MeV, GeV and TeV Neutrinos from Binary-Driven Hypernovae
Abstract
1. Introduction
2. The BdHN Model
3. MeV Neutrinos from BdHN I
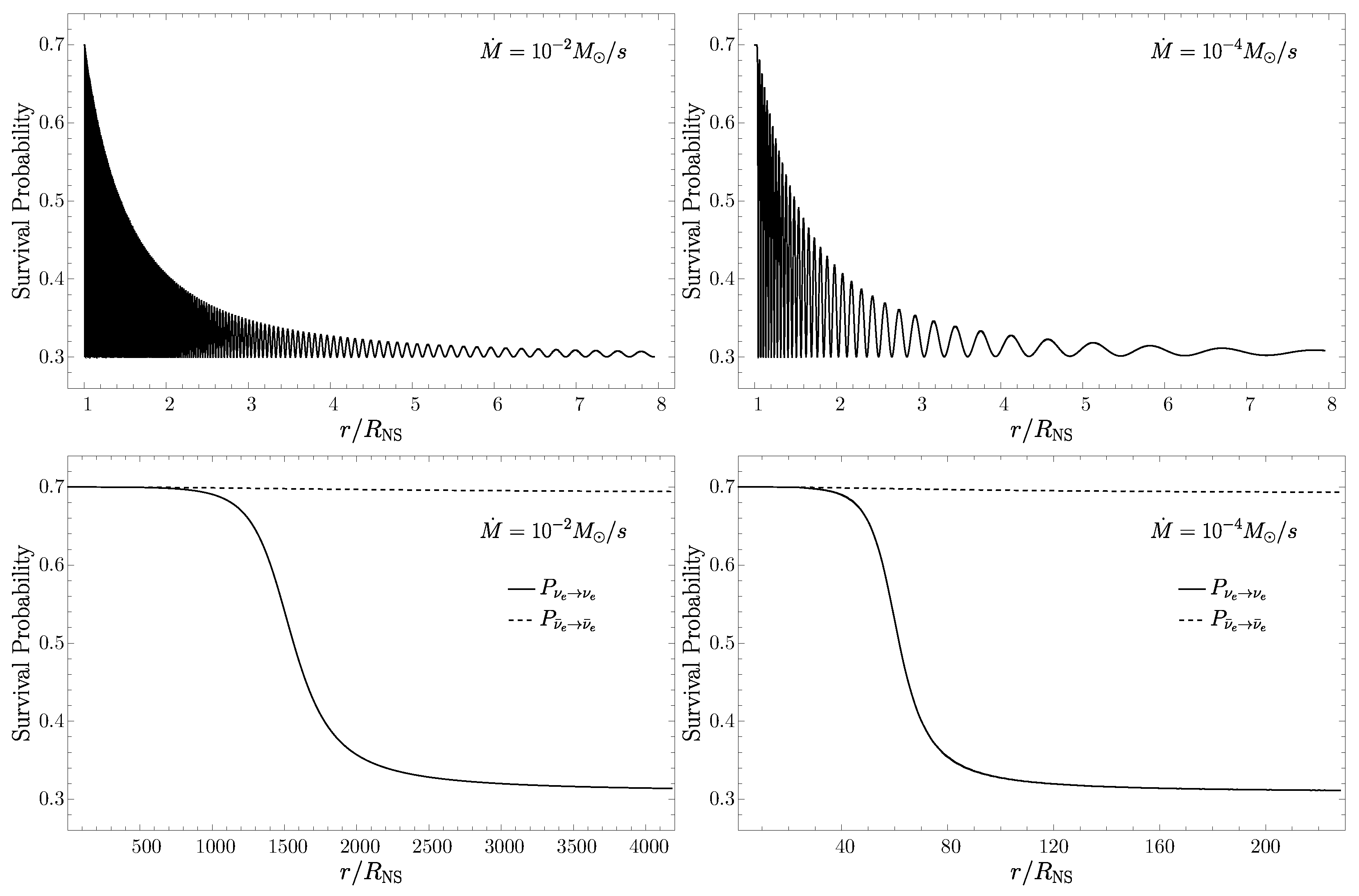
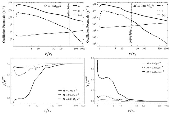
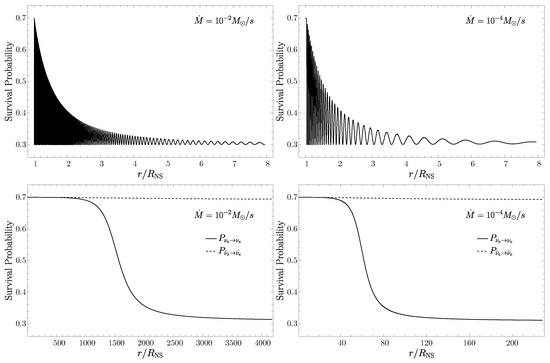
3.1. Neutrino Oscillations
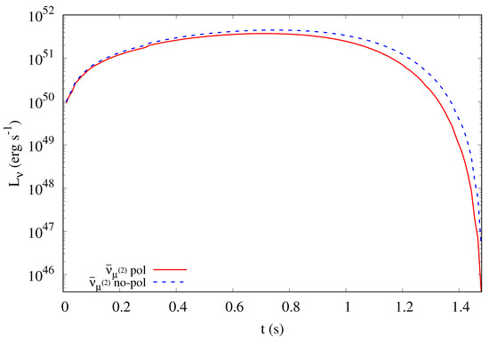
3.2. Neutrino Emission in the Hypercritical Accretion onto the NS
3.3. Neutrino Emission from the Accretion Disk around the Newborn BH
- (pair annihilation).
- ( and capture by nucleons).
- (electron capture).
- (plasmon decay).
- (nucleon–nucleon bremsstrahlung).
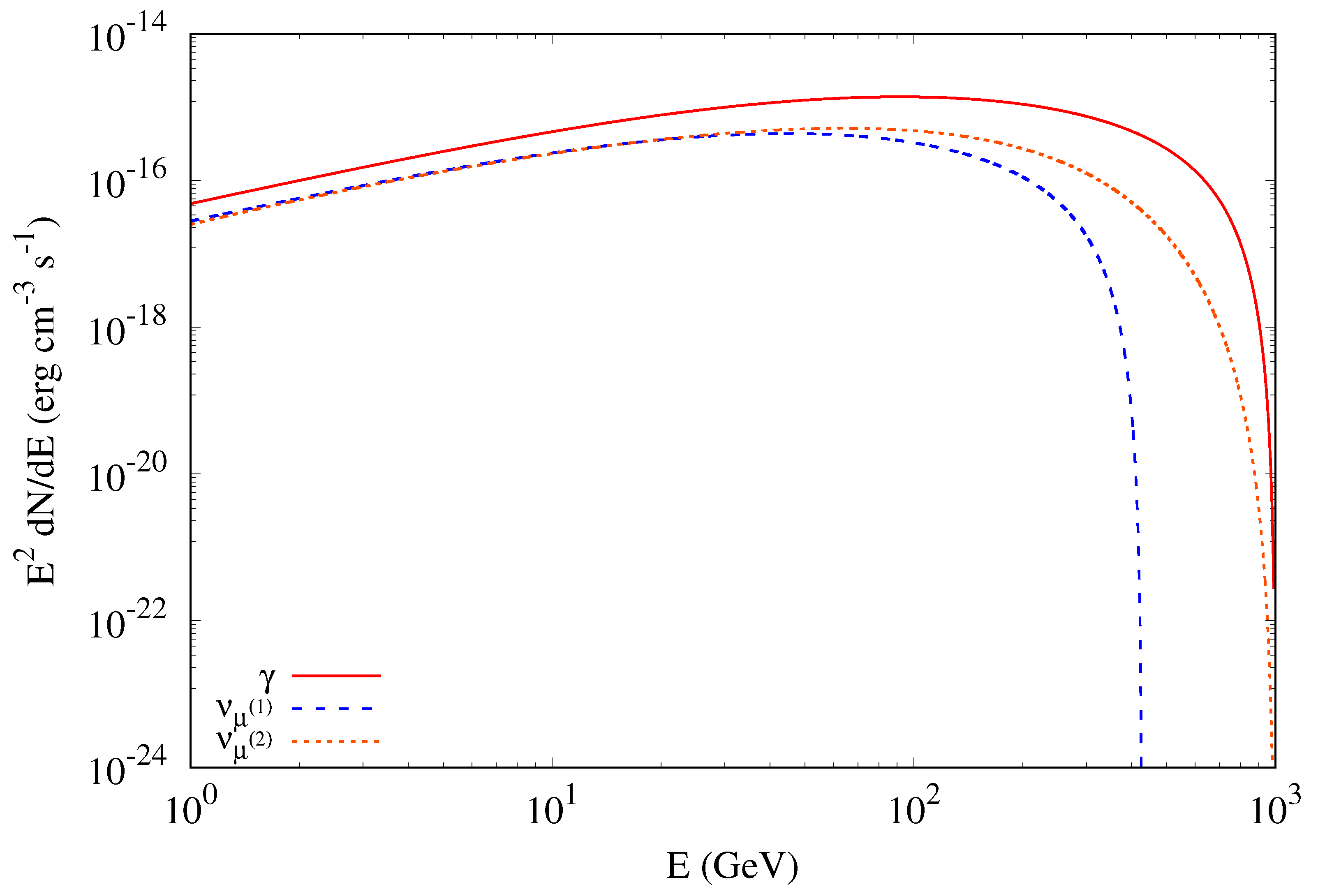
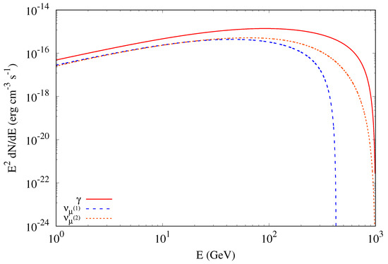
4. GeV-TeV Neutrinos from BdHN I
- Interaction of protons with – engulfed in the self-accelerated plasma in the direction of least baryon density around the newborn BH, with the protons of the interstellar medium (ISM) at rest (see Figure 1). We assume interaction occurs at – cm away from the system, as inferred from the time and at transparency (see, e.g., [105]). This situation leads to – (see Figure 1 of here, and Figures 34 and 35 in [61]).
4.1. Neutrino Production in the High-Density Ejecta
4.1.1. RHD Simulations
- The CO star has a total mass of distributed as of the NS and of ejecta mass (envelope mass). At the SN explosion time, the ejecta profile follows a power-law profile (see, e.g., Ref. [9]).
- The orbital period and binary separation are min and cm.
- The pressure and velocity of the ejecta are negligible with respect to the corresponding properties of the plasma. Therefore, we consider the remnant at rest as seen from the plasma.
- The baryon load of the plasma is not isotropic since the density is different along different directions. According to the three-dimensional simulations of Ref. [9], the ejecta density profile along a given direction, at the BH formation time, decays with distance as a power-law, i.e., (see, e.g., Figures 34 and 35 of Ref. [61] that show the mass profiles along selected directions). The normalization, the constant , and the parameter depend on the angle.
- The total isotropic energy of the plasma is set to erg. Therefore, the baryon load parameter is in the high-density region.
4.1.2. Physical Quantities for the pp Interaction
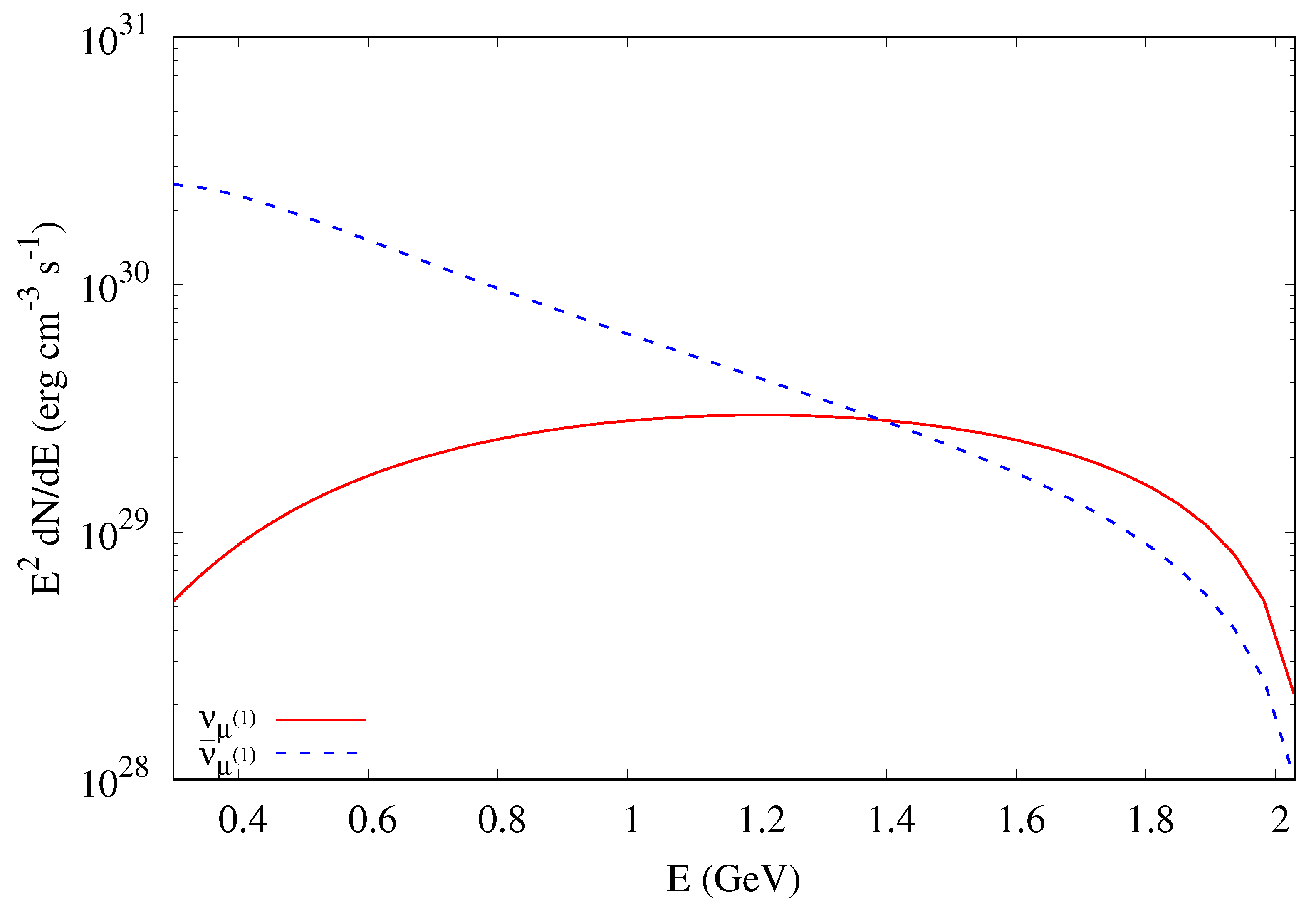
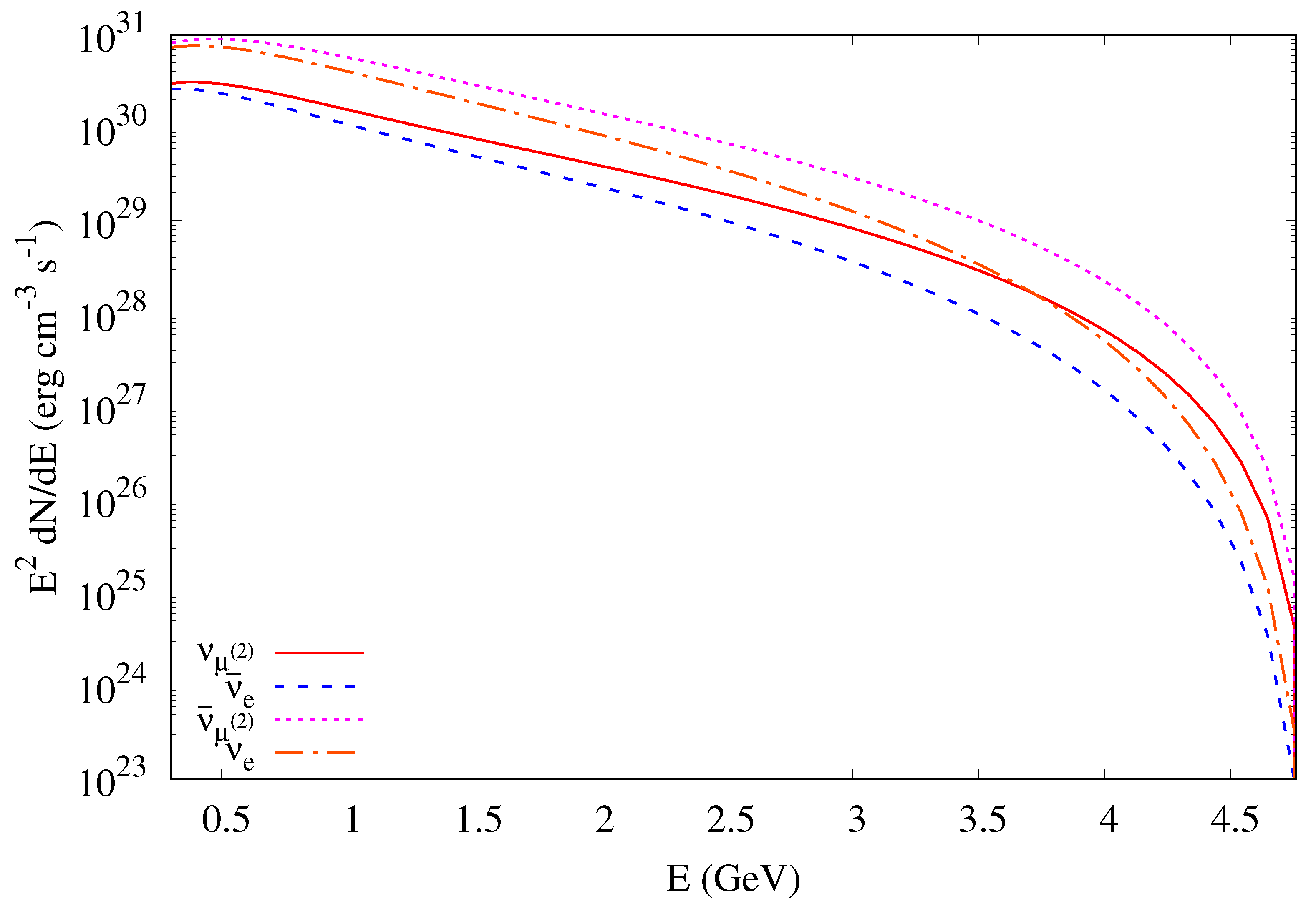
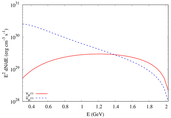
4.1.3. Particles Spectra
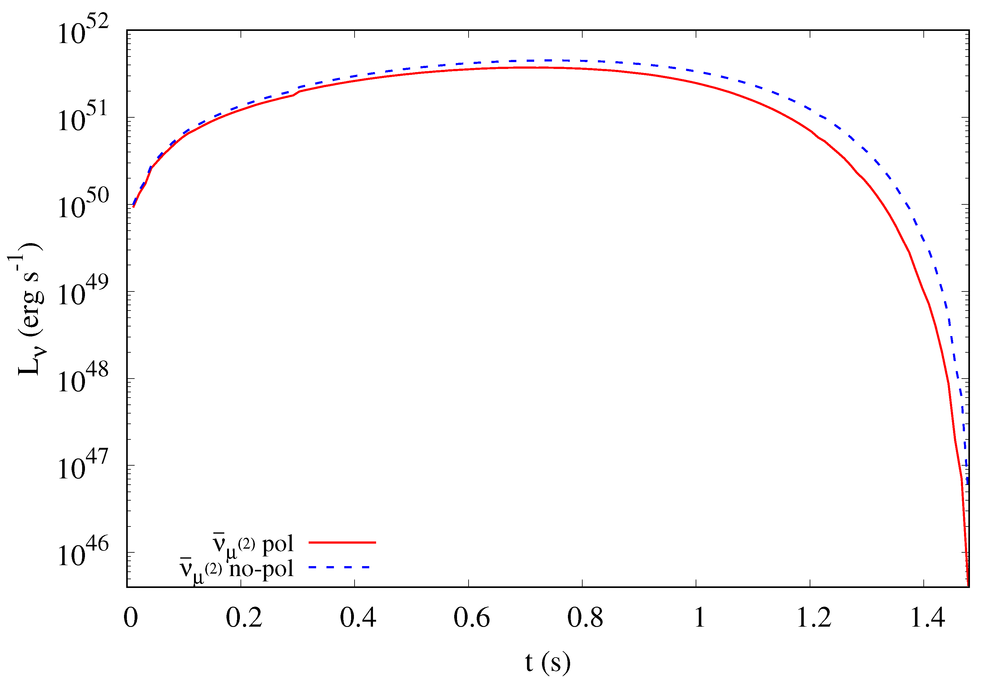
4.1.4. Total Luminosity and Total Energy Release
4.2. TeV Protons Interacting with the ISM
5. Summary, Discussion and Conclusions
Author Contributions
Funding
Institutional Review Board Statement
Informed Consent Statement
Data Availability Statement
Conflicts of Interest
Appendix A. Photon Opacity
Appendix A.1. Photon–Proton Pair-Production
Appendix A.2. Photon–Photon Pair Production

References
- IceCube Collaboration; Aartsen, M.; Ackermann, M.; Adams, J.; Aguilar, J.A.; Ahlers, M.; Ahrens, M.; Al Samarai, I.; Altmann, D.; Andeen, K.; et al. Neutrino emission from the direction of the blazar TXS 0506+056 prior to the IceCube-170922A alert. Science 2018, 361, 147–151. [Google Scholar] [CrossRef]
- Waxman, E.; Bahcall, J. High energy neutrinos from cosmological gamma-ray burst fireballs. Phys. Rev. Lett. 1997, 78, 2292. [Google Scholar] [CrossRef]
- Waxman, E.; Bahcall, J. High energy neutrinos from astrophysical sources: An upper bound. Phys. Rev. D 1998, 59, 023002. [Google Scholar] [CrossRef]
- Waxman, E.; Bahcall, J.N. Neutrino afterglow from Gamma-Ray Bursts: ∼1018 eV. Astrophys. J. 2000, 541, 707. [Google Scholar] [CrossRef]
- Bahcall, J.N.; Mészáros, P. 5–10 GeV neutrinos from gamma-ray burst fireballs. Phys. Rev. Lett. 2000, 85, 1362. [Google Scholar] [CrossRef]
- Mészáros, P.; Rees, M.J. Multi-GEV neutrinos from internal dissipation in gamma-ray burst fireballs. Astrophys. J. Lett. 2000, 541, L5. [Google Scholar] [CrossRef]
- Rueda, J.A.; Ruffini, R. On the Induced Gravitational Collapse of a Neutron Star to a Black Hole by a Type Ib/c Supernova. Astrophys. J. Lett. 2012, 758, L7. [Google Scholar] [CrossRef]
- Fryer, C.L.; Rueda, J.A.; Ruffini, R. Hypercritical Accretion, Induced Gravitational Collapse, and Binary-Driven Hypernovae. Astrophys. J. 2014, 793, L36. [Google Scholar] [CrossRef]
- Becerra, L.; Bianco, C.L.; Fryer, C.L.; Rueda, J.A.; Ruffini, R. On the Induced Gravitational Collapse Scenario of Gamma-ray Bursts Associated with Supernovae. Astrophys. J. 2016, 833, 107. [Google Scholar] [CrossRef]
- Rueda, J.A.; Li, L.; Moradi, R.; Ruffini, R.; Sahakyan, N.; Wang, Y. On the X-Ray, Optical, and Radio Afterglows of the BdHN I GRB 180720B Generated by Synchrotron Emission. Astrophys. J. 2022, 939, 62. [Google Scholar] [CrossRef]
- Rueda, J.A.; Ruffini, R.; Li, L.; Moradi, R.; Rodriguez, J.F.; Wang, Y. Evidence for the transition of a Jacobi ellipsoid into a Maclaurin spheroid in gamma-ray bursts. Phys. Rev. D 2022, 106, 083004. [Google Scholar] [CrossRef]
- Becerra, L.M.; Moradi, R.; Rueda, J.A.; Ruffini, R.; Wang, Y. First minutes of a binary-driven hypernova. Phys. Rev. D 2022, 106, 083002. [Google Scholar] [CrossRef]
- Rastegarnia, F.; Moradi, R.; Rueda, J.A.; Ruffini, R.; Li, L.; Eslamzadeh, S.; Wang, Y.; Xue, S.S. The structure of the ultrarelativistic prompt emission phase and the properties of the black hole in GRB 180720B. Eur. Phys. J. C 2022, 82, 778. [Google Scholar] [CrossRef]
- Wang, Y.; Rueda, J.A.; Ruffini, R.; Moradi, R.; Li, L.; Aimuratov, Y.; Rastegarnia, F.; Eslamzadeh, S.; Sahakyan, N.; Zheng, Y. GRB 190829A-A Showcase of Binary Late Evolution. Astrophys. J. 2022, 936, 190. [Google Scholar] [CrossRef]
- Rueda, J.A.; Ruffini, R.; Kerr, R.P. Gravitomagnetic Interaction of a Kerr Black Hole with a Magnetic Field as the Source of the Jetted GeV Radiation of Gamma-Ray Bursts. Astrophys. J. 2022, 929, 56. [Google Scholar] [CrossRef]
- Woosley, S.E. Gamma-ray bursts from stellar mass accretion disks around black holes. Astrophys. J. 1993, 405, 273–277. [Google Scholar] [CrossRef]
- Cavallo, G.; Rees, M.J. A qualitative study of cosmic fireballs and gamma-ray bursts. Mon. Not. R. Astron. Soc. 1978, 183, 359–365. [Google Scholar] [CrossRef]
- Paczynski, B. Gamma-ray bursters at cosmological distances. Astrophys. J. Lett. 1986, 308, L43–L46. [Google Scholar] [CrossRef]
- Goodman, J. Are gamma-ray bursts optically thick? Astrophys. J. Lett. 1986, 308, L47–L50. [Google Scholar] [CrossRef]
- Narayan, R.; Piran, T.; Shemi, A. Neutron star and black hole binaries in the Galaxy. Astrophys. J. Lett. 1991, 379, L17–L20. [Google Scholar] [CrossRef]
- Narayan, R.; Paczynski, B.; Piran, T. Gamma-ray bursts as the death throes of massive binary stars. Astrophys. J. Lett. 1992, 395, L83–L86. [Google Scholar] [CrossRef]
- Shemi, A.; Piran, T. The appearance of cosmic fireballs. Astrophys. J. Lett. 1990, 365, L55–L58. [Google Scholar] [CrossRef]
- Rees, M.J.; Meszaros, P. Relativistic fireballs - Energy conversion and time-scales. Mon. Not. R. Astron. Soc. 1992, 258, 41P–43P. [Google Scholar] [CrossRef]
- Piran, T.; Shemi, A.; Narayan, R. Hydrodynamics of Relativistic Fireballs. Mon. Not. R. Astron. Soc. 1993, 263, 861. [Google Scholar] [CrossRef]
- Meszaros, P.; Laguna, P.; Rees, M.J. Gasdynamics of relativistically expanding gamma-ray burst sources - Kinematics, energetics, magnetic fields, and efficiency. Astrophys. J. 1993, 415, 181–190. [Google Scholar] [CrossRef]
- Mao, S.; Yi, I. Relativistic beaming and gamma-ray bursts. Astrophys. J. Lett. 1994, 424, L131–L134. [Google Scholar] [CrossRef]
- Mészáros, P. Theories of Gamma-Ray Bursts. Annu. Rev. Astron. Astrophys. 2002, 40, 137. [Google Scholar] [CrossRef]
- Piran, T. The physics of gamma-ray bursts. Rev. Mod. Phys. 2004, 76, 1143–1210. [Google Scholar] [CrossRef]
- Acciari, V.A.; Ansoldi, S.; Antonelli, L.A.; Engels, A.A.; Baack, D.; Babić, A.; Banerjee, B.; de Almeida, U.B.; Barrio, J.A.; González, J.B.; et al. Teraelectronvolt emission from the γ-ray burst GRB 190114C. Nature 2019, 575, 455–458. [Google Scholar] [CrossRef]
- Zhang, B. Extreme emission seen from γ-ray bursts. Nature 2019, 575, 448–449. [Google Scholar] [CrossRef]
- Zhang, B. The Physics of Gamma-Ray Bursts; Cambridge University Press: Cambridge, UK, 2018. [Google Scholar] [CrossRef]
- Galama, T.J.; Vreeswijk, P.M.; Van Paradijs, J.; Kouveliotou, C.; Augusteijn, T.; Böhnhardt, H.; Brewer, J.P.; Doublier, V.; Gonzalez, J.F.; Leibundgut, B.; et al. An unusual supernova in the error box of the γ-ray burst of 25 April 1998. Nature 1998, 395, 670–672. [Google Scholar] [CrossRef]
- Woosley, S.E.; Bloom, J.S. The Supernova Gamma-Ray Burst Connection. Annu. Rev. Astron. Astrophys. 2006, 44, 507–556. [Google Scholar] [CrossRef]
- Della Valle, M. Supernovae and Gamma-Ray Bursts: A Decade of Observations. Int. J. Mod. Phys. D 2011, 20, 1745–1754. [Google Scholar] [CrossRef]
- Hjorth, J.; Bloom, J.S. The gamma-ray burst-supernova connection. In Gamma-Ray Bursts; Cambridge Astrophysics Series; Kouveliotou, C., Wijers, R.A.M.J., Woosley, S., Eds.; Cambridge University Press: Cambridge, UK, 2012; Volume 51, Chapter 9. [Google Scholar]
- Smartt, S.J. Progenitors of Core-Collapse Supernovae. Annu. Rev. Astron. Astrophys. 2009, 47, 63–106. [Google Scholar] [CrossRef]
- Smartt, S.J. Observational Constraints on the Progenitors of Core-Collapse Supernovae: The Case for Missing High-Mass Stars. Publ. Astron. Soc. Aust. 2015, 32, e016. [Google Scholar] [CrossRef]
- Heger, A.; Fryer, C.L.; Woosley, S.E.; Langer, N.; Hartmann, D.H. How Massive Single Stars End Their Life. Astrophys. J. 2003, 591, 288–300. [Google Scholar] [CrossRef]
- Smith, N.; Li, W.; Silverman, J.M.; Ganeshalingam, M.; Filippenko, A.V. Luminous blue variable eruptions and related transients: Diversity of progenitors and outburst properties. Mon. Not. R. Astron. Soc. 2011, 415, 773–810. [Google Scholar] [CrossRef]
- Teffs, J.; Ertl, T.; Mazzali, P.; Hachinger, S.; Janka, T. Type Ic supernova of a 22 M⊙ progenitor. Mon. Not. R. Astron. Soc. 2020, 492, 4369–4385. [Google Scholar] [CrossRef]
- Nomoto, K.; Hashimoto, M. Presupernova evolution of massive stars. Astrophys. J. 1988, 163, 13–36. [Google Scholar] [CrossRef]
- Iwamoto, K.; Nomoto, K.; Höflich, P.; Yamaoka, H.; Kumagai, S.; Shigeyama, T. Theoretical light curves for the type IC supernova SN 1994I. Astrophys. J. Lett. 1994, 437, L115–L118. [Google Scholar] [CrossRef]
- Fryer, C.L.; Mazzali, P.A.; Prochaska, J.; Cappellaro, E.; Panaitescu, A.; Berger, E.; van Putten, M.; van den Heuvel, E.P.J.; Young, P.; Hungerford, A.; et al. Constraints on Type Ib/c Supernovae and Gamma-ray Burst Progenitors. Publ. Astron. Soc. Pac. 2007, 119, 1211–1232. [Google Scholar] [CrossRef]
- Yoon, S.C.; Woosley, S.E.; Langer, N. Type Ib/c Supernovae in Binary Systems. I. Evolution and Properties of the Progenitor Stars. Astrophys. J. 2010, 725, 940–954. [Google Scholar] [CrossRef]
- Yoon, S.C. Evolutionary Models for Type Ib/c Supernova Progenitors. Publ. Astron. Soc. Aust. 2015, 32, e015. [Google Scholar] [CrossRef]
- Kim, H.J.; Yoon, S.C.; Koo, B.C. Observational Properties of Type Ib/c Supernova Progenitors in Binary Systems. Astrophys. J. 2015, 809, 131. [Google Scholar] [CrossRef]
- Fryer, C.L.; Woosley, S.E.; Hartmann, D.H. Formation Rates of Black Hole Accretion Disk Gamma-Ray Bursts. Astrophys. J. 1999, 526, 152–177. [Google Scholar] [CrossRef]
- Fryer, C.L.; Oliveira, F.G.; Rueda, J.A.; Ruffini, R. Neutron-Star-Black-Hole Binaries Produced by Binary-Driven Hypernovae. Phys. Rev. Lett. 2015, 115, 231102. [Google Scholar] [CrossRef] [PubMed]
- Tauris, T.M.; Langer, N.; Moriya, T.J.; Podsiadlowski, P.; Yoon, S.C.; Blinnikov, S.I. Ultra-stripped Type Ic Supernovae from Close Binary Evolution. Astrophys. J. Lett. 2013, 778, L23. [Google Scholar] [CrossRef]
- Tauris, T.M.; Langer, N.; Podsiadlowski, P. Ultra-stripped supernovae: Progenitors and fate. Mon. Not. R. Astron. Soc. 2015, 451, 2123–2144. [Google Scholar] [CrossRef]
- Rueda, J.A.; Ruffini, R.; Moradi, R.; Wang, Y. A brief review of binary-driven hypernova. Int. J. Mod. Phys. D 2021, 30, 2130007. [Google Scholar] [CrossRef]
- Rueda, J. An Update of the Binary-Driven Hypernovae Scenario of Long Gamma-Ray Bursts. Astron. Rep. 2021, 65, 1026–1029. [Google Scholar] [CrossRef]
- Rueda, J.A.; Ruffini, R.; Wang, Y. Induced Gravitational Collapse, Binary-Driven Hypernovae, Long Gramma-ray Bursts and Their Connection with Short Gamma-ray Bursts. Universe 2019, 5, 110. [Google Scholar] [CrossRef]
- Wang, Y.; Rueda, J.A.; Ruffini, R.; Becerra, L.; Bianco, C.; Becerra, L.; Li, L.; Karlica, M. Two Predictions of Supernova: GRB 130427A/SN 2013cq and GRB 180728A/SN 2018fip. Astrophys. J. 2019, 874, 39. [Google Scholar] [CrossRef]
- Ruffini, R.; Moradi, R.; Rueda, J.A.; Becerra, L.; Bianco, C.L.; Cherubini, C.; Filippi, S.; Chen, Y.C.; Karlica, M.; Sahakyan, N.; et al. On the GeV Emission of the Type I BdHN GRB 130427A. Astrophys. J. 2019, 886, 82. [Google Scholar] [CrossRef]
- Rueda, J.; Ruffini, R. The blackholic quantum. Eur. Phys. J. C 2020, 80, 1–5. [Google Scholar] [CrossRef]
- Moradi, R.; Rueda, J.A.; Ruffini, R.; Wang, Y. The newborn black hole in GRB 191014C proves that it is alive. Astron. Astrophys. 2021, 649, A75. [Google Scholar] [CrossRef]
- Ruffini, R.; Moradi, R.; Rueda, J.A.; Li, L.; Sahakyan, N.; Chen, Y.C.; Wang, Y.; Aimuratov, Y.; Becerra, L.; Bianco, C.L.; et al. The morphology of the X-ray afterglows and of the jetted GeV emission in long GRBs. Mon. Not. R. Astron. Soc. 2021, 504, 5301–5326. [Google Scholar] [CrossRef]
- Moradi, R.; Rueda, J.A.; Ruffini, R.; Li, L.; Bianco, C.L.; Campion, S.; Cherubini, C.; Filippi, S.; Wang, Y.; Xue, S.S. Nature of the ultrarelativistic prompt emission phase of GRB 190114C. Phys. Rev. D 2021, 104, 063043. [Google Scholar] [CrossRef]
- Becerra, L.; Ellinger, C.L.; Fryer, C.L.; Rueda, J.A.; Ruffini, R. SPH Simulations of the Induced Gravitational Collapse Scenario of Long Gamma-Ray Bursts Associated with Supernovae. Astrophys. J. 2019, 871, 14. [Google Scholar] [CrossRef]
- Ruffini, R.; Wang, Y.; Aimuratov, Y.; Barres de Almeida, U.; Becerra, L.; Bianco, C.L.; Chen, Y.C.; Karlica, M.; Kovacevic, M.; Li, L.; et al. Early X-Ray Flares in GRBs. Astrophys. J. 2018, 852, 53. [Google Scholar] [CrossRef]
- Ruffini, R.; Karlica, M.; Sahakyan, N.; Rueda, J.A.; Wang, Y.; Mathews, G.J.; Bianco, C.L.; Muccino, M. A GRB Afterglow Model Consistent with Hypernova Observations. Astrophys. J. 2018, 869, 101. [Google Scholar] [CrossRef]
- Rueda, J.A.; Ruffini, R.; Karlica, M.; Moradi, R.; Wang, Y. Magnetic Fields and Afterglows of BdHNe: Inferences from GRB 130427A, GRB 160509A, GRB 160625B, GRB 180728A, and GRB 190114C. Astrophys. J. 2020, 893, 148. [Google Scholar] [CrossRef]
- de Salas, P.F.; Forero, D.V.; Ternes, C.A.; Tortola, M.; Valle, J.W.F. Status of neutrino oscillations 2018: 3σ hint for normal mass ordering and improved CP sensitivity. Phys. Lett. 2018, B782, 633–640. [Google Scholar] [CrossRef]
- Becerra, L.; Guzzo, M.M.; Rossi-Torres, F.; Rueda, J.A.; Ruffini, R.; Uribe, J.D. Neutrino Oscillations within the Induced Gravitational Collapse Paradigm of Long Gamma-Ray Bursts. Astrophys. J. 2018, 852, 120. [Google Scholar] [CrossRef]
- Uribe, J.D.; Rueda, J.A. Some recent results on neutrino oscillations in hypercritical accretion. Astron. Nachrichten 2019, 340, 935–944. [Google Scholar] [CrossRef]
- Uribe, J.D.; Becerra-Vergara, E.A.; Rueda, J.A. Neutrino Oscillations in Neutrino-Dominated Accretion Around Rotating Black Holes. Universe 2021, 7, 7. [Google Scholar] [CrossRef]
- Particle Data Group; Workman, R.L.; Burkert, V.D.; Crede, V.; Klempt, E.; Thoma, U.; Quadt, A. Review of Particle Physics. J. Phys. Nucl. Part. Phys. 2022, 2022, 083C01. [Google Scholar] [CrossRef]
- Qian, Y.Z.; Fuller, G.M. Neutrino-neutrino scattering and matter enhanced neutrino flavor transformation in Supernovae. Phys. Rev. 1995, D51, 1479–1494. [Google Scholar] [CrossRef]
- Pantaleone, J. Neutrino oscillations at high densities. Phys. Lett. B 1992, 287, 128–132. [Google Scholar] [CrossRef]
- Zhu, Y.L.; Perego, A.; McLaughlin, G.C. Matter Neutrino Resonance Transitions above a Neutron Star Merger Remnant. arXiv 2016, arXiv:1607.04671. [Google Scholar] [CrossRef]
- Malkus, A.; McLaughlin, G.C.; Surman, R. Symmetric and standard matter neutrino resonances above merging compact objects. Phys. Rev. D 2016, 93, 045021. [Google Scholar] [CrossRef]
- Duan, H.; Fuller, G.M.; Carlson, J.; Qian, Y.Z. Simulation of Coherent Non-Linear Neutrino Flavor Transformation in the Supernova Environment. 1. Correlated Neutrino Trajectories. Phys. Rev. 2006, D74, 105014. [Google Scholar] [CrossRef]
- Dasgupta, B.; Dighe, A. Collective three-flavor oscillations of supernova neutrinos. Phys. Rev. 2008, D77, 113002. [Google Scholar] [CrossRef]
- Hannestad, S.; Raffelt, G.G.; Sigl, G.; Wong, Y.Y.Y. Self-induced conversion in dense neutrino gases: Pendulum in flavour space. Phys. Rev. 2006, D74, 105010, Erratum in Phys. Rev. D 2007, 76, 029901. [Google Scholar] [CrossRef]
- Raffelt, G.G.; Sigl, G. Self-induced decoherence in dense neutrino gases. Phys. Rev. 2007, D75, 083002. [Google Scholar] [CrossRef]
- Fogli, G.; Lisi, E.; Marrone, A.; Mirizzi, A. Collective neutrino flavor transitions in supernovae and the role of trajectory averaging. J. Cosmol. Astropart. Phys. 2007, 2007, 010. [Google Scholar] [CrossRef]
- Esteban-Pretel, A.; Pastor, S.; Tomas, R.; Raffelt, G.G.; Sigl, G. Decoherence in supernova neutrino transformations suppressed by deleptonization. Phys. Rev. 2007, D76, 125018. [Google Scholar] [CrossRef]
- Wolfenstein, L. Neutrino oscillations in matter. Phys. Rev. D 1978, 17, 2369–2374. [Google Scholar] [CrossRef]
- Mikheyev, S.P.; Smirnov, A.Y. Resonant amplification of ν oscillations in matter and solar-neutrino spectroscopy. Il Nuovo Cimento C 1986, 9, 17–26. [Google Scholar] [CrossRef]
- Fogli, G.L.; Lisi, E.; Montanino, D.; Mirizzi, A. Analysis of energy and time dependence of supernova shock effects on neutrino crossing probabilities. Phys. Rev. 2003, D68, 033005. [Google Scholar] [CrossRef]
- Petcov, S. On the non-adiabatic neutrino oscillations in matter. Phys. Lett. B 1987, 191, 299–303. [Google Scholar] [CrossRef]
- Kneller, J.P.; McLaughlin, G.C. Monte Carlo neutrino oscillations. Phys. Rev. 2006, D73, 056003. [Google Scholar] [CrossRef]
- Shakura, N.I.; Sunyaev, R.A. Black holes in binary systems. Observational appearance. Astron. Astrophys. 1973, 24, 337–355. [Google Scholar]
- Novikov, I.D.; Thorne, K.S. Astrophysics of black holes. Black Holes (Les Astres Occlus) 1973, 1, 343–450. [Google Scholar]
- Page, D.N.; Thorne, K.S. Disk-Accretion onto a Black Hole. Time-Averaged Structure of Accretion Disk. Astrophys. J. 1974, 191, 499–506. [Google Scholar] [CrossRef]
- Krolik, J.H. Active Galactic Nuclei: From the Central Black Hole to the Galactic Environment; Princeton University Press: Princeton, NJ, USA, 1999; Volume 60. [Google Scholar]
- Abramowicz, M.A.; Björnsson, G.; Pringle, J.E. Theory of Black Hole Accretion Discs; Cambridge University Press: Cambridge, UK, 1998. [Google Scholar]
- Chen, W.X.; Beloborodov, A.M. Neutrino-cooled Accretion Disks around Spinning Black Holes. Astrophys. J. 2007, 657, 383–399. [Google Scholar] [CrossRef]
- Liu, T.; Gu, W.M.; Zhang, B. Neutrino-dominated accretion flows as the central engine of gamma-ray bursts. New Astron. Rev. 2017, 79, 1–25. [Google Scholar] [CrossRef]
- Thorne, K.S. Disk-Accretion onto a Black Hole. II. Evolution of the Hole. Astrophys. J. 1974, 191, 507–520. [Google Scholar] [CrossRef]
- Dicus, D.A. Stellar energy-loss rates in a convergent theory of weak and electromagnetic interactions. Phys. Rev. 1972, D6, 941–949. [Google Scholar] [CrossRef]
- Tubbs, D.L.; Schramm, D.N. Neutrino Opacities at High Temperatures and Densities. Astrophys. J. 1975, 201, 467–488. [Google Scholar] [CrossRef]
- Bruenn, S.W. Stellar core collapse-Numerical model and infall epoch. Astrophys. J. Suppl. Ser. 1985, 58, 771–841. [Google Scholar] [CrossRef]
- Ruffert, M.; Janka, H.T.; Schaefer, G. Coalescing neutron stars - a step towards physical models. I. Hydrodynamic evolution and gravitational-wave emission. Astron. Astrophys. 1996, 311, 532–566. [Google Scholar]
- Yakovlev, D.G.; Kaminker, A.D.; Gnedin, O.Y.; Haensel, P. Neutrino emission from neutron stars. Phys. Rep. 2001, 354, 1–155. [Google Scholar] [CrossRef]
- Burrows, A.; Thompson, T.A. Neutrino-Matter Interaction Rates in Supernovae. In Stellar Collapse; Fryer, C.L., Ed.; Springer: Dordrecht, The Netherlands, 2004; pp. 133–174. [Google Scholar] [CrossRef]
- Burrows, A.; Reddy, S.; Thompson, T.A. Neutrino opacities in nuclear matter. Nucl. Phys. A 2006, 777, 356–394. [Google Scholar] [CrossRef]
- Becerra, L.; Cipolletta, F.; Fryer, C.L.; Rueda, J.A.; Ruffini, R. Angular Momentum Role in the Hypercritical Accretion of Binary-driven Hypernovae. Astrophys. J. 2015, 812, 100. [Google Scholar] [CrossRef]
- Ruffini, R.; Melon Fuksman, J.D.; Vereshchagin, G.V. On the Role of a Cavity in the Hypernova Ejecta of GRB 190114C. Astrophys. J. 2019, 883, 191. [Google Scholar] [CrossRef]
- Preparata, G.; Ruffini, R.; Xue, S.S. The dyadosphere of black holes and gamma-ray bursts. Astron. Astrophys. 1998, 338, L87–L90. [Google Scholar]
- Ruffini, R.; Salmonson, J.D.; Wilson, J.R.; Xue, S.S. On evolution of the pair-electromagnetic pulse of a charged black hole. Astron. Astrophys. Suppl. 1999, 138, 511–512. [Google Scholar] [CrossRef]
- Ruffini, R.; Salmonson, J.D.; Wilson, J.R.; Xue, S.S. On the pair-electromagnetic pulse from an electromagnetic black hole surrounded by a baryonic remnant. Astron. Astrophys. 2000, 359, 855–864. [Google Scholar]
- Bianco, C.L.; Ruffini, R.; Xue, S.S. The elementary spike produced by a pure e+e− pair-electromagnetic pulse from a Black Hole: The PEM Pulse. Astron. Astrophys. 2001, 368, 377–390. [Google Scholar] [CrossRef]
- Izzo, L.; Ruffini, R.; Penacchioni, A.V.; Bianco, C.L.; Caito, L.; Chakrabarti, S.K.; Rueda, J.A.; Nandi, A.; Patricelli, B. A double component in GRB 090618: A proto-black hole and a genuinely long gamma-ray burst. Astron. Astrophys. 2012, 543, A10. [Google Scholar] [CrossRef]
- Razzaque, S.; Mészáros, P.; Waxman, E. TeV neutrinos from core collapse supernovae and hypernovae. Phys. Rev. Lett. 2004, 93, 181101. [Google Scholar] [CrossRef]
- Ando, S.; Beacom, J.F. Revealing the supernova–gamma-ray burst connection with TeV neutrinos. Phys. Rev. Lett. 2005, 95, 061103. [Google Scholar] [CrossRef] [PubMed]
- Razzaque, S.; Meszaros, P.; Waxman, E. Neutrino tomography of gamma ray bursts and massive stellar collapses. Phys. Rev. D 2003, 68, 083001. [Google Scholar] [CrossRef]
- Mignone, A.; Zanni, C.; Tzeferacos, P.; Van Straalen, B.; Colella, P.; Bodo, G. The PLUTO code for adaptive mesh computations in astrophysical fluid dynamics. Astrophys. J. Suppl. Ser. 2011, 198, 7. [Google Scholar] [CrossRef]
- Blattnig, S.R.; Swaminathan, S.R.; Kruger, A.T.; Ngom, M.; Norbury, J.W. Parametrizations of inclusive cross sections for pion production in proton-proton collisions. Phys. Rev. D 2000, 62, 094030. [Google Scholar] [CrossRef]
- Lipari, P. Lepton spectra in the earth’s atmosphere. Astropart. Phys. 1993, 1, 195–227. [Google Scholar] [CrossRef]
- Kelner, S.R.; Aharonian, F.A.; Bugayov, V.V. Energy spectra of gamma rays, electrons, and neutrinos produced at proton-proton interactions in the very high energy regime. Phys. Rev. D 2006, 74, 034018. [Google Scholar] [CrossRef]
- Fletcher, R.S.; Gaisser, T.K.; Lipari, P.; Stanev, T. sibyll: An event generator for simulation of high energy cosmic ray cascades. Phys. Rev. D 1994, 50, 5710–5731. [Google Scholar] [CrossRef]
- Kalmykov, N.; Ostapchenko, S.; Pavlov, A. Quark-gluon-string model and EAS simulation problems at ultra-high energies. Nucl. Phys. B - Proc. Suppl. 1997, 52, 17–28. [Google Scholar] [CrossRef]
- Malkus, A.; Kneller, J.P.; McLaughlin, G.C.; Surman, R. Neutrino oscillations above black hole accretion disks: Disks with electron-flavor emission. Phys. Rev. D 2012, 86, 085015. [Google Scholar] [CrossRef]
- Liu, T.; Zhang, B.; Li, Y.; Ma, R.Y.; Xue, L. Detectable MeV neutrinos from black hole neutrino-dominated accretion flows. Phys. Rev. D 2016, 93, 123004. [Google Scholar] [CrossRef]
- Ahluwalia, D.V.; Burgard, C. Gravitationally Induced Neutrino-Oscillation Phases. Gen. Relativ. Gravit. 1996, 28, 1161–1170. [Google Scholar] [CrossRef]
- Cardall, C.Y.; Fuller, G.M. Neutrino oscillations in curved spacetime: A heuristic treatment. Phys. Rev. D 1997, 55, 7960–7966. [Google Scholar] [CrossRef]
- Fornengo, N.; Giunti, C.; Kim, C.W.; Song, J. Gravitational effects on the neutrino oscillation. Phys. Rev. D 1997, 56, 1895–1902. [Google Scholar] [CrossRef]
- Buoninfante, L.; Luciano, G.G.; Petruzziello, L.; Smaldone, L. Neutrino oscillations in extended theories of gravity. Phys. Rev. D 2020, 101, 024016. [Google Scholar] [CrossRef]
- Melon Fuksman, J.D.; Mignone, A. A Radiative Transfer Module for Relativistic Magnetohydrodynamics in the PLUTO Code. Astrophys. J. Suppl. Ser. 2019, 242, 20. [Google Scholar] [CrossRef]
- Ruffini, R.; Rueda, J.; Muccino, M.; Aimuratov, Y.; Becerra, L.M.; Bianco, C.L.; Kovacevic, M.; Moradi, R.; Oliveira, F.; Pisani, G.; et al. On the Classification of GRBs and Their Occurrence Rates. Astrophys. J. 2016, 832, 136. [Google Scholar] [CrossRef]
- Fukuda, S.; Fukuda, Y.; Hayakawa, T.; Ichihara, E.; Ishitsuka, M.; Itow, Y.; Kajita, T.; Kameda, J.; Kaneyuki, K.; Kasuga, S.; et al. The super-kamiokande detector. Nucl. Instruments Methods Phys. Res. Sect. A Accel. Spectrometers Detect. Assoc. Equip. 2003, 501, 418–462. [Google Scholar] [CrossRef]
- Yokoyama, M. The hyper-Kamiokande experiment. arXiv 2017, arXiv:1705.00306. [Google Scholar]
- Abbasi, R.; Abdou, Y.; Abu-Zayyad, T.; Ackermann, M.; Adams, J.; Aguilar, J.; Ahlers, M.; Allen, M.; Altmann, D.; Andeen, K.; et al. The design and performance of IceCube DeepCore. Astropart. Phys. 2012, 35, 615–624. [Google Scholar] [CrossRef]
- Abe, K.; Bronner, C.; Hayato, Y.; Ikeda, M.; Imaizumi, S.; Kameda, J.; Kanemura, Y.; Kataoka, Y.; Miki, S.; Miura, M.; et al. Search for neutrinos in coincidence with gravitational wave events from the LIGO–Virgo O3a observing run with the Super-Kamiokande detector. Astrophys. J. 2021, 918, 78. [Google Scholar] [CrossRef]
- Abe, K.; Abe, T.; Aihara, H.; Fukuda, Y.; Hayato, Y.; Huang, K.; Ichikawa, A.; Ikeda, M.; Inoue, K.; Ishino, H.; et al. Letter of Intent: The Hyper-Kamiokande Experiment—Detector Design and Physics Potential—. arXiv 2011, arXiv:1109.3262. [Google Scholar]
- Abe, K.; Abe, K.; Aihara, H.; Aimi, A.; Akutsu, R.; Andreopoulos, C.; Anghel, I.; Anthony, L.; Antonova, M.; Ashida, Y.; et al. Hyper-Kamiokande design report. arXiv 2018, arXiv:1805.04163. [Google Scholar]
- Ruffini, R.; Rodriguez, J.; Muccino, M.; Rueda, J.A.; Aimuratov, Y.; Barres de Almeida, U.; Becerra, L.; Bianco, C.L.; Cherubini, C.; Filippi, S.; et al. On the Rate and on the Gravitational Wave Emission of Short and Long GRBs. Astrophys. J. 2018, 859, 30. [Google Scholar] [CrossRef]
- Ajello, M.; Arimoto, M.; Axelsson, M.; Baldini, L.; Barbiellini, G.; Bastieri, D.; Bellazzini, R.; Bhat, P.; Bissaldi, E.; Blandford, R.; et al. A decade of gamma-ray bursts observed by fermi-LAT: The second GRB catalog. Astrophys. J. 2019, 878, 52. [Google Scholar] [CrossRef]
- Particle Data Group; Zyla, P.A.; Barnett, R.M.; Beringer, J.; Dahl, O.; Dwyer, D.A.; Groom, D.E.; Lin, C.-J.; Lugovsky, K.S.; Pianori, E.; et al. Review of Particle Physics. PTEP 2020, 2020, 083C01. [Google Scholar] [CrossRef]
- Tsai, Y.S. Pair production and bremsstrahlung of charged leptons. Rev. Mod. Phys. 1974, 46, 815. [Google Scholar] [CrossRef]
- Gould, R.J.; Schréder, G.P. Pair production in photon-photon collisions. Phys. Rev. 1967, 155, 1404. [Google Scholar] [CrossRef]












| eV |
| eV |
| eV |
s | (g cm | T (MeV) | (cm | (MeV) | (MeV) | (cms | (cms | (cm | (cm | (cm | |
|---|---|---|---|---|---|---|---|---|---|---|---|
| 7.13 | 8.08 | 29.22 | |||||||||
| 5.54 | 6.28 | 22.70 | |||||||||
| 4.30 | 4.87 | 17.62 | |||||||||
| 3.34 | 3.78 | 13.69 |
| Normal Hierarchy | ||||||||
| Inverted Hierarchy |
| Particle | Total Energy ( erg) |
|---|---|
| ; | ; |
| Without polarization | |
| ; | ; |
| ; | ; |
| With polarization | |
| ; | ; |
| ; | ; |
| Particle | |||||
| High density region | (kpc) | (Mpc) | . | (GeV) | ( erg) |
| Low density region | (pc) | (kpc) | (GeV) | ( erg) | |
Disclaimer/Publisher’s Note: The statements, opinions and data contained in all publications are solely those of the individual author(s) and contributor(s) and not of MDPI and/or the editor(s). MDPI and/or the editor(s) disclaim responsibility for any injury to people or property resulting from any ideas, methods, instructions or products referred to in the content. |
© 2023 by the authors. Licensee MDPI, Basel, Switzerland. This article is an open access article distributed under the terms and conditions of the Creative Commons Attribution (CC BY) license (https://creativecommons.org/licenses/by/4.0/).
Share and Cite
Campion, S.; Uribe-Suárez, J.D.; Melon Fuksman, J.D.; Rueda, J.A. MeV, GeV and TeV Neutrinos from Binary-Driven Hypernovae. Symmetry 2023, 15, 412. https://doi.org/10.3390/sym15020412
Campion S, Uribe-Suárez JD, Melon Fuksman JD, Rueda JA. MeV, GeV and TeV Neutrinos from Binary-Driven Hypernovae. Symmetry. 2023; 15(2):412. https://doi.org/10.3390/sym15020412
Chicago/Turabian StyleCampion, S., J. D. Uribe-Suárez, J. D. Melon Fuksman, and J. A. Rueda. 2023. "MeV, GeV and TeV Neutrinos from Binary-Driven Hypernovae" Symmetry 15, no. 2: 412. https://doi.org/10.3390/sym15020412
APA StyleCampion, S., Uribe-Suárez, J. D., Melon Fuksman, J. D., & Rueda, J. A. (2023). MeV, GeV and TeV Neutrinos from Binary-Driven Hypernovae. Symmetry, 15(2), 412. https://doi.org/10.3390/sym15020412

