Energy Transfer Processes in NASICON-Type Phosphates under Synchrotron Radiation Excitation
Abstract
1. Introduction
2. Materials and Methods
3. Results and Discussion
3.1. XRD Characterization
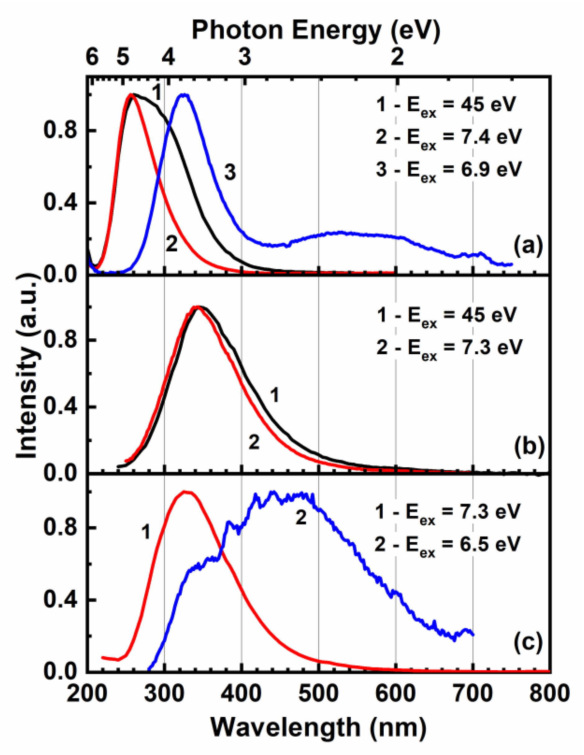
3.2. Undoped NASICON Phosphates
3.3. Na3.6Y1.8(PO4)3:RE3+ and Na3.6Lu1.8(PO4)3:RE3+ Phosphates
3.4. Na3Sc2(PO4)3:RE3+ Phosphates
4. Conclusions
Author Contributions
Funding
Institutional Review Board Statement
Informed Consent Statement
Data Availability Statement
Conflicts of Interest
References
- Wu, F.; Liu, L.; Wang, S.; Xu, J.; Lu, P.; Yan, W.; Peng, J.; Wu, D.; Li, H. Solid state ionics—Selected topics and new directions. Prog. Mater. Sci. 2022, 126, 100921. [Google Scholar] [CrossRef]
- Liu, F.; Deng, D.; Wu, M.; Chen, B.; Zhou, L.; Xu, S. Alkali ions substitution induced tuning of sensitivity in mixed-valence europium ion co-doped NaZr2(PO4)3 thermochromic phosphor for optical thermometry. J. Alloys Compd. 2021, 865, 158820. [Google Scholar] [CrossRef]
- Kim, Y.H.; Arunkumar, P.; Kim, B.Y.; Unithrattil, S.; Kim, E.; Moon, S.-H.; Hyun, J.Y.; Kim, K.H.; Lee, D.; Lee, J.-S.; et al. A zero-thermal-quenching phosphor. Nat. Mater. 2017, 16, 543–550. [Google Scholar] [CrossRef] [PubMed]
- Farooq, U.; Sun, X.; Zhao, Z.; Janjua, R.A.; Gao, C.; Dai, R.; Wang, Z.; Zhang, Z. Thermally stable Na3.6Y1.8(PO4)3:Eu3+ phosphor, luminescent properties and application in WLEDs. J. Alloys Compd. 2020, 821, 153513. [Google Scholar] [CrossRef]
- Miao, S.; Liang, Y.; Zhang, Y.; Chen, D.; Yan, S.; Liu, J.; Wang, X.-J. Spectrally tunable and thermally stable near-infrared luminescence in Na3Sc2(PO4)3:Cr3+ phosphors by Ga3+ co-doping for light-emitting diodes. J. Mater. Chem. C 2022, 10, 994–1002. [Google Scholar] [CrossRef]
- Zhao, M.; Zhang, H.; Zou, X.; Wei, Q.; Meng, S.; Su, C. Up-conversion luminescent properties of Er3+/Yb3+ co-doped transparent glass ceramics containing Na3.6Y1.8(PO4)3 crystals. J. Alloys Compd. 2017, 728, 357–362. [Google Scholar] [CrossRef]
- Krutyak, N.; Spassky, D.; Nagirnyi, V.; Antropov, A.V.; Deyneko, D.V. Novel NASICON-type Na3.6Y1.8-x(PO4)3:xDy3+ phosphor: Structure and luminescence. Opt. Mater. 2021, 122, 111738. [Google Scholar] [CrossRef]
- Lin, X.; Feng, A.; Zhang, Z.; Zhao, J. VUV spectroscopic properties of rare-earth (RE=Eu, Tb and Dy)-doped A2Zr(PO4)2 (A = Li, Na and K) phosphates. J. Rare Earths. 2014, 32, 946–951. [Google Scholar] [CrossRef]
- Zhang, Z.-J.; Chen, H.-H.; Yang, X.-X.; Zhao, J.-T.; Zhang, G.-B.; Shi, C.-S. VUV spectroscopic properties of rare-earth (RE3+ = Eu, Tb, Tm)-doped AZr2(PO4)3 (A+ = Li, Na, K) type phosphate. J. Phys. D Appl. Phys. 2008, 41, 105503. [Google Scholar] [CrossRef]
- Pustovarov, V.A.; Zatsepin, A.F.; Cheremnykh, V.S.; Syrtsov, A.A.; Cholakh, S.O. Spectroscopy of defects in irradiated AlPO4 and GaPO4 crystals. Radiat. Eff. Defects Solids 2002, 157, 751–754. [Google Scholar] [CrossRef]
- Dikhtyar, Y.Y.; Spassky, D.A.; Morozov, V.A.; Deyneko, D.V.; Belik, A.A.; Baryshnikova, O.V.; Nikiforov, I.V.; Lazoryak, B.I. Site occupancy, luminescence and dielectric properties of β-Ca3(PO4)2- type Ca8ZnLn(PO4)7 host materials. J. Alloys Compd. 2022, 908, 164521. [Google Scholar] [CrossRef]
- Levushkina, V.S.; Spassky, D.A.; Tretyakova, M.S.; Zadneprovski, B.I.; Kamenskikh, I.A.; Vasil’ev, A.N.; Belsky, A. Luminescence properties of solid solutions LuxY1-xPO4:Eu3+. Opt. Mater. 2018, 75, 607–611. [Google Scholar] [CrossRef]
- Kappelhoff, J.; Keil, J.-N.; Kirm, M.; Makhov, V.N.; Chernenko, K.; Moller, S.; Jüstel, T. Spectroscopic studies on Pr3+ doped YPO4 and LuPO4 upon vacuum ultraviolet (VUV) and synchrotron radiation excitation. Chem. Phys. 2022, 562, 111646. [Google Scholar] [CrossRef]
- Wang, J.; Zhang, Z.-J. Luminescence properties and energy transfer studies of color tunable Tb3+-doped RE1/3Zr2(PO4)3 (RE = Y, La, Gd and Lu). J. Alloys Compd. 2016, 685, 841–847. [Google Scholar] [CrossRef]
- Mikhailin, V.V. Luminescence of solids excited by synchrotron radiation. Nucl. Instrum. Methods Phys. Res. B 1995, 97, 530–535. [Google Scholar] [CrossRef]
- Zhukovsky, K. Theoretical Analysis of the Radiation Properties of Some Major X-ray Free Electron Lasers. Ann. Phys. 2021, 533, 2100091. [Google Scholar] [CrossRef]
- Bel’skii, A.N.; Vasil’ev, A.N.; Ivanov, S.N.; Kamenskikh, I.A.; Kolobanov, V.N.; Makhov, V.N.; Spasskii, D.A. Optical and luminescent VUV spectroscopy using synchrotron radiation. Crystallogr. Rep. 2016, 61, 886–896. [Google Scholar] [CrossRef]
- Pärna, R.; Sankari, R.; Kukk, E.; Nõmmiste, E.; Valden, M.; Lastusaari, M.; Kooser, K.; Kokko, K.; Hirsimäki, M.; Urpelainen, S.; et al. FinEstBeaMS—A wide-range Finnish-Estonian Beamline for Materials Science at the 1.5 GeV storage ring at the MAX IV Laboratory. Nucl. Instrum. Meth. A. 2017, 859, 83–89. [Google Scholar] [CrossRef]
- Omelkov, S.I.; Chernenko, K.; Ekström, J.C.; Jurgilaitis, A.; Khadiev, A.; Kivimäki, A.; Kotlov, A.; Kroon, D.; Larsson, J.; Nagirnyi, V.; et al. Recent advances in time-resolved luminescence spectroscopy at MAX IV and PETRA III storage rings. J. Phys. Conf. Ser. 2022, 2380, 012135. [Google Scholar] [CrossRef]
- Wang, J.; Zhang, Z.-J.; Zhao, J.-T. A Novel Facile Room Temperature Chemical Lithiation for Reduction of Eu3+ in NASICON Crystal Structure. Z. Anorg. Allg. Chem. 2015, 641, 1527–1532. [Google Scholar] [CrossRef]
- Wankhade, R.N.; Bajaj, N.S.; Bhatkar, V.B.; Omanwar, S.K. Combustion Synthesis and Optimization of Tb3+ Doped AZr2(PO4)3 (A+ = Li, Na, K) Phosphors for Mercury Free Lamp and Plasma Display Panels Application. J. Chin. Adv. Mater. Soc. 2015, 3, 1–11. [Google Scholar] [CrossRef]
- Zhang, Z.-J.; Zhang, S.-L.; Zhang, W.-B.; Guo, Y.-Y.; Yang, W.; Zhao, J.-T. Vacuum ultraviolet spectroscopic properties of rare-earth (RE3+ = Sm3+, Tb3+, Dy3+)-activated zirconium-based phosphates MZr4(PO4)6 (M2+ = Ca2+, Sr2+). Opt. Mater. 2015, 39, 251–257. [Google Scholar] [CrossRef]
- Krutyak, N.; Spassky, D.; Deyneko, D.V.; Antropov, A.; Morozov, V.A.; Lazoryak, B.I.; Nagirnyi, V. NASICON-type Na3.6Lu1.8−x(PO4)3:xEu3+ phosphors: Structure and luminescence. Dalton Trans. 2022, 51, 11840. [Google Scholar] [CrossRef] [PubMed]
- Chernenko, K.; Kivimaki, A.; Parna, R.; Wang, W.; Sankari, R.; Leandersson, M.; Tarawneh, H.; Pankratov, V.; Kook, M.; Kukk, E.; et al. Performance and characterization of the FinEstBeAMS beamline at the MAX IV laboratory. J. Synchrotron Radiat. 2021, 28, 1620–1630. [Google Scholar] [CrossRef] [PubMed]
- Spassky, D.; Vasil’ev, A.N.; Nagirnyi, V.; Kudryavtseva, I.; Deyneko, D.; Nikiforov, I.; Kondratyev, I.; Zadneprovski, B. Bright UV-C phosphors with excellent thermal stability—Y1-xScxPO4 solid solutions. Materials 2022, 15, 6844. [Google Scholar] [CrossRef]
- Spassky, D.; Voznyak-Levushkina, V.; Arapova, A.; Zadneprovski, B.; Chernenko, K.; Nagirnyi, V. Enhancement of Light Output in ScxY1-xPO4:Eu3+ Solid Solutions. Symmetry 2020, 12, 946. [Google Scholar] [CrossRef]
- Dorenbos, P. The Eu3+ charge transfer energy andthe relation with the band gap of compounds. J. Lumin. 2005, 111, 89–104. [Google Scholar] [CrossRef]
- Cavalli, E.; Boutinaud, P.; Mahiou, R.; Bettinelli, M.; Dorenbos, P. Luminescence Dynamics in Tb3+-Doped CaWO4 and CaMoO4 Crystals. Inorg. Chem. 2010, 49, 4916–4921. [Google Scholar] [CrossRef]
- Dobrowolska, A.; Karsu, E.C.; Bos, A.J.J.; Dorenbos, P. Spectroscopy, thermoluminescence and afterglow studies of CaLa4(SiO4)3O:Ln (Ln = Ce, Nd, Eu, Tb, Dy). J. Lumin. 2015, 160, 321–327. [Google Scholar] [CrossRef]
- Qin, D.; Tang, W. Crystal structure, tunable luminescence and energy transfer properties of Na3La(PO4)2:Tb3+,Eu3+ phosphors. RSC Adv. 2017, 7, 2494–2502. [Google Scholar] [CrossRef]
- Carnall, W.T.; Goodman, G.L.; Rajnak, K.; Rana, R.S. A systematic analysis of the spectra of the lanthanides doped into single crystal LaF3. Supplementary Tables. J. Chem. Phys. 1989, 90, 3443. [Google Scholar] [CrossRef]
- Dorenbos, P. Charge transfer bands in optical materials and related defect level location. Opt. Mater. 2017, 69, 8–22. [Google Scholar] [CrossRef]
- Dorenbos, P. Systematic behaviour in trivalent lanthanide charge transfer energies. J. Phys. Condens. Matter. 2003, 15, 8417–8434. [Google Scholar] [CrossRef]
- Belsky, A.N.; Krupa, J.C. Luminescence excitation mechanisms of rare earth doped phosphors in the VUV range. Displays 1999, 19, 185–196. [Google Scholar] [CrossRef]
- Bos, A.J.J.; Dorenbos, P.; Bessier, A.; Viana, B. Lanthanide energy levels in YPO4. Radiat. Meas. 2008, 43, 222–226. [Google Scholar] [CrossRef]
- Guo, H.; Devakumar, B.; Li, B.; Huang, X. Novel Na3Sc2(PO4)3:Ce3+,Tb3+ phosphors for white LEDs: Tunable blue-green color emission, high quantum efficiency and excellent thermal stability. Dyes Pigm. 2018, 151, 81–88. [Google Scholar] [CrossRef]
- Guo, H.; Huang, X.; Zeng, Y. Synthesis and photoluminescence properties of novel highly thermalstable red-emitting Na3Sc2(PO4)3:Eu3+ phosphors for UV-excited white-light-emitting diodes. J. Alloys Compd. 2018, 741, 300–306. [Google Scholar] [CrossRef]
- Li, H.; Wang, Y. Effect of Oxygen Vacancies on the Reduction of Eu3+ in Mg3Ca3(PO4)4 in Air Atmosphere. Inorg. Chem. 2017, 56, 10396–10403. [Google Scholar] [CrossRef]
- Dang, P.; Liu, D.; Li, G.; Liang, S.; Lian, H.; Shang, M.; Lin, J. Mixing the valence control of Eu2+/Eu3+ and energy transfer construction of Eu2+/Mn2+ in the solid solution (1−x)Ca3(PO4)2–xCa9Y(PO4)7 for multichannel photoluminescence tuning. Inorg. Chem. Front. 2019, 6, 2837–2849. [Google Scholar] [CrossRef]







Disclaimer/Publisher’s Note: The statements, opinions and data contained in all publications are solely those of the individual author(s) and contributor(s) and not of MDPI and/or the editor(s). MDPI and/or the editor(s) disclaim responsibility for any injury to people or property resulting from any ideas, methods, instructions or products referred to in the content. |
© 2023 by the authors. Licensee MDPI, Basel, Switzerland. This article is an open access article distributed under the terms and conditions of the Creative Commons Attribution (CC BY) license (https://creativecommons.org/licenses/by/4.0/).
Share and Cite
Krutyak, N.; Nagirnyi, V.; Romet, I.; Deyneko, D.; Spassky, D. Energy Transfer Processes in NASICON-Type Phosphates under Synchrotron Radiation Excitation. Symmetry 2023, 15, 749. https://doi.org/10.3390/sym15030749
Krutyak N, Nagirnyi V, Romet I, Deyneko D, Spassky D. Energy Transfer Processes in NASICON-Type Phosphates under Synchrotron Radiation Excitation. Symmetry. 2023; 15(3):749. https://doi.org/10.3390/sym15030749
Chicago/Turabian StyleKrutyak, Nataliya, Vitali Nagirnyi, Ivo Romet, Dina Deyneko, and Dmitry Spassky. 2023. "Energy Transfer Processes in NASICON-Type Phosphates under Synchrotron Radiation Excitation" Symmetry 15, no. 3: 749. https://doi.org/10.3390/sym15030749
APA StyleKrutyak, N., Nagirnyi, V., Romet, I., Deyneko, D., & Spassky, D. (2023). Energy Transfer Processes in NASICON-Type Phosphates under Synchrotron Radiation Excitation. Symmetry, 15(3), 749. https://doi.org/10.3390/sym15030749

