A Machine Learning Mapping Algorithm for NoC Optimization
Abstract
1. Introduction
2. The Methods of Establishing Machine Learning Mapping Algorithm
2.1. Problem Formulation
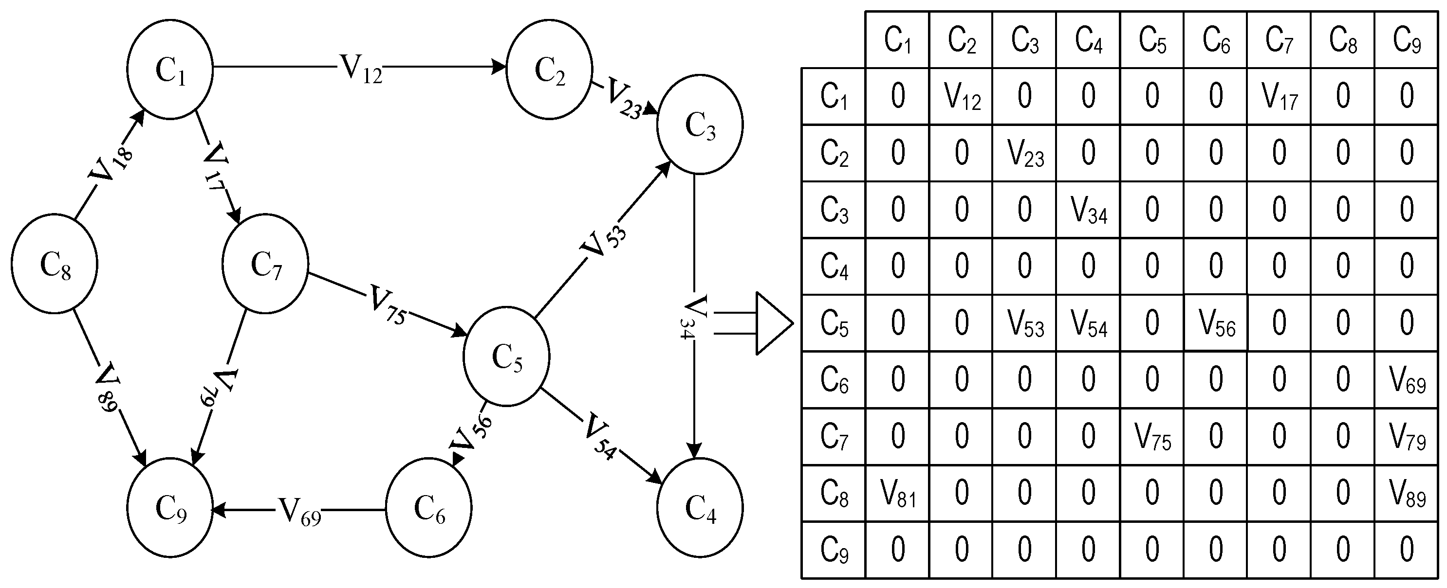
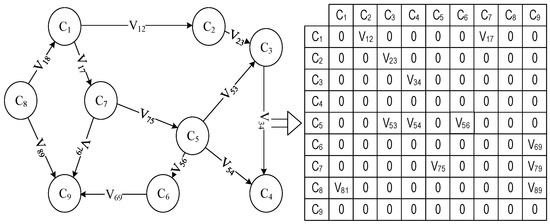
2.1.1. Characteristics Definition
2.1.2. Energy Model
2.1.3. Delay Model
2.1.4. Optimization Model
2.2. Details of Machine Learning Mapping Algorithm
2.2.1. Space Complexity and Symmetry
2.2.2. A Low-Complexity and No Symmetry NoC Mapping Dataset
2.2.3. A Data Augmentation Approach
| Algorithm 1 Data Augmentation with Number Exchange |
| Input: task graph and optimal mapping solution sequence Output: a group of task graphs and corresponding optimal mapping solution sequences 01: {B} is the optimal mapping solution sequence of task B, calculated with global search; 02: Fetch data in an integer space [1, n] without repetition to build an n-dimensional order sequence. n! sequences could be obtained. 03: Let the initial order sequence be {1, 2, 3, …, n}. 04: Loop begins, i = 2, 05: the ith order sequence is {i1, i2, i3, …, in}. 06: Loop begins, j = 1, 07: Swap the number Bi in task graph B and {B} with number Bij. 08: If j = n, end Loop. 09: If i = n!, end Loop. 10: n! task graphs and corresponding optimal mapping solution sequences have been obtained. |
| Algorithm 2 Dataset Disorder |
| Input: dataset with augmentation, which includes N initial samples and N∙n! samples generated. (The initial sample is written as A, and the corresponding sample generated is written as a). Output: disorder dataset 01: Let the initial sequence {A} be {1, 2, 3, …, N}. 02: New dataset’s size is K, k = 0; 03: Loop begins, i = 1, 04: Loop begins, j = 1, 05: Randomly sample an element, called P, from {A} without replacement. 06: Randomly sample a number, called m, in range (1, n!). 07: Sample the mth sample generating from the Pth initial sample into a new dataset. 08: k = k + 1 09: If k = K, end all Loops 10: If j = N, end Loop 11: If i = n!, end Loop |
2.2.4. Multi-Label Machine Learning Model
- The input layer, the task graph matrix is 9 × 9.
- The Conv1 layer, performs a convolution operation on the input matrix with a 3 × 3 size and a convolution kernel with a channel number of 32, with a step size of 1 and no boundary padding.
- The Conv2 layer uses 32 5 × 5 size convolution kernels, with a step size of 1 and the same boundary padding.
- The Max Pooling layer sizes 2 × 2 with the same boundary padding.
- The Dropout layer’s rate is set as 0.25.
- The Conv3 layer, uses 64 4 × 4 size convolution kernels, with a step size of 1 and the same boundary padding.
- The Conv4 layer, uses 64 3 × 3 size convolution kernels, with a step size of 1 and no boundary padding.
- The Flatten layer.
- 9.
- The Fcn1 layer output dimension is 1024 with 0.5 dropout rate.
- 10.
- The Fcn2 layer output dimension is 4096.
- 11.
- The Fcn3 layer output dimension is 9 with sigmoid.
3. Simulation and Results
4. Conclusions
Author Contributions
Funding
Institutional Review Board Statement
Informed Consent Statement
Data Availability Statement
Conflicts of Interest
References
- Soumya, J.; Tiwary, S.; Chattopadhyay, S. Area-performance trade-off in floorplan generation of Application-Specific Network-on-Chip with soft cores. J. Syst. Archit. 2014, 61, 1–11. [Google Scholar] [CrossRef]
- Dally, W.J.; Towles, B. Route packets, not wires: On-chip interconnection networks. In Proceedings of the 38th Design Automation Conference (IEEE Cat. No.01CH37232), Las Vegas, NV, USA, 22 June 2001; pp. 684–689. [Google Scholar]
- Ogras, U.Y.; Bogdan, P.; Marculescu, R. An Analytical Approach for Network-on-Chip Performance Analysis. IEEE Trans. Comput.-Aided Des. Integr. Circuits Syst. 2010, 29, 2001–2013. [Google Scholar] [CrossRef]
- Nedjah, N.; Silva Junior, L.; de Macedo Mourelle, L. Congestion-aware ant colony based routing algorithms for efficient application execution on Network-on-Chip platform. Expert Syst. Appl. 2013, 40, 6661–6673. [Google Scholar] [CrossRef]
- Sahu, P.K.; Shah, T.; Manna, K.; Chattopadhyay, S. Application Mapping Onto Mesh-Based Network-on-Chip Using Discrete Particle Swarm Optimization. IEEE Trans. Very Large Scale Integr. (VLSI) Syst. 2013, 22, 300–312. [Google Scholar] [CrossRef]
- Reddy, B.N.K.; Kar, S. Energy Efficient and High Performance Modified Mesh based 2-D NoC Architecture. In Proceedings of the 2021 IEEE 22nd International Conference on High Performance Switching and Routing (HPSR), Paris, France, 7–10 June 2021; pp. 1–5. [Google Scholar]
- Wang, X.; Choi, T.M.; Yue, X.; Zhang, M.; Du, W. An Effective Optimization Algorithm for Application Mapping in Network-on-Chip Designs. IEEE Trans. Ind. Electron. 2019, 67, 5798–5809. [Google Scholar] [CrossRef]
- Mohiz, M.J.; Baloch, N.K.; Hussain, F.; Saleem, S.; Zikria, Y.B.; Yu, H. Application Mapping Using Cuckoo Search Optimization with Lévy Flight for NoC-Based System. IEEE Access 2021, 9, 141778–141789. [Google Scholar] [CrossRef]
- Reddy, B.N.K.; Kar, S. Machine Learning Techniques for the Prediction of NoC Core Mapping Performance. In Proceedings of the 2021 IEEE 26th Pacific Rim International Symposium on Dependable Computing (PRDC), Perth, Australia, 1–4 December 2021; pp. 1–4. [Google Scholar]
- Miki, S.; Yamamoto, D.; Ebara, H. Applying Deep Learning and Reinforcement Learning to Traveling Salesman Problem. In Proceedings of the 2018 International Conference on Computing, Electronics & Communications Engineering (iCCECE), Southend, UK, 16–17 August 2018; pp. 65–70. [Google Scholar]
- Zhang, R.; Prokhorchuk, A.; Dauwels, J. Deep Reinforcement Learning for Traveling Salesman Problem with Time Windows and Rejections. In Proceedings of the 2020 International Joint Conference on Neural Networks (IJCNN), Glasgow, UK, 19–24 July 2020; pp. 1–8. [Google Scholar]
- Wu, Y.; Song, W.; Cao, Z.; Zhang, J.; Lim, A. Learning Improvement Heuristics for Solving Routing Problems. IEEE Trans. Neural Netw. Learn. Syst. 2021, 33, 5057–5069. [Google Scholar] [CrossRef] [PubMed]
- Zhong, L.; Sheng, J.; Jing, M.; Yu, Z.; Zeng, X.; Zhou, D. An optimized mapping algorithm based on Simulated Annealing for regular NoC architecture. In Proceedings of the 2011 9th IEEE International Conference on ASIC, Xiamen, China, 25–28 October 2011; pp. 389–392. [Google Scholar]
- Shen, W.T.; Chao, C.H.; Lien, Y.K.; Wu, A.Y. A New Binomial Mapping and Optimization Algorithm for Reduced-Complexity Mesh-Based On-Chip Network. In Proceedings of the First International Symposium on Networks-on-Chip (NOCS’07), Princeton, NJ, USA, 7–9 May 2007; pp. 317–322. [Google Scholar]
- Majd, A.; Sahebi, G.; Daneshtalab, M.; Plosila, J.; Tenhunen, H. Hierarchal Placement of Smart Mobile Access Points in Wireless Sensor Networks Using Fog Computing. In Proceedings of the 2017 25th Euromicro International Conference on Parallel, Distributed and Network-Based Processing (PDP), St. Petersburg, Russia, 6–8 March 2017; pp. 176–180. [Google Scholar]
- Murali, S.; Micheli, G.D. Bandwidth-constrained mapping of cores onto NoC architectures. In Proceedings of the Design, Automation and Test in Europe Conference and Exhibition, Paris, France, 16–20 February 2004; Volume 892, pp. 896–901. [Google Scholar]
- Tang, L.; Kumar, S. A two-step genetic algorithm for mapping task graphs to a network on chip architecture. In Proceedings of the Euromicro Symposium on Digital System Design, Belek-Antalya, Turkey, 1–6 September 2003; pp. 180–187. [Google Scholar]
- Upadhyay, M.; Shah, M.; Bhanu, P.V.; Soumya, J.; Cenkeramaddi, L.R. Multi-application Based Network-on-Chip Design for Mesh-of-Tree Topology Using Global Mapping and Reconfigurable Architecture. In Proceedings of the 2019 32nd International Conference on VLSI Design and 2019 18th International Conference on Embedded Systems (VLSID), Delhi, India, 5–9 January 2019; pp. 527–528. [Google Scholar]
- Hsin, H.K.; Chang, E.J.; Su, K.Y.; Wu, A.Y. Ant Colony Optimization-Based Adaptive Network-on-Chip Routing Framework Using Network Information Region. IEEE Trans. Comput. 2014, 64, 2119–2131. [Google Scholar] [CrossRef]
- Xu, C.; Liu, Y.; Li, P.; Yang, Y. Unified Multi-objective Mapping for Network-on-chip Using Genetic based Hyper-heuristic Algorithms. IET Comput. Digit. Tech. 2017, 12, 158–166. [Google Scholar] [CrossRef]
- Bhardwaj, K.; Mane, P.S. C3Map and ARPSO based mapping algorithms for energy-efficient regular 3-D NoC architectures. In Proceedings of the Technical Papers of 2014 International Symposium on VLSI Design, Automation and Test, Hsinchu, Taiwan, 28–30 April 2014; pp. 1–4. [Google Scholar]
- Singh, R.; Armour, S.; Khan, A.; Sooriyabandara, M.; Oikonomou, G. Heuristic Approaches for Computational Offloading in Multi-Access Edge Computing Networks. In Proceedings of the 2020 IEEE 31st Annual International Symposium on Personal, Indoor and Mobile Radio Communications, London, UK, 31 August–3 September 2020; pp. 1–7. [Google Scholar]
- Zhang, J.; Li, Z.; Pu, Z.; Xu, C. Comparing Prediction Performance for Crash Injury Severity Among Various Machine Learning and Statistical Methods. IEEE Access 2018, 6, 60079–60087. [Google Scholar] [CrossRef]
- Reddy, M.P.; Aneesh, A.; Praneetha, K.; Vijay, S. Global Warming Analysis and Prediction Using Data Science. In Proceedings of the 2021 Fifth International Conference on I-SMAC (IoT in Social, Mobile, Analytics and Cloud) (I-SMAC), Palladam, India, 11–13 November 2021; pp. 1055–1059. [Google Scholar]
- Ying, H.; Heid, K.; Hollstein, T.; Hofmann, K. A genetic algorithm based optimization method for low vertical link density 3-dimensional Networks-on-Chip many core systems. In Proceedings of the NORCHIP 2012, Copenhagen, Denmark, 12–13 November 2012; pp. 1–4. [Google Scholar]
- Wu, C.; Deng, C.; Liu, L.; Han, J.; Chen, J.; Yin, S.; Wei, S. An Efficient Application Mapping Approach for the Co-Optimization of Reliability, Energy, and Performance in Reconfigurable NoC Architectures. IEEE Trans. Comput.-Aided Des. Integr. Circuits Syst. 2015, 34, 1264–1277. [Google Scholar] [CrossRef]
- Hou, J.; Han, Q.; Radetzki, M. A Machine Learning Enabled Long-Term Performance Evaluation Framework for NoCs. In Proceedings of the 2019 IEEE 13th International Symposium on Embedded Multicore/Many-core Systems-on-Chip (MCSoC), Singapore, 1–4 October 2019; pp. 164–171. [Google Scholar]
- Rao, N.; Ramachandran, A.; Shah, A. MLNoC: A Machine Learning Based Approach to NoC Design. In Proceedings of the 2018 30th International Symposium on Computer Architecture and High Performance Computing (SBAC-PAD), Lyon, France, 24–27 September 2018; pp. 1–8. [Google Scholar]
- Lin, T.R.; Penney, D.; Pedram, M.; Chen, L. A Deep Reinforcement Learning Framework for Architectural Exploration: A Routerless NoC Case Study. In Proceedings of the 2020 IEEE International Symposium on High Performance Computer Architecture (HPCA), San Diego, CA, USA, 22–26 February 2020; pp. 99–110. [Google Scholar]
- Das, S.; Doppa, J.R.; Kim, D.H.; Pande, P.P.; Chakrabarty, K. Optimizing 3D NoC design for energy efficiency: A machine learning approach. In Proceedings of the 2015 IEEE/ACM International Conference on Computer-Aided Design (ICCAD), Austin, TX, USA, 2–6 November 2015; pp. 705–712. [Google Scholar]
- Forrest, S. Genetic algorithms: Principles of natural selection applied to computation. Science 1993, 261, 872–878. [Google Scholar] [CrossRef]
- Weng, X.D.; Liu, Y.; Yang, Y.T. Network-on-chip heuristic mapping algorithm based on isomorphism elimination for NoC optimisation. IET Comput. Digit. Tech. 2020, 14, 272–280. [Google Scholar] [CrossRef]










| Performance | Ring Fixed | Ring Random | Torus Fixed | Torus Random |
|---|---|---|---|---|
| Delay accuracy | 99.7% | 99.6% | 99.8% | 99.8% |
| Delay loss | 0.009 | 0.012 | 0.006 | 0.006 |
| Energy accuracy | 99.4% | 99.8% | 99.6% | 99.4% |
| Energy loss | 0.017 | 0.007 | 0.014 | 0.018 |
| Performance | Mapping 1 | Mapping 2 | Mapping 3 | Mapping 4 |
|---|---|---|---|---|
| Best Delay | 77,994 | 76,215 | 67,481 | 76,471 |
| False Delay | 81,797 | 97,055 | 100,036 | 113,582 |
| Performance | Mapping 1 | Mapping 2 | Mapping 3 | Mapping 4 | Mapping 5 | Mapping 6 |
|---|---|---|---|---|---|---|
| Best Energy(pj) | 16.6191 | 18.7731 | 18.9083 | 19.0964 | 16.4425 | 18.8791 |
| False Energy(pj) | 18.9333 | 27.7608 | 20.3984 | 28.2356 | 18.1124 | 19.3098 |
| Performance | Mapping 1 | Mapping 2 | Mapping 3 | Mapping 4 | Mapping 5 |
|---|---|---|---|---|---|
| Best Delay | 46,474 | 40,856 | 76,162 | 69,169 | 33,749 |
| False Delay | 57,752 | 43,754 | 111,034 | 102,352 | 34,351 |
| Performance | Mapping 1 | Mapping 2 | Mapping 3 | Mapping 4 | Mapping 5 |
|---|---|---|---|---|---|
| Best Energy (pj) | 15.4384 | 13.9859 | 16.1008 | 20.9854 | 105,578 |
| False Energy(pj) | 21.6159 | 16.9352 | 22.4784 | 27.8658 | 150,402 |
| Performance | Mapping 1 | Mapping 2 | Mapping 3 | Mapping 4 | Mapping 5 | Mapping 6 |
| Best Delay | 47,608 | 26,760 | 23,987 | 38,022 | 26,947 | 27,646 |
| False Delay | 65,645 | 32,008 | 26,040 | 38,627 | 27,569 | 39,028 |
| Performance | Mapping 7 | Mapping 8 | ||||
| Best Delay | 30,437 | 25,305 | ||||
| False Delay | 35,262 | 25,740 |
| Performance | Mapping 1 | Mapping 2 | Mapping 3 | Mapping 4 | Mapping 5 | Mapping 6 |
| Best Energy(pj) | 12.7440 | 6.9261 | 8.5507 | 11.1743 | 7.8398 | 7.3871 |
| False Energy(pj) | 17.4792 | 9.1960 | 11.5693 | 12.7215 | 8.2205 | 9.9535 |
| Performance | Mapping 7 | Mapping 8 | Mapping 9 | Mapping 10 | ||
| Best Energy(pj) | 11.4610 | 8.2627 | 12.4991 | 10.7195 | ||
| False Energy(pj) | 16.9062 | 10.0753 | 17.2832 | 11.7211 |
| Performance | Mapping 1 | Mapping 2 | Mapping 3 | Mapping 4 | Mapping 5 | Mapping 6 |
| Best Delay | 37,962 | 34,662 | 58,728 | 53,211 | 30,466 | 48,027 |
| False Delay | 47,258 | 45,863 | 80,888 | 71,294 | 32,943 | 59,992 |
| Performance | Mapping 7 | Mapping 8 | Mapping 9 | |||
| Best Delay | 20,525 | 63,852 | 26,871 | |||
| False Delay | 24,018 | 70,997 | 30,298 |
| Performance | Mapping 1 | Mapping 2 | Mapping 3 | Mapping 4 | Mapping 5 | Mapping 6 |
| Best Energy(pj) | 29.6195 | 32.7679 | 34.8004 | 35.9488 | 27.5414 | 32.5064 |
| False Energy(pj) | 36.2185 | 44.3900 | 39.6032 | 47.7238 | 29.1801 | 48.1053 |
| Performance | Mapping 7 | Mapping 8 | Mapping 9 | Mapping 10 | Mapping 11 | Mapping 12 |
| Best Energy(pj) | 27.9463 | 32.8899 | 28.3429 | 27.5414 | 29.6371 | 33.3850 |
| False Energy(pj) | 36.1243 | 45.2444 | 35.51304 | 39.8097 | 37.7460 | 35.8770 |
Disclaimer/Publisher’s Note: The statements, opinions and data contained in all publications are solely those of the individual author(s) and contributor(s) and not of MDPI and/or the editor(s). MDPI and/or the editor(s) disclaim responsibility for any injury to people or property resulting from any ideas, methods, instructions or products referred to in the content. |
© 2023 by the authors. Licensee MDPI, Basel, Switzerland. This article is an open access article distributed under the terms and conditions of the Creative Commons Attribution (CC BY) license (https://creativecommons.org/licenses/by/4.0/).
Share and Cite
Weng, X.; Liu, Y.; Xu, C.; Lin, X.; Zhan, L.; Wang, S.; Chen, D.; Yang, Y. A Machine Learning Mapping Algorithm for NoC Optimization. Symmetry 2023, 15, 593. https://doi.org/10.3390/sym15030593
Weng X, Liu Y, Xu C, Lin X, Zhan L, Wang S, Chen D, Yang Y. A Machine Learning Mapping Algorithm for NoC Optimization. Symmetry. 2023; 15(3):593. https://doi.org/10.3390/sym15030593
Chicago/Turabian StyleWeng, Xiaodong, Yi Liu, Changqing Xu, Xiaoling Lin, Linjun Zhan, Shunyao Wang, Dongdong Chen, and Yintang Yang. 2023. "A Machine Learning Mapping Algorithm for NoC Optimization" Symmetry 15, no. 3: 593. https://doi.org/10.3390/sym15030593
APA StyleWeng, X., Liu, Y., Xu, C., Lin, X., Zhan, L., Wang, S., Chen, D., & Yang, Y. (2023). A Machine Learning Mapping Algorithm for NoC Optimization. Symmetry, 15(3), 593. https://doi.org/10.3390/sym15030593

