Impact of Thermal Radiation on MHD GO-Fe2O4/EG Flow and Heat Transfer over a Moving Surface
Abstract
:Highlights
- The stagnation point of heat transfer and hybrid nanofluid flow using the Powell-Eyring model toward stretching/shrinking surface problem is studied. The metal particles used are GO and Fe2O4 and Ethylene Glycol (EG) as base fluid. The analysis of entropy when the surface shrunk is highlighted. The thermal radiation and magnetic effects are also investigated.
Abstract
1. Introduction
2. Mathematical Modelling
3. Flow Stability
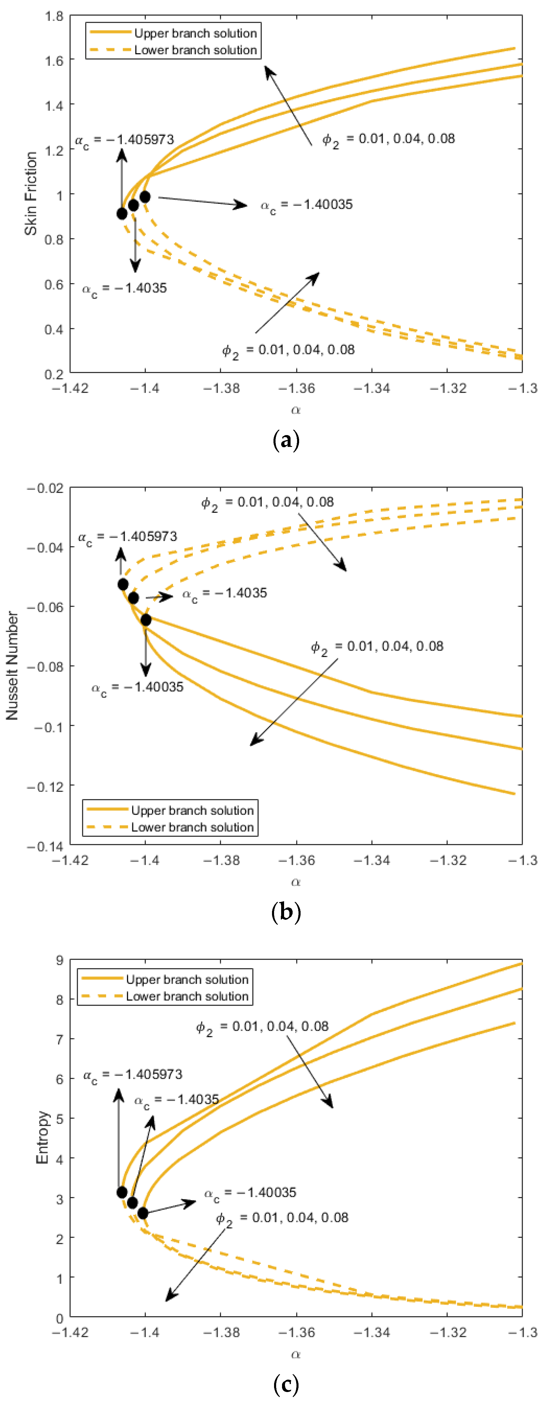
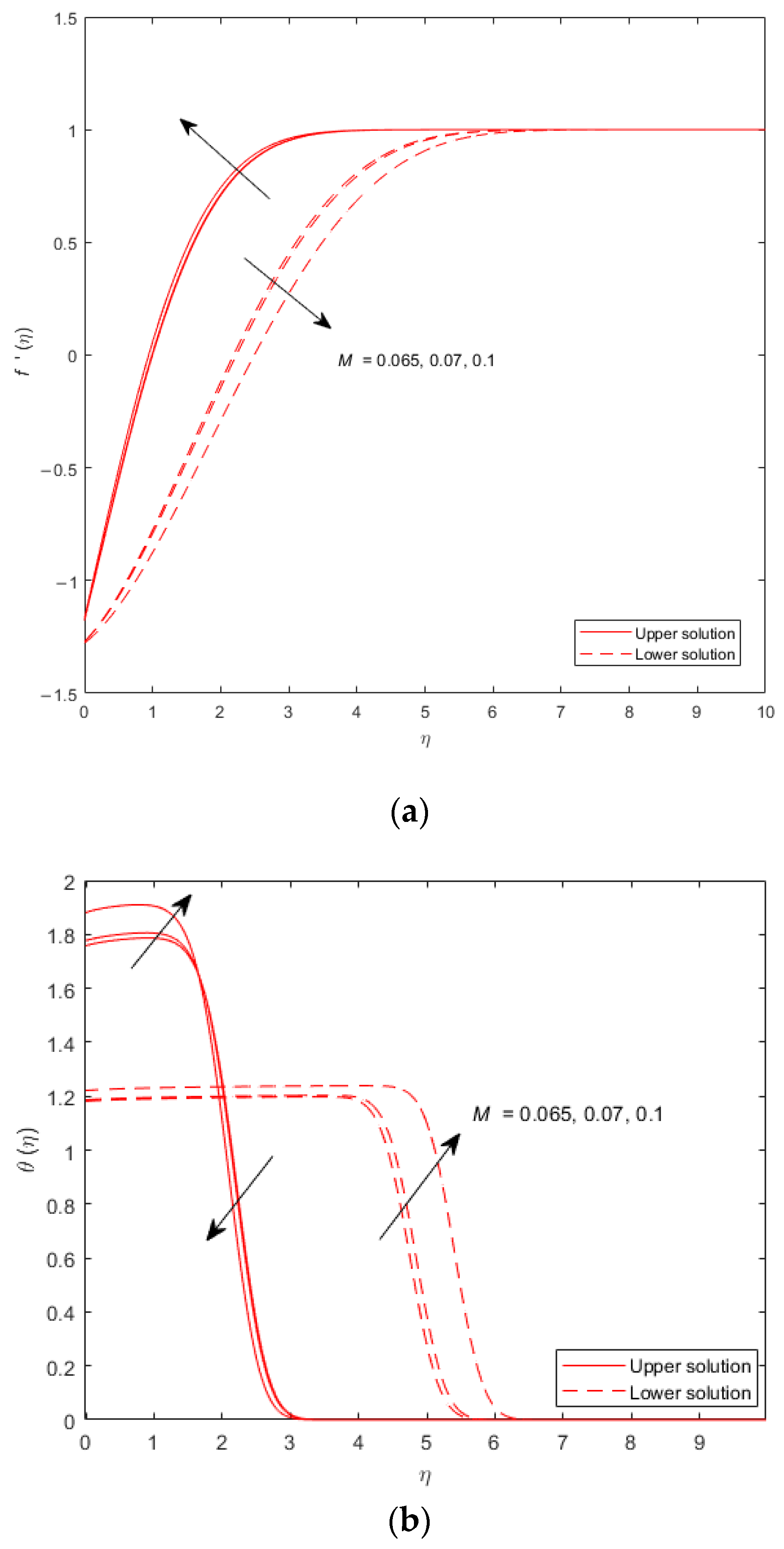
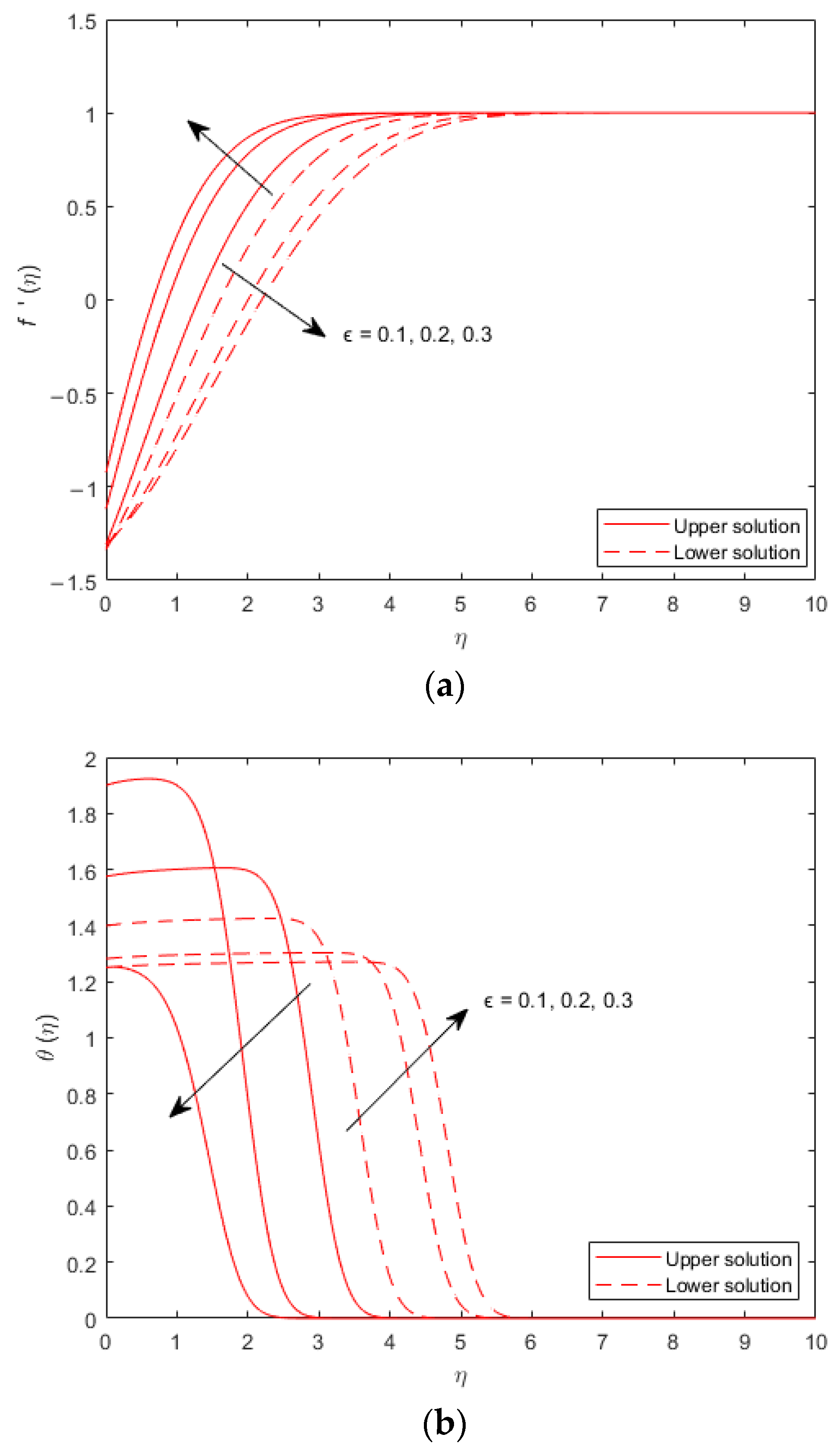
4. Results and Discussion
5. Conclusions
- The fluid velocity will be faster in the range of 9.7–54.3% when the values of magnetic field and slip velocity parameters are optimized for the studied values of these parameters.
- The temperature of the fluid will be hotter by a percentage ranging between 76.6% and 215% with the increment in the value of the thermal radiation parameter effect, the Eckert number, and the concentration of GO, within the limits of the selected values for the parameters under study.
- Skin friction will be elevated with the high magnetic field, velocity slip, and concentration of GO between 13.7% and 66.5% with these parameters’ values incrementations.
- Thermal radiation and velocity slip can be enhanced to improve the heat transfer rate with the range of 99.8–147% for taken parameters’ range.
- Magnetic field, velocity slip, and Eckert number support the production of entropy (with 16.6–43.9%) when their values are raised within the range for these parameters.
Author Contributions
Funding
Data Availability Statement
Acknowledgments
Conflicts of Interest
Nomenclatures
| Biot number | the fluid temperature of the surface | ||
| Brinkman number | ambient temperature | ||
| skin friction coefficient | initial stretching rate | ||
| specific heat | Greek symbols | ||
| Eckert number | the volume fraction of the nanoparticles | ||
| dimensional entropy | density | ||
| heat transfer coefficient | Stefan Boltzmann constant | ||
| thermal conductivity | stream function | ||
| absorption coefficient | velocity slip parameter | ||
| radiation parameter | dynamic viscosity of the fluid () | ||
| dimensionless entropy generation | kinematic viscosity of the fluid () | ||
| local Nusselt number | dimensionless temperature | ||
| Prandtl number | , | material parameters | |
| radiative heat flux | stretching and shrinking parameter | ||
| wall heat flux | Subscripts | ||
| Reynolds number | base fluid | ||
| velocity component | surface | ||
| the velocity of the stretching sheet | nanofluid | ||
| mass flux constant velocity | particles | ||
| dimensional space coordinates | graphene oxide nanoparticle | ||
| fluid temperature | Fe2O4 | iron dioxide nanoparticle | |
| magnetic parameter | ethylene glycol | ||
References
- Ramzan, M.; Dawar, A.; Saeed, A.; Kumam, P.; Watthayu, W.; Kumam, W. Heat transfer analysis of the mixed convective flow of magnetohydrodynamic hybrid nanofluid past a stretching sheet with velocity and thermal slip conditions. PLoS ONE 2021, 16, e0260854. [Google Scholar] [CrossRef]
- Hafeez, A.; Yasir, M.; Khan, M.; Malik, M.Y.; Alqahtani, A.S. Buoyancy effect on the chemically reactive flow of Cross nanofluid over a shrinking surface: Dual solution. Int. Commun. Heat Mass Transf. 2021, 126, 105438. [Google Scholar] [CrossRef]
- Othman, M.N.; Jedi, A.; Bakar, N.A.A. MHD Flow and Heat Transfer of Hybrid Nanofluid over an Exponentially Shrinking Surface with Heat Source/Sink. Appl. Sci. 2021, 11, 8199. [Google Scholar] [CrossRef]
- Parvin, S.; Isa, S.S.P.M.; Arifin, N.M.; Ali, F.M.A. The Inclined Factors of Magnetic Field and Shrinking Sheet in Casson Fluid Flow, Heat and Mass Transfer. Symmetry 2021, 13, 373. [Google Scholar] [CrossRef]
- Lund, L.A.; Omar, Z.; Dero, S.; Khan, I.; Baleanu, D.; Nisar, K.S. Magnetized Flow of Cu + Al2O3 + H2O Hybrid Nanofluid in Porous Medium: Analysis of Duality and Stability. Symmetry 2020, 12, 1513. [Google Scholar] [CrossRef]
- Yasir, M.; Hafeez, A.; Khan, M. Thermal conductivity performance in hybrid (SWCNTs-CuO/Ethylene glycol) nanofluid flow: Dual solutions. Ain Shams Eng. J. 2022, 13, 101703. [Google Scholar] [CrossRef]
- Jawad, M.; Jan, R.; Boulaaras, S.; Amin, I.; Shah, N.A.; Idris, S.A. Unsteady Electrohydrodynamic Stagnation Point Flow of Hybrid Nanofluid Past a Convective Heated Stretch/Shrink Sheet. Adv. Math. Phys. 2021, 2021, 6229706. [Google Scholar] [CrossRef]
- Khan, A.A.; Zaimi, K.; Ying, T.Y. Unsteady MHD Stagnation Point Flow of Al2O3-Cu/H2O Hybrid Nanofluid Past a Convectively Heated Permeable Stretching/Shrinking Sheet with Suction/Injection. J. Adv. Res. Fluid Mech. Therm. Sci. 2022, 96, 96–114. [Google Scholar] [CrossRef]
- Rahman, A.N.H.; Bachok, N.; Rosali, H. Numerical Solutions of MHD Stagnation-Point Flow over an Exponentially Stretching/Shrinking Sheet in a Nanofluid. In Proceedings of the 2nd International Conference on Applied & Industrial Mathematics and Statistics, Kuantan, Malaysia, 23–25 July 2019. [Google Scholar]
- Rao, D.P.C.; Thiagarajan, S.; Kumar, V.S. Heat transfer in darcy-forcheimer flow of tangent hyperbolic fluid over an inclined plate with joule heating. J. Appl. Math. Comput. Mech. 2021, 20, 31–40. [Google Scholar] [CrossRef]
- Venkatesan, G.; Reddy, A.S. Insight into the dynamics of blood conveying alumina nanoparticles subject to Lorentz force, viscous dissipation, thermal radiation, Joule heating, and heat source. Eur. Phys. J. Spec. Top. 2021, 230, 1475–1485. [Google Scholar] [CrossRef]
- Gholinia, M.; Hoseini, M.E.; Gholinia, S. A numerical investigation of free convection MHD flow of Walters-B nanofluid over an inclined stretching sheet under the impact of Joule heating. Therm. Sci. Eng. Prog. 2019, 11, 272–282. [Google Scholar] [CrossRef]
- Alaidrous, A.A.; Eid, M.R. 3-D electromagnetic radiative non-Newtonian nanofluid flow with Joule heating and higher-order reactions in porous materials. Sci. Rep. 2020, 10, 14513. [Google Scholar] [CrossRef] [PubMed]
- Jangid, S.; Alessa, N.; Mehta, R.; Thamaraikannan, N.; Shilpa, S. Numerical Study of Cattaneo–Christov Heat Flux on Water-Based Carreau Fluid Flow over an Inclined Shrinking Sheet with Ternary Nanoparticles. Symmetry 2022, 14, 2605. [Google Scholar] [CrossRef]
- Ferdows, M.; Zaimi, K.; Rashad, A.M.; Nabwey, H.A. MHD Bioconvection Flow and Heat Transfer of Nanofluid through an Exponentially Stretchable Sheet. Symmetry 2020, 12, 692. [Google Scholar] [CrossRef]
- Bazdar, H.; Toghraie, D.; Pourfattah, F.; Akbari, O.A.; Nguyen, H.M.; Asadi, A. Numerical investigation of turbulent flow and heat transfer of nanofluid inside a wavy microchannel with different wavelengths. J. Therm. Anal. Calorim. 2020, 139, 2365–2380. [Google Scholar] [CrossRef]
- Arasteh, H.; Mashayekhi, R.; Goodarzi, M.; Motaharpour, S.H.; Dahari, M.; Toghraie, D. Heat and fluid flow analysis of metal foam embedded in a double layered sinusoidal heat sink under local thermal non-equilibrium condition using nanofluid. J. Therm. Anal. Calorim. 2019, 138, 1461–1476. [Google Scholar] [CrossRef]
- Qureshi, M.A. A case study of MHD driven Prandtl-Eyring hybrid nanofluid flow over a stretching sheet with thermal jump conditions. Case Stud. Therm. Eng. 2021, 28, 101581. [Google Scholar] [CrossRef]
- Mashayekhi, R.; Khodabandeh, E.; Akbari, O.A.; Toghraie, D.; Bahiraei, M.; Gholami, M. CFD analysis of thermal and hydrodynamic characteristics of hybrid nanofluid in a new designed sinusoidal double-layered microchannel heat sink. J. Therm. Anal. Calorim. 2018, 134, 2305–2315. [Google Scholar] [CrossRef]
- Hussain, Z.; Muhammad, S.; Anwar, M.S. Effects of first-order chemical reaction and melting heat on hybrid nanoliquid flow over a nonlinear stretched curved surface with shape factors. Adv. Mech. Eng. 2021, 13. [Google Scholar] [CrossRef]
- Masood, S.; Farooq, M. Influence of thermal stratification and thermal radiation on graphene oxide Ag/H2O hybrid nanofluid. J. Therm. Anal. Calorim. 2021, 143, 1361–1370. [Google Scholar] [CrossRef]
- Ahmad, S.; Ali, K.; Ashraf, M.; Khalifa, H.A.E.W.; ElSeabee, F.A.A.; Tag El Din, E.S.M. Analysis of pure nanofluid (GO/engine oil) and hybrid nanofluid (GO–Fe3O4/engine oil): Novel thermal and magnetic features. Nanotechnol. Rev. 2022, 11, 2903–2915. [Google Scholar] [CrossRef]
- Muhammad, N.; Nadeem, S. Ferrite nanoparticles Ni- ZnFe2O4, Mn- ZnFe2O4 and Fe2O4 in the flow of ferromagnetic nanofluid. Eur. Phys. J. Plus 2017, 132, 377. [Google Scholar] [CrossRef]
- Ramzan, M.; Gul, N.; Chung, J.D. Numerical treatment of radiative Nickel–Zinc ferrite-Ethylene glycol nanofluid flow past a curved surface with thermal stratification and slip conditions. Sci. Rep. 2020, 10, 16832. [Google Scholar] [CrossRef]
- Tahir, H.; Khan, U.; Din, A.; Chu, Y.M.; Muhammad, N.; Li, X.M. Hybridized two phase ferromagnetic nanofluid with NiZnFe2O4 and MnZnFe2O4. Ain Shams Eng. J. 2021, 12, 3063–3070. [Google Scholar] [CrossRef]
- Muhammad, T.; Waqas, H.; Khan, S.A.; Ellahi, R.; Sait, S.M. Significance of nonlinear thermal radiation in 3D Eyring–Powell nanofluid flow with Arrhenius activation energy. J. Therm. Anal. Calorim. 2021, 143, 929–944. [Google Scholar] [CrossRef]
- Powell, R.E.; Eyring, H. Mechanisms for the relaxation theory of viscosity. Nature 1944, 154, 427–428. [Google Scholar] [CrossRef]
- Akbar, N.S.; Ebaid, A.; Khan, Z.H. Numerical analysis of magnetic field effects on Eyring–Powell fluid flow towards a stretching sheet. J. Magn. Magn. Mater. 2015, 382, 355–358. [Google Scholar] [CrossRef]
- Ogunseye, H.A.; Tijani, Y.O.; Sibanda, P. Entropy generation in an unsteady Eyring-Powell hybrid nanofluid flow over a permeable surface: A Lie group analysis. Heat Transf. 2020, 49, 3374–3390. [Google Scholar] [CrossRef]
- Manvi, B.; Tawade, J.; Biradar, M.; Noeiaghdam, S.; Gamiz, U.F.; Govindan, V. The effects of MHD radiating and non-uniform heat source/sink with heating on the momentum and heat transfer of Eyring-Powell fluid over a stretching. Results Eng. 2022, 14, 100435. [Google Scholar] [CrossRef]
- Hamida, M.B.B.; Charrada, K. Heat Generation/Absorption Effect on Natural Convection Heat Transfer in a Square Enclosure Filled with a Ethylene Glycol-Copper Nanofluid Under Magnetic Field. Am. J. Mod. Energy 2015, 1, 1–16. [Google Scholar] [CrossRef]
- Kumar, T.S. Hybrid nanofluid slip flow and heat transfer over a stretching surface. Partial. Differ. Equ. Appl. Math. 2021, 4, 100070. [Google Scholar] [CrossRef]
- Ahmad, S.; Nadeem, S.; Rehman, A. Mathematical Analysis of Thermal Energy Distribution in a Hybridized Mixed Convective Flow. J. Nanofluids 2021, 10, 222–231. [Google Scholar] [CrossRef]
- Roja, A. Scrutinization of entropy on MHD Eyring–Powell C71500–Ti6Al4V nanoparticles suspended in a C2H6O2−H2O hybrid base fluid with heat generation. Heat Transf. 2021, 51, 193–209. [Google Scholar] [CrossRef]
- Rashad, A.M.; Nafe, M.A.; Eisa, D.A. Heat Generation and Thermal Radiation Impacts on Flow of Magnetic Eyring–Powell Hybrid Nanofluid in a Porous Medium. Arab. J. Sci. Eng. 2022, 48, 939–952. [Google Scholar] [CrossRef]
- Mostafazadeh, A.; Toghraie, D.; Mashayekhi, R.; Akbari, O.A. Effect of radiation on laminar natural convection of nanofluid in a vertical channel with single- and two-phase approaches. J. Therm. Anal. Calorim. 2019, 138, 779–794. [Google Scholar] [CrossRef]
- Dogonchi, A.S.; Divsalar, K.; Ganji, D.D. Flow and heat transfer of MHD nanofluid between parallel plates in the presence of thermal radiation. Comput. Methods Appl. Mech. Eng. 2016, 310, 58–76. [Google Scholar] [CrossRef]
- Dogonchi, A.S.; Alizadeh, M.; Ganji, D.D. Investigation of MHD Go-water nanofluid flow and heat transfer in a porous channel in the presence of thermal radiation effect. Powder Technol. 2017, 28, 1815–1825. [Google Scholar] [CrossRef]
- Ashwinkumar, G.P.; Samrat, S.P.; Sandeep, N. Convective heat transfer in MHD hybrid nanofluid flow over two different geometries. Int. Commun. Heat Mass Transf. 2021, 127, 105563. [Google Scholar] [CrossRef]
- Shoaib, M.; Raja, M.A.Z.; Sabir, M.T.; Islam, S.; Shah, Z.; Kumam, P.; Alrabaiah, H. Numerical investigation for rotating flow of MHD hybrid nanofluid with thermal radiation over a stretching sheet. Sci. Rep. 2020, 10, 18533. [Google Scholar] [CrossRef]
- Yahya, A.U.; Salamat, N.; Huang, W.H.; Siddique, I.; Abdal, S.; Hussain, S. Thermal characteristics for the flow of Williamson hybrid nanofluid (MoS2 + ZnO) based with engine oil over a stretched sheet. Case Stud. Therm. Eng. 2021, 26, 101196. [Google Scholar] [CrossRef]
- Das, S.; Sarkar, S.; Jana, R.N. Feature of Entropy Generation in Cu-Al2O3/Ethylene Glycol Hybrid Nanofluid Flow Through a Rotating Channel. Bionanoscience 2020, 10, 950–967. [Google Scholar] [CrossRef]
- Sreedevi, P.; Reddy, P.s. Entropy generation and heat transfer analysis of alumina and carbon nanotubes based hybrid nanofluid inside a cavity. Phys. Scr. 2021, 96, 085210. [Google Scholar] [CrossRef]
- Naganthran, K.; Nazar, R.; Siri, Z.; Hashim, I. Entropy Analysis and Melting Heat Transfer in the Carreau Thin Hybrid Nanofluid Film Flow. Mathematics 2021, 9, 3092. [Google Scholar] [CrossRef]
- Mekheimer, K.S.; Abo-Elkhair, R.E.; Ali, K.K.; Keshta, M.G. Entropy generation and curvature effect on peristaltic thrusting of (Cu–Al2O3) hybrid nanofluid in resilient channel: Nonlinear analysis. Heat Transf. 2021, 50, 7918–7948. [Google Scholar] [CrossRef]
- Ghali, D.; Redouane, F.; Abdelhak, R.; Mahammed, A.B.; Zineb, C.D.; Jamshed, W.; Eid, M.R.; Eldin, S.M.; Musa, A.; Nasir, N.A.A.M. Mathematical Entropy Analysis of Natural Convection of MWCNT—Fe3O4/Water Hybrid Nanofluid with Parallel Magnetic Field via Galerkin Finite Element Process. Symmetry 2022, 14, 2312. [Google Scholar] [CrossRef]
- Hayat, A.U.; Ullah, I.; Khan, H.; Weera, W.; Galal, A.M. Numerical Simulation of Entropy Optimization in Radiative Hybrid Nanofluid Flow in a Variable Features Darcy–Forchheimer Curved Surface. Symmetry 2022, 14, 2057. [Google Scholar] [CrossRef]
- Waini, I.; Ishak, A.; Pop, I. Hybrid nanofluid flow and heat transfer past a vertical thin needle with prescribed surface heat flux. International Int. J. Numer. Methods Heat Fluid Flow 2019, 29, 4875–4894. [Google Scholar] [CrossRef]
- Jamshed, W.; Al-Kouz, W.; Nasir, N.A.A.M. Computational single phase comparative study of inclined MHD in a Powell–Eyring nanofluid. Heat Transf. 2021, 50, 3879–3912. [Google Scholar] [CrossRef]
- Devi, S.P.A.; Devi, S.U. Numerical investigation of hydromagnetic hybrid Cu-Al2O3/water nanofluid flow over a permeable stretching sheet with suction. Int. J. Nonlinear Sci. Numer. Simul. 2016, 17, 249–257. [Google Scholar] [CrossRef]
- Khashi’ie, N.S.; Waini, I.; Kasim, A.R.M.; Zainal, N.A.; Arifin, N.M.; Pop, I. Thermal progress of a non-Newtonian hybrid nanofluid flow on a permeable Riga plate with temporal stability analysis. Chin. J. Phys. 2022, 77, 279–290. [Google Scholar] [CrossRef]
- Kumar, R.N.; Gowda, R.J.P.; Alam, M.M.; Ahmad, I.; Mahrous, Y.M.; Gorji, M.R.; Prasannakumara, B.C. Inspection of convective heat transfer and KKL correlation for simulation of nanofluid flow over a curved stretching sheet. Int. Commun. Heat Mass Transf. 2021, 126, 105445. [Google Scholar] [CrossRef]
- Al-Mubaddel, F.S.; Farooq, U.; Al-Khaled, K.; Hussain, S.; Khan, S.U.; Aijaz, M.O.; Rahimi-Gorji, M.; Waqas, H. Double stratified analysis for bioconvection radiative flow of Sisko nanofluid with generalized heat/mass fluxes. Phys. Scr. 2021, 96, 055004. [Google Scholar] [CrossRef]
- Ganesh, N.V.; Al-Mdallal, Q.M.; Kameswaran, P.K. Numerical study of MHD effective Prandtl number boundary layer flow of γ Al2O3 nanofluids past a melting surface. Case Stud. Therm. Eng. 2019, 13, 100413. [Google Scholar] [CrossRef]
- Bachok, N.; Ishak, A.; Pop, I. Melting heat transfer in boundary layer stagnation-point flow towards a stretching/shrinking sheet. Phys. Lett. A 2010, 374, 4075–4079. [Google Scholar] [CrossRef]
- Wahid, N.S.; Arifin, N.M.; Pop, I.; Bachok, N.; Hafidzuddin, M.E.H. MHD stagnation-point flow of nanofluid due to a shrinking sheet with melting, viscous dissipation, and Joule heating effects. Alex. Eng. J. 2022, 61, 12661–12672. [Google Scholar] [CrossRef]
- Adesanya, S.O.; Onanaye, A.S.; Adeyemi, O.G.; Rahimi-Gorji, M.; Alarifi, I.M. Evaluation of heat irreversibility in couple stress falling liquid films along heated inclined substrate. J. Clean. Prod. 2019, 239, 117608. [Google Scholar] [CrossRef]










| Features | Hybrid Nanofluid |
|---|---|
| Density () | |
| Viscosity () | |
| Heat capacity () | |
| Thermal conductivity ( | With |
| Thermophysical Properties | Graphene Oxide (GO) | Iron Dioxide (Fe2O4) | Ethylene Glycol (EG) |
|---|---|---|---|
Thermal conductivity | 5000 | 9.7 | 0.253 |
Density | 1800 | 5180 | 1115 |
Specific heat | 717 | 670 | 2430 |
| α | Bachok et al. [55] | Wahid et al. [56] | Present Study | |||
|---|---|---|---|---|---|---|
| 1st Solution | 2nd Solution | 1st Solution | 2nd Solution | 1st Solution | 2nd Solution | |
| −0.25 | 1.4022408 | - | 1.402240767 | - | 1.402240774 | - |
| −0.5 | 1.4956698 | - | 1.495669720 | - | 1.495669732 | - |
| −0.75 | 1.4892983 | - | 1.489298191 | - | 1.489298195 | - |
| −1.15 | 1.0822315 | 0.1167022 | 1.082231123 | 0.116702139 | 1.082231123 | 0.116702132 |
| −1.2 | 0.9324739 | 0.2336497 | 0.932473307 | 0.233649729 | 0.932473309 | 0.233649727 |
| −1.2465 | 0.5842956 | 0.5542825 | 0.584281454 | 0.554296191 | 0.584281488 | 0.554296191 |
| −1.24657 | 0.5639733 | - | 0.574525263 | 0.564003924 | 0.574525624 | 0.564009932 |
| Entropy | |||||||||
|---|---|---|---|---|---|---|---|---|---|
| 1st Solution | 2nd Solution | 1st Solution | 2nd Solution | 1st Solution | 2nd Solution | ||||
| 0.01 | 0.1 | 0.1 | 0.1 | 1.072133669 | 0.750354986 | −0.063235727 | −0.043932841 | 4.359617604 | 2.129891634 |
| 0.8 | - | - | - | 1.072133757 | 0.750354987 | −5.05888402 | −3.514627291 | 26.322070129 | 12.730478987 |
| 1.0 | - | - | - | 1.072133758 | 0.750354987 | −6.323605114 | −4.393284109 | 38.677880812 | 18.694241172 |
| - | 0.07 | - | - | 1.072133679 | 0.750354989 | −0.072036548 | −0.049763586 | 4.360764374 | 2.130420151 |
| - | 0.08 | - | - | 1.072133680 | 0.750354987 | −0.068565825 | −0.047457329 | 4.360295382 | 2.130203896 |
| - | - | 0.2 | - | 1.612105529 | 0.466433063 | −0.099002297 | −0.031028763 | 9.921324931 | 0.821946760 |
| - | - | 0.3 | - | 1.816822281 | 0.370772639 | −0.027679856 | −0.027591472 | 12.630987007 | 0.519323731 |
| - | - | - | 0.45 | 1.072133668 | 0.750354989 | −0.063235889 | −0.043932852 | 4.359617616 | 2.129891649 |
| - | - | - | 0.5 | 1.072133668 | 0.750354987 | −0.063235894 | −0.043932843 | 4.359617616 | 2.129891638 |
Disclaimer/Publisher’s Note: The statements, opinions and data contained in all publications are solely those of the individual author(s) and contributor(s) and not of MDPI and/or the editor(s). MDPI and/or the editor(s) disclaim responsibility for any injury to people or property resulting from any ideas, methods, instructions or products referred to in the content. |
© 2023 by the authors. Licensee MDPI, Basel, Switzerland. This article is an open access article distributed under the terms and conditions of the Creative Commons Attribution (CC BY) license (https://creativecommons.org/licenses/by/4.0/).
Share and Cite
Aminuddin, N.A.; Nasir, N.A.A.M.; Jamshed, W.; Ishak, A.; Pop, I.; Eid, M.R. Impact of Thermal Radiation on MHD GO-Fe2O4/EG Flow and Heat Transfer over a Moving Surface. Symmetry 2023, 15, 584. https://doi.org/10.3390/sym15030584
Aminuddin NA, Nasir NAAM, Jamshed W, Ishak A, Pop I, Eid MR. Impact of Thermal Radiation on MHD GO-Fe2O4/EG Flow and Heat Transfer over a Moving Surface. Symmetry. 2023; 15(3):584. https://doi.org/10.3390/sym15030584
Chicago/Turabian StyleAminuddin, Nur Aisyah, Nor Ain Azeany Mohd Nasir, Wasim Jamshed, Anuar Ishak, Ioan Pop, and Mohamed R. Eid. 2023. "Impact of Thermal Radiation on MHD GO-Fe2O4/EG Flow and Heat Transfer over a Moving Surface" Symmetry 15, no. 3: 584. https://doi.org/10.3390/sym15030584
APA StyleAminuddin, N. A., Nasir, N. A. A. M., Jamshed, W., Ishak, A., Pop, I., & Eid, M. R. (2023). Impact of Thermal Radiation on MHD GO-Fe2O4/EG Flow and Heat Transfer over a Moving Surface. Symmetry, 15(3), 584. https://doi.org/10.3390/sym15030584

