Next Article in Journal
Ultrafast Synthesis of Mo2C-Based Catalyst by Joule Heating towards Electrocatalytic Hydrogen Evolution Reaction
Previous Article in Journal
Chiral Symmetry Breaking and the Masses of Hadrons: A Review
 
 
Font Type:
Arial Georgia Verdana
Font Size:
Aa Aa Aa
Line Spacing:
Column Width:
Background:
Article

Design and Analysis of a Wheel−Leg Hybrid Robot with Passive Transformable Wheels

School of Mechanical Engineering, Hebei University of Technology, Tianjin 300401, China
*
Authors to whom correspondence should be addressed.
Symmetry 2023, 15(4), 800; https://doi.org/10.3390/sym15040800
Submission received: 22 February 2023 / Revised: 20 March 2023 / Accepted: 23 March 2023 / Published: 25 March 2023

Abstract

This paper proposes a novel wheel−leg hybrid robot that can be applied on both flat and rugged terrains, it utilizes two passive transformable symmetrical wheels that combine the stability of the circular wheel and the obstacle climbing ability of the legged wheel. To minimize the number of actuators, the transformation process of the wheel is designed to be triggered passively when in contact with the obstacles. A new triggering mechanism is employed to eliminate the adverse effect of the robot’s weight on the transformation torque. The parameters of the wheel are optimized to maximize the climbing ability in low-friction conditions. The robot’s body length and angular velocity are also tuned based on the dynamic model during the obstacle climbing process. The simulation experiment results show that the robot can switch modes stably on terrain with a friction coefficient as low as 0.2, and can climb over an obstacle 3.9 times as tall as its wheel radius.

1. Introduction

Small mobile robots can assist or replace humans in tasks such as detection, reconnaissance, search, and rescue in narrow, dangerous, and complex environments, and have broad application prospects in the fields of industrial inspection, security patrols, and emergency rescue [1,2,3,4]. Currently, wheeled robots are the most common method of locomotion because of their simple mechanical structure and excellent maneuverability [5]. However, it is difficult for wheeled robots to climb over obstacles higher than their wheel radius, which limits their application in unstructured environments.
In order to improve the obstacle climbing ability of wheeled robots, the concept of a legged-wheel robot was proposed, inspired by bionics. This wheel is rimless and has several spokes, and it is deformed from a circular wheel. Several different types of such legged-wheel robots have been developed. For example, RHex series robots use six single-spoke semicircular legged wheels, and through the design of the step crossing gait, this enables the robot to cross a step with a height more than twice the leg length [6,7]. The hexapod robot Whegs and the quadruped robot Mini Whegs adopt three long spokes for each legged wheel, and can climb obstacles 1.5 times as tall as their wheel radius [8,9,10]. The four-spoke structure hexapod robot PROMPT and the five-spoke structure quadruped robot ASGARD have great potential in unstructured terrain, although the obstacle climbing ability is reduced compared with the robot with a three-spoke structure [11,12]. IMPASS has two six-spoke rimless wheels, and the independently actuated spokes can extend and retract radially, allowing it to step over an obstacle and conform to the terrain [13]. These kinds of legged-wheel robots have better obstacle climbing ability. However, the change in wheel radius caused by the rimless structure will lead to vertical oscillation of the center of mass, which further affects the stability of the robot’s locomotion.
To meet the various terrain requirements for the robot’s mobility, stability, and obstacle climbing ability, a transformable wheel−leg hybrid robot has been suggested, which can actively or passively transform circular wheels into legged wheels through a transformation mechanism, so it can move efficiently on flat terrain at high speed in wheel mode and cross obstacles on rough terrain in leg mode. For example, Quattroped uses a wheel−leg switching mechanism that directly folds the circular rim into a single-spoke semicircular leg along the radial direction, but it cannot be transformed during the travel process [14]. TurboQuad controls a pinion-and-rack mechanism that extends two identical half-circular rims into double-spoke semicircular legs in the radial direction, which can be operated while the robot is in motion [15]. A transformable wheel−leg mobile robot uses an offset slider−crank mechanism to open the folded three-spoke legs through a steering gear, thereby allowing it to realize the transformation between the wheel and leg mode [16]. Origami wheel transformer, a deformable wheel-legged robot based on origami, switches the motion mode by actively controlling the folding degree of the wheel to spread its spokes [17]. A transformable wheel is equipped with three retractable legs actuated by soft pneumatic actuators inside the wheel. Benefiting from the compressibility of gas, it can switch motion mode even under high loads [18]. A transformable wheel robot is composed of five-spoke legs for each wheel, four legs are driven by a slider−crank mechanism, and the other is passively connected by an elastic band, which significantly reduces the driving force required for transformation [19]. Land Devil Ray is designed to be transformed passively when contacting the obstacles or actively by the electromagnetic clutch mechanism. As the influence of the load on the transformation moment is not considered, the friction requirements between the wheel and the contact surface become relatively high for passive transformation [20]. The wheel transformer relies on external friction to complete the transformation from a circular wheel to a three-spoke legged wheel without additional actuators, but the transformation process requires one triggering leg to be in contact with obstacles, which will reduce the real-time performance [21]. α-WaLTR has four passively transformable wheels, enabling the robot to traverse various terrains, obstacles, and stairs while retaining simplicity in the primary control and operation principles of conventional wheeled robots [22]. These active transformable wheels require actuators to switch between the two modes. As a result, the structure and the control strategy of the robot become complicated, and the manufacturing cost increases. However, the transformation process of the passive transformable wheel is triggered passively, which eliminates the need for additional actuators; this will make robots have a smaller size and less energy consumption. Thus, it is beneficial to the miniaturization of robots and is an important development direction for small mobile robots.
Therefore, this paper proposes a novel wheel−leg hybrid robot with passive transformable wheels. It has the advantages of both circular and legged wheels. Specifically, it retains a circular configuration when driving on flat terrain. When it encounters an obstacle, the wheel transforms into a legged wheel with three-spoke legs. The change from the circular to the legged configuration is completed using only the friction between the wheel and the obstacle, and the reverse process relies on the elastic potential energy stored in the transformation mechanism, thus the entire transformation process does not require additional actuators.
The structure of this paper is as follows. Section 2 introduces the design of the passive transformable wheel in detail. Section 3 optimizes the design parameters of the wheel for a better performance. Section 4 presents the wheel−leg hybrid robot based on transformable wheels, and tunes its design parameters to achieve stable climbing. On this basis, the simulation experiments are conducted in Section 5 to verify the transformation ability and obstacle climbing ability of the robot. Section 6 draws a conclusion.

2. Design of Transformable Wheel

2.1. Component Design for Transformable Wheel

Based on the passive deformation characteristics of elastic elements, a new type of transformable wheel is proposed in this paper. As shown in Figure 1a, the wheel is mainly composed of a hub, a drive shaft, a cross bar, a three-spoke bar, swing legs, pressure springs, and tension springs. The drive shaft is connected to the motor and can rotate around the center of the hub. The three swing legs are distributed on the outer edge of the hub at intervals of 120° and are connected with the hub through pins. The cross bar and the three-spoke bar play the role of transmission, and are fixed on the drive shaft to rotate synchronously with it. The cross bar is arranged inside the hub, and drives the hub to rotate through two pressure springs. The three-spoke bar is on the outside of the hub, and controls the legs open and close by three tension springs, separately.
By introducing pressure springs between the drive shaft and the hub, a relative rotation between them can be generated when the spring compresses, then the legs are opened during the rotation of the transmission bar. Therefore, the circular wheel is changed to the legged wheel. The transformation from the legged wheel to the circular wheel is achieved by the recovery of the springs. Figure 1b shows the circular wheel and the legged wheel configurations.
In order to adapt to complex terrain, the transformable wheels should be capable of successfully transforming under low friction. However, when all legs rotate synchronously, the center of gravity rises during the transformation process, which will significantly increase the transformation torque. Therefore, the tension springs are used to replace the rigid connections between the legs and the three-spoke bar. The leg in contact with the ground does not need to be opened during the transformation process, thereby eliminating the adverse effect of the body load on the transformation torque. Moreover, all three legs are identical and can function as a triggering leg to realize transformation, which improves the transformation efficiency.

2.2. Triggering Mechanism

When the robot is driving on flat terrain at a constant speed, the force between the wheel and the ground is rolling friction. It is assumed that the rolling friction torque is as large as the preload torque generated by the two pressure springs. In this case, the drive shaft rotates synchronously with the hub.
When the robot encounters an obstacle, as shown in Figure 2a, the rolling friction between the wheel and the ground becomes static friction. The torque T T r E between the wheel and the ground is generated by static friction. According to the equilibrium equation of the force system, it can be obtained as follows
F 1 x F 2 x = 0
F 1 y + F 2 y m g = 0
T T r E = ( F 1 x + F 2 y ) R W
where, in F 1 x = μ F 1 y , F 2 y = μ F 2 x , μ is the static friction coefficient between the wheel and the ground, R W = 75 mm is the wheel radius, and m is the wheel mass. Substituting Equations (1) and (2) into (3) yields T T r E as
T T r E = μ m g R W 1 + μ 1 + μ 2
The relationship of T T r E with the change in m and μ is shown in Figure 3, which shows that T T r E is positively related to the wheel mass and increases with the increase in the friction coefficient.
When the drive shaft continues to rotate clockwise, the wheel hub remains static temporarily under the action of static friction. As shown in Figure 2b, the transmission cross bar will compress the pressure springs. Leg1 and leg2 are stationary because they are in contact with the ground and the obstacle, respectively, and the two tension springs connected to them will be stretched as the transmission three-spoke bar rotates. Leg3 will open and trigger the transformation of the wheel. In this case, the maximum internal resistance torque T T r I at the revolute joint of the transmission bar, which needs to be overcome in the transformation process, is composed of the resultant torque of two pressure springs and two tension springs. Assuming that the equivalent stiffness of the spring group is k, after the transmission bar rotates by α angle, the transformation torque T T r I can be given by
T T r I = k α
The above analysis shows that when the wheel is driving on flat ground, the rolling friction force is not enough to transform the wheel. If the drive shaft rotates relative to the hub, the transformation from the circular wheel to the legged wheel is triggered. Therefore, the transformation condition is T T r I < T T r E , and increasing the wheel mass and the static friction between the wheel and the ground, reducing the rotation angle of the transmission bar and the equivalent stiffness of the spring group, are beneficial to improve the success rate of transformation.

2.3. Obstacle Climbing Process

Figure 4 illustrates how the transformable wheel climbs over an obstacle. In step 1, the wheel touches an obstacle at any position, and the static friction between the wheel and the ground causes the wheel to stop rotating. In step 2, as the motor continues to rotate, one of the legs (here is leg3) that does not make contact with the ground and the obstacle is opened, such that the wheel transforms into a legged wheel. In step 3, after the relative rotation angle between the drive shaft and the hub reaches a maximum, they rotate synchronously again until leg3 makes contact with the upper surface of the obstacle. This contact point then becomes the axis of the robot’s rotation, and the wheel climbs up and over the obstacle by rotating about the contact point, while the legs that are out of contact with the ground are opened one after another. In step 4, the robot’s weight forces the leg to fold back when it is directly below the center of the wheel, the rest of the legs return as the recovery of the springs, and the wheel returns to a circular wheel.

3. Design Optimization

This section will optimize the main structural parameters of the transformable wheel to improve the transformation and obstacle climbing ability. The torque necessary for transformation is tuned to facilitate the transformation with even a low level of friction. The transformation ratio (the ratio between the radii before and after the transformation) is optimized to achieve the maximum obstacle height that the wheel can climb over.

3.1. Transformation Torque

During the transformation process, when the transmission bar rotates at an angle α relative to the hub (the rotation angle β of the three-spoke bar is the same as the rotation angle α of the cross bar), the force analysis of the spring group is shown in Figure 5. Where r 1 , r 2 are the lengths of the cross bar and the three-spoke bar, respectively. k 1 , k 2 are the stiffness coefficients of pressure spring and tension spring, respectively. The initial length of the pressure spring is l P 0 , the current length is l P 1 , and the force arm is l d 1 . The initial length of the tension spring is l T 0 , the current length is l T 1 , and the force arm is l d 2 . r 0 is the length of the leg connector, R 0 = 69 is the distance from the leg rotation center to the wheel center, φ 0 is the initial angle of the leg connector. l 0 , β 0 , θ and γ are intermediate variables.
The torque T P produced by a pressure spring can be expressed as
T P = ( l P 0 l P 1 ) k 1 l d 1
where
l P 0 = 2 r 1
l P 1 = 2 r 1 sin ( π 2 α 4 )
l d 1 = r 1 cos ( π 2 α 4 )
The torque T T produced by a tension spring can be expressed as
T T = ( l T 1 l T 0 ) k 2 l d 2
where
l T 1 = l 0 2 + r 2 2 2 l 0 r 2 cos ( θ + β 0 + β )
l 0 2 = R 0 2 + r 0 2 2 R 0 r 0 cos ( φ 0 )
cos ( θ + β 0 ) = l 0 2 + r 2 2 l T 0 2 2 l 0 r 2
l d 2 = r 2 sin ( γ )
cos ( γ ) = l T 1 2 + r 2 2 l 0 2 2 l T 1 r 2
The transformation torque T T r I is composed of the resultant torques of two pressure springs and two tension springs, where T T r I can be expressed as
T T r I = 2 T P + 2 T T = k α
Substituting Equations (6)–(15) into (16) can yield T T r I , and the equivalent stiffness k of the spring group can be expressed as a function of k 1 , k 2 , r 1 , r 2 , r 0 , l T 0 , φ 0 .

3.2. Transformation Ratio

The transformation ratio is the ratio of the equivalent radius R L of the legged wheel and the radius R W of the circular wheel. As shown in Figure 6, the equivalent radius R L can be expressed as
R L = R 0 2 + L L e g 2 2 R 0 L L e g cos ( σ + φ )
where L L e g = 114 mm, σ = π / 5 , and φ are the linear length, initial angle, and swing angle of the leg, respectively. According to Equation (17), φ is the main variable affecting R L .
If the mass of the leg is neglected, the tension spring connecting the triggering leg does not deform during the transformation process, so the tension spring can be regarded as a rigid bar. As shown in Figure 6, the four-bar mechanism changes from the initial position ABCD to the final position A’B’C’D’ during the whole process. Where the lengths of AB, BC, CD, and AD are r 0 , l T 0 , r 2 and R 0 , respectively. φ 0 , β 0 are the angles between AB, CD, and AD, and φ 1 , β 1 are the angles between A’B’, C’D’, and A’D’.
The coordinates of point B ( x 1 , y 1 ) and point C ( x 2 , y 2 ) at the initial position can be expressed as
( x 1 , y 1 ) = ( r 0 sin ( φ 0 ) , R 0 r 0 cos ( φ 0 ) )
( x 2 , y 2 ) = ( r 2 sin ( β 0 ) , r 2 cos ( β 0 ) )
The length of BC can be obtained as
l T 0 = ( x 2 x 1 ) 2 + ( y 2 y 1 ) 2
At the final position of A’B’C’D’, the following equations are derived:
sin ( φ 1 ) sin ( β 1 ) = r 2 r 0 + l T 0
( r 0 + l T 0 ) cos ( φ 1 ) + r 2 cos ( β 1 ) = R 0
The swing angle φ of the triggering leg and the rotation angle β of the three-spoke bar can be yielded as
φ = φ 0 + φ 1 = φ 0 + arccos ( R 0 2 + ( r 0 + l T 0 ) 2 r 2 2 2 R 0 ( r 0 + l T 0 ) )
β = β 1 β 0 = arccos ( R 0 2 + r 2 2 ( r 0 + l T 0 ) 2 2 R 0 r 2 ) β 0
Combined with Equations (18)–(24), φ and β can be expressed as functions of r 0 , r 2 , l T 0 and φ 0 .

3.3. Variable Selection and Optimization

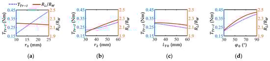
Through the above analysis, the transformation torque and the transformation ratio are jointly affected by r 0 , r 2 , l T 0 and φ 0 . In order to analyze the influence of each parameter, in the case of r 0 = 15 mm, r 2 = 50 mm, l T 0 = 45 mm, φ 0 = 45 ° , r 1 = 54 mm, k 1 = k 2 = 0.1 N/mm, the transformation torque and the transformation ratio are calculated based on the control variable method, and the MATLAB simulation results are shown in Figure 7. In Figure 7a, as r 0 increases, T T r I increases, and R L / R W decreases, thus reducing the length of AB is conducive to reducing the transformation torque and increasing the transformation ratio. In Figure 7b, as r 2 increases, T T r I and R L / R W all increase. In Figure 7c, as l T 0 increases, T T r I decreases slightly, and has little effect on R L / R W . In Figure 7d, as φ 0 increases, T T r I and R L / R W all increase. In addition, the relationship between the equivalent stiffness k, pressure spring stiffness k 1 , and tension spring stiffness k 2 is shown in Figure 8, and k increases with the increase in k 1 and k 2 .
In the optimization process, the transformation ratio should be as large as possible under the premise that the transformation torque meets the transformation condition. To this end, we selected r 2 and φ 0 , which had a greater influence on T T r I and R L / R W , and k 1 , k 2 as the design variables. The other parameters were determined according to the wheel structure, including r 1 = 54 mm, r 0 = 14.5 mm, and l T 0 = 50 mm. We took the maximum R L / R W as the optimization target, the constraint condition was T T r I < T T r E (in case of μ = 0.2 , m = 1.5 kg), and we used the optimization algorithm toolbox of MATLAB and selected Genetic Algorithm (GA function) for the optimal solution. The optimization results showed that when r 2 = 53 mm, φ 0 = 65 ° , k 1 = 0.095 N/mm, k 2 = 0.05 N/mm, the comprehensive performance of the transformable wheel was the best. In this condition, the transformation ratio R L / R W was 2.3, and the wheel could trigger transformation on terrain with a friction coefficient as low as 0.2.

4. Robot Prototype and Parameters Design for Stable Climbing

This section presents the design of the wheel−leg hybrid robot, which can verify the performance of this passive transformable wheel. By tuning the length of the robot body and the angular velocity of the wheel, the slip in the contact point between the leg and the obstacle was reduced, which ensured that the robot could stably climb the obstacle.
The three-dimensional model of the robot designed in this paper is shown in Figure 9. In order to simplify the structure and reduce the number of actuators, the robot platform consisted of only two transformable wheels and a body with a light tail rod. The two wheels installed on both sides of the body possessed the character of symmetry. Two motors were installed inside the body, which were directly connected to the two wheels. The steering was realized by the differential of two wheels.
Figure 10 shows the force analysis when the robot climbs over an obstacle. During this process, one of the robot’s legs first made contact with the upper surface of the obstacle, and then the robot took a circular motion around this point. In order to climb over the obstacle stably, the contact point should not slip. Assuming that the wheel rotated at a constant angular velocity ω and the center of mass (CoM) was located at the center of the wheel, the dynamic equation of the wheel center O can be expressed as
F 3 x F a x = 0
F 3 y + F 4 y + F a y m g = 0
F 3 y R L cos ( ψ ) + F 3 x R L sin ( ψ ) F 4 y L 2 ( H + R L sin ( ψ ) ) 2 = 0
where H is the height of the obstacle, L is the length of the robot’s body, F 3 y , F 4 y are the reaction force of the ground, F 3 x = μ F 3 y is the friction force, F a x = m R L ω 2 cos ( ψ ) , and F a y = m R L ω 2 sin ( ψ ) are the components of the inertial force of CoM in the horizontal and vertical directions. Substituting Equation (26) into (27) yields F 3 x as
F 3 x = μ m ( g R L ω 2 sin ( ψ ) ) L 2 ( H + R L sin ( ψ ) ) 2 R L ( cos ( ψ ) + μ sin ( ψ ) ) + L 2 ( H + R L sin ( ψ ) ) 2
According to Equation (25), the condition of force balance in the horizontal direction is F 3 x = F a x , but F a x increases with the increase in ω, and F 3 x decreases with the decrease in μ and F 3 y . When F 3 x < F a x , the robot will slip at the contact point between the leg and the obstacle.
To determine the relationship between F 3 x and F a x , the simulation was run for H = 300 mm, m = 1.5 kg, and μ = 0.2 , where ω and L are chosen as design parameters. The climbing process can be expressed as ψ changes from −40° to 80°. Figure 11a represents F 3 x and F a x with respect to the change in ω and ψ at L = 480 mm. As ω increases, F a x increases and F 3 x decreases. When ω > 2.7 rad/s, F 3 x < F a x , the robot will slip. Therefore, high-speed climbing should be avoided. Figure 11b represents F 3 x and F a x with respect to change in L and ψ at ω = 2.7 rad/s. As L increases, the difference between F 3 x and F a x becomes larger, because increasing L will cause F 4 y further away from CoM, which increases the portion of the weight supported at the contact point relatively, thereby allowing the robot to stably climb over the obstacle. Combined with the above results, it was found that increasing the length of the body and reducing the angular velocity of the wheel were two effective methods to enhance the stability of climbing.

5. Simulation Experiment

In order to verify the performance of the proposed robot, a simplified model of the prototype robot was built in ADAMS according to the design parameters in Table 1. The simulation experiments of driving on flat ground, mode switching, and obstacle climbing (200 mm and 295 mm) were carried out, in which the static friction coefficient of the terrain was set to 0.2, and the angular velocity of the drive motor was 2 rad/s.
The process of climbing a 200 mm obstacle is shown in Figure 12a. The whole process took 4.8 s, which can be divided into four phases: (1) 0–2.0 s, wheel mode phase, where the robot maintains a circular wheel on flat ground; (2) 2.0–3.0 s, transformation phase, when the robot encounters an obstacle, it transforms into legged wheel configuration; (3) 3.0–4.4 s, climbing phase, where in legged wheel mode, the triggering leg (there is leg3) contacts the upper surface of the obstacle, then the robot rises and climbs over the obstacle; and (4) 4.4–4.8 s, recovery phase, where the robot returns to wheel mode with the recovery of the legs.
The process of climbing a 295 mm obstacle take 1.3 s longer than the 200 mm obstacle, as shown in Figure 12b. After the transformation phase, the triggering leg that first opened was not enough to touch the upper surface, but it was in contact with the facade of the obstacle. Then, the robot moved backwards as the wheel rotated, and the robot rose after the triggering leg touched the obstacle’s bottom. The next leg touched the upper surface and completed the climbing process. This situation occurred when the height of the obstacle was higher than 220 mm.
Figure 13 shows the simulation results of climbing a 200 mm obstacle. The change in spring deformation with time is shown in Figure 13a. The relative rotation angle α between the drive shaft and the hub, the rotation angle of the three legs, and the vertical displacement of CoM varied with time are shown in Figure 13b.
In the wheel mode phase, disturbed by the moment of inertia at starting, relative rotation between the drive shaft and the hub was observed, accompanied by small deformations of both the pressure and tension springs. In wheel mode, the robot moved steadily without the oscillation of CoM.
In the transformation phase, as the drive shaft rotated, the two pressure springs were compressed and the relative rotation angle α increased. Because leg3 had no contact with the terrain, it first opened as a triggering leg, and the tension spring connected to leg3 was not deformed. Affected by terrain obstruction, the deformation of the tension spring connected to leg1 gradually increased at first, and then returned to its original length after leg1 lost contact with the terrain. As the weight of the robot always acted on leg2, it did not open in this phase, and the deformation of the tension spring connected to leg2 reached the maximum. In addition, CoM still had no vertical displacement.
In the climbing phase, after the pressure springs were fully compressed, the wheel continued to rotate around the contact point between leg3 and the obstacle, and CoM rose to the maximum height. As leg2 gradually opened, the deformation of the tension spring connected to it decreased.
In the recovery phase, when leg3 was directly under the wheel, it recovered quickly under the action of gravity. As the pressure springs returned to their original length, the rotation angle α decreased to zero, and leg1 and leg2 also returned to their original shape. CoM fell back until the wheel made contact with the obstacle, then the robot returned to wheel mode and continued moving.
The simulation results show that the robot completed the transformation from circular wheel to legged wheel within 1 s after encountering an obstacle, and recovered from legged wheel to circular wheel within 0.4 s after climbing the obstacle. The maximum height of obstacles that could be climbed over was 295 mm, which was 3.9 times as tall as the radius of the wheel. The whole process was carried out with a friction coefficient as low as 0.2, indicating that the robot had a stable transformation ability and excellent obstacle climbing ability.

6. Conclusions

In this paper, a new type of passive transformable wheel is proposed, and its structure design and parameter optimization are carried out. A robot prototype based on this wheel is also developed. According to the design, analysis, and simulation experiments of the prototype, the conclusions can be drawn as follows.
This transformable wheel offers the strengths of both circular and legged wheels. On flat terrain, it maintains a circular wheel for better stability. When encountering an obstacle, it can passively transform into a legged wheel to climb over the obstacle. The transformation is accomplished only using friction between the wheel and the obstacle, without the need for additional actuators.
This transformable wheel does not need to overcome gravity during the transformation process, which eliminates the negative influence of the load on the transformation torque. Moreover, any one of the three legs can act as a triggering leg, without being limited by the contact position. In addition, by adjusting the spring stiffness in the transformation mechanism, the robot could realize the transition between the two modes under low-friction terrain conditions, which shows strong adaptability to different terrains.
By optimizing the length of the robot body and the rotation speed of the actuator, the robot could climb over obstacles stably. The maximum height of obstacles that can be climbed over is 3.9 times as tall as the wheel radius, which shows excellent obstacle climbing ability compared with traditional wheeled robots. Moreover, this passive transformation mechanism will simplify the control strategy and reduce the fabrication cost due to the reduced number of actuators, which provides a solution for developing small mobile robots that require a high obstacle climbing performance.

Author Contributions

Conceptualization, Y.S. and M.L.; software, Y.S.; formal analysis, Y.S. and M.L.; resources, M.Z. and X.Z.; writing—original draft preparation, Y.S. and M.L.; writing—review and editing, M.Z. and X.Z.; funding acquisition, M.L. and M.Z. All authors have read and agreed to the published version of the manuscript.

Funding

This research was funded by the National Natural Science Foundation of China (U1913211, 52275016 and 52275017); the Science and Technology Development Fund Project on Central Government Guiding Local Government (226Z1801G and 226Z1811G); the Natural Science Foundation of Hebei Province (F2021202016, F2021202062 and E2022202130); the State Key Laboratory of Reliability and Intelligence of Electrical Equipment (EERI_OY2021004); and the Science and Technology Research Project of Colleges and Universities in Hebei Province (JZX2023015).

Institutional Review Board Statement

Not applicable.

Informed Consent Statement

Not applicable.

Data Availability Statement

The data presented in this study are available in the article.

Conflicts of Interest

The authors declare no conflict of interest.

References

  1. Dong, B.Y.; Zhang, Z.Q.; Xu, L.J. Research status and development trend of intelligent emergency rescue equipment. J. Mech. Eng. 2020, 11, 13–37. [Google Scholar]
  2. Wilk-Jakubowski, G.; Harabin, R.; Ivanov, S. Robotics in crisis management: A review. Technol. Soc. 2022, 68, 101935. [Google Scholar] [CrossRef]
  3. Delmerico, J.; Mintchev, S.; Giusti, A.; Gromov, B.; Melo, K.; Horvat, T.; Cadena, C.; Hutter, M.; Ijspeert, A.; Floreano, D.; et al. The current state and future outlook of rescue robotics. J. Field Robot. 2019, 36, 1171–1191. [Google Scholar] [CrossRef]
  4. Yu, L.; Yang, E.; Ren, P.; Luo, C.; Dobie, G.; Gu, D.; Yan, X. Inspection robots in oil and gas industry: A review of current solutions and future trends. In Proceedings of the 2019 25th International Conference on Automation and Computing (ICAC), Lancaster, UK, 5–7 September 2019. [Google Scholar]
  5. Rubio, F.; Valero, F.; Llopis-Albert, C. A review of mobile robots: Concepts, methods, theoretical framework, and applications. Int. J. Adv. Robot. Syst. 2019, 16, 1729881419839596. [Google Scholar] [CrossRef]
  6. Weingarten, J.D.; Lopes, G.A.D.; Buehler, M.; Groff, R.E.; Koditschek, D.E. Automated gait adaptation for legged robots. In Proceedings of the IEEE International Conference on Robotics and Automation, New Orleans, LA, USA, 26 April–1 May 2004. [Google Scholar]
  7. Chou, Y.C.; Yu, W.S.; Huang, K.J.; Lin, P.C. Bio-inspired step crossing algorithm for a hexapod robot. In Proceedings of the 2011 IEEE/RSJ International Conference on Intelligent Robots and Systems, San Francisco, CA, USA, 25–30 September 2011. [Google Scholar]
  8. Quinn, R.D.; Offi, J.T.; Kingsley, D.A.; Ritzmann, R.E. Improved mobility through abstracted biological principles. In Proceedings of the IEEE/RSJ International Conference on Intelligent Robots and Systems, Lausanne, Switzerland, 30 September–4 October 2002. [Google Scholar]
  9. Morrey, J.M.; Lambrecht, B.; Horchler, A.D.; Ritzmann, R.E.; Quinn, R.D. Highly mobile and robust small quadruped robots. In Proceedings of the 2003 IEEE/RSJ International Conference on Intelligent Robots and Systems, Las Vegas, NV, USA, 27–31 October 2003. [Google Scholar]
  10. Quinn, R.D.; Nelson, G.M.; Bachmann, R.J.; Kingsley, D.A.; Offi, J.T.; Allen, T.J.; Ritzmann, R.E. Parallel complementary strategies for implementing biological principles into mobile robots. Int. J. Robot. Res. 2003, 22, 169–186. [Google Scholar] [CrossRef]
  11. Rocheleau, S.G.; Duchaine, V.; Bochud, P.; Gosselin, C.M. Prompt: A small walking robot for planetary exploration. In Proceedings of the International Design Engineering Technical Conferences and Computers and Information in Engineering Conference, San Diego, CA, USA, 30 August–2 September 2009. [Google Scholar]
  12. Eich, M.; Grimminger, F.; Kirchner, F. A versatile stair-climbing robot for search and rescue applications. In Proceedings of the 2008 IEEE International Workshop on Safety, Security and Rescue Robotics, Sendai, Japan, 21–24 October 2008. [Google Scholar]
  13. Jeans, J.B.; Hong, D. IMPASS: Intelligent mobility platform with active spoke system. In Proceedings of the 2009 IEEE International Conference on Robotics and Automation, Kobe, Japan, 12–17 May 2009. [Google Scholar]
  14. Chen, S.C.; Huang, K.J.; Chen, W.H.; Shen, S.Y.; Li, C.H.; Lin, P.C. Quattroped: A leg-wheel transformable robot. IEEE/ASME Trans. Mechatron. 2013, 19, 730–742. [Google Scholar] [CrossRef]
  15. Chen, W.H.; Lin, H.S.; Lin, Y.M.; Lin, P.-C. TurboQuad: A novel leg-wheel transformable robot with smooth and fast behavioral transitions. IEEE Trans. Robot. 2017, 33, 1025–1040. [Google Scholar] [CrossRef]
  16. Sun, T.; Xiang, X.; Su, W.; Wu, H.; Song, Y. A transformable wheel-legged mobile robot: Design, analysis and experiment. Robot. Auton. Syst. 2017, 98, 30–41. [Google Scholar] [CrossRef]
  17. Lee, D.Y.; Kim, S.R.; Kim, J.S.; Park, J.-J.; Cho, K.-J. Origami wheel transformer: A variable-diameter wheel drive robot using an origami structure. Soft Robot. 2017, 4, 163–180. [Google Scholar] [CrossRef] [PubMed]
  18. Yun, S.S.; Lee, J.Y.; Jung, G.P.; Cho, K.-J. Development of a transformable wheel actuated by soft pneumatic actuators. Int. J. Control Autom. Syst. 2017, 15, 36–44. [Google Scholar] [CrossRef]
  19. She, Y.; Hurd, C.J.; Su, H.J. A transformable wheel robot with a passive leg. In Proceedings of the 2015 IEEE/RSJ International Conference on Intelligent Robots and Systems (IROS), Hamburg, Germany, 28 September–2 October 2015. [Google Scholar]
  20. Bai, L.; Guan, J.; Chen, X.; Hou, J.; Duan, W. An optional passive/active transformable wheel-legged mobility concept for search and rescue robots. Robot. Auton. Syst. 2018, 107, 145–155. [Google Scholar] [CrossRef]
  21. Kim, Y.S.; Jung, G.P.; Kim, H.; Cho, K.-J.; Chu, C.-N. Wheel transformer: A wheel-leg hybrid robot with passive transformable wheels. IEEE Trans. Robot. 2014, 30, 1487–1498. [Google Scholar] [CrossRef]
  22. Zheng, C.; Sane, S.; Lee, K.; Kalyanram, V. α-waLTR: Adaptive wheel-and-leg transformable robot for versatile multiterrain locomotion. IEEE Trans. Robot. 2022. [Google Scholar] [CrossRef]
Figure 1. Features of the passive transformable wheel. (a) Components of the wheel; (b) Circular wheel and Legged wheel configurations.
Figure 1. Features of the passive transformable wheel. (a) Components of the wheel; (b) Circular wheel and Legged wheel configurations.
Symmetry 15 00800 g001
Figure 2. Force diagram of the transformable wheel and obstacle. (a) The moment when the wheel starts to make contact with an obstacle; (b) the position after the triggering leg rotates by φ angle.
Figure 2. Force diagram of the transformable wheel and obstacle. (a) The moment when the wheel starts to make contact with an obstacle; (b) the position after the triggering leg rotates by φ angle.
Symmetry 15 00800 g002
Figure 3. Simulation result of the torque T T r E .
Figure 3. Simulation result of the torque T T r E .
Symmetry 15 00800 g003
Figure 4. Obstacle climbing process of the transformable wheel.
Figure 4. Obstacle climbing process of the transformable wheel.
Symmetry 15 00800 g004
Figure 5. Force diagram of the transformation mechanism.
Figure 5. Force diagram of the transformation mechanism.
Symmetry 15 00800 g005
Figure 6. Structure of the four-bar mechanism in the transformation mechanism.
Figure 6. Structure of the four-bar mechanism in the transformation mechanism.
Symmetry 15 00800 g006
Figure 7. Simulation results of the transformation torque and the transformation ratio. (a) r 0 as variable; (b) r 2 as variable; (c) l T 0 as variable; (d) φ 0 as variable.
Figure 7. Simulation results of the transformation torque and the transformation ratio. (a) r 0 as variable; (b) r 2 as variable; (c) l T 0 as variable; (d) φ 0 as variable.
Symmetry 15 00800 g007
Figure 8. Simulation result of the equivalent stiffness.
Figure 8. Simulation result of the equivalent stiffness.
Symmetry 15 00800 g008
Figure 9. Three-dimensional model of the prototype robot: (a) wheeled mode and (b) legged mode.
Figure 9. Three-dimensional model of the prototype robot: (a) wheeled mode and (b) legged mode.
Symmetry 15 00800 g009
Figure 10. Force analysis of the obstacle climbing process.
Figure 10. Force analysis of the obstacle climbing process.
Symmetry 15 00800 g010
Figure 11. Simulation results of the friction force on the contact point and the inertial force in the horizontal direction. (a) F 3 x and F a x change with ω and ψ at L = 480 mm; (b) F 3 x and F a x change with L and ψ at ω = 2.7 rad/s.
Figure 11. Simulation results of the friction force on the contact point and the inertial force in the horizontal direction. (a) F 3 x and F a x change with ω and ψ at L = 480 mm; (b) F 3 x and F a x change with L and ψ at ω = 2.7 rad/s.
Symmetry 15 00800 g011
Figure 12. Simulation of driving on flat ground, mode switching, and obstacle climbing: (a) process of climbing a 200 mm obstacle and (b) extra process of climbing a 295 mm obstacle.
Figure 12. Simulation of driving on flat ground, mode switching, and obstacle climbing: (a) process of climbing a 200 mm obstacle and (b) extra process of climbing a 295 mm obstacle.
Symmetry 15 00800 g012
Figure 13. Simulation results: (a) Spring deformation change with time and (b) rotation angle and vertical displacement of CoM change with time.
Figure 13. Simulation results: (a) Spring deformation change with time and (b) rotation angle and vertical displacement of CoM change with time.
Symmetry 15 00800 g013
Table 1. Main design parameters of robot model.
Table 1. Main design parameters of robot model.
Design ParameterValue
Radius of the circular wheel75 mm
Radius of the legged wheel173 mm
Mass of the wheel1.5 kg
Stiffness of the pressure spring0.095 N/mm
Stiffness of the tension spring0.05 N/mm
Length of the robot body480 mm
Disclaimer/Publisher’s Note: The statements, opinions and data contained in all publications are solely those of the individual author(s) and contributor(s) and not of MDPI and/or the editor(s). MDPI and/or the editor(s) disclaim responsibility for any injury to people or property resulting from any ideas, methods, instructions or products referred to in the content.

Share and Cite

MDPI and ACS Style

Shi, Y.; Zhang, M.; Li, M.; Zhang, X. Design and Analysis of a Wheel−Leg Hybrid Robot with Passive Transformable Wheels. Symmetry 2023, 15, 800. https://doi.org/10.3390/sym15040800

AMA Style

Shi Y, Zhang M, Li M, Zhang X. Design and Analysis of a Wheel−Leg Hybrid Robot with Passive Transformable Wheels. Symmetry. 2023; 15(4):800. https://doi.org/10.3390/sym15040800

Chicago/Turabian Style

Shi, Yusheng, Minglu Zhang, Manhong Li, and Xiaojun Zhang. 2023. "Design and Analysis of a Wheel−Leg Hybrid Robot with Passive Transformable Wheels" Symmetry 15, no. 4: 800. https://doi.org/10.3390/sym15040800

APA Style

Shi, Y., Zhang, M., Li, M., & Zhang, X. (2023). Design and Analysis of a Wheel−Leg Hybrid Robot with Passive Transformable Wheels. Symmetry, 15(4), 800. https://doi.org/10.3390/sym15040800

Note that from the first issue of 2016, this journal uses article numbers instead of page numbers. See further details here.

Article Metrics

Back to TopTop