A Deep Learning Approach to Extracting Nuclear Matter Properties from Neutron Star Observations
Abstract
1. Introduction
2. Formalism
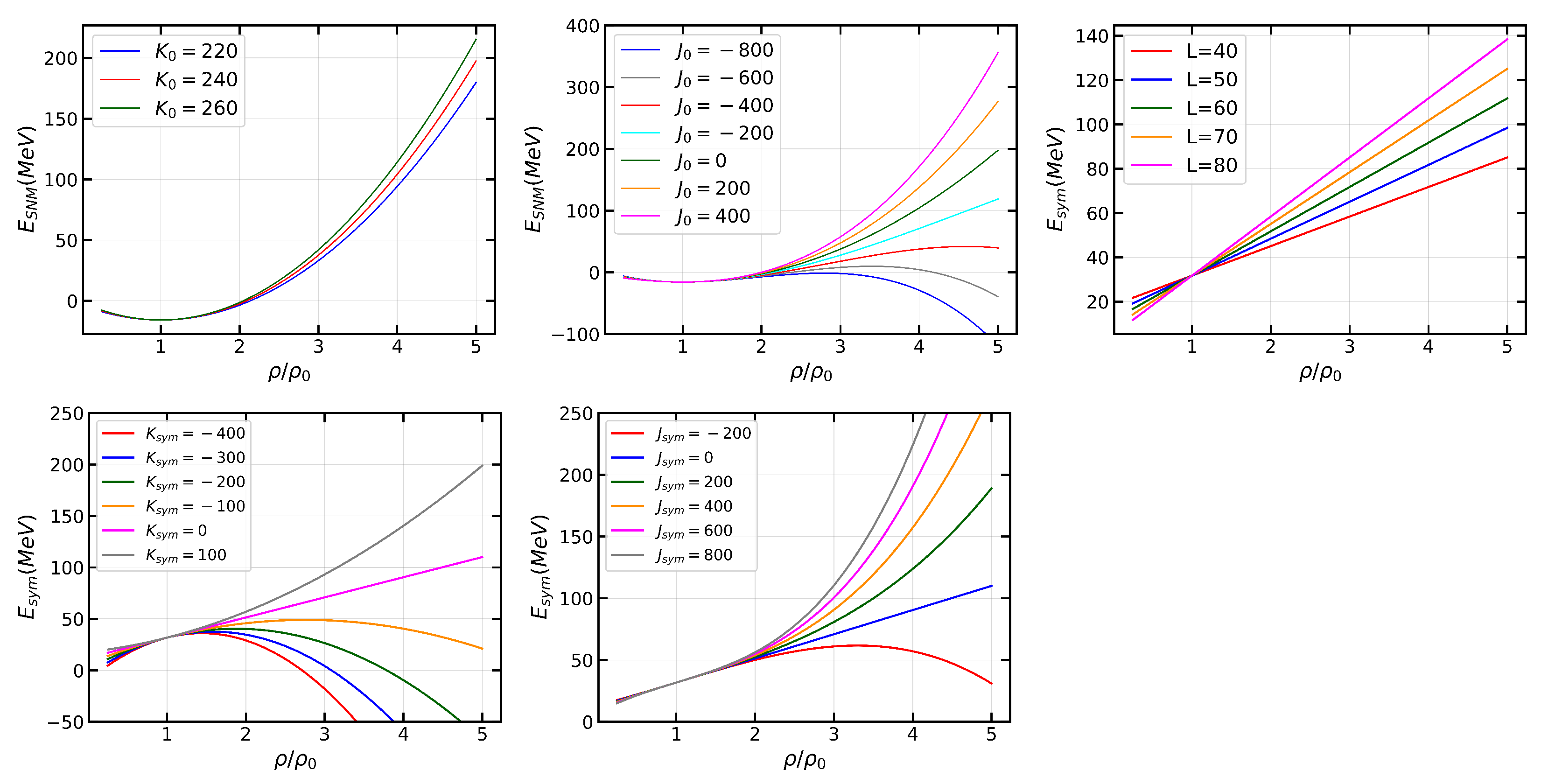
2.1. Equation of State
2.2. Structure Equations of Static Neutron Stars
2.3. Artificial Neural Networks
2.3.1. EOS Network (EOS DNN)
2.3.2. Nuclear Matter Properties Network (NuPRO DNN)
3. Results
3.1. Extracting the EOS
3.2. Application to Realistic EOSs
3.3. Deducing Nuclear Matter Properties
3.3.1. Performance on the Test Dataset
3.3.2. Reconstructing
3.3.3. Model Uncertainty
3.3.4. Application to Realistic Nuclear Models
4. Summary and Outlook
Funding
Data Availability Statement
Acknowledgments
Conflicts of Interest
References
- The National Academies Press. New Worlds, New Horizons in Astronomy and Astrophysics; The National Academies Press: Washington, DC, USA, 2011; Available online: https://www.nap.edu/catalog/12951/new-worlds-new-horizons-in-astronomy-and-astrophysics (accessed on 28 September 2021).
- The National Academies Press. Nuclear Physics: Exploring the Heart of Matter; Report of the Committee on the Assessment of and Outlook for Nuclear Physics; The National Academies Press: Washington, DC, USA, 2012; Available online: https://www.nap.edu/catalog/13438/nuclear-physics-exploring-the-heart-of-matter (accessed on 28 September 2021).
- 2015 U.S. Long Range Plan for Nuclear Sciences. Available online: https://www.osti.gov/servlets/purl/1296778 (accessed on 28 September 2021).
- Li, B.A.; Ramos, À.; Verde, G.; Vidaña, I. Topical Issue on Nuclear Symmetry Energy. Eur. Phys. J. A 2014, 50, 9. [Google Scholar] [CrossRef]
- Li, B.-A.; Cai, B.-J.; Xie, W.-J.; Zhang, N.-B. Progress in Constraining Nuclear Symmetry Energy Using Neutron Star Observables Since GW170817. Universe 2021, 7, 182. [Google Scholar] [CrossRef]
- Danielewicz, P.; Lacey, R.; Lynch, W.G. Determination of the equation of state of dense matter. Science 2002, 298, 1592–1596. [Google Scholar] [CrossRef] [PubMed]
- Baran, V.; Colonna, M.; Greco, V.; Di Toro, M. Reaction dynamics with exotic nuclei. Phys. Rep. 2005, 410, 335–466. [Google Scholar] [CrossRef]
- Steiner, A.W.; Prakash, M.; Lattimer, J.M.; Ellis, P.J. Isospin asymmetry in nuclei and neutron stars. Phys. Rep. 2005, 411, 325–375. [Google Scholar] [CrossRef]
- Tsang, M.B.; Stone, J.R.; Camera, F.; Danielewicz, P.; Gandolfi, S.; Hebeler, K.; Horowitz, C.J.; Lee, J.; Lynch, W.G.; Kohley, Z.; et al. Constraints on the symmetry energy and neutron skins from experiments and theory. Phys. Rev. C 2012, 86, 015803. [Google Scholar] [CrossRef]
- Baldo, M.; Burgio, G.F. The nuclear symmetry energy. Prog. Part. Nucl. Phys. 2016, 91, 203–258. [Google Scholar] [CrossRef]
- Li, B.-A. Nuclear symmetry energy extracted from laboratory experiments. Nucl. Phys. News 2017, 27, 7–11. [Google Scholar] [CrossRef]
- Li, B.-A.; Cai, B.J.; Chen, L.W.; Xu, J. Nucleon effective masses in neutron-rich matter. Prog. Part. Nucl. Phys. 2018, 99, 29–119. [Google Scholar] [CrossRef]
- Burgio, G.F.; Vidaña, I. The Equation of State of Nuclear Matter: From Finite Nuclei to Neutron Stars. Universe 2020, 6, 119. [Google Scholar] [CrossRef]
- Lattimer, J.M.; Prakash, M. Neutron star structure and the equation of state. Astrophys. J. 2001, 550, 426–442. [Google Scholar] [CrossRef]
- Lattimer, J.M.; Prakash, M. The equation of state of hot, dense matter and neutron stars. Phys. Rep. 2016, 621, 127–164. [Google Scholar] [CrossRef]
- Watts, A.L.; Andersson, N.; Chakrabarty, D.; Feroci, M.; Hebeler, K.; Israel, G.; Lamb, F.K.; Miller, M.C.; Morsink, S.; Özel, F.; et al. Colloquium: Measuring the neutron star equation of state using X-ray timing. Rev. Mod. Phys. 2016, 88, 021001. [Google Scholar] [CrossRef]
- Özel, F.; Freire, P. Masses, radii, and the equation of state of neutron stars. Annu. Rev. Astron. Astrophys. 2016, 88, 401–440. [Google Scholar] [CrossRef]
- Oertel, M.; Hempel, M.; Klähn, T.; Typel, S. Equations of state for supernovae and compact stars. Rev. Mod. Phys. 2017, 89, 015007. [Google Scholar] [CrossRef]
- Baiotti, L. Gravitational waves from neutron star mergers and their relation to the nuclear equation of state. Prog. Part. Nucl. Phys. 2019, 109, 103714. [Google Scholar] [CrossRef]
- Li, B.-A.; Krastev, P.G.; Wen, D.H.; Zhang, N.B. Towards understanding astrophysical effects of nuclear symmetry energy. Eur. Phys. J. A 2019, 55, 117. [Google Scholar] [CrossRef]
- Weber, F.; Negreiros, R.; Roseneld, P.; Stejner, M. Pulsars as astrophysical laboratories for nuclear and particle physics. Prog. Part. Nucl. Phys. 2007, 59, 94–113. [Google Scholar] [CrossRef]
- Alford, M.G.; Han, S.; Schwenzer, K. Signatures for quark matter from multi-messenger observations. J. Phys. G Nucl. Part. Phys. 2019, 46, 114001. [Google Scholar] [CrossRef]
- Capano, C.D.; Tews, I.; Brown, S.M.; Margalit, B.; De, S.; Kumar, S.; Brown, D.A.; Krishnan, B.; Reddy, S. Stringent constraints on neutron-star radii from multimessenger observations and nuclear theory. Nat. Astron. 2020, 4, 625–632. [Google Scholar] [CrossRef]
- Blaschke, D.; Ayriyan, A.; Alvarez-Castillo, D.E.; Grigorian, H. Was GW170817 a canonical neutron star merger? Bayesian analysis with a third family of compact stars. Universe 2020, 6, 81. [Google Scholar] [CrossRef]
- Chatziioannou, K. Neutron-star tidal deformability and equation-of-state constraints. Gen. Relativ. Gravit. 2020, 52, 109. [Google Scholar] [CrossRef]
- Annala, E.; Gorda, T.; Kurkela, A.; Vuorinen, A. Gravitational-Wave Constraints on the Neutron-Star-Matter Equation of State. Phys. Rev. Lett. 2018, 120, 172703. [Google Scholar] [CrossRef] [PubMed]
- Kievsky, A.; Viviani, M.; Logoteta, D.; Bombaci, I.; Girlanda, L. Correlations imposed by the unitary limit between few-nucleon systems and compact stellar systems. Phys. Rev. Lett. 2018, 121, 072901. [Google Scholar] [CrossRef]
- Landry, P.; Essick, R.; Chatziioannou, K. Nonparametric constraints on neutron star matter with existing and upcoming gravitational wave and pulsar observations. Phys. Rev. D 2020, 101, 123007. [Google Scholar] [CrossRef]
- Dietrich, T.; Coughlin, M.W.; Pang, P.T.H.; Bulla, M.; Heinzel, J.; Issa, L.; Tews, I.; Antier, S. Multimessenger constraints on the neutron-star equation of state and the Hubble constant. Science 2020, 370, 1450–1453. [Google Scholar] [CrossRef]
- Stone, J.R. Nuclear Physics and Astrophysics Constraints on the High Density Matter Equation of State. Universe 2021, 7, 257. [Google Scholar] [CrossRef]
- Li, A.; Zhu, Z.Y.; Zhou, E.P.; Dong, J.M.; Hu, J.N.; Xia, C.J. Neutron star equation of state: Quark mean-field (QMF) modeling and applications. J. High Energy Astrophys. 2020, 28, 19–46. [Google Scholar] [CrossRef]
- Burgio, G.F.; Vidaña, I.; Schulze, H.-J.; Wei, J.-B. Neutron stars and the nuclear equation of state. Prog. Part. Nucl. Phys. 2021, 120, 103879. [Google Scholar] [CrossRef]
- Burgio, G.F.; Schulze, H.J.; Vidaña, I.; Wei, J.B. A Modern View of the Equation of State in Nuclear and Neutron Star Matter. Symmetry 2021, 13, 400. [Google Scholar] [CrossRef]
- Krastev, P.G.; Li, B.-A. Imprints of the nuclear symmetry energy on the tidal deformability of neutron stars. J. Phys. G 2019, 46, 074001. [Google Scholar] [CrossRef]
- Raithel, C.A.; Özel, F. Measurement of the nuclear symmetry energy parameters from gravitational wave events. Astrophys. J. 2019, 885, 121. [Google Scholar] [CrossRef]
- Bombaci, I.; Lombardo, U. Asymmetric nuclear matter equation of state. Phys. Rev. C 1991, 44, 1892. [Google Scholar] [CrossRef]
- Hebeler, K.; Schwenk, A. Chiral three-nucleon forces and neutron matter. Phys. Rev. C 2010, 82, 014314. [Google Scholar] [CrossRef]
- Tews, I.; Krüger, T.; Hebeler, K.; Schwenk, A. Neutron matter at next-to-next-to-next-to-leading order in chiral effective field theory. Phys. Rev. Lett. 2013, 110, 032504. [Google Scholar] [CrossRef]
- Holt, J.W.; Kaiser, N.; Weise, W. Nuclear chiral dynamics and thermodynamics. Prog. Part. Nucl. Phys. 2013, 73, 35. [Google Scholar] [CrossRef]
- Hagen, G.; Papenbrock, T.; Ekström, A.; Wendt, K.A.; Baardsen, G.; Gandolfi, S.; Hjorth-Jensen, M.; Horowitz, C.J. Coupled-cluster calculations of nucleonic matter. Phys. Rev. C 2014, 89, 014319. [Google Scholar] [CrossRef]
- Roggero, A.; Mukherjee, A.; Pederiva, F. Quantum Monte Carlo calculations of neutron matter with non-local chiral interactions. Phys. Rev. Lett. 2014, 112, 221103. [Google Scholar] [CrossRef]
- Machleidt, R.; Entem, D.R. Chiral effective field theory and nuclear forces. Phys. Rep. 2011, 503, 1–75. [Google Scholar] [CrossRef]
- Wlazłowski, G.; Holt, J.W.; Moroz, S.; Bulgac, A.; Roche, K.J. Auxiliary-Field Quantum Monte Carlo Simulations of Neutron Matter in Chiral Effective Field Theory. Phys. Rev. Lett. 2014, 113, 182503. [Google Scholar] [CrossRef] [PubMed]
- Tews, I.; Carlson, J.; Gandolfi, S.; Reddy, S. Constraining the speed of sound inside neutron stars with chiral effective field theory interactions and observations. Astrophys. J. 2018, 860, 149. [Google Scholar] [CrossRef]
- Drischler, C.; Furnstahl, R.J.; Melendez, J.A.; Phillips, D.R. How Well Do We Know the Neutron-Matter Equation of State at the Densities Inside Neutron Stars? A Bayesian Approach with Correlated Uncertainties. Phys. Rev. Lett. 2020, 125, 202702. [Google Scholar] [CrossRef]
- Drischler, C.; Holt, J.W.; Wellenhofer, C. Chiral Effective Field Theory and the High-Density Nuclear Equation of State. Ann. Rev. Nucl. Part. Sci. 2021, 71, 1. [Google Scholar] [CrossRef]
- Freedman, B.A.; McLerran, L.D. Fermions and Gauge Vector Mesons at Finite Temperature and Density. 1. Formal Techniques. Phys. Rev. D 1977, 16, 1130. [Google Scholar] [CrossRef]
- Freedman, B.A.; McLerran, L.D. Fermions and Gauge Vector Mesons at Finite Temperature and Density. 3. The Ground State Energy of a Relativistic Quark Gas. Phys. Rev. D 1977, 16, 1169. [Google Scholar] [CrossRef]
- Baluni, V. Nonabelian Gauge Theories of Fermi Systems: Chromotheory of Highly Condensed Matter. Phys. Rev. D 1978, 17, 2092. [Google Scholar] [CrossRef]
- Kurkela, A.; Romatschke, P.; Vuorinen, A. Cold Quark Matter. Phys. Rev. D 2010, 81, 105021. [Google Scholar] [CrossRef]
- Fraga, E.S.; Kurkela, A.; Vuorinen, A. Interacting quark matter equation of state for compact stars. Astrophys. J. Lett. 2014, 781, L25. [Google Scholar] [CrossRef]
- Gorda, T.; Kurkela, A.; Romatschke, P.; Säppi, M.; Vuorinen, A. Next-to-Next-to-Next-to-Leading Order Pressure of Cold Quark Matter: Leading Logarithm. Phys. Rev. Lett. 2018, 121, 202701. [Google Scholar] [CrossRef]
- Ghiglieri, J.; Kurkela, A.; Strickland, M.; Vuorinen, A. Perturbative Thermal QCD: Formalism and Applications. Phys. Rept. 2020, 880, 1. [Google Scholar] [CrossRef]
- Fujimoto, Y.; Fukushima, K.; Murase, K. Extensive Studies of the Neutron Star Equation of State from the Deep Learning Inference with the Observational Data Augmentation. J. High Energ. Phys. 2021, 3, 273. [Google Scholar] [CrossRef]
- Aarts, G. Introductory lectures on lattice QCD at nonzero baryon number. J. Phys. Conf. Ser. 2016, 706, 022004. [Google Scholar] [CrossRef]
- Li, B.-A.; Chen, L.-W.; Ko, C.M. Recent progress and new challenges in isospin physics with heavy-ion reactions. Phys. Rep. 2008, 464, 113–281. [Google Scholar] [CrossRef]
- Li, B.-A.; Han, X. Constraining the neutron-proton effective mass splitting using empirical constraints on the density dependence of nuclear symmetry energy around normal density. Phys. Lett. B 2013, 727, 276–281. [Google Scholar] [CrossRef]
- Horowitz, C.J.; Brown, E.F.; Kim, Y.; Lynch, W.G.; Michaels, R.; Ono, A.; Piekarewicz, J.; Tsang, M.B.; Wolter, H.H. A way forward in the study of the symmetry energy: Experiment, theory, and observation. J. Phys. G Nucl. Part. Phys. 2014, 41, 093001. [Google Scholar] [CrossRef]
- Lattimer, J.M.; Steiner, A.W. Constraints on the symmetry energy using the mass-radius relation of neutron stars. Eur. Phys. J. A 2014, 50, 40. [Google Scholar] [CrossRef]
- Drago, A.; Lavagno, A.; Pagliara, G.; Pigato, D. Early appearance of Δ isobars in neutron stars. Phys. Rev. C 2014, 90, 065809. [Google Scholar] [CrossRef]
- Cai, B.J.; Fattoyev, F.J.; Li, B.A.; Newton, W.G. Critical density and impact of Δ(1232) resonance formation in neutron stars. Phys. Rev. C 2015, 92, 015802. [Google Scholar] [CrossRef]
- Zhu, Z.Y.; Li, A.; Hu, J.N.; Sagawa, H. Δ(1232) effects in density-dependent relativistic hartree-fock theory and neutron stars. Phys. Rev. C 2016, 94, 045803. [Google Scholar] [CrossRef]
- Sahoo, H.S.; Mitra, G.; Mishra, R.; Panda, P.K.; Li, B.A. Neutron star matter with Δ isobars in a relativistic quark model. Phys. Rev. C 2018, 98, 045801. [Google Scholar] [CrossRef]
- Li, J.J.; Sedrakian, A.; Weber, F. Competition between delta isobars and hyperons and properties of compact stars. Phys. Lett. B 2018, 783, 234–240. [Google Scholar] [CrossRef]
- Li, J.J.; Sedrakian, A. Implications from GW170817 for Delta-isobar Admixed Hypernuclear Compact Stars. Astrophys. J. Lett. 2019, 874, L22. [Google Scholar] [CrossRef]
- Ribes, P.; Ramos, A.; Tolos, L.; Gonzalez-Boquera, C.; Centelles, M. Interplay between Δ Particles and Hyperons in Neutron Stars. Astrophys. J. 2019, 883, 168. [Google Scholar] [CrossRef]
- Raduta, A.R.; Oertel, M.; Sedrakian, A. Proto-neutron stars with heavy baryons and universal relations. Mon. Not. R. Astron. Soc. 2020, 499, 914–931. [Google Scholar] [CrossRef]
- Raduta, A.R. Δ-admixed neutron stars: Spinodal instabilities and dUrca processes. Phys. Lett. B 2021, 814, 136070. [Google Scholar] [CrossRef]
- Thapa, V.B.; Sinha, M.; Li, J.J.; Sedrakian, A. Massive Δ-resonance admixed hypernuclear stars with antikaon condensations. Phys. Rev. D 2021, 103, 063004. [Google Scholar] [CrossRef]
- Sen, D. Variation of the Δ baryon mass and hybrid star properties in static and rotating conditions. Phys. Rev. C 2021, 103, 045804. [Google Scholar] [CrossRef]
- Jiang, W.Z.; Li, B.-A.; Chen, L.W. Large-mass neutron stars with hyperonization. Astrophys. J. 2012, 756, 56. [Google Scholar] [CrossRef]
- Providência, C.; Fortin, M.; Pais, H.; Rabhi, A. Hyperonic stars and the nuclear symmetry energy. Front. Astron. Space Sci. 2019, 6, 13. [Google Scholar] [CrossRef]
- Vidaña, I. Hyperons: The strange ingredients of the nuclear equation of state. Proc. R. Soc. Lond. A 2018, 474, 20180145. [Google Scholar] [CrossRef]
- Choi, S.; Miyatsu, T.; Cheoun, M.K.; Saito, K. Constraints on Nuclear Saturation Properties from Terrestrial Experiments and Astrophysical Observations of Neutron Stars. Astrophys. J. 2021, 909, 156. [Google Scholar] [CrossRef]
- Fortin, M.; Raduta, A.R.; Avancini, S.; Providência, C. Thermal evolution of relativistic hyperonic compact stars with calibrated equations of state. Phys. Rev. D 2021, 103, 083004. [Google Scholar] [CrossRef]
- Özel, F.; Baym, G.; Güver, T. Astrophysical Measurement of the Equation of State of Neutron Star Matter. Phys. Rev. D 2010, 82, 101301. [Google Scholar] [CrossRef]
- Steiner, A.W.; Lattimer, J.M.; Brown, E.F. The Equation of State from Observed Masses and Radii of Neutron Stars. Astrophys. J. 2010, 722, 33. [Google Scholar] [CrossRef]
- Steiner, A.W.; Lattimer, J.M.; Brown, E.F. The Neutron Star Mass-Radius Relation and the Equation of State of Dense Matter. Astrophys. J. Lett. 2013, 765, L5. [Google Scholar] [CrossRef]
- Raithel, C.A.; Özel, F.; Psaltis, D. From Neutron Star Observables to the Equation of State. I. An Optimal Parametrization. Astrophys. J. 2016, 831, 44. [Google Scholar] [CrossRef]
- Raithel, C.A.; Özel, F.; Psaltis, D. From Neutron Star Observables to the Equation of State. II. Bayesian Inference of Equation of State Pressures. Astrophys. J. 2017, 844, 156. [Google Scholar] [CrossRef]
- Essick, R.; Tews, I.; Landry, P.; Reddy, S.; Holz, D.E. Direct Astrophysical Tests of Chiral Effective Field Theory at Supranuclear Densities. Phys. Rev. C 2020, 102, 055803. [Google Scholar] [CrossRef]
- Demorest, P.B.; Pennucci, T.; Ransom, S.M.; Roberts, M.S.; Hessels, J.W. A two-solar-mass neutron star measured using Shapiro delay. Nature 2010, 467, 1081–1083. [Google Scholar] [CrossRef]
- Antoniadis, J.; Freire, P.C.; Wex, N.; Tauris, T.M.; Lynch, R.S.; Van Kerkwijk, M.H.; Kramer, M.; Bassa, C.; Dhillon, V.S.; Driebe, T.; et al. A Massive Pulsar in a Compact Relativistic Binary. Science 2013, 340, 6131. [Google Scholar] [CrossRef] [PubMed]
- Cromartie, H.T.; Fonseca, E.; Ransom, S.M.; Demorest, P.B.; Arzoumanian, Z.; Blumer, H.; Brook, P.R.; DeCesar, M.E.; Dolch, T.; Ellis, J.A.; et al. Relativistic Shapiro delay measurements of an extremely massive millisecond pulsar. Nat. Astron. 2020, 4, 72–76. [Google Scholar] [CrossRef]
- Özel, F.; Psaltis, D.; Güver, T.; Baym, G.; Heinke, C.; Guillot, S. The Dense Matter Equation of State from Neutron Star Radius and Mass Measurements. Astrophys. J. 2016, 820, 28. [Google Scholar] [CrossRef]
- Bogdanov, S.; Heinke, C.O.; Özel, F.; Güver, T. Neutron Star Mass-Radius Constraints of the Quiescent Low-mass X-ray Binaries X7 and X5 in the Globular Cluster 47 Tuc. Astrophys. J. 2016, 831, 184. [Google Scholar] [CrossRef]
- Gendreau, K.; Arzoumanian, Z. Searching for a pulse. Nat. Astron. 2017, 1, 895. [Google Scholar] [CrossRef]
- Riley, T.E.; Watts, A.L.; Bogdanov, S.; Ray, P.S.; Ludlam, R.M.; Guillot, S.; Arzoumanian, Z.; Baker, C.L.; Bilous, A.V.; Chakrabarty, D.; et al. A NICER View of PSR J0030 + 0451: Millisecond Pulsar Parameter Estimation. Astrophys. J. Lett. 2019, 887, L21. [Google Scholar] [CrossRef]
- Miller, M.C.; Lamb, F.K.; Dittmann, A.J.; Bogdanov, S.; Arzoumanian, Z.; Gendreau, K.C.; Guillot, S.; Harding, A.K.; Ho, W.C.; Lattimer, J.M.; et al. PSR J0030 + 0451 Mass and Radius from NICER Data and Implications for the Properties of Neutron Star Matter. Astrophys. J. Lett. 2019, 887, L24. [Google Scholar] [CrossRef]
- Abbott, B.; Jawahar, S.; Lockerbie, N.; Tokmakov, K. (LIGO Scientific Collaboration and Virgo Collaboration). GW170817: Observation of Gravitational Waves from a Binary Neutron Star Inspiral. Phys. Rev. Lett. 2017, 119, 161101. [Google Scholar] [CrossRef]
- Abbott, B.; Jawahar, S.; Lockerbie, N.; Tokmakov, K. (LIGO Scientific Collaboration and Virgo Collaboration). GW190425: Observation of a Compact Binary Coalescence with Total Mass 3.4 M⊙. Astrophys. J. Lett. 2020, 892, L3. [Google Scholar] [CrossRef]
- Abbott, R.; Abbott, T.D.; Abraham, S.; Acernese, F.; Ackley, K.; Adams, A.; Adams, C.; Adhikari, R.X.; Adya, V.B.; Affeldt, C.; et al. Observation of Gravitational Waves from Two Neutron Star–Black Hole Coalescences. Astrophys. J. Lett. 2021, 915, L5. [Google Scholar] [CrossRef]
- Aasi, J.; Abbott, B.P.; Abbott, R.; Abbott, T.; Abernathy, M.R.; Ackley, K.; Adams, C.; Adams, T.; Addesso, P.; Adhikari, R.X.; et al. Advanced LIGO. Class. Quant. Grav. 2015, 32, 074001. [Google Scholar] [CrossRef]
- Acernese, F.A.; Agathos, M.; Agatsuma, K.; Aisa, D.; Allemandou, N.; Allocca, A.; Amarni, J.; Astone, P.; Balestri, G.; Ballardin, G.; et al. Advanced Virgo: A second-generation interferometric gravitational wave detector. Class. Quant. Grav. 2015, 32, 024001. [Google Scholar] [CrossRef]
- KAGRA Collaboration. KAGRA: 2.5 generation interferometric gravitational wave detector. Nat. Astron. 2019, 3, 35–40. [Google Scholar] [CrossRef]
- LeCun, Y.; Bengio, Y.; Hinton, G. Deep learning. Nature 2015, 521, 436–444. [Google Scholar] [CrossRef]
- Goodfellow, I.; Bengio, Y.; Courville, A. Deep Learning; MIT Press: Cambridge, MA, USA, 2016; Available online: https://www.deeplearningbook.org (accessed on 28 September 2021).
- He, K.; Zhang, X.; Ren, S.; Sun, J. Deep residual learning for image recognition. In Proceedings of the IEEE Conference on Computer Vision and Pattern Recognition (CVPR), Las Vegas, NV, USA, 27–30 June 2016; pp. 770–778. [Google Scholar]
- Young, T.; Hazarika, D.; Poria, S.; Cambria, E. Recent trends in deep learning based natural language processing. IEEE Comput. Intell. Mag. 2018, 13, 55–75. [Google Scholar] [CrossRef]
- Gabbard, H.; Williams, M.; Hayes, F.; Messenger, C. Matching Matched Filtering with Deep Networks for Gravitational-Wave Astronomy. Phys. Rev. Lett. 2018, 120, 141103. [Google Scholar] [CrossRef] [PubMed]
- George, D.; Huerta, E.A. Deep neural networks to enable real-time multimessenger astrophysics. Phys. Rev. D 2018, 97, 044039. [Google Scholar] [CrossRef]
- George, D.; Huerta, E.A. Deep Learning for real-time gravitational wave detection and parameter estimation: Results with Advanced LIGO data. Phys. Lett. B 2018, 778, 64. [Google Scholar] [CrossRef]
- Gebhard, T.D.; Kilbertus, N.; Harry, I.; Schölkopf, B. Convolutional neural networks: A magic bullet for gravitational-wave detection? Phys. Rev. D 2019, 100, 063015. [Google Scholar] [CrossRef]
- Wang, H.; Wu, S.; Cao, Z.; Liu, X.; Zhu, J.Y. Gravitational-wave signal recognition of LIGO data by deep learning. Phys. Rev. D 2020, 101, 104003. [Google Scholar] [CrossRef]
- Lin, Y.C.; Wu, J.H.P. Detection of gravitational waves using Bayesian neural networks. Phys. Rev. D 2021, 103, 063034. [Google Scholar] [CrossRef]
- Morales, M.D.; Antelis, J.M.; Moreno, C.; Nesterov, A.I. Deep Learning for Gravitational-Wave Data Analysis: A Resampling White-Box Approach. Sensors 2021, 21, 3174. [Google Scholar] [CrossRef]
- Xia, H.; Shao, L.; Zhao, J.; Cao, Z. Improved deep learning techniques in gravitational-wave data analysis. Phys. Rev. D 2021, 103, 024040. [Google Scholar] [CrossRef]
- Chua, A.J.K.; Vallisneri, M. Learning Bayesian Posteriors with Neural Networks for Gravitational-Wave Inference. Phys. Rev. Lett. 2020, 124, 041102. [Google Scholar] [CrossRef]
- Green, S.R.; Gair, J. Complete parameter inference for GW150914 using deep learning. Mach. Learn. Sci. Technol. 2021, 2, 03LT01. [Google Scholar] [CrossRef]
- Wei, W.; Huerta, E.A. Gravitational wave denoising of binary black hole mergers with deep learning. Phys. Lett. B 2020, 800, 135081. [Google Scholar] [CrossRef]
- Lecun, Y.; Bottou, L.; Bengio, Y.; Haffner, P. Gradient-based learning applied to document recognition. Proc. IEEE 1998, 86, 2278–2324. [Google Scholar] [CrossRef]
- Krastev, P.G. Real-time detection of gravitational waves from binary neutron stars using artificial neural networks. Phys. Lett. B 2020, 803, 135330. [Google Scholar] [CrossRef]
- Krastev, P.G.; Gill, K.; Villar, V.A.; Berger, E. Detection and parameter estimation of gravitational waves from binary neutron-star mergers in real LIGO data using deep learning. Phys. Lett. B 2021, 815, 136161. [Google Scholar] [CrossRef]
- Qiu, R.; Krastev, P.G.; Gill, K.; Berger, E. Deep learning detection and classification of gravitational waves from neutron star-black hole mergers. Phys. Lett. B 2023, 840, 137850. [Google Scholar] [CrossRef]
- Ferreira, M.; Providência, C. Unveiling the nuclear matter EoS from neutron star properties: A supervised machine learning approach. J. Cos. Astropart. Phys. 2021, 7, 11. [Google Scholar] [CrossRef]
- Morawski, F.; Bejger, M. Neural network reconstruction of the dense matter equation of state derived from the parameters of neutron stars. Astron. Astrophys. 2020, 642, A78. [Google Scholar] [CrossRef]
- Traversi, S.; Char, P. Structure of Quark Star: A Comparative Analysis of Bayesian Inference and Neural Network Based Modeling. Astrophys. J. 2020, 905, 9. [Google Scholar] [CrossRef]
- Fujimoto, Y.; Fukushima, K.; Murase, K. Mapping neutron star data to the equation of state using the deep neural network. Phys. Rev. D 2020, 101, 054016. [Google Scholar] [CrossRef]
- Ferreira, M.; Carvalho, V.; Providência, C. Extracting nuclear matter properties from the neutron star matter equation of state using deep neural networks. Phys. Rev. D 2022, 106, 103023. [Google Scholar] [CrossRef]
- Soma, S.; Wang, L.; Shi, S.; Stöcker, H.; Zhou, K. Neural network reconstruction of the dense matter equation of state from neutron star observables. JCAP 2022, 08, 071. [Google Scholar] [CrossRef]
- Krastev, P.G. Translating Neutron Star Observations to Nuclear Symmetry Energy via Deep Neural Networks. Galaxies 2022, 10, 16. [Google Scholar] [CrossRef]
- Vautherin, D.; Brink, D.M. Hartree-Fock Calculations with Skyrme’s Interaction. I. Spherical Nuclei. Phys. Rev. C 1972, 5, 626–647. [Google Scholar] [CrossRef]
- Quentin, P.; Flocard, H. Self-Consistent Calculations of Nuclear Properties with Phenomenological Effective Forces. Annu. Rev. Nucl. Part. Sci. 1978, 28, 523–594. [Google Scholar] [CrossRef]
- Boguta, J.; Bodmer, A.R. Relativistic calculation of nuclear matter and the nuclear surface. Nucl. Phys. A 1977, 292, 413–428. [Google Scholar] [CrossRef]
- Stone, J.R.; Reinhard, P.G. The Skyrme Interaction in finite nuclei and nuclear matter. Prog. Part. Nucl. Phys. 2007, 58, 587–657. [Google Scholar] [CrossRef]
- Machleidt, R.; Holinde, K.; Elster, C. The Bonn Meson Exchange Model for the Nucleon Nucleon Interaction. Phys. Rep. 1987, 149, 1–89. [Google Scholar] [CrossRef]
- Nagels, M.M.; Rijken, T.A.; de Swart, J.J. A Low-Energy Nucleon-Nucleon Potential from Regge Pole Theory. Phys. Rev. D 1978, 17, 768. [Google Scholar] [CrossRef]
- Weinberg, S. Nuclear forces from chiral lagrangians. Phys. Lett. B 1990, 251, 288–292. [Google Scholar] [CrossRef]
- Weinberg, S. Effective chiral lagrangians for nucleon-pion interactions and nuclear forces. Nucl. Phys. B 1991, 363, 3–18. [Google Scholar] [CrossRef]
- Epelbaum, E.; Hammer, H.W.; Meißner, U.G. Modern theory of nuclear forces. Rev. Mod. Phys. 2009, 81, 1773–1825. [Google Scholar] [CrossRef]
- Day, B.D. Elements of the Brueckner-Goldstone Theory of Nuclear Matter. Rev. Mod. Phys. 1967, 39, 719–744. [Google Scholar] [CrossRef]
- Brockmann, R.; Machleidt, R. Relativistic nuclear structure. I. Nuclear matter. Phys. Rev. C 1990, 42, 1965–1980. [Google Scholar] [CrossRef] [PubMed]
- Müther, H.; Sammarruca, F.; Ma, Z. Relativistic effects and three-nucleon forces in nuclear matter and nuclei. Int. J. Mod. Phys. E 2017, 26, 1730001. [Google Scholar] [CrossRef]
- Akmal, A.; Pandharipande, V.R.; Ravenhall, D.G. Equation of state of nucleon matter and neutron star structure. Phys. Rev. C 1998, 58, 1804–1828. [Google Scholar] [CrossRef]
- Wiringa, R.B.; Pieper, S.C.; Carlson, J.; Pandharipande, V.R. Quantum Monte Carlo calculations of A = 8 nuclei. Phys. Rev. C 2000, 62, 014001. [Google Scholar] [CrossRef]
- Gandolfi, S.; Illarionov, A.Y.; Schmidt, K.E.; Pederiva, F.; Fantoni, S. Quantum Monte Carlo calculation of the equation of state of neutron matter. Phys. Rev. C 2009, 79, 054005. [Google Scholar] [CrossRef]
- Kadanoff, L.; Baym, G. Quantum Statistical Mechanics; W.A. Benjamin Inc.: New York, NY, USA, 1962. [Google Scholar] [CrossRef]
- Bogner, S.K.; Furnstahl, R.J.; Schwenk, A. From low-momentum interactions to nuclear structure. Prog. Part. Nucl. Phys. 2010, 65, 94–147. [Google Scholar] [CrossRef]
- Vidaña, I.; Providência, C.; Polls, A.; Rios, A. Density dependence of the nuclear symmetry energy: A microscopic perspective. Phys. Rev. C 2009, 80, 045806. [Google Scholar] [CrossRef]
- Zhang, N.-B.; Li, B.-A.; Xu, J. Combined Constraints on the Equation of State of Dense Neutron-rich Matter from Terrestrial Nuclear Experiments and Observations of Neutron Stars. Astrophys. J. 2018, 859, 90. [Google Scholar] [CrossRef]
- Cai, B.J.; Li, B.A. Auxiliary Function Approach for Determining Symmetry Energy at Supra-saturation Densities. Phys. Rev. C 2021, 103, 054611. [Google Scholar] [CrossRef]
- Zhang, N.B.; Li, B.A. Extracting Nuclear Symmetry Energies at High Densities from Observations of Neutron Stars and Gravitational Waves. Eur. Phys. J. A 2019, 55, 39. [Google Scholar] [CrossRef]
- Xie, W.J.; Li, B.A. Bayesian Inference of High-density Nuclear Symmetry Energy from Radii of Canonical Neutron Stars. Astrophys. J. 2019, 883, 174. [Google Scholar] [CrossRef]
- Krastev, P.G.; Sammarruca, F. Neutron star properties and the equation of state of neutron-rich matter. Phys. Rev. C 2006, 74, 025808. [Google Scholar] [CrossRef]
- Pethick, C.J.; Ravenhall, D.G.; Lorenz, C.P. The inner boundary of a neutron-star crust. Nucl. Phys. A 1995, 584, 675. [Google Scholar] [CrossRef]
- Haensel, P.; Pichon, B. Experimental nuclear masses and the ground state of cold dense matter. Astron. Astrophys. 1994, 283, 313–318. [Google Scholar]
- Oppenheimer, J.R.; Volkoff, G.M. On Massive Neutron Cores. Phys. Rev. 1939, 55, 374. [Google Scholar] [CrossRef]
- Emmert-Streib, F.; Yang, Z.; Feng, H.; Tripathi, S.; Dehmer, M. An Introductory Review of Deep Learning for Prediction Models With Big Data. Front. Artif. Intell. 2020, 3, 4. [Google Scholar] [CrossRef] [PubMed]
- Neilsen, M.A. Neural Networks and Deep Learning; Determination Press: 2015. Available online: http://neuralnetworksanddeeplearning.com (accessed on 28 September 2021).
- Adhikari, D.; Albataineh, H.; Androic, D.; Aniol, K.; Armstrong, D.S.; Averett, T.; Gayoso, C.A.; Barcus, S.; Bellini, V.; Beminiwattha, R.S.; et al. Accurate Determination of the Neutron Skin Thickness of 208Pb through Parity-Violation in Electron Scattering. Phys. Rev. Lett. 2021, 126, 172502. [Google Scholar] [CrossRef]
- Abadi, M.; Agarwal, A.; Barham, P.; Brevdo, E.; Chen, Z.; Citro, C.; Corrado, G.S.; Davis, A.; Dean, J.; Dean, J.; et al. TensorFlow: Large-Scale Machine Learning on Heterogeneous Distributed Systems. 2015. Available online: https://www.tensorflow.org (accessed on 28 September 2021).
- Kingma, D.P.; Ba, J. Adam: A method for stochastic optimization. arXiv 2014, arXiv:1412.6980. [Google Scholar]
- Reddi, S.J.; Kale, S.; Kumar, S. On the convergence of Adam and beyond. arXiv 2019, arXiv:1904.09237. [Google Scholar]
- Typel, S.; Oertel, M.; Klähn, T.; Chatterjee, D.; Dexheimer, V.; Ishizuka, C.; Mancini, M.; Novak, J.; Pais, H.; Providência, C.; et al. CompOSE Reference Manual. Eur. Phys. J. A 2022, 58, 221. [Google Scholar] [CrossRef]
- Bombaci, I.; Logoteta, D. Equation of state of dense nuclear matter and neutron star structure from nuclear chiral interactions. Astron. Astrophys. 2018, 609, A128. [Google Scholar] [CrossRef]
- Alford, M.G.; Brodie, L.; Haber, A.; Tews, I. Relativistic mean-field theories for neutron-star physics based on chiral effective field theory. Phys. Rev. C 2022, 106, 5. [Google Scholar] [CrossRef]
- Gulminelli, F.; Raduta, A.R. Unified treatment of subsaturation stellar matter at zero and finite temperature. Phys. Rev. C 2015, 92, 055803. [Google Scholar] [CrossRef]
- Agrawal, B.K.; Shlomo, S.; Au, V.K. Nuclear matter incompressibility coefficient in relativistic and nonrelativistic microscopic models. Phys. Rev. C 2003, 68, 031304. [Google Scholar] [CrossRef]
- Margueron, J.; Hoffmann Casali, R.; Gulminelli, F. Equation of state for dense nucleonic matter from metamodeling. I. Foundational aspects. Phys. Rev. C 2018, 97, 025805. [Google Scholar] [CrossRef]
- Imam, S.M.A.; Patra, N.K.; Mondal, C.; Malik, T.; Agrawal, B.K. Bayesian reconstruction of nuclear matter parameters from the equation of state of neutron star matter. Phys. Rev. C 2022, 105, 015806. [Google Scholar] [CrossRef]
- Mondal, C.; Gulminelli, F. Can we decipher the composition of the core of a neutron star? Phys. Rev. D 2022, 105, 083016. [Google Scholar] [CrossRef]
- Essick, R.; Landry, P.; Schwenk, A.; Tews, I. Detailed examination of astrophysical constraints on the symmetry energy and the neutron skin of Pb208 with minimal modeling assumptions. Phys. Rev. C 2021, 104, 065804. [Google Scholar] [CrossRef]
- Mondal, C. Private communications.
- Perreault Levasseur, L.; Hezaveh, Y.D.; Wechsler, R.H. Uncertainties in Parameters Estimated with Neural Networks: Application to Strong Gravitational Lensing. Astrophys. J. Lett. 2017, 850, L7. [Google Scholar] [CrossRef]
- Kobyzev, I.; Prince, S.J.D.; Brubaker, M.A. Normalizing Flows: An Introduction and Review of Current Methods. IEEE Trans. Pattern Anal. Mach. Intell. 2021, 43, 3964–3979. [Google Scholar] [CrossRef]
- Dax, M.; Green, S.R.; Gair, J.; Macke, J.H.; Buonanno, A.; Schölkopf, B. Real-time gravitational-wave science with neural posterior estimation. arXiv 2021, arXiv:2106.12594. [Google Scholar] [CrossRef]
- Abbott, B.P.; Abbott, R.; Abbott, T.D.; Abraham, S.; Acernese, F.; Ackley, K.; Adams, C.; Adhikari, R.X.; Adya, V.B.; Affeldt, C.; et al. GWTC-1: A Gravitational-Wave Transient Catalog of Compact Binary Mergers Observed by LIGO and Virgo during the First and Second Observing Runs. Phys. Rev. X 2019, 9, 031040. [Google Scholar] [CrossRef]












| Layer | Activation | Size | |
|---|---|---|---|
| Input | – | 2 × 50 | |
| 1 | Flatten | – | 100 |
| 2 | Dense | ReLU | 500 |
| 3 | Dense | ReLU | 500 |
| 4 | Dense | ReLU | 500 |
| 5 | Dense | ReLU | 500 |
| 6 | Dense | ReLU | 500 |
| 7 | Dense | Linear | 100 |
| 8 | Reshape | – | 2 × 50 |
| Output | – | 2 × 50 |
| Layer | Activation | Size | |
|---|---|---|---|
| Input | – | 50 | |
| 1 | Dense | ReLU | 200 |
| 2 | Dense | ReLU | 200 |
| 3 | Dense | ReLU | 200 |
| 4 | Dense | ReLU | 100 |
| 5 | Dense | ReLU | 50 |
| Output | – | 5 |
| −0.22 | 2.77 | |
| 0.79 | 4.09 | |
| L | 0.23 | 0.49 |
| 0.67 | 3.37 | |
| 0.57 | 5.34 |
| Exact | Predicted | MAE | |||
|---|---|---|---|---|---|
| 259.19 | 256.49 | 292.18 | 55.66 | 50.50 | |
| −78.38 | −73.22 | −69.91 | 69.05 | 56.66 | |
| L | 58.90 | 58.99 | 71.38 | 12.79 | 13.35 |
| −225.75 | −223.30 | −227.52 | 51.41 | 42.23 | |
| 520.61 | 516.33 | 531.51 | 226.82 | 179.65 |
Disclaimer/Publisher’s Note: The statements, opinions and data contained in all publications are solely those of the individual author(s) and contributor(s) and not of MDPI and/or the editor(s). MDPI and/or the editor(s) disclaim responsibility for any injury to people or property resulting from any ideas, methods, instructions or products referred to in the content. |
© 2023 by the author. Licensee MDPI, Basel, Switzerland. This article is an open access article distributed under the terms and conditions of the Creative Commons Attribution (CC BY) license (https://creativecommons.org/licenses/by/4.0/).
Share and Cite
Krastev, P.G. A Deep Learning Approach to Extracting Nuclear Matter Properties from Neutron Star Observations. Symmetry 2023, 15, 1123. https://doi.org/10.3390/sym15051123
Krastev PG. A Deep Learning Approach to Extracting Nuclear Matter Properties from Neutron Star Observations. Symmetry. 2023; 15(5):1123. https://doi.org/10.3390/sym15051123
Chicago/Turabian StyleKrastev, Plamen G. 2023. "A Deep Learning Approach to Extracting Nuclear Matter Properties from Neutron Star Observations" Symmetry 15, no. 5: 1123. https://doi.org/10.3390/sym15051123
APA StyleKrastev, P. G. (2023). A Deep Learning Approach to Extracting Nuclear Matter Properties from Neutron Star Observations. Symmetry, 15(5), 1123. https://doi.org/10.3390/sym15051123

