Bonding of Dissimilar Metals in the Interlayer Region in Al-Based Composites: Molecular Dynamics
Abstract
1. Introduction
2. Simulation Details
3. Results and Discussion
3.1. Composites under Compression
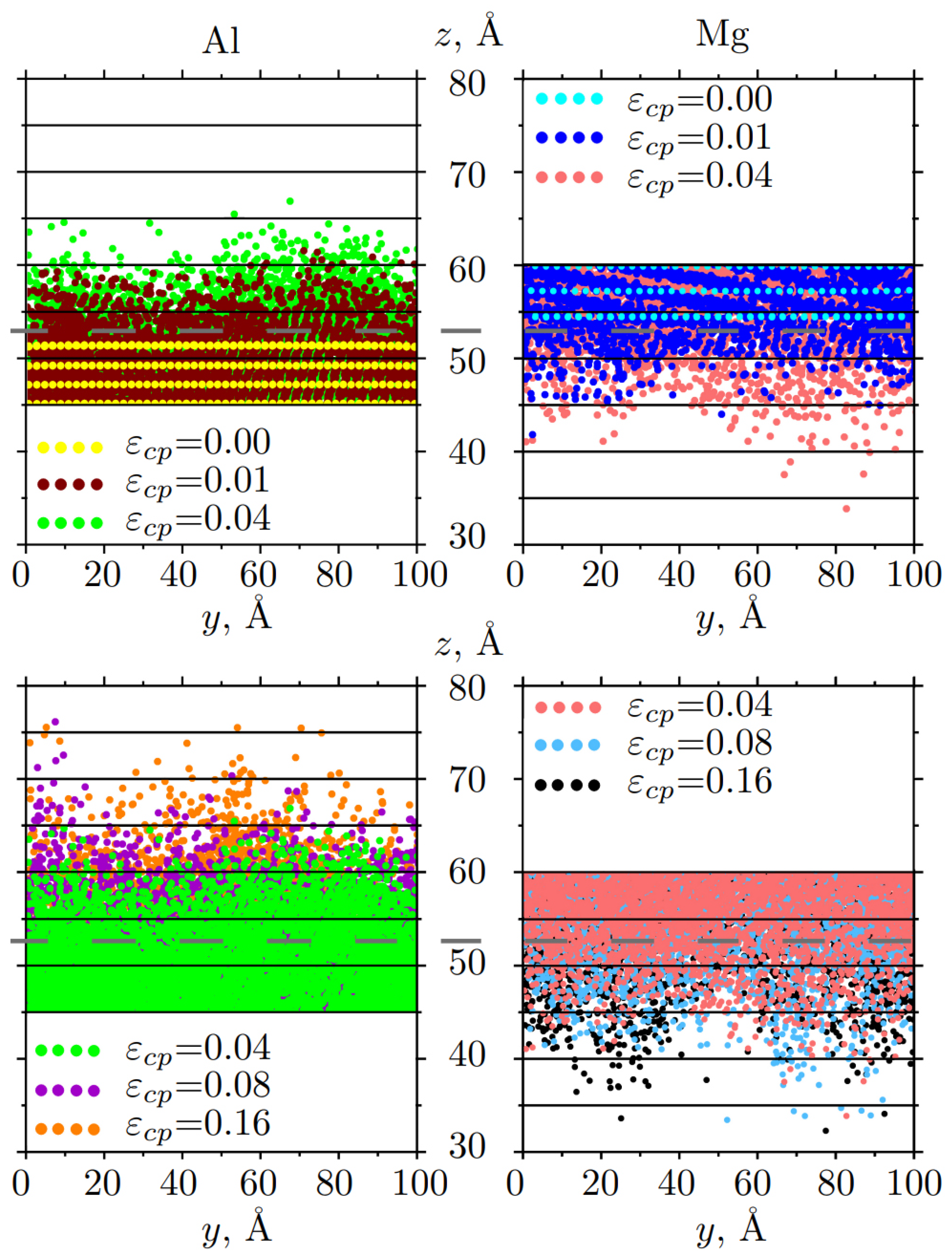
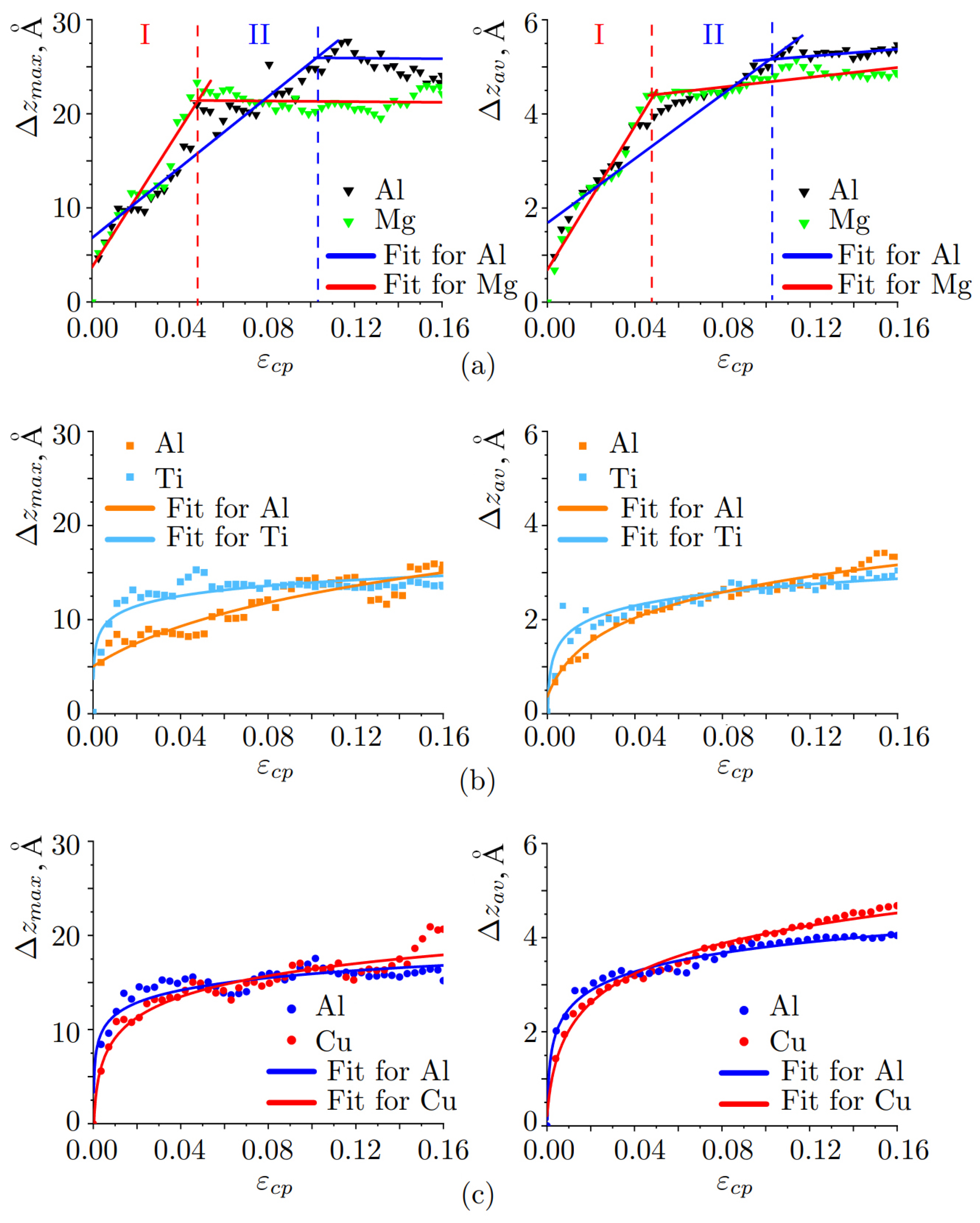
3.2. Atomic Mixing near the Interface
Al/Mg Interface
3.3. Al/Ti Interface
3.4. Al/Cu Interface
3.5. Tensile Tests
4. Conclusions
Author Contributions
Funding
Data Availability Statement
Conflicts of Interest
Nomenclature
| Symbol | Meaning | Units |
| a, c | Lattice parameters | Å |
| r | Atomic radius | g/mol |
| Compressive strain | ||
| Compressive stress | GPa | |
| , , | Size of structure | Å |
| Ultimate tensile strength | GPa | |
| E | Young’s modulus | GPa |
| Ultimate tensile strength of the initial noncompressive sample | GPa | |
| Young’s modulus of the initial noncompressive sample | GPa | |
| Average distances of an atomic displacement (Average diffusion depth) | Å | |
| Maximum distances of an atomic displacement (Maximum diffusion depth) | Å | |
| k, b | Diffusion rate | Å/ps |
| Fracture strain | ||
| Strain during uniaxial tension along |
References
- Zhang, J.; Song, B.; Wei, Q.; Bourell, D.; Shi, Y. A review of selective laser melting of aluminum alloys: Processing, microstructure, property and developing trends. J. Mater. Sci. Technol. 2019, 35, 270–284. [Google Scholar] [CrossRef]
- Imran, M.; Khan, A.A. Characterization of Al-7075 metal matrix composites: A review. J. Mater. Res. Technol. 2019, 8, 3347–3356. [Google Scholar] [CrossRef]
- Xu, T.; Yang, Y.; Peng, X.; Song, J.; Pan, F. Overview of advancement and development trend on magnesium alloy. J. Magnes. Alloy. 2019, 7, 536–544. [Google Scholar] [CrossRef]
- Hirsch, J.; Al-Samman, T. Superior light metals by texture engineering: Optimized aluminum and magnesium alloys for automotive applications. Acta Mater. 2013, 61, 818–843. [Google Scholar] [CrossRef]
- Lacaze, J.; Tierce, S.; Lafont, M.C.; Thebault, Y.; Pébère, N.; Mankowski, G.; Blanc, C.; Robidou, H.; Vaumousse, D.; Daloz, D. Study of the microstructure resulting from brazed aluminium materials used in heat exchangers. Mater. Sci. Eng. A 2005, 413–414, 317–321. [Google Scholar] [CrossRef]
- Kala, H.; Mer, K.; Kumar, S. A Review on Mechanical and Tribological Behaviors of Stir Cast Aluminum Matrix Composites. Procedia Mater. Sci. 2014, 6, 1951–1960. [Google Scholar] [CrossRef]
- Mishra, R.; Mahoney, M.; McFadden, S.; Mara, N.; Mukherjee, A. High strain rate superplasticity in a friction stir processed 7075 Al alloy. Scr. Mater. 1999, 42, 163–168. [Google Scholar] [CrossRef]
- Wei, X.; Zhou, Q.; Xu, K.; Huang, P.; Wang, F.; Lu, T. Enhanced hardness via interface alloying in nanoscale Cu/Al multilayers. Mater. Sci. Eng. A 2018, 726, 274–281. [Google Scholar] [CrossRef]
- Fronczek, D.; Chulist, R.; Litynska-Dobrzynska, L.; Kac, S.; Schell, N.; Kania, Z.; Szulc, Z.; Wojewoda-Budka, J. Microstructure and kinetics of intermetallic phase growth of three-layered A1050/AZ31/A1050 clads prepared by explosive welding combined with subsequent annealing. Mater. Des. 2017, 130, 120–130. [Google Scholar] [CrossRef]
- Rahmatabadi, D.; Tayyebi, M.; Hashemi, R.; Faraji, G. Microstructure and mechanical properties of Al/Cu/Mg laminated composite sheets produced by the ARB proces. Int. J. Miner. Metall. Mater. 2018, 25, 564–572. [Google Scholar] [CrossRef]
- Shayanpoor, A.; Ashtiani, H.R. Microstructural and mechanical investigations of powder reinforced interface layer of hot extruded Al/Cu bimetallic composite rods. J. Manuf. Process. 2022, 77, 313–328. [Google Scholar] [CrossRef]
- Rodak, K.; Rzychoń, T.; Mikuszewski, T.; Chmiela, B.; Sozańska, M.; Boczkal, S. Ultrafine-Grained Microstructures of Al–Cu Alloys with Hypoeutectic and Hypereutectic Composition Produced by Extrusion Combined with Reversible Torsion. Microsc. Microanal. 2022, 28, 953–960. [Google Scholar] [CrossRef]
- Mulyukov, R.R.; Korznikova, G.F.; Nazarov, K.S.; Khisamov, R.K.; Sergeev, S.N.; Shayachmetov, R.U.; Khalikova, G.R.; Korznikova, E.A. Annealing-induced phase transformations and hardness evolution in Al–Cu–Al composites obtained by high-pressure torsion. Acta Mech. 2021, 232, 1815–1828. [Google Scholar] [CrossRef]
- Korznikova, G.; Korznikova, E.; Nazarov, K.; Shayakhmetov, R.; Khisamov, R.; Khalikova, G.; Mulyukov, R. Structure and Mechanical Behavior of Al–Nb Hybrids Obtained by High-Pressure-Torsion-Induced Diffusion Bonding and Subsequent Annealing. Adv. Eng. Mater. 2020, 23, 2000757. [Google Scholar] [CrossRef]
- Korznikova, G.; Kabirov, R.; Nazarov, K.; Khisamov, R.; Shayakhmetov, R.; Korznikova, E.; Khalikova, G.; Mulyukov, R. Influence of Constrained High-Pressure Torsion on Microstructure and Mechanical Properties of an Aluminum-Based Metal Matrix Composite. JOM 2020, 72, 2898–2911. [Google Scholar] [CrossRef]
- Korznikova, G.; Nazarov, K.; Khisamov, R.; Sergeev, S.; Shayachmetov, R.; Khalikova, G.; Baimova, J.; Glezer, A.; Mulyukov, R. Intermetallic growth kinetics and microstructure evolution in Al-Cu-Al metal-matrix composite processed by high pressure torsion. Mater. Lett. 2019, 253, 412–415. [Google Scholar] [CrossRef]
- Korznikova, G.; Korznikova, E.; Khalikova, G.; Nazarov, K.; Khisamov, R.; Sergeev, S.; Shayakhmetov, R.; Mulyukov, R. Al based layered in situ metal-matrix composites fabricated by constrained high pressure torsion. Lett. Mater. 2021, 11, 533–543. [Google Scholar] [CrossRef]
- Rogachev, S.; Khatkevich, V.; Sundeev, R. High strength in layered metal composites obtained by high-pressure torsion. Mater. Lett. 2021, 303, 130567. [Google Scholar] [CrossRef]
- Funamizu, Y.; Watanabe, K. Interdiffusion in the AlCu System. Trans. Jpn. Inst. Met. 1971, 12, 147–152. [Google Scholar] [CrossRef]
- Tanaka, Y.; Kajihara, M.; Watanabe, Y. Growth behavior of compound layers during reactive diffusion between solid Cu and liquid Al. Mater. Sci. Eng. A 2007, 445–446, 355–363. [Google Scholar] [CrossRef]
- Chen, D.; Zhang, H.; Zhao, D.; Liu, Y.; Jiang, Z. Effects of annealing temperature on interface microstructure and element diffusion of ultra-thin Cu/Al composite sheets. Mater. Lett. 2022, 322, 132491. [Google Scholar] [CrossRef]
- Han, J.K.; Han, D.K.; Liang, G.Y.; Jang, J.I.; Langdon, T.G.; Kawasaki, M. Direct Bonding of Aluminum–Copper Metals through High-Pressure Torsion Processing. Adv. Eng. Mater. 2018, 20, 1800642. [Google Scholar] [CrossRef]
- Kulagin, R.; Beygelzimer, Y.; Ivanisenko, Y.; Mazilkin, A.; Straumal, B.; Hahn, H. Instabilities of interfaces between dissimilar metals induced by high pressure torsion. Mater. Lett. 2018, 222, 172–175. [Google Scholar] [CrossRef]
- Kawasaki, M.; Han, J.K.; Lee, D.H.; Jang, J.I.; Langdon, T.G. Fabrication of nanocomposites through diffusion bonding under high-pressure torsion. J. Mater. Res. 2018, 33, 2700–2710. [Google Scholar] [CrossRef]
- Kawasaki, M.; Jang, J.I. Micro-Mechanical Response of an Al-Mg Hybrid System Synthesized by High-Pressure Torsion. Materials 2017, 10, 596. [Google Scholar] [CrossRef]
- Cao, M.; Wang, C.J.; Deng, K.K.; Nie, K.B.; Liang, W.; Wu, Y.C. Effect of interface on mechanical properties and formability of Ti/Al/Ti laminated composites. J. Mater. Res. Technol. 2021, 14, 1655–1669. [Google Scholar] [CrossRef]
- Bartkowska, A.; Bazarnik, P.; Huang, Y.; Lewandowska, M.; Langdon, T.G. Using high-pressure torsion to fabricate an Al–Ti hybrid system with exceptional mechanical properties. Mater. Sci. Eng. A 2021, 799, 140114. [Google Scholar] [CrossRef]
- Bazarnik, P.; Bartkowska, A.; Huang, Y.; Szlkazak, K.; Adamczyk-Cieslak, B.; Sort, J.; Lewandowska, M.; Langdon, T.G. Fabrication of hybrid nanocrystalline Al–Ti alloys by mechanical bonding through high-pressure torsion. Mater. Sci. Eng. A 2022, 833, 142549. [Google Scholar] [CrossRef]
- Elangovan, K.; Balasubramanian, V. Influences of pin profile and rotational speed of the tool on the formation of friction stir processing zone in AA2219 aluminium alloy. Mater. Sci. Eng. A 2007, 459, 7–18. [Google Scholar] [CrossRef]
- Karthikeyan, L.; Senthilkumar, V.; Padmanabhan, K. On the role of process variables in the friction stir processing of cast aluminum A319 alloy. Mater. Des. 2010, 31, 761–771. [Google Scholar] [CrossRef]
- Kim, D.; Kim, K.; Kwon, H. Interdiffusion and Intermetallic Compounds at Al/Cu Interfaces in Al-50vol.%Cu Composite Prepared by Solid-State Sintering. Materials 2021, 14, 4307. [Google Scholar] [CrossRef]
- Agureev, L.E.; Kostikov, V.I.; Yeremeyeva, Z.V.; Barmin, A.A.; Rizakhanov, R.N.; Ivanov, B.S.; Ashmarin, A.A.; Laptev, I.N.; Rudshteyn, R.I. Powder aluminum composites of Al–Cu system with micro-additions of oxide nanoparticles. Inorg. Mater. Appl. Res. 2016, 7, 687–690. [Google Scholar] [CrossRef]
- Simsek, D.; Simsek, I.; Ozyurek, D. Relationship between Al2O3 Content and Wear Behavior of Al+2% Graphite Matrix Composites. Sci. Eng. Compos. Mater. 2020, 27, 177–185. [Google Scholar] [CrossRef]
- Mehr, V.Y.; Toroghinejad, M.R.; Rezaeian, A. The effects of oxide film and annealing treatment on the bond strength of Al–Cu strips in cold roll bonding process. Mater. Des. 2014, 53, 174–181. [Google Scholar] [CrossRef]
- Akgöz, B.; Civalek, Ö. Buckling Analysis of Functionally Graded Tapered Microbeams via Rayleigh–Ritz Method. Mathematics 2022, 10, 4429. [Google Scholar] [CrossRef]
- Cao, N.; Xi, M.; Li, X.; Zheng, J.; Qian, L.; Dai, Y.; Song, X.; Hu, S. Recent Developments in Heterogeneous Photocatalysts with Near-Infrared Response. Symmetry 2022, 14, 2107. [Google Scholar] [CrossRef]
- Mao, A.; Zhang, J.; Yao, S.; Wang, A.; Wang, W.; Li, Y.; Qiao, C.; Xie, J.; Jia, Y. The diffusion behaviors at the Cu-Al solid-liquid interface: A molecular dynamics study. Results Phys. 2020, 16, 102998. [Google Scholar] [CrossRef]
- Chen, S.Y.; Wu, Z.W.; Liu, K.X.; Li, X.J.; Luo, N.; Lu, G.X. Atomic diffusion behavior in Cu-Al explosive welding process. J. Appl. Phys. 2013, 113, 044901. [Google Scholar] [CrossRef]
- Levchenko, E.V.; Evteev, A.V.; Lorscheider, T.; Belova, I.V.; Murch, G.E. Molecular dynamics simulation of alloying in an Al-coated Ti nanoparticle. Comput. Mater. Sci. 2013, 79, 316–325. [Google Scholar] [CrossRef]
- Palafox-Hernandez, J.P.; Laird, B.B.; Asta, M. Atomistic characterization of the Cu–Pb solid–liquid interface. Acta Mater. 2011, 59, 3137–3144. [Google Scholar] [CrossRef]
- Li, C.; Li, D.; Tao, X.; Chen, H.; Ouyang, Y. Molecular dynamics simulation of diffusion bonding of Al–Cu interface. Model. Simul. Mater. Sci. Eng. 2014, 22, 065013. [Google Scholar] [CrossRef]
- Abdulrehman, M.A.; Hussein, M.A.M.; Marhoon, I.I. Temperature-dependent mechanical properties of Al/Cu nanocomposites under tensile loading via molecular dynamics method. Curved Layer. Struct. 2022, 9, 96–104. [Google Scholar] [CrossRef]
- Chen, S.; Ke, F.; Zhou, M.; Bai, Y. Atomistic investigation of the effects of temperature and surface roughness on diffusion bonding between Cu and Al. Acta Mater. 2007, 55, 3169–3175. [Google Scholar] [CrossRef]
- Jensen, J.H. Molecular Modeling Basics; CRC Press: Boca Raton, FL, USA, 2010. [Google Scholar] [CrossRef]
- Available online: https://www.lammps.org/ (accessed on 1 December 2022).
- Available online: https://www.ovito.org/ (accessed on 1 December 2022).
- Zope, R.R.; Mishin, Y. Interatomic potentials for atomistic simulations of the Ti-Al system. Phys. Rev. B 2003, 68, 024102. [Google Scholar] [CrossRef]
- Cai, J.; Ye, Y.Y. Simple analytical embedded-atom-potential model including a long-range force for fcc metals and their alloys. Phys. Rev. B 1996, 54, 8398–8410. [Google Scholar] [CrossRef]
- Liu, X.Y.; Ohotnicky, P.; Adams, J.; Rohrer, C.; Hyland, R. Anisotropic surface segregation in AlMg alloys. Surf. Sci. 1997, 373, 357–370. [Google Scholar] [CrossRef]
- Fu, R.; Rui, Z.; Feng, R.; Dong, Y.; Lv, X. Effects of lamellar interfaces on translamellar crack propagation in TiAl alloys. J. Alloys Compd. 2022, 918, 165616. [Google Scholar] [CrossRef]
- Zhang, H.; Wei, B.; Ou, X.; Ni, S.; Zhou, K.; Song, M. Dislocation induced FCC twinning at the HCP/FCC interfaces in a deformed Ti-5atAl alloy: Experiments and simulations. J. Phys. Chem. Solids 2022, 169, 110835. [Google Scholar] [CrossRef]
- Wen, D.; Kong, B.; Wang, S.; Liu, L.; Song, Q.; Yin, Z. Mechanism of stress- and thermal-induced fct → hcp → fcc crystal structure change in a TiAl-based alloy compressed at elevated temperature. Mater. Sci. Eng. A 2022, 840, 143011. [Google Scholar] [CrossRef]
- Samiri, A.; Khmich, A.; Hassani, A.; Hasnaoui, A. Elastic and structural properties of Mg25Al75 binary metallic glass under different cooling conditions. J. Alloys Compd. 2022, 891, 161979. [Google Scholar] [CrossRef]
- Kazemi, A.; Yang, S. Effects of magnesium dopants on grain boundary migration in aluminum-magnesium alloys. Comput. Mater. Sci. 2021, 188, 110130. [Google Scholar] [CrossRef]
- Zhang, J.; Mao, A.; Wang, J.; Liu, C.; Xie, J.; Jia, Y. Grain boundary heredity from Cu/Al solid–liquid interface via diffusion during the solidification processes. Chem. Phys. 2022, 552, 111369. [Google Scholar] [CrossRef]
- Zhang, Q.; Li, J.; Tang, S.; Wang, Z.; Wang, J. Atomistic Mechanism Underlying Nucleation in Al–Cu Alloys with Different Compositions and Cooling Rates. J. Phys. Chem. C 2021, 125, 3480–3494. [Google Scholar] [CrossRef]
- Polyakova, P.V.; Pukhacheva, J.A.; Shcherbinin, S.A.; Baimova, J.A.; Mulyukov, R.R. Fabrication of Magnesium-Aluminum Composites under High-Pressure Torsion: Atomistic Simulation. Appl. Sci. 2021, 11, 6801. [Google Scholar] [CrossRef]
- Polyakova, P.; Shcherbinin, S.; Baimova, J. Molecular dynamics investigation of atomic mixing and mechanical properties of Al/Ti interface. Lett. Mater. 2021, 11, 561–565. [Google Scholar] [CrossRef]
- Pearson, W. Tabulated Lattice Spacings and Data of Intermediate Phases in Alloy Systems. In A Handbook of Lattice Spacings and Structures of Metals and Alloys; Elsevier: Amsterdam, The Netherlands, 1958; pp. 131–217. [Google Scholar] [CrossRef]
- Chen, J.; Chen, W.; Wang, C. Modeling and investigation for atomic diffusion and mechanical properties of TiAl/Ti3Al interface: Temperature effect. Appl. Phys. A 2020, 126, 493. [Google Scholar] [CrossRef]
- Yücel, Y.; Beleli, B. The role of high Mg level as a dopant on the PbS nanostructures grown by the CBD method. Mater. Res. Express 2018, 5, 056408. [Google Scholar] [CrossRef]
- Vohra, Y.K.; Spencer, P.T. Novel Phase of Titanium Metal at Megabar Pressures. Phys. Rev. Lett. 2001, 86, 3068–3071. [Google Scholar] [CrossRef]
- Velisavljevic, N.; MacLeod, S.; Cy, H. Titanium Alloys at Extreme Pressure Conditions. In Titanium Alloys—Towards Achieving Enhanced Properties for Diversified Applications; InTech: London, UK, 2012. [Google Scholar] [CrossRef]
- Mezbahul-Islam, M.; Mostafa, A.O.; Medraj, M. Essential Magnesium Alloys Binary Phase Diagrams and Their Thermochemical Data. J. Mater. 2014, 2014, 704283. [Google Scholar] [CrossRef]
- Xie, Y.; Peng, H.; Liu, X.; Peng, K. Atomic states, potential energies, volumes, stability and brittleness of ordered FCC Ti3Al-type alloys. Phys. B Condens. Matter 2005, 362, 1–17. [Google Scholar] [CrossRef]
- Jona, F.; Marcus, P.M. Magnesium under pressure: Structure and phase transition. J. Phys. Condens. Matter 2003, 15, 7727–7734. [Google Scholar] [CrossRef]
- Chlouk, Z.E.; Kassem, W.; Shehadeh, M.; Hamade, R.F. On the mechanical response and intermetallic compound formation in Al/Fe interface: Molecular dynamics analyses. Philos. Mag. 2020, 100, 3041–3060. [Google Scholar] [CrossRef]
- Geysermans, P.; Gorse, D.; Pontikis, V. Molecular dynamics study of the solid–liquid interface. J. Chem. Phys. 2000, 113, 6382–6389. [Google Scholar] [CrossRef]
- Polyakova, P.V.; Nazarov, K.S.; Khisamov, R.K.; Baimova, J.A. Molecular dynamics simulation of structural transformations in Cu-Al system under pressure. J. Phys. Conf. Ser. 2020, 1435, 012065. [Google Scholar] [CrossRef]
- Varmazyar, J.; Khodaei, M. Diffusion bonding of aluminum-magnesium using cold rolled copper interlayer. J. Alloys Compd. 2019, 773, 838–843. [Google Scholar] [CrossRef]
- Wang, Y.; Prangnell, P.B. The significance of intermetallic compounds formed during interdiffusion in aluminum and magnesium dissimilar welds. Mater. Charact. 2017, 134, 84–95. [Google Scholar] [CrossRef]
- Dai, W.; Zhang, C.; Zhao, L.; Li, C. Effects of Cu content in Al-Cu alloys on microstructure, adhesive strength, and corrosion resistance of thick micro-arc oxidation coatings. Mater. Today Commun. 2022, 33, 104195. [Google Scholar] [CrossRef]
- Gao, Y.; Mo, Q.; Luo, Z.; Zhang, L.; Huang, C. Atomic bonding and properties of Al-Cu alloy with (Al2Cu). J. Electron. Mater. 2006, 35, 1801–1805. [Google Scholar] [CrossRef]
- Li, P.; Wang, L.; Wang, B.; Yan, S.; Meng, M.; Ji, X.; Xue, K. Diffusion and mechanical properties of Ti2AlNb and TA15 interface: From experiments to molecular dynamics. Vacuum 2022, 195, 110637. [Google Scholar] [CrossRef]
- Li, B.; Ma, E. Zonal dislocations mediating winning in magnesium. Acta Mater. 2009, 57, 1734–1743. [Google Scholar] [CrossRef]
- Serra, A.; Pond, R.; Bacon, D. Computer simulation of the structure and mobility of twinning disclocations in H.C.P. Metals. Acta Metall. Mater. 1991, 39, 1469–1480. [Google Scholar] [CrossRef]
- Kiselev, S.; Zhirov, E. Molecular-dynamics simulation of the synthesis of intermetallic Ti–Al. Intermetallics 2014, 49, 106–114. [Google Scholar] [CrossRef]











| Metal | Lattice Parameter, Å [59] | Atomic Radius, Å [41,60,61] | Atomic Mass, g/mol [37,38,39] | Melting Temperature, °C [37,38,39] |
|---|---|---|---|---|
| Al | a = 4.05 | 1.43 | 26.98 | 660 |
| Mg | a = 3.2029, c = 5.20 | 1.45 | 24.307 | 650 |
| Ti | a = 2.951, c = 4.697 | 1.76 | 47.867 | 1668 |
| Cu | a = 3.6074 | 1.28 | 63.546 | 1085 |
| Al/Mg | Al/Ti | Al/Cu | |||||||
|---|---|---|---|---|---|---|---|---|---|
| Stage | |||||||||
| I | 0.15 | 1.79 | 0.82 | 0.11 | 2.60 | 1.55 | 0.084 | 0.70 | 0.89 |
| II | 0.19 | 2.58 | 1.3 | 0.157 | 3.30 | 1.63 | 0.14 | 2.80 | 1.48 |
| III | 0.22 | 3.07 | 1.3 | 0.217 | 4.20 | 1.95 | 0.17 | 3.54 | 1.60 |
Disclaimer/Publisher’s Note: The statements, opinions and data contained in all publications are solely those of the individual author(s) and contributor(s) and not of MDPI and/or the editor(s). MDPI and/or the editor(s) disclaim responsibility for any injury to people or property resulting from any ideas, methods, instructions or products referred to in the content. |
© 2023 by the authors. Licensee MDPI, Basel, Switzerland. This article is an open access article distributed under the terms and conditions of the Creative Commons Attribution (CC BY) license (https://creativecommons.org/licenses/by/4.0/).
Share and Cite
Polyakova, P.V.; Baimova, J.A.; Mulyukov, R.R. Bonding of Dissimilar Metals in the Interlayer Region in Al-Based Composites: Molecular Dynamics. Symmetry 2023, 15, 328. https://doi.org/10.3390/sym15020328
Polyakova PV, Baimova JA, Mulyukov RR. Bonding of Dissimilar Metals in the Interlayer Region in Al-Based Composites: Molecular Dynamics. Symmetry. 2023; 15(2):328. https://doi.org/10.3390/sym15020328
Chicago/Turabian StylePolyakova, Polina V., Julia A. Baimova, and Radik R. Mulyukov. 2023. "Bonding of Dissimilar Metals in the Interlayer Region in Al-Based Composites: Molecular Dynamics" Symmetry 15, no. 2: 328. https://doi.org/10.3390/sym15020328
APA StylePolyakova, P. V., Baimova, J. A., & Mulyukov, R. R. (2023). Bonding of Dissimilar Metals in the Interlayer Region in Al-Based Composites: Molecular Dynamics. Symmetry, 15(2), 328. https://doi.org/10.3390/sym15020328

