Field Mixing in Curved Spacetime and Dark Matter
Abstract
1. Introduction
2. Mass Fields in Curved Space
2.1. Field Expansions
2.2. Mode Functions in Flat FRW
3. The Flavor Fields
3.1. Covariance of the Flavor Representation
3.2. Flavor Oscillation Formulae
- the one particle-states and are eigenstates, respectively, of and with eigenvalue 1;
- states at different surface argument are generally eigenstates . The expectation values measure “how much” of flavor , as defined at surface , is in the state of flavor , as defined at surface .
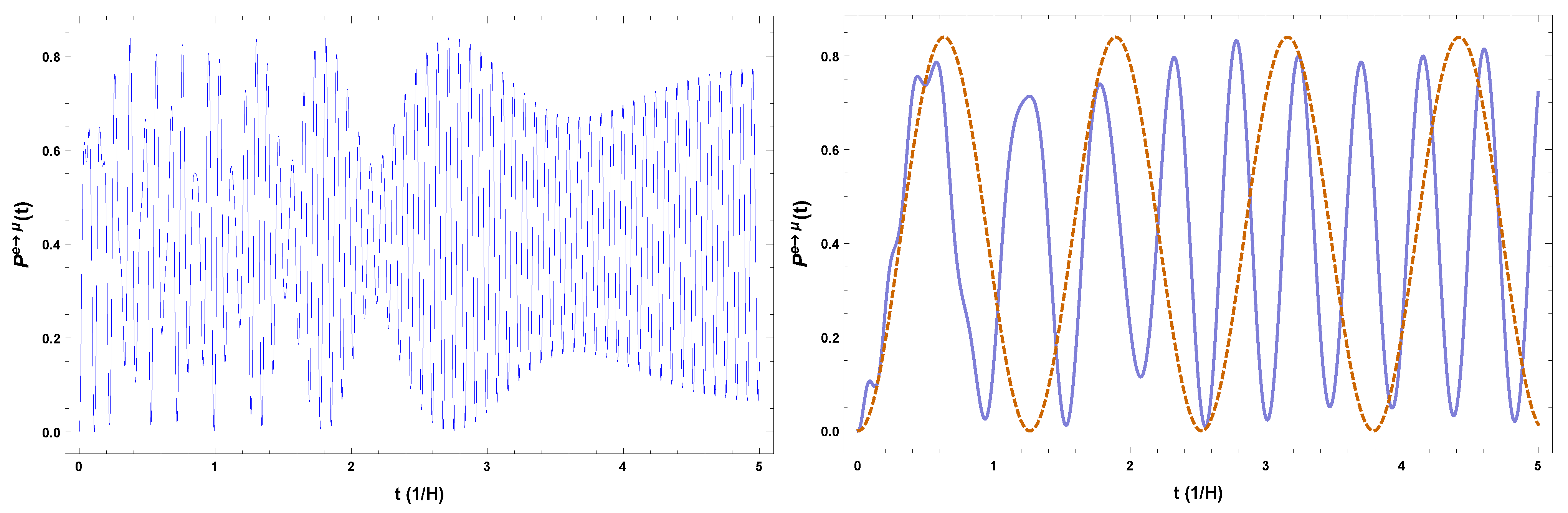
3.3. Neutrino Oscillations in Cosmological Metrics
3.4. Neutrino Oscillations in Asymptotically Flat Manifolds
3.5. Boson Oscillations in Cosmological Metrics
4. The Flavor Vacuum in Curved Space
4.1. Auxiliary Tensor
4.2. Properties of the VEV
- ●
- Homogeneity: The tensor depends only upon conformal time and not on the spatial coordinates
- ●
- Diagonality: All the off-diagonal components of vanish. In the Appendix C, we have proven thatfor any and for some functions of the magnitude p. From Equation (138), we havewith a function of the magnitude p alone. Clearly, the integral vanishes by symmetry, since is integrated over the even range . Similarlyvanishes for .
- ●
- Isotropy: A special case of Equation (148) is whenwhere the second equality stems from symmetry. Consider that is the same for all the spatial indices
- ●
- Bianchi identity: The VEV satisfies the Bianchi identity
4.3. De Sitter Evolution: Equation of State
4.4. De Sitter Evolution: Energy Density
5. Conclusions
Author Contributions
Funding
Data Availability Statement
Conflicts of Interest
Appendix A. Helicity Eigenspinors
Appendix B. The Mixing Generator
Appendix C. The Auxiliary Tensor
Appendix D. Bianchi Identity
- ●
- () For , with Equation (A37) isSince is diagonal, this simplifies towith no sum over repeated indices and summations denoted explicitly. The first term on the right hand side of Equation (A39) vanishes, because depends only on . All the Christoffel symbols appearing in the second and third term are zero (see (27)), so that overall
- ●
- () The proof for is slightly more involved. We first write out Equation (A37) explicitlywhere we have made use of the diagonality of and of Equation (27). We conveniently rephrase Equation (A41) in terms of the covariant component and of the trace by means of Equation (151)Now, each of the terms on the right hand side is, according to Equation (138), the momentum integral of the auxiliary tensor components and multiplied by some coefficients. These coefficients are independent of (they only depend on the arbitrary fixed time , see (138)) and, most importantly, are the same for all the components of . Then, in order to prove that Equation (A42) vanishes, it suffices to show thatfor each . For this purpose, we shall use the second order mode equationsThe first coincides with Equation (36) and the second is similarly a direct consequence of the system (35). Let us start with . Using the expressions derived in the Appendix C, we findIn the fourth step, we have employed Equations (A44) and their complex conjugates. Considering that (see the Appendix C) and , the same equation holds for the components of . LikewiseIn the fourth step, we have made use of the complex conjugates of Equations (A44). Finally, recalling properties and , the same equation holds for the components of . This concludes the proof for .
References
- Kabir, P.K. The CP Puzzle; Academic Press: London, UK, 1968. [Google Scholar]
- Nachtmann, O. Elementary Particle Physics: Concepts and Phenomena; Springer: Berlin/Heidelberg, Germany, 1990. [Google Scholar]
- Lenz, A.; Nierste, U. Theoretical update of mixing. J. High Energy Phys. 2007, 6, 72. [Google Scholar] [CrossRef]
- Fidecaro, M.; Gerber, H.J. The fundamental symmetries in the neutral kaon system—A pedagogical choice. Rep. Prog. Phys. 2006, 69, 1713. [Google Scholar] [CrossRef]
- Raffelt, G.; Stodolsky, L. Mixing of the photon with low-mass particles. Phys. Rev. D 1988, 37, 1237. [Google Scholar] [CrossRef] [PubMed]
- Leroy, M.; Chianese, M.; Edwards, T.D.P.; Weniger, C. Radio signal of axion-photon conversion in neutron stars: A ray tracing analysis. Phys. Rev. D 2020, 101, 123003. [Google Scholar] [CrossRef]
- Carenza, P.; Evoli, C.; Giannotti, M.; Mirizzi, A.; Montanino, D. Turbulent axion-photon conversions in the Milky Way. Phys. Rev. D 2021, 104, 023003. [Google Scholar] [CrossRef]
- Fouché, M.; Robilliard, C.; Faure, S.; Rizzo, C.; Mauchain, J.; Nardone, M.; Battesti, R.; Martin, L.; Sautivet, A.-M.; Paillard, J.-L.; et al. Search for photon oscillations into massive particles. Phys. Rev. D 2008, 78, 032013. [Google Scholar] [CrossRef]
- Capolupo, A.; Martino, I.D.; Lambiase, G.; Stabile, A. Axion-photon mixing in quantum field theory and vacuum energy. Phys. Lett. B 2019, 790, 427–435. [Google Scholar] [CrossRef]
- Bilenky, S.M.; Pontecorvo, B. Lepton mixing and neutrino oscillations. Phys. Rep. 1978, 41, 225. [Google Scholar] [CrossRef]
- Bilenky, S.M.; Petcov, S.T. Massive neutrinos and neutrino oscillations. Rev. Mod. Phys. 1987, 59, 671. [Google Scholar] [CrossRef]
- Aad, G.; Abajyan, T.; Abbott, B.; Abdallah, J.; Abdel Khalek, S.; Abdelalim, A.A.; Abdinov, O.; Aben, R.; Abi, B.; Abolins, M.; et al. Observation of a new particle in the search for the Standard Model Higgs boson with the ATLAS detector at the LHC. Phys. Lett. B 2012, 716.1, 1–29. [Google Scholar] [CrossRef]
- Fukuda, Y.; Hayakawa, T.; Ichihara, E.; Inoue, K.; Ishihara, K.; Ishino, H.; Itow, Y.; Kajita, T.; Kameda, J.; Kasuga, S.; et al. Evidence for Oscillation of Atmospheric Neutrinos. Phys. Rev. Lett. 1998, 81, 1562–1567. [Google Scholar] [CrossRef]
- Blasone, M.; Vitiello, G. Quantum Field theory of fermion mixing. Ann. Phys. 1995, 244, 283–311. [Google Scholar] [CrossRef]
- Blasone, M.; Capolupo, A.; Vitiello, G. Quantum field theory of three flavor neutrino mixing and oscillations with CP violation. Phys. Rev. D 2002, 66, 025033. [Google Scholar] [CrossRef]
- Capolupo, A.; Capozziello, S.; Vitiello, G. Neutrino mixing as a source of dark energy. Phys. Lett. A 2007, 363, 53. [Google Scholar] [CrossRef]
- Fujii, K.; Habe, C.; Yabuki, T. Note on the field theory of neutrino mixing. Phys. Rev. D 1999, 59, 113003. [Google Scholar] [CrossRef]
- Hannabuss, K.C.; Latimer, D.C. The quantum field theory of fermion mixing. J. Phys. A 2000, 33, 1369. [Google Scholar] [CrossRef]
- Blasone, M.; Capolupo, A.; Romei, O.; Vitiello, G. Quantum field theory of boson mixing. Phys. Rev. D 2001, 63, 125015. [Google Scholar] [CrossRef]
- Alfinito, E.; Blasone, M.; Iorio, A.; Vitiello, G. Squeezed Neutrino Oscillations in Quantum Field Theory. Phys. Lett. B 1995, 362, 91. [Google Scholar] [CrossRef]
- Grossman, Y.; Lipkin, H.J. Flavor oscillations from a spatially localized source: A simple general treatment. Phys. Rev. D 1997, 55, 2760. [Google Scholar] [CrossRef]
- Piriz, D.; Roy, M.; Wudka, J. Neutrino oscillations in strong gravitational fields. Phys. Rev. D 1996, 54, 1587. [Google Scholar] [CrossRef]
- Cardall, C.Y.; Fuller, G.M. Neutrino oscillations in curved spacetime: A heuristic treatment. Phys. Rev. D 1997, 55, 7960. [Google Scholar] [CrossRef]
- Buoninfante, L.; Luciano, G.G.; Petruzziello, L.; Smaldone, L. Neutrino oscillations in extended theories of gravity. Phys. Rev. D 2020, 101, 024016. [Google Scholar] [CrossRef]
- Capolupo, A.; Giampaolo, S.M.; Quaranta, A. Beyond the MSW effect: Neutrinos in a dense medium. Phys. Lett. B 2021, 820, 136489. [Google Scholar] [CrossRef]
- Luciano, G.G. On the flavor/mass dichotomy for mixed neutrinos: A phenomenologically motivated analysis based on lepton charge conservation in neutron decay. EPJ Plus 2023, 138, 83. [Google Scholar] [CrossRef]
- Ellis, J. Physics Beyond the Standard Model. Nucl. Phys. A 2009, 827, 187c–198c. [Google Scholar] [CrossRef]
- Georgi, H.; Glashow, S.L. Unity of All Elementary-Particle Forces. Phys. Rev. Lett. 1974, 32, 438–441. [Google Scholar] [CrossRef]
- Pati, J.C.; Salam, A. Lepton number as the fourth “color”. Phys. Rev. D 1974, 10, 275–289. [Google Scholar] [CrossRef]
- Wess, J.; Zumino, B. Supergauge transformations in four dimensions. Nucl. Phys. B 1974, 70, 39–50. [Google Scholar] [CrossRef]
- Dine, M. Supersymmetry and String Theory, 2nd ed.; Cambridge University Press: Cambridge, UK, 2015. [Google Scholar]
- Capolupo, A.; Lambiase, G.; Quaranta, A. Muon g − 2 anomaly and non-locality. Phys. Lett. B 2022, 829, 137128. [Google Scholar] [CrossRef]
- Bilenky, S.M.; Hošek, J.; Petcov, S.T. On the oscillations of neutrinos with Dirac and Majorana masses. Phys. Lett. B 1980, 94B, 4. [Google Scholar] [CrossRef]
- Capolupo, A.; Giampaolo, S.M.; Hiesmayr, B.C.; Lambiase, G.; Quaranta, A. On the geometric phase for Majorana and Dirac neutrinos. J. Phys. G 2023, 50, 025001. [Google Scholar] [CrossRef]
- Capolupo, A.; Giampaolo, S.M.; Quaranta, A. Testing CPT violation, entanglement and gravitational interactions in particle mixing with trapped ions. Eur. Phys. J. C 2021, 81, 410. [Google Scholar] [CrossRef]
- Peccei, R.D.; Quinn, H.R. Constraints imposed by CP conservation in the presence of pseudoparticles. Phys. Rev. D 1977, 16, 1791–1797. [Google Scholar] [CrossRef]
- Wilczek, F. Problem of Strong P and T Invariance in the Presence of Instantons. Phys. Rev. Lett. 1978, 40, 279–282. [Google Scholar] [CrossRef]
- Raffelt, G. Stars as Laboratories for Fundamental Physics; University of Chicago Press: Chicago, IL, USA, 1996. [Google Scholar]
- Raffelt, G.G. Astrophysical axion bounds. In Axions, Lecture Notes in Physics; Springer: Berlin/Heidelberg, Germany, 2008; Volume 741, pp. 51–71. [Google Scholar]
- De Martino, I.; Broadhurst, T.; Tye, S.H.H.; Chiueh, T.; Schive, H.Y.; Lazkoz, R. Recognizing Axionic Dark Matter by Compton and de Broglie Scale Modulation of Pulsar Timing. Phys. Rev. Lett. 2017, 119, 221103. [Google Scholar] [CrossRef]
- Arik, M.; Aune, S.; Barth, K.; Belov, A.; Borghi, S.; Brauninger, H.; Cantatore, G.; Carmona, J.M.; Cetin, S.A.; Collar, J.I.; et al. Search for Sub-eV Mass Solar Axions by the CERN Axion Solar Telescope with 3 He Buffer Gas. Phys. Rev. Lett. 2011, 107, 261302. [Google Scholar] [CrossRef]
- Capolupo, A.; Lambiase, G.; Quaranta, A.; Giampaolo, S.M. Probing axion mediated fermion-fermion interaction by means of entanglement. Phys. Lett. B 2020, 804, 135407. [Google Scholar] [CrossRef]
- Capolupo, A.; Giampaolo, S.M.; Quaranta, A. Neutron interferometry, fifth force and axion like particles. Eur. Phys. J. C 2021, 81, 1116. [Google Scholar] [CrossRef]
- Buchmuller, W. Neutrinos, Grand Unification and Leptogenesis. arXiv 2002, arXiv:hep-ph/0204288v2. [Google Scholar]
- Tanabashi, M.; Hagiwara, K.; Hikasa, K.; Nakamura, K.; Sumino, Y.; Takahashi, F.; Tanaka, J.; Agashe, K.; Aielli, G.; Amsler, C.; et al. Neutrinos in Cosmology. Phys. Rev. D 2018, 98, 030001. [Google Scholar] [CrossRef]
- Buchmüller, W.; Peccei, R.D.; Yanagida, T. Leptogenesis as the origin of matter. Ann. Rev. Nucl. Part. Sci. 2005, 55, 311–355. [Google Scholar] [CrossRef]
- Abada, A.; Arcadi, G.; Domcke, V.; Lucente, M. Low-scale leptogenesis with three heavy neutrinos. JCAP 2017, 12, 024. [Google Scholar] [CrossRef]
- Kaplan, D.B.; Nelson, A.E.; Weiner, N. Neutrino Oscillations as a Probe of Dark Energy. Phys. Rev. Lett. 2004, 93, 091801. [Google Scholar] [CrossRef] [PubMed]
- Fardon, R.; Nelson, A.E.; Weiner, N. Dark energy from mass varying neutrinos. JCAP 2004, 10, 005. [Google Scholar] [CrossRef]
- Khalifeh, A.R.; Jimenez, R. Using neutrino oscillations to measure H0. Phys. Dark Univ. 2022, 37, 101063. [Google Scholar] [CrossRef]
- Khalifeh, A.R.; Jimenez, R. Distinguishing Dark Energy models with neutrino oscillations. Phys. Dark Univ. 2021, 34, 100897. [Google Scholar] [CrossRef]
- Birrell, N.D.; Davies, P.C. Quantum Fields in Curved Space; Cambridge University Press: Cambridge, UK, 1982. [Google Scholar]
- Parker, L.; Toms, D. Quantum Field Theory in Curved Spacetime: Quantized Fields and Gravity; Cambridge University Press: Cambridge, UK, 2009. [Google Scholar]
- Wald, R. Quantum Field Theory in Curved Spacetime and Black Hole Thermodynamics. In Chicago Lectures in Physics; The University of Chicago Press: Chicago, IL, USA, 1994; ISBN 9780226870274. [Google Scholar]
- Parker, L. Quantized Fields and Particle Creation in Expanding Universes. I. Phys. Rev. 1969, 183, 1057. [Google Scholar] [CrossRef]
- Parker, L. Quantized Fields and Particle Creation in Expanding Universes. II. Phys. Rev. D 1971, 3, 346. [Google Scholar] [CrossRef]
- Hawking, S.W. Particle creation by black holes. Commun. Math. Phys. 1975, 43, 199–220. [Google Scholar] [CrossRef]
- Kerner, R.; Mann, R.B. Fermions tunnelling from black holes. Class. Quantum Gravity 2008, 25, 095014. [Google Scholar] [CrossRef]
- Wald, R. The back reaction effect in particle creation in curved spacetime. Commun. Math. Phys. 1977, 54, 1–19. [Google Scholar] [CrossRef]
- Israel, W. Thermo-field dynamics of black holes. Phys. Lett. A 1976, 57, 107–110. [Google Scholar] [CrossRef]
- Capolupo, A.; Lambiase, G.; Quaranta, A. Neutrinos in curved spacetime: Particle mixing and flavor oscillations. Phys. Rev. D 2020, 101, 095022. [Google Scholar] [CrossRef]
- Capolupo, A.; Carloni, S.; Quaranta, A. Quantum flavor vacuum in the expanding universe: A possible candidate for cosmological dark matter? Phys. Rev. D 2022, 105, 105013. [Google Scholar] [CrossRef]
- Capolupo, A.; Quaranta, A.; Setaro, P.A. Boson mixing and flavor oscillations in curved spacetime. Phys. Rev. D 2022, 106, 043013. [Google Scholar] [CrossRef]
- Trimble, V. Existence and Nature of Dark Matter in the Universe. Annu. Rev. Astron. Astrophys. 1987, 25, 425–472. [Google Scholar] [CrossRef]
- Corbelli, E.; Salucci, P. The extended rotation curve and the dark matter halo of M33. Mon. Not. R. Astron. Soc. 2000, 311, 441–447. [Google Scholar] [CrossRef]
- Rubin, V.C.; Ford, W.K., Jr. Rotation of the Andromeda Nebula from a Spectroscopic Survey of Emission Regions. Astrophys. J. 1970, 159, 379. [Google Scholar] [CrossRef]
- Rubin, V.C.; Ford, W.K., Jr.; Thonnard, N. Rotational properties of 21 SC galaxies with a large range of luminosities and radii, from NGC 4605 (R = 4 kpc) to UGC 2885 (R = 122 kpc). Astrophys. J. 1980, 238, 471–487. [Google Scholar] [CrossRef]
- Salucci, P.; Esposito, G.; Lambiase, G.; Battista, E.; Benetti, M.; Bini, D.; Boco, L.; Sharma, G.; Bozza, V.; Buoninfante, L.; et al. Einstein, Planck and Vera Rubin: Relevant Encounters between the Cosmological and the Quantum Worlds. Front. Phys. 2021, 8, 2020. [Google Scholar] [CrossRef]
- Clowe, D.; Maruša, B.; Gonzalez, A.H.; Markevitch, M.; Randall, S.W.; Jones, C.; Zaritsky, D. A Direct Empirical Proof of the Existence of Dark Matter. Astrophys. J. 2006, 649, 2. [Google Scholar] [CrossRef]
- Mustafa, G.; Maurya, S.K.; Ray, S. On the Possibility of Generalized Wormhole Formation in the Galactic Halo Due to Dark Matter Using the Observational Data within the Matter Coupling Gravity Formalism. Astrophys. J. 2022, 941, 170. [Google Scholar] [CrossRef]
- Mustafa, G.; Hussain, I.; Atamurotov, F.; Liu, W.-M. Imprints of dark matter on wormhole geometry in modified teleparallel gravity. Eur. Phys. J. Plus 2023, 138, 166. [Google Scholar] [CrossRef]
- Aghanim, N.; Akrami, Y.; Ashdown, M.; Aumont, J.; Baccigalupi, C.; Ballardini, M.; Banday, A.J.; Barreiro, R.B.; Bartolo, N.; Basak, S.; et al. Planck 2018 results. Astron. Astrophys. 2020, 641, A6. [Google Scholar]
- Perivolaropoulos, L.; Skara, F. Challenges for ΛCDM: An update. arXiv 2021, arXiv:2105.05208. [Google Scholar] [CrossRef]
- Clesse, S.; Garcia-Bellido, J. Seven Hints for Primordial Black Hole Dark Matter. Phys. Dark Univ. 2018, 22, 137–146. [Google Scholar] [CrossRef]
- Capolupo, A. Dark Matter and Dark Energy Induced by Condensates. Adv. High Energy Phys. 2016, 10, 8089142. [Google Scholar] [CrossRef]
- Capolupo, A.; Giampaolo, S.M.; Lambiase, G.; Quaranta, A. Probing quantum field theory particle mixing and dark-matter-like effects with Rydberg atoms. Eur. Phys. J. C 2020, 80, 423. [Google Scholar] [CrossRef]
- Capolupo, A.; Quaranta, A. Neutrino capture on tritium as a probe of flavor vacuum condensate and dark matter. Phys. Lett. B 2023, 839, 137776. [Google Scholar] [CrossRef]
- Abramowitz, M.; Stegun, I.A. Handbook of Mathematical Functions; Dover Publications Inc.: New York, NY, USA, 1965; ISBN 9780486612720. [Google Scholar]
- Barut, A.O.; Duru, H. Exact solutions of the Dirac equation in spatially flat Robertson-Walker space-times. Phys. Rev. D 1987, 36, 3705. [Google Scholar] [CrossRef]
- Thaller, B. Advanced Visual Quantum Mechanics; Springer: New York, NY, USA, 2005. [Google Scholar] [CrossRef]
- Viel, M.; Lesgourgues, J.; Haehnhelt, M.G.; Matarrese, S.; Riotto, A. Constraining warm dark matter candidates including sterile neutrinos and light gravitinos with WMAP and the Lyman-α forest. Phys. Rev. D 2005, 71, 063534. [Google Scholar] [CrossRef]
- Arbey, A.; Mahmoudi, F. Dark matter and the early Universe: A review. Prog. Part. Nucl. Phys. 2021, 119, 103865. [Google Scholar] [CrossRef]
- Fardon, R.; Nelson, A.E.; Weiner, N. Supersymmetric theories of neutrino dark energy. J. High Energy Phys. 2006, 42, 1–19. [Google Scholar] [CrossRef]
- Lyth, D.H.; Riotto, A. Particle physics models of inflation and the cosmological density perturbation. Phys. Rep. 1999, 314, 1–146. [Google Scholar] [CrossRef]





Disclaimer/Publisher’s Note: The statements, opinions and data contained in all publications are solely those of the individual author(s) and contributor(s) and not of MDPI and/or the editor(s). MDPI and/or the editor(s) disclaim responsibility for any injury to people or property resulting from any ideas, methods, instructions or products referred to in the content. |
© 2023 by the authors. Licensee MDPI, Basel, Switzerland. This article is an open access article distributed under the terms and conditions of the Creative Commons Attribution (CC BY) license (https://creativecommons.org/licenses/by/4.0/).
Share and Cite
Capolupo, A.; Quaranta, A.; Serao, R. Field Mixing in Curved Spacetime and Dark Matter. Symmetry 2023, 15, 807. https://doi.org/10.3390/sym15040807
Capolupo A, Quaranta A, Serao R. Field Mixing in Curved Spacetime and Dark Matter. Symmetry. 2023; 15(4):807. https://doi.org/10.3390/sym15040807
Chicago/Turabian StyleCapolupo, Antonio, Aniello Quaranta, and Raoul Serao. 2023. "Field Mixing in Curved Spacetime and Dark Matter" Symmetry 15, no. 4: 807. https://doi.org/10.3390/sym15040807
APA StyleCapolupo, A., Quaranta, A., & Serao, R. (2023). Field Mixing in Curved Spacetime and Dark Matter. Symmetry, 15(4), 807. https://doi.org/10.3390/sym15040807

