π−π± decays. Phys. Rev. Lett. 2014, 112, 011801. [Google Scholar] [CrossRef]
- Aaij, R.; Abellan Beteta, C.; Adeva, B.; Adinolfi, M.; Adrover, C.; Affolder, A.; Ajaltouni, Z.; Albrecht, J.; Alessio, F.; Alexander, M.; et al. Precision measurement of the − oscillation frequency with the decay →π+. New J. Phys. 2013, 15, 053021. [Google Scholar] [CrossRef]
- Aaij, R.; Abellan Beteta, C.; Adeva, B.; Adinolfi, M.; Adrover, C.; Affolder, A.; Ajaltouni, Z.; Albrecht, J.; Alessio, F.; Alexander, M.; et al. Observation of CP violation in B±→DK± decays. Phys. Lett. B 2012, 712, 203–212, Erratum in Phys. Lett. B 2012, 713, 351. [Google Scholar] [CrossRef]
- Aaij, R.; Abellan Beteta, C.; Adeva, B.; Adinolfi, M.; Adrover, C.; Affolder, A.; Ajaltouni, Z.; Albrecht, J.; Alessio, F.; Alexander, M.; et al. First observation of CP violation in the decays of mesons. Phys. Rev. Lett. 2013, 110, 221601. [Google Scholar] [CrossRef] [PubMed]
- Aaij, R.; Abellan Beteta, C.; Adeva, B.; Adinolfi, M.; Adrover, C.; Affolder, A.; Ajaltouni, Z.; Albrecht, J.; Alessio, F.; Alexander, M.; et al. Measurement of CP violation and the meson decay width difference with →J/ψK+K− and →J/ψπ+π− decays. Phys. Rev. D 2013, 87, 112010. [Google Scholar] [CrossRef]
- Aaij, R.; Adeva, B.; Adinolfi, M.; Affolder, A.; Ajaltouni, Z.; Akar, S.; Albrecht, J.; Alessio, F.; Alexander, M.; Ali, S.; et al. Measurement of the CP-violating phase ϕs in →J/ψπ+π− decays. Phys. Lett. B 2014, 736, 186–195. [Google Scholar] [CrossRef]
- Aaij, R.; Adeva, B.; Adinolfi, M.; Affolder, A.; Ajaltouni, Z.; Akar, S.; Albrecht, J.; Alessio, F.; Alexander, M.; Ali, S.; et al. Measurement of CP violation in B0→J/ψ decays. Phys. Rev. Lett. 2015, 115, 031601. [Google Scholar] [CrossRef]
- Aaij, R.; Adeva, B.; Adinolfi, M.; Affolder, A.; Ajaltouni, Z.; Akar, S.; Albrecht, J.; Alessio, F.; Alexander, M.; Ali, S.; et al. Precision measurement of CP violation in →J/ψK+K− decays. Phys. Rev. Lett. 2015, 114, 041801. [Google Scholar] [CrossRef]
- LHCb Collaboration. Measurement of the CKM angle γ with B±→D[K∓π±π±π∓]h± decays using a binned phase-space approach. arXiv 2022, arXiv:2209.03692.
- LHCb Collaboration. A study of CP violation in the decays B±→[K+K−π+π−]Dh± (h=K,π) and B±→[π+π−π+π−]Dh±. arXiv 2023, arXiv:2301.10328.
- Aaij, R.; Abellan Beteta, C.; Adametz, A.; Adeva, B.; Adinolfi, M.; Adrover, C.; Affolder, A.; Ajaltouni, Z.; Albrecht, J.; Alessio, F.; et al. Measurements of production and mass with the →J/ψπ+ decay. Phys. Rev. Lett. 2012, 109, 232001. [Google Scholar] [CrossRef] [PubMed]
- Aaij, R.; Abellan Beteta, C.; Adeva, B.; Adinolfi, M.; Adrover, C.; Affolder, A.; Ajaltouni, Z.; Albrecht, J.; Alessio, F.; Alexander, M.; et al. Measurement of b-hadron branching fractions for two-body decays into charmless charged hadrons. J. High Energy Phys. 2012, 10, 037. [Google Scholar] [CrossRef]
- Aaij, R.; Abellan Beteta, C.; Adametz, A.; Adeva, B.; Adinolfi, M.; Adrover, C.; Affolder, A.; Ajaltouni, Z.; Albrecht, J.; Alessio, F.; et al. Measurement of the ratio of branching fractions BR(B0→K★0γ)/BR(Bs0→ϕγ) and the direct CP asymmetry in B0→K★0γ. Nucl. Phys. B 2013, 867, 1–18. [Google Scholar] [CrossRef]
- Aaij, R.; Abellan Beteta, C.; Adametz, A.; Adeva, B.; Adinolfi, M.; Adrover, C.; Affolder, A.; Ajaltouni, Z.; Albrecht, J.; Alessio, F.; et al. Measurement of the fragmentation fraction ratio fs/fd and its dependence on B meson kinematics. J. High Energy Phys. 2013, 04, 001. [Google Scholar] [CrossRef]
- Aaij, R.; Abellán Beteta, C.; Adeva, B.; Adinolfi, M.; Aidala, C.A.; Ajaltouni, Z.; Akar, S.; Albicocco, P.; Albrecht, J.; Alessio, F.; et al. Measurement of b hadron fractions in 13 TeV pp collisions. Phys. Rev. D 2019, 100, 031102. [Google Scholar] [CrossRef]
- Aaij, R.; Beteta, C.A.; Ackernley, T.; Adeva, B.; Adinolfi, M.; Afsharnia, H.; Aidala, C.A.; Aiola, S.; Ajaltouni, Z.; Akar, S.; et al. Precise measurement of the fs/fd ratio of fragmentation fractions and of decay branching fractions. Phys. Rev. D 2021, 104, 032005. [Google Scholar] [CrossRef]
- LHCb Collaboration. Study of meson decays to charmonia plus multihadron final states. arXiv 2022, arXiv:2208.08660.
- LHCb Collaboration. Measurement of the ratio of branching fractions B(→π+)/B(→J/ψπ+). arXiv 2022, arXiv:2210.12000.
- LHCb Collaboration. Study of the B−→K− decay. arXiv 2022, arXiv:2211.00812.
- Aaij, R.; Abdelmotteleb, A.S.W.; Abellan Beteta, C.; Abudinén, F.; Ackernley, T.; Adeva, B.; Adinolfi, M.; Adlarson, P.; Afsharnia, H.; Agapopoulou, C.; et al. Study of charmonium decays to Kπ in the B→(Kπ)K channels. arXiv 2023, arXiv:2304.14891. [Google Scholar]
- Aubert, B.; Boutigny, D.; Gaillard, J.-M.; Hicheur, A.; Karyotakis, Y.; Lees, J.P.; Robbe, P.; Tisserand, V.; Palano, A.; Chen, G.P.; et al. Observation of CP violation in the B0 meson system. Phys. Rev. Lett. 2001, 87, 091801. [Google Scholar] [CrossRef]
- Aubert, B.; Boutigny, D.; de Bonis, I.; Gaillard, J.-M.; Jeremie, A.; Karyotakis, Y.; Lees, J.P.; Robbe, P.; Tisserand, V.; Palano, A.; et al. Measurement of CP violating asymmetries in B0 decays to CP eigenstates. Phys. Rev. Lett. 2001, 86, 2515–2522. [Google Scholar] [CrossRef] [PubMed]
- Aubert, B.; Boutigny, D.; Gaillard, J.-M.; Hicheur, A.; Karyotakis, Y.; Lees, J.P.; Robbe, P.; Tisserand, V.; Zghich, A.; Palano, A.; et al. Measurement of sin 2 beta in B0→ϕ. In Proceedings of the 31st International Conference on High Energy Physics, Amsterdam, The Netherlands, 25–31 July 2002. [Google Scholar]
- Aubert, B.; Boutigny, D.; Gaillard, J.-M.; Hicheur, A.; Karyotakis, Y.; Lees, J.P.; Robbe, P.; Tisserand, V.; Palano, A.; Pompili, A.; et al. A study of time dependent CP-violating asymmetries and flavor oscillations in neutral B decays at the Υ(4S). Phys. Rev. D 2002, 66, 032003. [Google Scholar] [CrossRef]
- Aubert, B.; Barate, R.; Boutigny, D.; Couderc, F.; Gaillard, J.-M.; Hicheur, A.; Karyotakis, Y.; Lees, J.P.; Tisserand, V.; Zghiche, A.; et al. Observation of direct CP violation in B0→K+π− decays. Phys. Rev. Lett. 2004, 93, 131801. [Google Scholar] [CrossRef]
- Aubert, B.; Barate, R.; Boutigny, D.; Couderc, F.; Gaillard, J.-M.; Hicheur, A.; Karyotakis, Y.; Lees, J.P.; Tisserand, V.; Zghiche, A.; et al. Improved measurement of CP asymmetries in B0→(c)K(∗)0 decays. Phys. Rev. Lett. 2005, 94, 161803. [Google Scholar] [CrossRef]
- Aubert, B.; Barate, R.; Boutigny, D.; Couderc, F.; Gaillard, J.-M.; Karyotakis, Y.; Lees, J.P.; Poireau, V.; Tisserand, V.; Zghiche, A.; et al. Ambiguity-free measurement of cos(2β): Time-integrated and time-dependent angular analyses of B→J/ψKπ. Phys. Rev. D 2005, 71, 032005. [Google Scholar] [CrossRef]
- Aubert, B.; Bona, M.; Boutigny, D.; Karyotakis, Y.; Lees, J.P.; Poireau, V.; Prudent, X.; Tisserand, V.; Zghiche, A.; Garra Tico, J.; et al. Observation of CP violation in B0→K+π− and B0→π+π−. Phys. Rev. Lett. 2007, 99, 021603. [Google Scholar] [CrossRef]
- Aubert, B.; Karyotakis, Y.; Lees, J.P.; Poireau, V.; Prencipe, E.; Prudent, X.; Tisserand, V.; Tico, J.G.; Grauges, E.; Lopez, L.; et al. Measurement of Time-Dependent CP Asymmetry in B0 —> c anti-c K(∗)0 Decays. Phys. Rev. D 2009, 79, 072009. [Google Scholar] [CrossRef]
- Adachi, I.; Adye, T.; Ahmed, H.; Ahn, J.K.; Aihara, H.; Akar, S.; Alam, M.S.; Albert, J.; Anulli, F.; Arnaud, N.; et al. Measurement of cos2β in B0→D(∗)h0 with D→π+π− decays by a combined time-dependent Dalitz plot analysis of BaBar and Belle data. Phys. Rev. D 2018, 98, 112012. [Google Scholar] [CrossRef]
- Aubert, B.; Bona, M.; Karyotakis, Y.; Lees, J.P.; Poireau, V.; Prencipe, E.; Prudent, X.; Tisserand, V.; Garra Tico, J.; Grauges, E.; et al. Evidence for Direct CP Violation from Dalitz-plot analysis of B±→K±π∓π±. Phys. Rev. D 2008, 78, 012004. [Google Scholar] [CrossRef]
- Del Amo Sanchez, P.; Lees, J.P.; Poireau, V.; Prencipe, E.; Tisserand, V.; Garra Tico, J.; Grauges, E.; Martinelli, M.; Palano, A.; Pappagallo, M.; et al. Evidence for direct CP violation in the measurement of the Cabibbo-Kobayashi-Maskawa angle gamma with B-+ —> D(∗) K(∗)-+ decays. Phys. Rev. Lett. 2010, 105, 121801. [Google Scholar] [CrossRef] [PubMed]
- Lees, J.P.; Poireau, V.; Tisserand, V.; Garra Tico, J.; Grauges, E.; Milanes, D.A.; Palano, A.; Pappagallo, M.; Eigen, G.; Stugu, B.; et al. Study of CP violation in Dalitz-plot analyses of B0 —> K+K-K0(S), B+ —> K+K-K+, and B+ —> K0(S)K0(S)K+. Phys. Rev. D 2012, 85, 112010. [Google Scholar] [CrossRef]
- Lees, J.P.; Poireau, V.; Tisserand, V.; Garra Tico, J.; Grauges, E.; Palano, A.; Eigen, G.; Stugu, B.; Brown, D.N.; Kerth, L.T.; et al. Measurement of B(B→Xsγ), the B→Xsγ photon energy spectrum, and the direct CP asymmetry in B→Xs+dγ decays. Phys. Rev. D 2012, 86, 112008. [Google Scholar] [CrossRef]
- Aubert, B.; Boutigny, D.; Gaillard, J.-M.; Hicheur, A.; Karyotakis, Y.; Lees, J.P.; Robbe, P.; Tisserand, V.; Palano, A.; Chen, G.P.; et al. Measurement of branching fractions and search for CP-violating charge asymmetries in charmless two-body B decays into pions and kaons. Phys. Rev. Lett. 2001, 87, 151802. [Google Scholar] [CrossRef] [PubMed]
- Aubert, B.; Boutigny, D.; Gaillard, J.-M.; Hicheur, A.; Karyotakis, Y.; Lees, J.P.; Robbe, P.; Tisserand, V.; Zghiche, A.; Palano, A.; et al. Measurements of branching fractions and CP-violating asymmetries in B0→π+π−,K+π−,K+K− decays. Phys. Rev. Lett. 2002, 89, 281802. [Google Scholar] [CrossRef]
- Aubert, B.; Barate, R.; Boutigny, D.; Gaillard, J.-M.; Hicheur, A.; Karyotakis, Y.; Lees, J.P.; Robbe, P.; Tisserand, V.; Zghiche, A.; et al. Measurements of branching fractions and CP-violating asymmetries in B0→ρ±h∓ decays. Phys. Rev. Lett. 2003, 91, 201802. [Google Scholar] [CrossRef]
- Aubert, B.; Barate, R.; Boutigny, D.; Couderc, F.; Gaillard, J.-M.; Hicheur, A.; Karyotakis, Y.; Lees, J.P.; Tisserand, V.; Zghiche, A.; et al. Measurement of branching fractions, and CP and isospin asymmetries, for B→K*γ. Phys. Rev. D 2004, 70, 112006. [Google Scholar] [CrossRef]
- Aubert, B.; Barate, R.; Bona, M.; Boutigny, D.; Couderc, F.; Karyotakis, Y.; Lees, J.P.; Poireau, V.; Tisserand, V.; Zghiche, A.; et al. Measurement of the branching fraction and photon energy moments of B→Xsγ and ACP(B→Xs+dγ). Phys. Rev. Lett. 2006, 97, 171803. [Google Scholar] [CrossRef]
- Lees, J.P.; Poireau, V.; Tisserand, V.; Garra Tico, J.; Grauges, E.; Palano, A.; Eigen, G.; Stugu, B.; Brown, D.N.; Kerth, L.T.; et al. Precision Measurement of the B→Xsγ Photon Energy Spectrum, Branching Fraction, and Direct CP Asymmetry ACP(B→Xs+dγ). Phys. Rev. Lett. 2012, 109, 191801. [Google Scholar] [CrossRef] [PubMed]
- Aubert, B.; Barate, R.; Boutigny, D.; Couderc, F.; Gaillard, J.-M.; Hicheur, A.; Karyotakis, Y.; Lees, J.P.; Tisserand, V.; Zghiche, A.; et al. Study of the decay B0(0)→ρ+ρ−, and constraints on the CKM angle α. Phys. Rev. Lett. 2004, 93, 231801. [Google Scholar] [CrossRef] [PubMed]
- Aubert, B.; Barate, R.; Boutigny, D.; Couderc, F.; Karyotakis, Y.; Lees, J.P.; Poireau, V.; Tisserand, V.; Zghiche, A.; Grauges, E.; et al. Measurement of γ in B∓→D(∗)K∓ decays with a Dalitz analysis of D→π−π+. Phys. Rev. Lett. 2005, 95, 121802. [Google Scholar] [CrossRef] [PubMed]
- Aubert, B.; Bona, M.; Boutigny, D.; Karyotakis, Y.; Lees, J.P.; Poireau, V.; Prudent, X.; Tisserand, V.; Zghiche, A.; Tico, J.G.; et al. A Study of B0 —> rho+ rho- Decays and Constraints on the CKM Angle alpha. Phys. Rev. D 2007, 76, 052007. [Google Scholar] [CrossRef]
- Aubert, B.; Bona, M.; Karyotakis, Y.; Lees, J.P.; Poireau, V.; Prencipe, E.; Prudent, X.; Tisserand, V.; Garra Tico, J.; Grauges, E.; et al. Improved measurement of the CKM angle γ in B∓→D(∗)K(*∓) decays with a Dalitz plot analysis of D decays to π+π− and K+K−. Phys. Rev. D 2008, 78, 034023. [Google Scholar] [CrossRef]
- Aubert, B.; Boutigny, D.; Gaillard, J.-M.; Hicheur, A.; Karyotakis, Y.; Lees, J.P.; Robbe, P.; Tisserand, V.; Palano, A.; Chen, G.P.; et al. Measurement of the B→J/ψK*(892) decay amplitudes. Phys. Rev. Lett. 2001, 87, 241801. [Google Scholar] [CrossRef]
- Aubert, B.; Boutigny, D.; Gaillard, J.-M.; Hicheur, A.; Karyotakis, Y.; Lees, J.P.; Robbe, P.; Tisserand, V.; Palano, A.; Chen, G.P.; et al. Measurement of branching fractions for exclusive B decays to charmonium final states. Phys. Rev. D 2002, 65, 032001. [Google Scholar] [CrossRef]
- Aubert, B.; Barate, R.; Boutigny, D.; Gaillard, J.-M.; Hicheur, A.; Karyotakis, Y.; Lees, J.P.; Robbe, P.; Tisserand, V.; Zghiche, A.; et al. Rates, polarizations, and asymmetries in charmless vector-vector B meson decays. Phys. Rev. Lett. 2003, 91, 171802. [Google Scholar] [CrossRef]
- Aubert, B.; Barate, R.; Boutigny, D.; Couderc, F.; Gaillard, J.-M.; Hicheur, A.; Karyotakis, Y.; Lees, J.P.; Tisserand, V.; Zghiche, A.; et al. Measurement of the B0→ϕK0 decay amplitudes. Phys. Rev. Lett. 2004, 93, 231804. [Google Scholar] [CrossRef]
- Aubert, B.; Barate, R.; Boutigny, D.; Couderc, F.; Karyotakis, Y.; Lees, J.P.; Poireau, V.; Tisserand, V.; Zghiche, A.; Grauges, E.; et al. Measurements of the B→Xsγ branching fraction and photon spectrum from a sum of exclusive final states. Phys. Rev. D 2005, 72, 052004. [Google Scholar] [CrossRef]
- Aubert, B.; Barate, R.; Boutigny, D.; Couderc, F.; Karyotakis, Y.; Lees, J.P.; Poireau, V.; Tisserand, V.; Zghiche, A.; Grauges, E.; et al. Measurement of the B+→pK+ branching fraction and study of the decay dynamics. Phys. Rev. D 2005, 72, 051101. [Google Scholar] [CrossRef]
- Aubert, B.; Barate, R.; Boutigny, D.; Couderc, F.; Karyotakis, Y.; Lees, J.P.; Poireau, V.; Tisserand, V.; Zghiche, A.; Grauges, E.; et al. Measurements of the absolute branching fractions of B±→K± X(c). Phys. Rev. Lett. 2006, 96, 052002. [Google Scholar] [CrossRef] [PubMed]
- Aubert, B.; Barate, R.; Bona, M.; Boutigny, D.; Couderc, F.; Karyotakis, Y.; Lees, J.P.; Poireau, V.; Tisserand, V.; Zghiche, A.; et al. Dalitz plot analysis of the decay B±→K±K±K∓. Phys. Rev. D 2006, 74, 032003. [Google Scholar] [CrossRef]
- Aubert, B.; Bona, M.; Boutigny, D.; Karyotakis, Y.; Lees, J.P.; Poireau, V.; Prudent, X.; Tisserand, V.; Zghiche, A.; Tico, J.G.; et al. Study of B0→π0π0, B±→π±π0, and B±→K±π0 Decays, and Isospin Analysis of B→ππ Decays. Phys. Rev. D 2007, 76, 091102. [Google Scholar] [CrossRef]
- Aubert, B.; Bona, M.; Boutigny, D.; Karyotakis, Y.; Lees, J.P.; Poireau, V.; Prudent, X.; Tisserand, V.; Zghiche, A.; Tico, J.G.; et al. Measurement of decay amplitudes of B→J/ψK*,ψ(2S)K*, and χc1K* with an angular analysis. Phys. Rev. D 2007, 76, 031102. [Google Scholar] [CrossRef]
- Aubert, B.; Bona, M.; Karyotakis, Y.; Lees, J.P.; Poireau, V.; Prudent, X.; Tisserand, V.; Zghiche, A.; Tico, J.G.; Grauges, E.; et al. Measurement of the B→Xsγ branching fraction and photon energy spectrum using the recoil method. Phys. Rev. D 2008, 77, 051103. [Google Scholar] [CrossRef]
- Lees, J.P.; Poireau, V.; Tisserand, V.; Garra Tico, J.; Grauges, E.; Palano, A.; Eigen, G.; Stugu, B.; Brown, D.N.; Kerth, L.T.; et al. Exclusive Measurements of b→sγ Transition Rate and Photon Energy Spectrum. Phys. Rev. D 2012, 86, 052012. [Google Scholar] [CrossRef]
- Aubert, B.; Barate, R.; Boutigny, D.; Couderc, F.; Karyotakis, Y.; Lees, J.P.; Poireau, V.; Tisserand, V.; Zghiche, A.; Grauges, E.; et al. Dalitz-plot analysis of the decays B±→K±π∓π±. Phys. Rev. D 2005, 72, 072003, Erratum in Phys. Rev. D 2006, 74, 099903. [Google Scholar] [CrossRef]
- Aubert, B.; Bona, M.; Boutigny, D.; Karyotakis, Y.; Lees, J.P.; Poireau, V.; Prudent, X.; Tisserand, V.; Zghiche, A.; Tico, J.G.; et al. Study of Resonances in Exclusive B Decays to anti-D(∗) D(∗) K. Phys. Rev. D 2008, 77, 011102. [Google Scholar] [CrossRef]
- Aubert, B.; Karyotakis, Y.; Lees, J.P.; Poireau, V.; Prencipe, E.; Prudent, X.; Tisserand, V.; Tico, J.G.; Grauges, E.; Lopez, L.; et al. Dalitz Plot Analysis of B+- —> pi+-pi+-pi-+ Decays. Phys. Rev. D 2009, 79, 072006. [Google Scholar] [CrossRef]
- Aubert, B.; Barate, R.; Boutigny, D.; Couderc, F.; Gaillard, J.-M.; Hicheur, A.; Karyotakis, Y.; Lees, J.P.; Tisserand, V.; Zghiche, A. Observation of the decay B→J/ψηK and search for X(3872)→J/ψη. Phys. Rev. Lett. 2004, 93, 041801. [Google Scholar] [CrossRef]
- Aubert, B.; Barate, R.; Boutigny, D.; Couderc, F.; Gaillard, J.-M.; Hicheur, A.; Karyotakis, Y.; Lees, J.P.; Tisserand, V.; Zghiche, A.; et al. Study of the B→J/ψK−π+π− decay and measurement of the B→X(3872)K− branching fraction. Phys. Rev. D 2005, 71, 071103. [Google Scholar] [CrossRef]
- Aubert, B.; Barate, R.; Boutigny, D.; Couderc, F.; Karyotakis, Y.; Lees, J.P.; Poireau, V.; Tisserand, V.; Zghiche, A.; Grauges-Pous, E.; et al. Search for a charged partner of the X(3872) in the B meson decay B→X−K, X−→J/ψπ−π0. Phys. Rev. D 2005, 71, 031501. [Google Scholar] [CrossRef]
- Aubert, B.; Barate, R.; Bona, M.; Boutigny, D.; Couderc, F.; Karyotakis, Y.; Lees, J.P.; Poireau, V.; Tisserand, V.; Zghiche, A.; et al. Search for B+→X(3872)K+, X3872→J/ψγ. Phys. Rev. D 2006, 74, 071101. [Google Scholar] [CrossRef]
- Aubert, B.; Barate, R.; Boutigny, D.; Couderc, F.; Karyotakis, Y.; Lees, J.P.; Poireau, V.; Tisserand, V.; Zghiche, A.; Grauges, E.; et al. Study of the X(3872) and Y(4260) in B0–>J/psi pi+ pi- K0 and B–>J/psi pi+ pi- K- decays. Phys. Rev. D 2006, 73, 011101. [Google Scholar] [CrossRef]
- Aubert, B.; Bona, M.; Karyotakis, Y.; Lees, J.P.; Poireau, V.; Prencipe, E.; Prudent, X.; Tisserand, V.; Garra Tico, J.; Grauges, E.; et al. A Study of B→X(3872)K, with X3872→J/Ψπ+π−. Phys. Rev. D 2008, 77, 111101. [Google Scholar] [CrossRef]
- Aubert, B.; Bona, M.; Karyotakis, Y.; Lees, J.P.; Poireau, V.; Prencipe, E.; Prudent, X.; Tisserand, V.; Tico, J.G.; Grauges, E.; et al. Evidence for X(3872)→ψ2Sγ in B±→X3872K± decays, and a study of B→cγK. Phys. Rev. Lett. 2009, 102, 132001. [Google Scholar] [CrossRef]
- Del Amo Sanchez, P.; Lees, J.P.; Poireau, V.; Prencipe, E.; Tisserand, V.; Garra Tico, J.; Grauges, E.; Martinelli, M.; Palano, A.; Pappagallo, M.; et al. Evidence for the decay X(3872) —> J/psi omega. Phys. Rev. D 2010, 82, 011101. [Google Scholar] [CrossRef]
- Lees, J.P.; Poireau, V.; Tisserand, V.; Grauges, E.; Palano, A.; Eigen, G.; Brown, D.N.; Kolomensky, Y.G.; Fritsch, M.; Koch, H.; et al. Measurements of the Absolute Branching Fractions of B±→K±X. Phys. Rev. Lett. 2020, 124, 152001. [Google Scholar] [CrossRef]
- Choi, S.-K.; Olsen, S.L.; Abe, K.; Abe, T.; Adachi, I.; Ahn, B.S.; Aihara, H.; Akai, K.; Akatsu, M.; Akemoto, M.; et al. Observation of a narrow charmonium-like state in exclusive B±→K±π+π−J/ψ decays. Phys. Rev. Lett. 2003, 91, 262001. [Google Scholar] [CrossRef]
- Choi, S.-K.; Olsen, S.L.; Adachi, I.; Aihara, H.; Aulchenko, V.; Aushev, T.; Aziz, T.; Bakich, A.M.; Balagura, V.; Bedny, I.; et al. Observation of a resonance-like structure in the pi±ψ′ mass distribution in exclusive B→Kπ±ψ′ decays. Phys. Rev. Lett. 2008, 100, 142001. [Google Scholar] [CrossRef] [PubMed]
- Choi, S.-K.; Olsen, S.L.; Abe, K.; Abe, K.; Adachi, I.; Aihara, H.; Asano, Y.; Bahinipati, S.; Bakich, A.M.; Ban, Y.; et al. Observation of a near-threshold omega J/ψ mass enhancement in exclusive B→KωJ/ψ decays. Phys. Rev. Lett. 2005, 94, 182002. [Google Scholar] [CrossRef]
- Abe, K.; Abe, K.; Adachi, I.; Aihara, H.; Aoki, K.; Arinstein, K.; Asano, Y.; Aso, T.; Aulchenko, V.; Aushev, T.; et al. Experimental constraints on the possible JPC quantum numbers of the X(3872). In Proceedings of the 22nd International Symposium on Lepton-Photon Interactions at High Energy (LP 2005), Uppsala, Sweden, 30 June–5 July 2005. [Google Scholar]
- Gokhroo, G.; Majumder, G.; Abe, K.; Abe, K.; Adachi, I.; Aihara, H.; Anipko, D.; Aushev, T.; Aziz, T.; Bakich, A.M.; et al. Observation of a Near-threshold D0 anti-D0 pi0 Enhancement in B —> D0 anti-D0 pi0 K Decay. Phys. Rev. Lett. 2006, 97, 162002. [Google Scholar] [CrossRef] [PubMed]
- Mizuk, R.; Chistov, R.; Adachi, I.; Aihara, H.; Arinstein, K.; Aulchenko, V.; Aushev, T.; Bakich, A.M.; Balagura, V.; Barberio, E.; et al. Observation of two resonance-like structures in the pi+ chi(c1) mass distribution in exclusive anti-B0 —> K- pi+ chi(c1) decays. Phys. Rev. D 2008, 78, 072004. [Google Scholar] [CrossRef]
- Aushev, T.; Zwahlen, N.; Adachi, I.; Aihara, H.; Bakich, A.M.; Balagura, V.; Bay, A.; Belous, K.; Bhardwaj, V.; Bischofberger, M.; et al. Study of the B —> X(3872)(D*0 anti-D0) K decay. Phys. Rev. D 2010, 81, 031103. [Google Scholar] [CrossRef]
- Mizuk, R.; Adachi, I.; Aihara, H.; Arinstein, K.; Aushev, T.; Bakich, A.M.; Balagura, V.; Barberio, E.; Bay, A.; Belous, K.; et al. Dalitz analysis of B —> K pi+ psi-prime decays and the Z(4430)+. Phys. Rev. D 2009, 80, 031104. [Google Scholar] [CrossRef]
- Choi, S.-K.; Olsen, S.L.; Trabelsi, K.; Adachi, I.; Aihara, H.; Arinstein, K.; Asner, D.M.; Aushev, T.; Bakich, A.M.; Barberio, E.; et al. Bounds on the width, mass difference and other properties of X(3872)→π+π−J/ψ decays. Phys. Rev. D 2011, 84, 052004. [Google Scholar] [CrossRef]
- Bhardwaj, V.; Trabelsi, K.; Singh, J.B.; Choi, S.-K.; Olsen, S.L.; Adachi, I.; Adamczyk, K.; Asner, D.M.; Aulchenko, V.; Aushev, T.; et al. Observation of X(3872)→J/ψγ and search for X(3872)→ψ′γ in B decays. Phys. Rev. Lett. 2011, 107, 091803. [Google Scholar] [CrossRef]
- Bhardwaj, V.; Miyabayashi, K.; Adachi, I.; Aihara, H.; Asner, D.M.; Aulchenko, V.; Aushev, T.; Aziz, T.; Bakich, A.M.; Bala, A.; et al. Evidence of a new narrow resonance decaying to χc1γ in B→χc1γK. Phys. Rev. Lett. 2013, 111, 032001. [Google Scholar] [CrossRef]
- Chilikin, K.; Mizuk, R.; Adachi, I.; Aihara, H.; Al Said, S.; Arinstein, K.; Asner, D.M.; Aulchenko, V.; Aushev, T.; Ayad, R.; et al. Observation of a new charged charmoniumlike state in 0→J/ψK−π+ decays. Phys. Rev. D 2014, 90, 112009. [Google Scholar] [CrossRef]
- Hirata, H.; Iijima, T.; Kato, Y.; Tanida, K.; Adachi, I.; Ahn, J.K.; Aihara, H.; Al Said, S.; Asner, D.M.; Atmacan, H.; et al. Study of the lineshape of X(3872) using B decays to D0*0K. arXiv 2023, arXiv:2302.02127. [Google Scholar] [CrossRef]
- Abe, K.; Abe, K.; Abe, R.; Adachi, I.; Ahn, B.S.; Aihara, H.; Akatsu, M.; Alimonti, G.; Asai, K.; Asai, M.; et al. Observation of large CP violation in the neutral B meson system. Phys. Rev. Lett. 2001, 87, 091802. [Google Scholar] [CrossRef] [PubMed]
- Abe, K.; Abe, K.; Abe, T.; Adachi, I.; Aihara, H.; Akatsu, M.; Asano, Y.; Aso, T.; Aulchenko, V.; Aushev, T.; et al. An Improved measurement of mixing induced CP violation in the neutral B meson system. Phys. Rev. D 2002, 66, 071102. [Google Scholar] [CrossRef]
- Abe, K.; Abe, K.; Abe, N.; Abe, T.; Adachi, I.; Aihara, H.; Akai, K.; Akatsu, M.; Akemoto, M.; Asano, Y.; et al. Observation of large CP violation and evidence for direct CP violation in B0→π+π− decays. Phys. Rev. Lett. 2004, 93, 021601. [Google Scholar] [CrossRef]
- Chao, Y.; Chang, P.; Abe, K.; Abe, K.; Abe, N.; Adachi, I.; Aihara, H.; Akai, K.; Akatsu, M.; Akemoto, M.; et al. Evidence for direct CP violation in B0 —> K+ pi- decays. Phys. Rev. Lett. 2004, 93, 191802. [Google Scholar] [CrossRef]
- Abashian, A.; Abe, K.; Abe, K.; Adachi, I.; Ahn, B.S.; Aihara, H.; Akatsu, M.; Alimonti, G.; Aoki, K.; Asai, K.; et al. Measurement of the CP violation parameter sin2ϕ1 in meson decays. Phys. Rev. Lett. 2001, 86, 2509–2514. [Google Scholar] [CrossRef]
- Abe, K.; Abe, K.; Abe, N.; Abe, T.; Adachi, I.; Aihara, H.; Akai, K.; Akatsu, M.; Akemoto, M.; Asano, Y.; et al. Evidence for CP violating asymmetries B0 —> pi+ pi- decays and constraints on the CKM angle phi(2). Phys. Rev. D 2003, 68, 012001. [Google Scholar] [CrossRef]
- Abe, K.; Abe, K.; Abe, T.; Adachi, I.; Aihara, H.; Akai, K.; Akatsu, M.; Asano, Y.; Aso, T.; Aushev, T.; et al. Measurement of time dependent CP violating asymmetries in B0 —> phi K0(s), K+ K- K0(s), and eta-prime K0(s) decays. Phys. Rev. Lett. 2003, 91, 261602. [Google Scholar] [CrossRef]
- Poluektov, A.; Abe, K.; Abe, T.; Aihara, H.; Asano, Y.; Aushev, T.; Aziz, T.; Bahinipati, S.; Bakich, A.M.; Bedny, I.; et al. Measurement of phi(3) with Dalitz plot analysis of B+- —> D**(∗) K+- decay. Phys. Rev. D 2004, 70, 072003. [Google Scholar] [CrossRef]
- Chen, K.-F.; Fang, F.; Garmash, A.; Hara, K.; Hazumi, M.; Higuchi, T.; Kakuno, H.; Kusaka, A.; Shibata, T.; Tajima, O.; et al. Time-dependent CP-violating asymmetries in b —> s anti-q q transitions. Phys. Rev. D 2005, 72, 012004. [Google Scholar] [CrossRef]
- Itoh, R.; Onuki, Y.; Abe, K.; Abe, K.; Adachi, I.; Aihara, H.; Asano, Y.; Aushev, T.; Bakich, A.M.; Ban, Y.; et al. Studies of CP violation in B —> J/psi K* decays. Phys. Rev. Lett. 2005, 95, 091601. [Google Scholar] [CrossRef]
- Garmash, A.; Abe, K.; Abe, K.; Adachi, I.; Aihara, H.; Asano, Y.; Aushev, T.; Aziz, T.; Bahinipati, S.; Bakich, A.M.; et al. Evidence for large direct CP violation in B+- —> rho(770)0K+- from analysis of the three-body charmless B+- —>K+- pi+- pi-+ decay. Phys. Rev. Lett. 2006, 96, 251803. [Google Scholar] [CrossRef] [PubMed]
- Poluektov, A.; Abe, K.; Abe, K.; Adachi, I.; Aihara, H.; Anipko, D.; Arinstein, K.; Aushev, T.; Bahinipati, S.; Bakich, A.M.; et al. Measurement of phi(3) with Dalitz plot analysis of B+ —> D(∗)K(∗)+ decay. Phys. Rev. D 2006, 73, 112009. [Google Scholar] [CrossRef]
- Mohapatra, D.; Nakao, M.; Nishida, S.; Abe, K.; Abe, K.; Adachi, I.; Aihara, H.; Anipko, D.; Arinstein, K.; Asano, Y.; et al. Observation of b —> d gamma and determination of |V(td)/V(ts)|. Phys. Rev. Lett. 2006, 96, 221601. [Google Scholar] [CrossRef] [PubMed]
- Ushiroda, Y.; Sumisawa, K.; Abe, K.; Abe, K.; Adachi, I.; Aihara, H.; Anipko, D.; Arinstein, K.; Bakich, A.M.; Barberio, E.; et al. Time-Dependent CP Asymmetries in B0→π0γ transitions. Phys. Rev. D 2006, 74, 111104. [Google Scholar] [CrossRef]
- Somov, A.; Schwartz, A.J.; Abe, K.; Abe, K.; Adachi, I.; Aihara, H.; Anipko, D.; Arinstein, K.; Asano, Y.; Aulchenko, V.; et al. Measurement of the branching fraction, polarization, and CP asymmetry for B0 —> rho+ rho- decays, and determination of the CKM phase phi(2). Phys. Rev. Lett. 2006, 96, 171801. [Google Scholar] [CrossRef]
- Chen, K.-F.; Hara, K.; Hazumi, M.; Higuchi, T.; Miyabayashi, K.; Nakahama, Y.; Sumisawa, K.; Tajima, O.; Ushiroda, Y.; Yusa, Y.; et al. Observation of time-dependent CP violation in B0 —> eta-prime K0 decays and improved measurements of CP asymmetries in B0 —> phi K0, K0(s) K0(s) K0(s) and B0 —> J/psi K0 decays. Conf. Proc. C 2006, 060726, 823–826. [Google Scholar] [CrossRef]
- Ishino, H.; Abe, K.; Abe, K.; Adachi, I.; Aihara, H.; Anipko, D.; Arinstein, K.; Aushev, T.; Bakich, A.M.; Barberio, E.; et al. Observation of Direct CP-Violation in B0 —> pi+ pi- Decays and Model-Independent Constraints on phi(2). Phys. Rev. Lett. 2007, 98, 211801. [Google Scholar] [CrossRef]
- Lin, S.-W.; Unno, Y.; Hou, W.-S.; Chang, P.; Adachi, I.; Aihara, H.; Akai, K.; Arinstein, K.; Aulchenko, V.; Aushev, T.; et al. Difference in direct charge-parity violation between charged and neutral B meson decays. Nature 2008, 452, 332–335. [Google Scholar] [CrossRef]
- Poluektov, A.; Bondar, A.; Yabsley, B.D.; Adachi, I.; Aihara, H.; Arinstein, K.; Aulchenko, V.; Aushev, T.; Bakich, A.M.; Balagura, V.; et al. Evidence for direct CP violation in the decay B->D(∗)K, D->KsPi+Pi- and measurement of the CKM phase phi3. Phys. Rev. D 2010, 81, 112002. [Google Scholar] [CrossRef]
- Adachi, I.; Aihara, H.; Asner, D.M.; Aulchenko, V.; Aushev, T.; Aziz, T.; Bakich, A.M.; Bay, A.; Bhardwaj, V.; Bhuyan, B.; et al. Precise measurement of the CP violation parameter sin2ϕ1 in B0→(c)K0 decays. Phys. Rev. Lett. 2012, 108, 171802. [Google Scholar] [CrossRef] [PubMed]
- Duh, Y.-T.; Wu, T.-Y.; Chang, P.; Mohanty, G.B.; Unno, Y.; Adachi, I.; Aihara, H.; Asner, D.M.; Aulchenko, V.; Aushev, T.; et al. Measurements of branching fractions and direct CP asymmetries for B→Kπ,B→ππ and B→KK decays. Phys. Rev. D 2013, 87, 031103. [Google Scholar] [CrossRef]
- Kang, K.H.; Park, H.; Higuchi, T.; Miyabayashi, K.; Sumisawa, K.; Adachi, I.; Ahn, J.K.; Aihara, H.; Al Said, S.; Asner, D.M.; et al. Measurement of time-dependent CP violation parameters in B0→ decays at Belle. Phys. Rev. D 2021, 103, 032003. [Google Scholar] [CrossRef]
- Adachi, I.; Adamczyk, K.; Aggarwal, L.; Ahmed, H.; Aihara, H.; Akopov, N.; Aloisio, A.; Ky, N.A.; Asner, D.M.; Atmacan, H.; et al. Measurement of CP violation in B0→π0 decays at Belle II. arXiv 2023, arXiv:2305.07555. [Google Scholar]
- Abudinén, F.; Adachi, I.; Aggarwal, L.; Ahmed, H.; Aihara, H.; Akopov, N.; Aloisio, A.; Ky, N.A.; Asner, D.M.; Atmacan, H.; et al. Measurement of the B0 lifetime and flavor-oscillation frequency using hadronic decays reconstructed in 2019–2021 Belle II data. Phys. Rev. D 2023, 107, L091102. [Google Scholar] [CrossRef]
- Adachi, I.; Aggarwal, L.; Ahmed, H.; Aihara, H.; Akopov, N.; Aloisio, A.; Ky, N.A.; Asner, D.M.; Atmacan, H.; Aushev, T.; et al. Measurement of decay-time-dependent CP violation in B0→J/ψ decays using 2019-2021 Belle II data. arXiv 2023, arXiv:2302.12898. [Google Scholar]
- Abe, K.; Abe, K.; Adachi, I.; Ahn, B.S.; Aihara, H.; Akatsu, M.; Alimonti, G.; Aoki, K.; Asai, K.; Asano, Y.; et al. A Measurement of the branching fraction for the inclusive B —> X(s) gamma decays with BELLE. Phys. Lett. B 2001, 511, 151–158. [Google Scholar] [CrossRef]
- Abe, K.; Abe, K.; Adachi, I.; Ahn, B.S.; Aihara, H.; Akatsu, M.; Alimonti, G.; Asano, Y.; Aso, T.; Aulchenko, V.; et al. Measurement of branching fractions for B —> pi pi, K pi and K K decays. Phys. Rev. Lett. 2001, 87, 101801. [Google Scholar] [CrossRef]
- Garmash, A.; Abe, K.; Abe, K.; Abe, N.; Abe, T.; Adachi, I.; Aihara, H.; Asano, Y.; Aso, T.; Aulchenko, V.; et al. Study of three-body charmless B decays. Phys. Rev. D 2002, 65, 092005. [Google Scholar] [CrossRef]
- Garmash, A.; Abe, K.; Abe, K.; Abe, T.; Adachi, I.; Aihara, H.; Akatsu, M.; Asano, Y.; Aushev, T.; Bakich, A.M.; et al. Study of B meson decays to three body charmless hadronic final states. Phys. Rev. D 2004, 69, 012001. [Google Scholar] [CrossRef]
- Nakao, M.; Abe, K.; Abe, K.; Abe, T.; Adachi, I.; Aihara, H.; Akatsu, M.; Asano, Y.; Aso, T.; Aulchenko, V.; et al. Measurement of the B→K*γ branching fractions and asymmetries. Phys. Rev. D 2004, 69, 112001. [Google Scholar] [CrossRef]
- Abe, K.; Abe, K.; Abe, T.; Adachi, I.; Aihara, H.; Akatsu, M.; Asano, Y.; Aso, T.; Aushev, T.; Bakich, A.M.; et al. Study of B- —> D**0 pi- (D**0 —> D(∗)+ pi-) decays. Phys. Rev. D 2004, 69, 112002. [Google Scholar] [CrossRef]
- Garmash, A.; Abe, K.; Abe, K.; Aihara, H.; Akatsu, M.; Asano, Y.; Aulchenko, V.; Aushev, T.; Aziz, T.; Bahinipati, S.; et al. Dalitz analysis of the three-body charmless decays B+ —> K+ pi+ pi- and B+ —> K+ K+ K-. Phys. Rev. D 2005, 71, 092003. [Google Scholar] [CrossRef]
- Limosani, A.; Aihara, H.; Arinstein, K.; Aushev, T.; Bakich, A.M.; Balagura, V.; Barberio, E.; Bay, A.; Belous, K.; Bischofberger, M.; et al. Measurement of Inclusive Radiative B-meson Decays with a Photon Energy Threshold of 1.7-GeV. Phys. Rev. Lett. 2009, 103, 241801. [Google Scholar] [CrossRef] [PubMed]
- Chen, Y.Q.; Li, L.K.; Yan, W.B.; Adachi, I.; Aihara, H.; Al Said, S.; Asner, D.M.; Atmacan, H.; Aulchenko, V.; Aushev, T.; et al. Dalitz analysis of D0→K−π+η decays at Belle. Phys. Rev. D 2020, 102, 012002. [Google Scholar] [CrossRef]
- Abudinén, F.; Adachi, I.; Adamczyk, K.; Aggarwal, L.; Ahmed, H.; Aihara, H.; Akopov, N.; Aloisio, A.; Anh Ky, N.; Asner, D.M.; et al. Measurement of the branching fraction and CP asymmetry of B0→π0π0 decays using 198×106B pairs in Belle II data. arXiv 2023, arXiv:2303.08354. [Google Scholar]
- Abe, K.; Abe, K.; Abe, R.; Abe, T.; Adachi, I.; Ahn, B.S.; Aihara, H.; Akatsu, M.; Asano, Y.; Aso, T.; et al. Observation of B+- —> p anti-p K+-. Phys. Rev. Lett. 2002, 88, 181803. [Google Scholar] [CrossRef]
- Choi, S.-K.; Olsen, S.L.; Abe, K.; Abe, K.; Abe, R.; Abe, T.; Adachi, I.; Ahn, B.S.; Aihara, H.; Akatsu, M.; et al. Observation of the eta(c)(2S) in exclusive B —> K K(S) K- pi+ decays. Phys. Rev. Lett. 2002, 89, 102001, Erratum in Phys. Rev. Lett. 2002, 89, 129901. [Google Scholar] [CrossRef]
- Abe, K.; Abe, K.; Abe, R.; Abe, T.; Ahn, B.S.; Aihara, H.; Akatsu, M.; Asano, Y.; Aso, T.; Aulchenko, V.; et al. Observation of anti-B0 —> D0(∗) p anti-p. Phys. Rev. Lett. 2002, 89, 151802. [Google Scholar] [CrossRef]
- Lee, S.H.; Suzuki, K.; Abe, K.; Abe, K.; Abe, T.; Adachi, I.; Ahn, B.S.; Aihara, H.; Akai, K.; Akatsu, M.; et al. Evidence for B0→π0π0. Phys. Rev. Lett. 2003, 91, 261801. [Google Scholar] [CrossRef]
- Krokovny, P.; Abe, K.; Abe, K.; Abe, T.; Adachi, I.; Aihara, H.; Akai, K.; Akatsu, M.; Akemoto, M.; Asano, Y.; et al. Observation of the D(sJ)(2317) and D(sJ)(2457) in B decays. Phys. Rev. Lett. 2003, 91, 262002. [Google Scholar] [CrossRef] [PubMed]
- Zhang, J.; Nakao, M.; Abe, K.; Abe, K.; Abe, T.; Adachi, I.; Aihara, H.; Akatsu, M.; Asano, Y.; Aso, T.; et al. Observation of B+ —> rho+ rho0. Phys. Rev. Lett. 2003, 91, 221801. [Google Scholar] [CrossRef] [PubMed]
- Wang, M.-Z.; Abe, K.; Abe, K.; Abe, T.; Adachi, I.; Aihara, H.; Asano, Y.; Aso, T.; Aulchenko, V.; Aushev, T.; et al. Observation of B+ —> p anti-p pi+, B0 —> p anti-p K0, and B+ —> p anti-p K*+. Phys. Rev. Lett. 2004, 92, 131801. [Google Scholar] [CrossRef] [PubMed]
- Brodzicka, J.; Palka, H.; Adachi, I.; Aihara, H.; Aulchenko, V.; Bakich, A.M.; Barberio, E.; Bay, A.; Bedny, I.; Bitenc, U.; et al. Observation of a new D(sJ) meson in B+ —> anti-D0 D0 K+ decays. Phys. Rev. Lett. 2008, 100, 092001. [Google Scholar] [CrossRef] [PubMed]
- Li, Y.B.; Shen, C.P.; Adachi, I.; Ahn, J.K.; Aihara, H.; Al Said, S.; Asner, D.M.; Aushev, T.; Ayad, R.; Babu, V.; et al. Observation of Ξc(2930)0 and updated measurement of B−→K− at Belle. Eur. Phys. J. C 2018, 78, 252. [Google Scholar] [CrossRef]
- Chen, K.-F.; Bozek, A.; Abe, K.; Abe, K.; Abe, T.; Adachi, I.; Aihara, H.; Akatsu, M.; Asano, Y.; Aso, T.; et al. Measurement of branching fractions and polarization in B —> phi K(∗) decays. Phys. Rev. Lett. 2003, 91, 201801. [Google Scholar] [CrossRef]
- Chen, K.-F.; Abe, K.; Abe, K.; Aihara, H.; Asano, Y.; Aulchenko, V.; Aushev, T.; Bahinipati, S.; Bakich, A.M.; Bedny, I.; et al. Measurement of polarization and triple-product correlations in B —> phi K* decays. Phys. Rev. Lett. 2005, 94, 221804. [Google Scholar] [CrossRef] [PubMed]
- Koppenburg, P.; Abe, K.; Abe, K.; Abe, T.; Adachi, I.; Aihara, H.; Akatsu, M.; Asano, Y.; Aulchenko, V.; Aushev, T.; et al. An Inclusive measurement of the photon energy spectrum in b —> s gamma decays. Phys. Rev. Lett. 2004, 93, 061803. [Google Scholar] [CrossRef]
- Abudinén, F.; Adachi, I.; Adamczyk, K.; Aggarwal, L.; Ahlburg, P.; Ahmed, H.; Ahn, J.K.; Aihara, H.; Akopov, N.; Aloisio, A.; et al. Measurement of the photon-energy spectrum in inclusive B→Xsγ decays identified using hadronic decays of the recoil B meson in 2019-2021 Belle II data. arXiv 2022, arXiv:2210.10220. [Google Scholar]
- Cabibbo, N. Unitary Symmetry and Leptonic Decays. Phys. Rev. Lett. 1963, 10, 531–533. [Google Scholar] [CrossRef]
- Kobayashi, M.; Maskawa, T. CP Violation in the Renormalizable Theory of Weak Interaction. Prog. Theor. Phys. 1973, 49, 652–657. [Google Scholar] [CrossRef]
- Bander, M.; Silverman, D.; Soni, A. CP Noninvariance in the Decays of Heavy Charged Quark Systems. Phys. Rev. Lett. 1979, 43, 242. [Google Scholar] [CrossRef]
- Carter, A.B.; Sanda, A.I. CP Violation in B Meson Decays. Phys. Rev. D 1981, 23, 1567. [Google Scholar] [CrossRef]
- Bigi, I.I.Y.; Sanda, A.I. Notes on the Observability of CP Violations in B Decays. Nucl. Phys. B 1981, 193, 85–108. [Google Scholar] [CrossRef]
- Chernyak, V.L.; Zhitnitsky, A.R. Asymptotic Behavior of Exclusive Processes in QCD. Phys. Rept. 1984, 112, 173. [Google Scholar] [CrossRef]
- Godfrey, S.; Isgur, N. Mesons in a Relativized Quark Model with Chromodynamics. Phys. Rev. D 1985, 32, 189–231. [Google Scholar] [CrossRef]
- Bauer, M.; Stech, B.; Wirbel, M. Exclusive Nonleptonic Decays of D, D(s), and B Mesons. Z. Phys. C 1987, 34, 103. [Google Scholar] [CrossRef]
- Buras, A.J.; Jamin, M.; Lautenbacher, M.E.; Weisz, P.H. Effective Hamiltonians for ΔS = 1 and ΔB = 1 nonleptonic decays beyond the leading logarithmic approximation. Nucl. Phys. B 1992, 370, 69–104, Addendum Nucl. Phys. B 1992, 375, 501. [Google Scholar] [CrossRef]
- Isgur, N.; Wise, M.B. Spectroscopy with heavy quark symmetry. Phys. Rev. Lett. 1991, 66, 1130–1133. [Google Scholar] [CrossRef]
- Neubert, M.; Stech, B. Nonleptonic weak decays of B mesons. Adv. Ser. Direct. High Energy Phys. 1998, 15, 294–344. [Google Scholar] [CrossRef]
- Chetyrkin, K.G.; Misiak, M.; Munz, M. Weak radiative B meson decay beyond leading logarithms. Phys. Lett. B 1997, 400, 206–219, Erratum in Phys. Lett. B 1998, 425, 414. [Google Scholar] [CrossRef]
- Ciuchini, M.; Franco, E.; Martinelli, G.; Silvestrini, L. Charming penguins in B decays. Nucl. Phys. B 1997, 501, 271–296. [Google Scholar] [CrossRef][Green Version]
- Kagan, A.L.; Neubert, M. QCD anatomy of B —> X(s gamma) decays. Eur. Phys. J. C 1999, 7, 5–27. [Google Scholar] [CrossRef]
- Dunietz, I.; Rosner, J.L. Time Dependent CP Violation Effects in B0 anti-B0 Systems. Phys. Rev. D 1986, 34, 1404. [Google Scholar] [CrossRef]
- Gronau, M.; London, D. Isospin analysis of CP asymmetries in B decays. Phys. Rev. Lett. 1990, 65, 3381–3384. [Google Scholar] [CrossRef]
- Ali, A.; Kramer, G.; Lu, C.D. Experimental tests of factorization in charmless nonleptonic two-body B decays. Phys. Rev. D 1998, 58, 094009. [Google Scholar] [CrossRef]
- Beneke, M.; Buchalla, G.; Neubert, M.; Sachrajda, C.T. QCD factorization for exclusive, nonleptonic B meson decays: General arguments and the case of heavy light final states. Nucl. Phys. B 2000, 591, 313–418. [Google Scholar] [CrossRef]
- Beneke, M.; Buchalla, G.; Neubert, M.; Sachrajda, C.T. QCD factorization in B→πK,ππ decays and extraction of Wolfenstein parameters. Nucl. Phys. B 2001, 606, 245–321. [Google Scholar] [CrossRef]
- Bauer, C.W.; Pirjol, D.; Stewart, I.W. A Proof of factorization for B→Dπ. Phys. Rev. Lett. 2001, 87, 201806. [Google Scholar] [CrossRef]
- Beneke, M.; Neubert, M. QCD factorization for B→PP and B→PV decays. Nucl. Phys. B 2003, 675, 333–415. [Google Scholar] [CrossRef]
- Bauer, C.W.; Pirjol, D.; Rothstein, I.Z.; Stewart, I.W. B→M(1)M(2): Factorization, charming penguins, strong phases, and polarization. Phys. Rev. D 2004, 70, 054015. [Google Scholar] [CrossRef]
- Buras, A.J.; Fleischer, R.; Recksiegel, S.; Schwab, F. B→ππ, new physics in B→πK and implications for rare K and B decays. Phys. Rev. Lett. 2004, 92, 101804. [Google Scholar] [CrossRef]
- Buras, A.J.; Fleischer, R.; Recksiegel, S.; Schwab, F. Anatomy of prominent B and K decays and signatures of CP violating new physics in the electroweak penguin sector. Nucl. Phys. B 2004, 697, 133–206. [Google Scholar] [CrossRef][Green Version]
- Cheng, H.Y.; Chua, C.K.; Soni, A. Final state interactions in hadronic B decays. Phys. Rev. D 2005, 71, 014030. [Google Scholar] [CrossRef]
- Ball, P.; Zwicky, R. New results on B→π,K,η decay formfactors from light-cone sum rules. Phys. Rev. D 2005, 71, 014015. [Google Scholar] [CrossRef]
- Gorbahn, M.; Haisch, U. Effective Hamiltonian for non-leptonic |ΔF|=1 decays at NNLO in QCD. Nucl. Phys. B 2005, 713, 291–332. [Google Scholar] [CrossRef]
- Beneke, M.; Rohrer, J.; Yang, D. Branching fractions, polarisation and asymmetries of B —> VV decays. Nucl. Phys. B 2007, 774, 64–101. [Google Scholar] [CrossRef]
- Charles, J.; Deschamps, O.; Descotes-Genon, S.; Lacker, H.; Menzel, A.; Monteil, S.; Niess, V.; Ocariz, J.; Orloff, J.; Perez, A.; et al. Current status of the Standard Model CKM fit and constraints on ΔF = 2 New Physics. Phys. Rev. D 2015, 91, 073007. [Google Scholar] [CrossRef]
- Dubnicka, S.; Dubnickova, A.Z.; Ivanov, M.A.; Liptaj, A. Decays Bs→J/ψ+η and Bs→J/ψ+η′ in the framework of covariant quark model. Phys. Rev. D 2013, 87, 074201. [Google Scholar] [CrossRef]
- Ambrosino, F.; Antonelli, A.; Antonelli, M.; Bacci, C.; Beltrame, P.; Bencivenni, G.; Bertolucci, S.; Bini, C.; Bloise, C.; Bocchetta, S.; et al. Measurement of the pseudoscalar mixing angle and eta-prime gluonium content with KLOE detector. Phys. Lett. B 2007, 648, 267–273. [Google Scholar] [CrossRef]
- Li, J.; Adachi, I.; Aihara, H.; Arinstein, K.; Asner, D.M.; Aulchenko, V.; Aushev, T.; Bakich, A.M.; Bhardwaj, V.; Bhuyan, B.; et al. First observation of →J/ψη and →J/ψη′. Phys. Rev. Lett. 2012, 108, 181808. [Google Scholar] [CrossRef]
- Aaij, R.; Abellan Beteta, C.; Adametz, A.; Adeva, B.; Adinolfi, M.; Adrover, C.; Affolder, A.; Ajaltouni, Z.; Albrecht, J.; Alessio, F.; et al. Evidence for the decay B0→J/ψω and measurement of the relative branching fractions of meson decays to J/ψη and J/ψη′. Nucl. Phys. B 2013, 867, 547–566. [Google Scholar] [CrossRef]
- Dubnička, S.; Dubničková, A.Z.; Ivanov, M.A.; Liptaj, A. Decays B→D(s)(∗)h (h=π, ρ) in a confined covariant quark model. Phys. Rev. D 2022, 106, 033006. [Google Scholar] [CrossRef]
- Huber, T.; Kränkl, S.; Li, X.Q. Two-body non-leptonic heavy-to-heavy decays at NNLO in QCD factorization. J. High Energy Phys. 2016, 09, 112. [Google Scholar] [CrossRef]
- Bordone, M.; Gubernari, N.; Huber, T.; Jung, M.; van Dyk, D. A puzzle in →+{π−,K−} decays and extraction of the fs/fd fragmentation fraction. Eur. Phys. J. C 2020, 80, 951. [Google Scholar] [CrossRef]
- Iguro, S.; Kitahara, T. Implications for new physics from a novel puzzle in →+{π−,K−} decays. Phys. Rev. D 2020, 102, 071701. [Google Scholar] [CrossRef]
- Ivanov, M.A.; Korner, J.G.; Pakhomova, O.N. The Nonleptonic decays →0 and →D0 in a relativistic quark model. Phys. Lett. B 2003, 555, 189–196. [Google Scholar] [CrossRef]
- Dubnicka, S.; Dubnickova, A.Z.; Issadykov, A.; Ivanov, M.A.; Liptaj, A. Study of Bc decays into charmonia and D mesons. Phys. Rev. D 2017, 96, 076017. [Google Scholar] [CrossRef]
- Aad, G.; Abbott, B.; Abdallah, J.; Abdinov, O.; Aben, R.; Abolins, M.; AbouZeid, O.S.; Abramowicz, H.; Abreu, H.; Abreu, R.; et al. Study of the →J/ψ and →J/ψ+ decays with the ATLAS detector. Eur. Phys. J. C 2016, 76, 4. [Google Scholar] [CrossRef]
- Ivanov, M.A.; Tyulemissov, Z.; Tyulemissova, A. Weak nonleptonic decays of vector B-mesons. Phys. Rev. D 2023, 107, 013009. [Google Scholar] [CrossRef]
- Aaij, R.; Abellán Beteta, C.; Ackernley, T.; Adeva, B.; Adinolfi, M.; Afsharnia, H.; Aidala, C.A.; Aiola, S.; Ajaltouni, Z.; Akar, S.; et al. Measurement of the →μ+μ− decay properties and search for the B0→μ+μ− and →μ+μ−γ decays. Phys. Rev. D 2022, 105, 012010. [Google Scholar] [CrossRef]
- Aad, G.; Abbott, B.; Abbott, D.C.; Abed Abud, A.; Abeling, K.; Abhayasinghe, D.K.; Abidi, S.H.; Aboulhorma, A.; Abramowicz, H.; Abreu, H.; et al. Study of →J/ψ and →J/ψ+ decays in pp collisions at s = 13 TeV with the ATLAS detector. J. High Energy Phys. 2022, 8, 87. [Google Scholar] [CrossRef]














| Struct. Dep. | Bremst. | Interf. | Sum | |
|---|---|---|---|---|
| CCQM | [78] | [79] | [80] | [81] | [82] | [85] | [111] | [112] | |
|---|---|---|---|---|---|---|---|---|---|
| electron | 15.9 | 6.2 | 2.35 | - | 7.1 | 20.0 | 24.6 | 18.4 | 17.4 |
| muon | 10.5 | 4.6 | 1.9 | - | 8.3 | 12.0 | 18.9 | 11.6 | 17.4 |
| tau | 13.7 | - | - | 15.2 | 15.7 | - | 11.6 | - | - |
| · | |||
| · | |||
| · | |||
| · | |||
| · | |||
| · |
| , 2-Loop | , 1-Loop | Experiment [138,139,237] | |
|---|---|---|---|
| 0 |
| Observable | CCQM | Exp. [23] |
|---|---|---|
| keV | keV | |
| keV | keV | |
| keV | keV | |
| keV | keV | |
| keV | keV | |
| keV | keV | |
| keV | keV | |
| Spin Structure | Diagram | Diagram | Diagram |
|---|---|---|---|
| (A) | |||
| (B) | |||
| (C) | |||
| (D) | |||
| Process | Diagram | ||||
|---|---|---|---|---|---|
| 1 | |||||
| 2 | |||||
| 3 | |||||
| 4 | |||||
| 5 | |||||
| 6 | |||||
| 7 | |||||
| 8 | |||||
| 9 | |||||
| 10 | |||||
| 11 | |||||
| 12 | |||||
| 13 | |||||
| 14 | |||||
| 15 | |||||
| 16 | |||||
| 17 | |||||
| 18 | |||||
| 19 | |||||
| 20 | |||||
| 21 | |||||
| 22 |
Disclaimer/Publisher’s Note: The statements, opinions and data contained in all publications are solely those of the individual author(s) and contributor(s) and not of MDPI and/or the editor(s). MDPI and/or the editor(s) disclaim responsibility for any injury to people or property resulting from any ideas, methods, instructions or products referred to in the content. |
© 2023 by the authors. Licensee MDPI, Basel, Switzerland. This article is an open access article distributed under the terms and conditions of the Creative Commons Attribution (CC BY) license (https://creativecommons.org/licenses/by/4.0/).
Share and Cite
Dubnička, S.; Dubničková, A.Z.; Ivanov, M.A.; Liptaj, A. B Meson Decays in the Covariant Confined Quark Model. Symmetry 2023, 15, 1542. https://doi.org/10.3390/sym15081542
Dubnička S, Dubničková AZ, Ivanov MA, Liptaj A. B Meson Decays in the Covariant Confined Quark Model. Symmetry. 2023; 15(8):1542. https://doi.org/10.3390/sym15081542
Chicago/Turabian StyleDubnička, Stanislav, Anna Z. Dubničková, Mikhail A. Ivanov, and Andrej Liptaj. 2023. "B Meson Decays in the Covariant Confined Quark Model" Symmetry 15, no. 8: 1542. https://doi.org/10.3390/sym15081542
APA StyleDubnička, S., Dubničková, A. Z., Ivanov, M. A., & Liptaj, A. (2023). B Meson Decays in the Covariant Confined Quark Model. Symmetry, 15(8), 1542. https://doi.org/10.3390/sym15081542

