Popcorn Transitions and Approach to Conformality in Homogeneous Holographic Nuclear Matter
Abstract
1. Introduction
2. Homogeneous Nuclear Matter in the Witten–Sakai–Sugimoto Model
2.1. Expanding the Dirac-Born-Infeld Action
2.2. The Homogeneous Ansatz
2.3. The Single-Layer Solution
2.4. The Double-Layer Solution
2.5. Legendre Transform to Canonical Ensemble
3. Homogeneous Nuclear Matter in the V-QCD Model
3.1. The Homogeneous Ansatz
3.2. The Single-Layer Solution
3.3. The Double-Layer Solution
3.4. Legendre Transform to Canonical Ensemble
4. Results
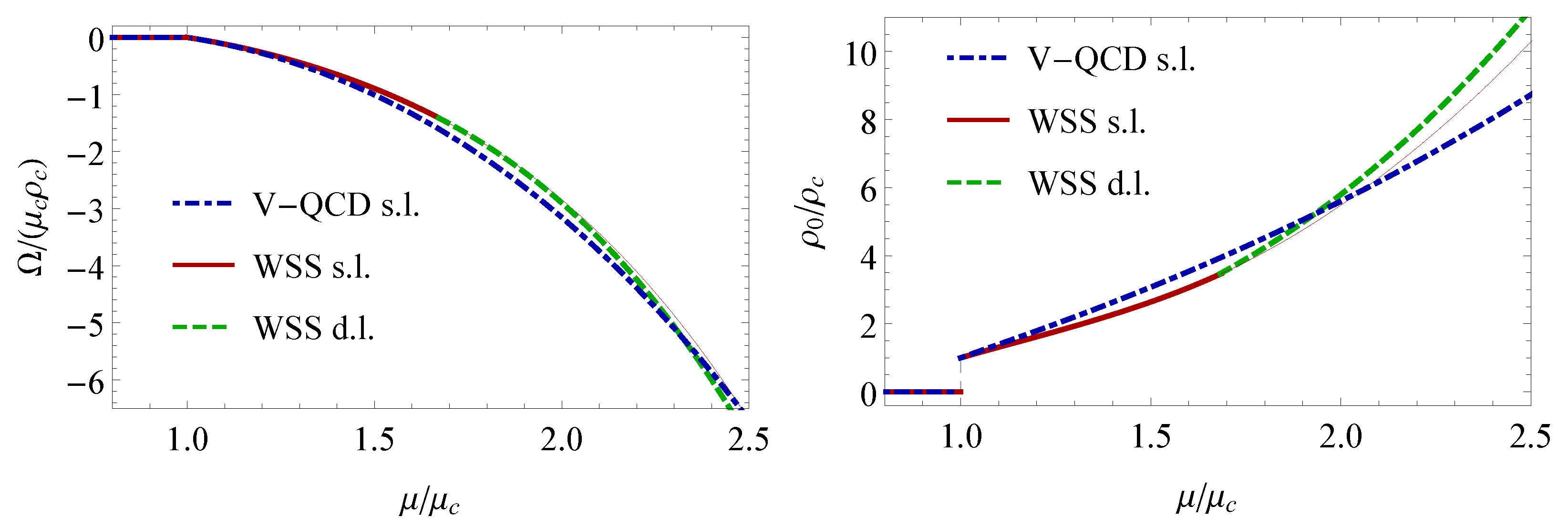
4.1. Second-Order Transition in the Witten–Sakai–Sugimoto Model
- (1)
- Vacuum for with ;
- (2)
- Single-layer phase for with ;
- (3)
- Double-layer phase for .
4.2. Analysis of Configurations in V-QCD
4.3. Speed of Sound and Polytropic Index
5. Conclusions
Author Contributions
Funding
Institutional Review Board Statement
Informed Consent Statement
Data Availability Statement
Acknowledgments
Conflicts of Interest
Appendix A. Numerical Details
Appendix A.1. Constructing the Solution in the Witten–Sakai–Sugimoto Setup
- We derive from the action (27) the equation of motion for . After plugging the baryon charge density and fixing and , the only free parameter is the boundary charge density . Then, we can simply solve the equation for for fixed from the UV boundary (we still need to fix );
- We fix the value of by solving for h for a given fixed and choose a value of such that at . After this, we can determine the bulk charge density profile by considering (20);
- The free energy density is given by explicit integration of (27) from zero to a large cut-off. At this step, we (re)normalize the free energy by subtracting in the absence of baryons from the original . Notice that this prescription means that singular contributions at the discontinuity of h are neglected. When h is discontinuous, is, in principle, proportional to the delta function squared, but such contributions are not taken into account;
- From the tabulated data , we can construct and find at which value of the transition to nuclear matter happens. The corresponding chemical potential and grand potential can be obtained via and .
Appendix A.2. Constructing the Solution in the V-QCD Setup
- We work in the probe limit. We first construct the thermal gas background solution for the geometry [76] in the absence of the baryons;
- Then, from (41), we derive equations of motion for h. After plugging background fields and baryon charge density , the only free parameter is the boundary charge density . Thus, we can simply solve the equation of motion for h for fixed by UV boundary;
- After solving for h for a given fixed and choosing , we can determine the bulk charge density profile by considering (35). Note that the vanishing point of bulk density profile gives the location of the soliton, i.e., ;
- The free energy density is given by explicit integration of (41) from the boundary to the location of the discontinuity. At this step, we also subtract in the absence of baryons from the original to (re)normalize the free energy;
- Now, we can return to our main purpose of minimizing free energy at a fixed depending on the free parameter or, equivalently, . We can simply perform abovementioned procedure with a loop over values;
- From the tabulated data, we can construct and minimize it. The corresponding chemical potential and grand potential can be obtained via and .
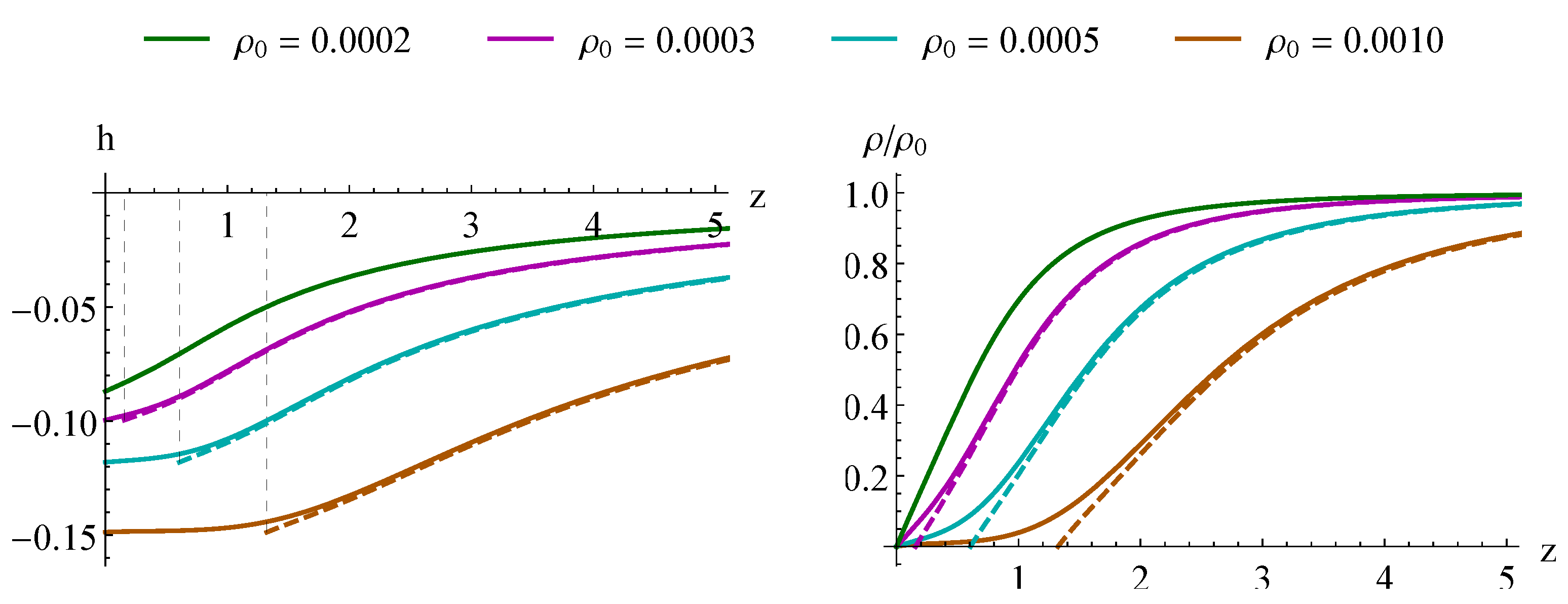
Appendix B. Comparison to a Different Homogeneous Approach
References
- Abbott, B.P.; Abbott, R.; Abbott, T.D.; Acernese, F.; Ackley, K.; Adams, C.; Adams, T.; Addesso, P.; Adhikari, R.X.; Adya, V.B. Gravitational Waves and Gamma-rays from a Binary Neutron Star Merger: GW170817 and GRB 170817A. Astrophys. J. Lett. 2017, 848, L13. [Google Scholar] [CrossRef]
- Annala, E.; Gorda, T.; Kurkela, A.; Vuorinen, A. Gravitational-wave constraints on the neutron-star-matter Equation of State. Phys. Rev. Lett. 2018, 120, 172703. [Google Scholar] [CrossRef] [PubMed]
- Brambilla, N.; Eidelman, S.; Foka, P.; Gardner, S.; Kronfeld, A.S.; Alford, M.G.; Alkofer, R.; Butenschoen, M.; Cohen, T.D.; Erdmenger, J. QCD and Strongly Coupled Gauge Theories: Challenges and Perspectives. Eur. Phys. J. C 2014, 74, 2981. [Google Scholar] [CrossRef]
- Hoyos, C.; Rodríguez Fernández, D.; Jokela, N.; Vuorinen, A. Holographic quark matter and neutron stars. Phys. Rev. Lett. 2016, 117, 032501. [Google Scholar] [CrossRef] [PubMed]
- Annala, E.; Ecker, C.; Hoyos, C.; Jokela, N.; Rodríguez Fernández, D.; Vuorinen, A. Holographic compact stars meet gravitational wave constraints. J. High Energy Phys. 2018, 12, 078. [Google Scholar] [CrossRef]
- Jokela, N.; Järvinen, M.; Remes, J. Holographic QCD in the Veneziano limit and neutron stars. J. High Energy Phys. 2019, 3, 041. [Google Scholar] [CrossRef]
- Bitaghsir Fadafan, K.; Cruz Rojas, J.; Evans, N. Deconfined, Massive Quark Phase at High Density and Compact Stars: A Holographic Study. Phys. Rev. D 2020, 101, 126005. [Google Scholar] [CrossRef]
- Mamani, L.A.H.; Flores, C.V.; Zanchin, V.T. Phase diagram and compact stars in a holographic QCD model. Phys. Rev. D 2020, 102, 066006. [Google Scholar] [CrossRef]
- Zhang, L.; Huang, M. Holographic cold dense matter constrained by neutron stars. Phys. Rev. D 2022, 106, 096028. [Google Scholar] [CrossRef]
- Bitaghsir Fadafan, K.; Kazemian, F.; Schmitt, A. Towards a holographic quark-hadron continuity. J. High Energy Phys. 2019, 3, 183. [Google Scholar] [CrossRef]
- Ishii, T.; Järvinen, M.; Nijs, G. Cool baryon and quark matter in holographic QCD. J. High Energy Phys. 2019, 7, 003. [Google Scholar] [CrossRef]
- Kovensky, N.; Poole, A.; Schmitt, A. Building a realistic neutron star from holography. Phys. Rev. D 2022, 105, 034022. [Google Scholar] [CrossRef]
- Ghoroku, K.; Kashiwa, K.; Nakano, Y.; Tachibana, M.; Toyoda, F. Stiff equation of state for a holographic nuclear matter as instanton gas. Phys. Rev. D 2021, 104, 126002. [Google Scholar] [CrossRef]
- Bartolini, L.; Gudnason, S.B.; Leutgeb, J.; Rebhan, A. Neutron stars and phase diagram in a hard-wall AdS/QCD model. Phys. Rev. D 2022, 105, 126014. [Google Scholar] [CrossRef]
- Bitaghsir Fadafan, K.; Cruz Rojas, J.; Evans, N. Holographic description of color superconductivity. Phys. Rev. D 2018, 98, 066010. [Google Scholar] [CrossRef]
- Ghoroku, K.; Kashiwa, K.; Nakano, Y.; Tachibana, M.; Toyoda, F. Color superconductivity in a holographic model. Phys. Rev. D 2019, 99, 106011. [Google Scholar] [CrossRef]
- Kovensky, N.; Schmitt, A. Holographic quarkyonic matter. J. High Energy Phys. 2020, 9, 112. [Google Scholar] [CrossRef]
- Pinkanjanarod, S.; Burikham, P. Massive neutron stars with holographic multiquark cores. Eur. Phys. J. C 2021, 81, 705. [Google Scholar] [CrossRef]
- Järvinen, M. Holographic modeling of nuclear matter and neutron stars. Eur. Phys. J. C 2022, 82, 282. [Google Scholar] [CrossRef]
- Hoyos, C.; Jokela, N.; Vuorinen, A. Holographic approach to compact stars and their binary mergers. Prog. Part. Nucl. Phys. 2022, 126, 103972. [Google Scholar] [CrossRef]
- Witten, E. Baryons and branes in anti-de Sitter space. J. High Energy Phys. 1998, 7, 006. [Google Scholar] [CrossRef]
- Kim, K.Y.; Sin, S.J.; Zahed, I. Dense hadronic matter in holographic QCD. J. Korean Phys. Soc. 2013, 63, 1515–1529. [Google Scholar] [CrossRef]
- Hata, H.; Sakai, T.; Sugimoto, S.; Yamato, S. Baryons from instantons in holographic QCD. Prog. Theor. Phys. 2007, 117, 1157. [Google Scholar] [CrossRef]
- Kim, K.Y.; Sin, S.J.; Zahed, I. The Chiral Model of Sakai-Sugimoto at Finite Baryon Density. J. High Energy Phys. 2008, 1, 002. [Google Scholar] [CrossRef]
- Pomarol, A.; Wulzer, A. Stable skyrmions from extra dimensions. J. High Energy Phys. 2008, 3, 051. [Google Scholar] [CrossRef]
- Pomarol, A.; Wulzer, A. Baryon Physics in Holographic QCD. Nucl. Phys. B 2009, 809, 347–361. [Google Scholar] [CrossRef]
- Cherman, A.; Cohen, T.D.; Nielsen, M. Model Independent Tests of Skyrmions and Their Holographic Cousins. Phys. Rev. Lett. 2009, 103, 022001. [Google Scholar] [CrossRef]
- Cherman, A.; Ishii, T. Long-distance properties of baryons in the Sakai-Sugimoto model. Phys. Rev. D 2012, 86, 045011. [Google Scholar] [CrossRef]
- Bolognesi, S.; Sutcliffe, P. The Sakai-Sugimoto soliton. J. High Energy Phys. 2014, 1, 078. [Google Scholar] [CrossRef]
- Järvinen, M.; Kiritsis, E.; Nitti, F.; Préau, E. Tachyon-dependent Chern-Simons terms and the V-QCD Baryon. arXiv 2022, arXiv:2209.05868. [Google Scholar] [CrossRef]
- Järvinen, M.; Kiritsis, E.; Nitti, F.; Préau, E. The V-QCD baryon: Numerical solution and baryon spectrum. arXiv 2022, arXiv:2212.06747. [Google Scholar]
- Ghoroku, K.; Kubo, K.; Tachibana, M.; Taminato, T.; Toyoda, F. Holographic cold nuclear matter as dilute instanton gas. Phys. Rev. D 2013, 87, 066006. [Google Scholar] [CrossRef]
- Gwak, B.; Kim, M.; Lee, B.H.; Seo, Y.; Sin, S.J. Holographic D Instanton Liquid and chiral transition. Phys. Rev. D 2012, 86, 026010. [Google Scholar] [CrossRef]
- Evans, N.; Kim, K.Y.; Magou, M.; Seo, Y.; Sin, S.J. The Baryonic Phase in Holographic Descriptions of the QCD Phase Diagram. J. High Energy Phys. 2012, 9, 045. [Google Scholar] [CrossRef]
- Li, S.w.; Schmitt, A.; Wang, Q. From holography towards real-world nuclear matter. Phys. Rev. D 2015, 92, 026006. [Google Scholar] [CrossRef]
- Preis, F.; Schmitt, A. Layers of deformed instantons in holographic baryonic matter. J. High Energy Phys. 2016, 7, 001. [Google Scholar] [CrossRef]
- Kaplunovsky, V.; Sonnenschein, J. Searching for an Attractive Force in Holographic Nuclear Physics. J. High Energy Phys. 2011, 5, 058. [Google Scholar] [CrossRef]
- Kim, K.Y.; Sin, S.J.; Zahed, I. Dense holographic QCD in the Wigner-Seitz approximation. J. High Energy Phys. 2008, 9, 001. [Google Scholar] [CrossRef]
- Rho, M.; Sin, S.J.; Zahed, I. Dense QCD: A Holographic Dyonic Salt. Phys. Lett. B 2010, 689, 23–27. [Google Scholar] [CrossRef]
- Kaplunovsky, V.; Melnikov, D.; Sonnenschein, J. Baryonic Popcorn. J. High Energy Phys. 2012, 11, 047. [Google Scholar] [CrossRef]
- Kaplunovsky, V.; Sonnenschein, J. Dimension Changing Phase Transitions in Instanton Crystals. J. High Energy Phys. 2014, 4, 022. [Google Scholar] [CrossRef]
- Kaplunovsky, V.; Melnikov, D.; Sonnenschein, J. Holographic Baryons and Instanton Crystals. Mod. Phys. Lett. B 2015, 29, 1540052. [Google Scholar] [CrossRef]
- Järvinen, M.; Kaplunovsky, V.; Sonnenschein, J. Many phases of generalized 3D instanton crystals. SciPost Phys. 2021, 11, 018. [Google Scholar] [CrossRef]
- Witten, E. Anti-de Sitter space, thermal phase transition, and confinement in gauge theories. Adv. Theor. Math. Phys. 1998, 2, 505–532. [Google Scholar] [CrossRef]
- Sakai, T.; Sugimoto, S. Low energy hadron physics in holographic QCD. Prog. Theor. Phys. 2005, 113, 843–882. [Google Scholar] [CrossRef]
- Sakai, T.; Sugimoto, S. More on a holographic dual of QCD. Prog. Theor. Phys. 2005, 114, 1083–1118. [Google Scholar] [CrossRef]
- Rozali, M.; Shieh, H.H.; Van Raamsdonk, M.; Wu, J. Cold Nuclear Matter In Holographic QCD. J. High Energy Phys. 2008, 1, 053. [Google Scholar] [CrossRef]
- Bergman, O.; Lifschytz, G.; Lippert, M. Holographic Nuclear Physics. J. High Energy Phys. 2007, 11, 056. [Google Scholar] [CrossRef]
- Li, D.; Huang, M. Dynamical holographic QCD model for glueball and light meson spectra. J. High Energy Phys. 2013, 11, 088. [Google Scholar] [CrossRef]
- Elliot-Ripley, M.; Sutcliffe, P.; Zamaklar, M. Phases of kinky holographic nuclear matter. J. High Energy Phys. 2016, 10, 088. [Google Scholar] [CrossRef]
- Hoyos, C.; Jokela, N.; Rodríguez Fernández, D.; Vuorinen, A. Breaking the sound barrier in AdS/CFT. Phys. Rev. D 2016, 94, 106008. [Google Scholar] [CrossRef]
- Ecker, C.; Hoyos, C.; Jokela, N.; Rodríguez Fernández, D.; Vuorinen, A. Stiff phases in strongly coupled gauge theories with holographic duals. J. High Energy Phys. 2017, 11, 031. [Google Scholar] [CrossRef]
- Bedaque, P.; Steiner, A.W. Sound velocity bound and neutron stars. Phys. Rev. Lett. 2015, 114, 031103. [Google Scholar] [CrossRef]
- Altiparmak, S.; Ecker, C.; Rezzolla, L. On the Sound Speed in Neutron Stars. Astrophys. J. Lett. 2022, 939, L34. [Google Scholar] [CrossRef]
- Ecker, C.; Rezzolla, L. A General, Scale-independent Description of the Sound Speed in Neutron Stars. Astrophys. J. Lett. 2022, 939, L35. [Google Scholar] [CrossRef]
- Klebanov, I.R. Nuclear Matter in the Skyrme Model. Nucl. Phys. B 1985, 262, 133–143. [Google Scholar] [CrossRef]
- Goldhaber, A.S.; Manton, N.S. Maximal Symmetry of the Skyrme Crystal. Phys. Lett. B 1987, 198, 231–234. [Google Scholar] [CrossRef]
- Kugler, M.; Shtrikman, S. A NEW SKYRMION CRYSTAL. Phys. Lett. B 1988, 208, 491–494. [Google Scholar] [CrossRef]
- Park, B.Y.; Min, D.P.; Rho, M.; Vento, V. Atiyah-Manton approach to skyrmion matter. Nucl. Phys. A 2002, 707, 381–398. [Google Scholar] [CrossRef]
- Lee, H.J.; Park, B.Y.; Min, D.P.; Rho, M.; Vento, V. A Unified approach to high density: Pion fluctuations in skyrmion matter. Nucl. Phys. A 2003, 723, 427–446. [Google Scholar] [CrossRef]
- Lee, H.K.; Paeng, W.G.; Rho, M. Scalar Pseudo-Nambu-Goldstone Boson in Nuclei and Dense Nuclear Matter. Phys. Rev. D 2015, 92, 125033. [Google Scholar] [CrossRef]
- Paeng, W.G.; Kuo, T.T.S.; Lee, H.K.; Rho, M. Scale-Invariant Hidden Local Symmetry, Topology Change and Dense Baryonic Matter. Phys. Rev. C 2016, 93, 055203. [Google Scholar] [CrossRef]
- Ma, Y.L.; Rho, M. Quenched gA in Nuclei and Emergent Scale Symmetry in Baryonic Matter. Phys. Rev. Lett. 2020, 125, 142501. [Google Scholar] [CrossRef] [PubMed]
- Paeng, W.G.; Kuo, T.T.S.; Lee, H.K.; Ma, Y.L.; Rho, M. Scale-invariant hidden local symmetry, topology change, and dense baryonic matter. II. Phys. Rev. D 2017, 96, 014031. [Google Scholar] [CrossRef]
- Ma, Y.L.; Rho, M. What’s in the core of massive neutron stars? arXiv 2020, arXiv:2006.14173. [Google Scholar]
- Rho, M. Pseudo-Conformal Sound Speed in the Core of Compact Stars. Symmetry 2022, 14, 2154. [Google Scholar] [CrossRef]
- Annala, E.; Gorda, T.; Kurkela, A.; Nättilä, J.; Vuorinen, A. Evidence for quark-matter cores in massive neutron stars. Nat. Phys. 2020, 16, 907–910. [Google Scholar] [CrossRef]
- Annala, E.; Gorda, T.; Katerini, E.; Kurkela, A.; Nättilä, J.; Paschalidis, V.; Vuorinen, A. Multimessenger Constraints for Ultradense Matter. Phys. Rev. X 2022, 12, 011058. [Google Scholar] [CrossRef]
- Ma, Y.L.; Rho, M. Towards the hadron–quark continuity via a topology change in compact stars. Prog. Part. Nucl. Phys. 2020, 113, 103791. [Google Scholar] [CrossRef]
- Schäfer, T.; Wilczek, F. Continuity of quark and hadron matter. Phys. Rev. Lett. 1999, 82, 3956–3959. [Google Scholar] [CrossRef]
- Alford, M.G.; Baym, G.; Fukushima, K.; Hatsuda, T.; Tachibana, M. Continuity of vortices from the hadronic to the color-flavor locked phase in dense matter. Phys. Rev. D 2019, 99, 036004. [Google Scholar] [CrossRef]
- Cherman, A.; Sen, S.; Yaffe, L.G. Anyonic particle-vortex statistics and the nature of dense quark matter. Phys. Rev. D 2019, 100, 034015. [Google Scholar] [CrossRef]
- Hirono, Y.; Tanizaki, Y. Quark-Hadron Continuity beyond the Ginzburg-Landau Paradigm. Phys. Rev. Lett. 2019, 122, 212001. [Google Scholar] [CrossRef] [PubMed]
- Cherman, A.; Jacobson, T.; Sen, S.; Yaffe, L.G. Higgs-confinement phase transitions with fundamental representation matter. Phys. Rev. D 2020, 102, 105021. [Google Scholar] [CrossRef]
- McLerran, L.; Pisarski, R.D. Phases of cold, dense quarks at large N(c). Nucl. Phys. A 2007, 796, 83–100. [Google Scholar] [CrossRef]
- Järvinen, M.; Kiritsis, E. Holographic Models for QCD in the Veneziano Limit. J. High Energy Phys. 2012, 3, 002. [Google Scholar] [CrossRef]
- Aharony, O.; Sonnenschein, J.; Yankielowicz, S. A Holographic model of deconfinement and chiral symmetry restoration. Annals Phys. 2007, 322, 1420–1443. [Google Scholar] [CrossRef]
- Itzhaki, N.; Maldacena, J.M.; Sonnenschein, J.; Yankielowicz, S. Supergravity and the large N limit of theories with sixteen supercharges. Phys. Rev. D 1998, 58, 046004. [Google Scholar] [CrossRef]
- Brandhuber, A.; Itzhaki, N.; Sonnenschein, J.; Yankielowicz, S. Wilson loops, confinement, and phase transitions in large N gauge theories from supergravity. J. High Energy Phys. 1998, 6, 001. [Google Scholar] [CrossRef]
- Lau, P.H.C.; Sugimoto, S. Chern-Simons five-form and holographic baryons. Phys. Rev. D 2017, 95, 126007. [Google Scholar] [CrossRef]
- Gursoy, U.; Kiritsis, E. Exploring improved holographic theories for QCD: Part I. J. High Energy Phys. 2008, 2, 032. [Google Scholar] [CrossRef]
- Gursoy, U.; Kiritsis, E.; Nitti, F. Exploring improved holographic theories for QCD: Part II. J. High Energy Phys. 2008, 2, 019. [Google Scholar] [CrossRef]
- Bigazzi, F.; Casero, R.; Cotrone, A.L.; Kiritsis, E.; Paredes, A. Non-critical holography and four-dimensional CFT’s with fundamentals. J. High Energy Phys. 2005, 10, 012. [Google Scholar] [CrossRef]
- Casero, R.; Kiritsis, E.; Paredes, A. Chiral symmetry breaking as open string tachyon condensation. Nucl. Phys. B 2007, 787, 98–134. [Google Scholar] [CrossRef]
- Veneziano, G. Some Aspects of a Unified Approach to Gauge, Dual and Gribov Theories. Nucl. Phys. B 1976, 117, 519–545. [Google Scholar] [CrossRef]
- Areán, D.; Iatrakis, I.; Järvinen, M.; Kiritsis, E. The discontinuities of conformal transitions and mass spectra of V-QCD. J. High Energy Phys. 2013, 11, 068. [Google Scholar] [CrossRef]
- Gursoy, U.; Kiritsis, E.; Mazzanti, L.; Nitti, F. Improved Holographic Yang-Mills at Finite Temperature: Comparison with Data. Nucl. Phys. B 2009, 820, 148–177. [Google Scholar] [CrossRef]
- Alho, T.; Järvinen, M.; Kajantie, K.; Kiritsis, E.; Tuominen, K. Quantum and stringy corrections to the equation of state of holographic QCD matter and the nature of the chiral transition. Phys. Rev. D 2015, 91, 055017. [Google Scholar] [CrossRef]
- Amorim, A.; Costa, M.S.; Järvinen, M. Regge theory in a holographic dual of QCD in the Veneziano limit. J. High Energy Phys. 2021, 7, 065. [Google Scholar] [CrossRef]
- Gubser, S.S. Curvature singularities: The Good, the bad, and the naked. Adv. Theor. Math. Phys. 2000, 4, 679–745. [Google Scholar] [CrossRef]
- Alho, T.; Järvinen, M.; Kajantie, K.; Kiritsis, E.; Tuominen, K. On finite-temperature holographic QCD in the Veneziano limit. J. High Energy Phys. 2013, 1, 093. [Google Scholar] [CrossRef]
- Alho, T.; Järvinen, M.; Kajantie, K.; Kiritsis, E.; Rosen, C.; Tuominen, K. A holographic model for QCD in the Veneziano limit at finite temperature and density. J. High Energy Phys. 2014, 4, 124, Erratum in J. High Energy Phys. 2015, 2, 033. [Google Scholar] [CrossRef]
- Ecker, C.; Järvinen, M.; Nijs, G.; van der Schee, W. Gravitational waves from holographic neutron star mergers. Phys. Rev. D 2020, 101, 103006. [Google Scholar] [CrossRef]
- Jokela, N.; Järvinen, M.; Nijs, G.; Remes, J. Unified weak and strong coupling framework for nuclear matter and neutron stars. Phys. Rev. D 2021, 103, 086004. [Google Scholar] [CrossRef]
- Jokela, N.; Järvinen, M.; Remes, J. Holographic QCD in the NICER era. Phys. Rev. D 2022, 105, 086005. [Google Scholar] [CrossRef]
- Demircik, T.; Ecker, C.; Järvinen, M. Dense and Hot QCD at Strong Coupling. Phys. Rev. X 2022, 12, 041012. [Google Scholar] [CrossRef]
- Hoyos, C.; Jokela, N.; Järvinen, M.; Subils, J.G.; Tarrio, J.; Vuorinen, A. Transport in strongly coupled quark matter. Phys. Rev. Lett. 2020, 125, 241601. [Google Scholar] [CrossRef]
- Demircik, T.; Ecker, C.; Järvinen, M. Rapidly Spinning Compact Stars with Deconfinement Phase Transition. Astrophys. J. Lett. 2021, 907, L37. [Google Scholar] [CrossRef]
- Tootle, S.; Ecker, C.; Topolski, K.; Demircik, T.; Järvinen, M.; Rezzolla, L. Quark formation and phenomenology in binary neutron-star mergers using V-QCD. SciPost Phys. 2022, 13, 109. [Google Scholar] [CrossRef]
- Demircik, T.; Ecker, C.; Järvinen, M.; Rezzolla, L.; Tootle, S.; Topolski, K. Exploring the Phase Diagram of V-QCD with Neutron Star Merger Simulations. In Proceedings of the 15th Conference on Quark Confinement and the Hadron Spectrum, Stavanger, Norway, 1–6 August 2022. [Google Scholar]
- Fujimoto, Y.; Fukushima, K.; McLerran, L.D.; Praszalowicz, M. Trace Anomaly as Signature of Conformality in Neutron Stars. Phys. Rev. Lett. 2022, 129, 252702. [Google Scholar] [CrossRef]
- Kovensky, N.; Schmitt, A. Isospin asymmetry in holographic baryonic matter. SciPost Phys. 2021, 11, 029. [Google Scholar] [CrossRef]





| f | |||
|---|---|---|---|
| 1.745 | |||
| } | 2.003 | ||
| 1.626 | |||
| 1.642 |
Disclaimer/Publisher’s Note: The statements, opinions and data contained in all publications are solely those of the individual author(s) and contributor(s) and not of MDPI and/or the editor(s). MDPI and/or the editor(s) disclaim responsibility for any injury to people or property resulting from any ideas, methods, instructions or products referred to in the content. |
© 2023 by the authors. Licensee MDPI, Basel, Switzerland. This article is an open access article distributed under the terms and conditions of the Creative Commons Attribution (CC BY) license (https://creativecommons.org/licenses/by/4.0/).
Share and Cite
Cruz Rojas, J.; Demircik, T.; Järvinen, M. Popcorn Transitions and Approach to Conformality in Homogeneous Holographic Nuclear Matter. Symmetry 2023, 15, 331. https://doi.org/10.3390/sym15020331
Cruz Rojas J, Demircik T, Järvinen M. Popcorn Transitions and Approach to Conformality in Homogeneous Holographic Nuclear Matter. Symmetry. 2023; 15(2):331. https://doi.org/10.3390/sym15020331
Chicago/Turabian StyleCruz Rojas, Jesús, Tuna Demircik, and Matti Järvinen. 2023. "Popcorn Transitions and Approach to Conformality in Homogeneous Holographic Nuclear Matter" Symmetry 15, no. 2: 331. https://doi.org/10.3390/sym15020331
APA StyleCruz Rojas, J., Demircik, T., & Järvinen, M. (2023). Popcorn Transitions and Approach to Conformality in Homogeneous Holographic Nuclear Matter. Symmetry, 15(2), 331. https://doi.org/10.3390/sym15020331

