Next Article in Journal
Blend of Deep Features and Binary Tree Growth Algorithm for Skin Lesion Classification
Next Article in Special Issue
A Mini-Review of the Kinetic Energy Partition Method in Quantum Mechanics
Previous Article in Journal
Clustering of Floating Tracers in a Random Velocity Field Modulated by an Ellipsoidal Vortex Flow
Previous Article in Special Issue
Control of Strongly Nonequilibrium Coherently Correlated States and Superconducting Transition Temperature
 
 
Font Type:
Arial Georgia Verdana
Font Size:
Aa Aa Aa
Line Spacing:
Column Width:
Background:
Article

TT¯ Deformation: A Lattice Approach

School of Phyiscs and Shing-Tung Yau Center, Southeast University, Nanjing 210096, China
Symmetry 2023, 15(12), 2212; https://doi.org/10.3390/sym15122212
Submission received: 30 September 2023 / Revised: 12 December 2023 / Accepted: 15 December 2023 / Published: 18 December 2023
(This article belongs to the Special Issue Symmetry and Chaos in Quantum Mechanics)

Abstract

:
Integrable quantum field theories can be regularized on the lattice while preserving integrability. The resulting theories on the lattice are integrable lattice models. A prototype of such a regularization is the correspondence between a sine-Gordon model and a six-vertex model on a light-cone lattice. We propose an integrable deformation of the light-cone lattice model such that in the continuum limit we obtain the T T ¯ -deformed sine-Gordon model. Under this deformation, the cut-off momentum becomes energy dependent and the underlying Yang–Baxter integrability is preserved. Therefore, this deformation is integrable but non-local: similar to the T T ¯ deformation of quantum field theory.

1. Introduction

Understanding ultraviolet (UV) behavior of quantum field theory is a fundamental question. Typical UV behavior includes the famous Landau pole, which indicates that UV completion is needed; or asymptotic safety, which means the theory flows to a UV-fixed point. Recently, a third paradigm was proposed and dubbed as asymptotic fragility [1,2]. The novel feature of this new behavior is that the UV theory is well-defined but is not local in the usual sense. Therefore it is not a fixed point like CFT but some non-local theory.
Intriguingly, such non-local theories can be constructed by special irrelevant deformations of usual quantum field theories. The most-studied example of such deformations is the T T ¯ deformation [3,4]. It has been discovered that the deformation has many special features. Most notably, it preserves integrability and is solvable in a certain sense. This allows analytic computations for many physical quantities, especially when the original theory is a CFT or integrable quantum field theory (IQFT).
Despite many developments, some basic and important questions remain open. One outstanding question is that the precise nature of the non-locality is not completely understood. This is reflected in the computation of correlation functions of local operators. On the one hand, in a true gravity theory, these quantities are, in general, not well-defined since they are not diffeomorphism invariant. On the other hand, the T T ¯ -deformed QFT is simpler than coupling the theory to generic gravity theories, as the gravity theory it couples to is quite simple. It is thus an open question whether one can make sense of these quantities in the deformed theory and if so, how to compute them non-perturbatively. Very recently, there has been progress in computing correlation functions using various methods [5,6,7,8,9]. For CFTs, the deformed correlators are most conveniently written in momentum space. Performing a Fourier transform back to spacetime is subtle [5,6,7]. For IQFTs, one can adapt the form factor bootstrap approach [8,9]. So far, an explicit result has been obtained up to two-particle contributions. This result already exhibits some new features. In particular, for one sign of the deformation parameter, the form factor expansion does not converge, even at the two-particle level.
To proceed further requires a better understanding of the UV behavior of the deformed theories. To this end, we advocate another non-perturbative approach for studying T T ¯ deformation. A well-known approach to tame the UV divergences of a QFT is to put the theory on a lattice. The lattice regularization not only removes UV divergences but also builds a fruitful connection between quantum field theory and statistical mechanics. This approach is particularly suitable for integrable quantum field theories because lattice regularization can be performed in an integrability-preserving way. The resulting theory on the lattice is integrable and can be solved by the Bethe ansatz. One of the most well-known examples is the lattice regularization of sine-Gordon theory for which the corresponding lattice model is the six-vertex model [10,11,12,13]. The latter is intimately related to the Heisenberg XXZ spin chain.
Given a lattice regularization of IQFT, a natural and intriguing question is how to deform the underlying integrable lattice model in such a way that in the continuum limit we obtain the T T ¯ -deformed quantum field theory. Such a deformation, if it exists, must preserve integrability and should be non-local. Once this deformation is found, we can gain more intuition about T T ¯ deformation and can better understand what happens in the behavior of UV. In addition, some physical quantities such as correlation functions can be computed on the lattice using integrability techniques. By taking the continuum limit, one can compute these quantities in the corresponding field theory non-perturbatively.
To find the deformation for the lattice model, we investigate the light-cone lattice regularization of the sine-Gordon theory. This is a prototype of IQFTs; it is interesting both classically and in the quantum regime. At the classical level, its equation of motion leads to the famous sine-Gordon equation, which allows soliton solutions. Integrability at the classical level is guaranteed by the Lax representation and the classical Yang–Baxter equation. Soliton solutions can be found systematically by the inverse scattering method. T T ¯ deformation at the classical level has been investigated in various works: see, for example, [14,15].
At the quantum level, it is known that T T ¯ deformation modifies the S-matrix by multiplying a simple and universal CDD (short for Castillejo–Dalitz–Dyson [16]) factor [3,4]. This affects the finite-volume spectrum of the model in a simple way. The spectrum of the deformed sine-Gordon model can be calculated by the non-linear integral equation (NLIE) approach. By comparing lattice calculations with the T T ¯ -deformed NLIE, we can ‘trace back’ the deformation to the lattice model. The answer is simple. We need to deform the cut-off rapidity of the lattice model in an energy-dependent way. In the continuum limit, we keep the mass scale fixed; then, the deformation of cut-off rapidity is equivalent to deforming the lattice spacing in an energy-dependent way. This echoes the fact that T T ¯ deformation amounts to deforming the radius in an energy-dependent way. Away from the continuum limit, this deformation can be regarded as an integrable deformation of the lattice model, which is interesting in its own right.
The rest of the paper is organized as follows. In Section 2, we review lattice regularization of the sine-Gordon model. In Section 3, we discuss the T T ¯ deformation of the sine-Gordon model in the continuum limit. In Section 4, we propose the deformation of the lattice model and show that in the continuum limit it indeed leads to the T T ¯ -deformed sine-Gordon model. We also study the ground-state energy of the deformed finite lattice model. We conclude in Section 5 and discuss future directions.

2. Lattice Regularization of IQFT

In this section, we review the light-cone lattice regularization of sine-Gordon model [10,12]. For a more detailed discussion, see, for example, [17].

2.1. Light-Cone Lattice Regularization

Let us consider a Minkowski spacetime in two dimensions. We denote the space and time coordinates as x and y and define the light-cone coordinate as x ± = y ± x . We take the space direction to be compact with length L, as is shown in Figure 1.
The lattice spacing is denoted by a. The light-cone lattice is defined by
M = { x ± = a n ± / 2 , n ± Z } .
We take the spacial direction to have 2 N sites, and L = N a .

2.1.1. The Hilbert Space

Each spacetime point is associated with four links: two in the past and two in the future. The Hilbert space at each point is denoted by H i . The generic vector of a basis of H i is denoted by
| α 2 i 1 , α 2 i | α L i , α R i
where the odd/even numbers refers to right/left moving states. Here, each α k has two degrees of freedom, corresponding to a bare particle that moves towards or away from the spacetime point. The total Hilbert space is
H = i = 1 N H i .
The basis of H at a fixed time is given by
| α 1 , α 2 | α 2 N 1 , α 2 N = | α 1 , α 2 , , α 2 N H .

2.1.2. Dynamics on the Lattice

Now we define the dynamics on the lattice. We denote the S-matrix associated with | α 2 i 1 , α 2 i by S 2 i 1 , 2 i . We define the left and right diagonal transfer matrices by U L and U R , respectively, as
U L = V S 12 S 34 S 2 N 1 , 2 N , U R = V 1 S 12 S 34 S 2 N 1 , 2 N ,
where V is the shift operator in the spacial direction by half lattice spacing a / 2
V = P 12 P 23 P 2 N 1 , 2 N .
Here, P i , i + 1 is the permutation operator. The transfer matrices (5) move by one lattice spacing in the left upward and right upward directions. Using these operators, we can define the Hamiltonian H and momentum operator P of the system:
e i a H = U R U L , e i a P = U R U L 1 .

2.2. The Integrable Lattice Model

Now we define an integrable model on the lattice. We take the S-matrix at each site to be
S j k ( u ) = P j k R j k ( u )
where P j k is the permutation operator and R j k is the R-matrix of the XXZ spin chain. More explicitly, the S-matrix is given by
S j k ( u ) = 1 0 0 0 0 c ( u ) b ( u ) 0 0 b ( u ) c ( u ) 0 0 0 0 1 j k
with the Boltzmann weights
b ( u ) = sinh κ u sinh κ ( i π u ) , c ( u ) = i sin κ u sinh κ ( i π u ) .
Here, κ is a parameter with a range 0 κ 1 . We have chosen the normalization such that for real u, the S-matrix is unitary
S j k ( u ) S j k ( u ) = 1 .
Integrability of the S-matrix is guaranteed by the Yang–Baxter equation:
S j k ( u ) S i k ( u + v ) S i j ( v ) = S i j ( v ) S i k ( u + v ) S j k ( v ) .
Following the standard algebraic Bethe ansatz, we define the monodromy matrix:
M a ( u | { θ i } ) = S a 1 ( u + θ 1 ) S a 2 ( u + θ 2 ) S a N ( u + θ N )
and the transfer matrix:
T ( u | { θ i } ) = Tr a M a ( u | { θ i } ) ,
where u is called the spectral parameter and { θ i } are the inhomogeneities. For any choice of { θ i } , one can diagonalize this transfer matrix by the Bethe ansatz.
The crucial fact is that for a specific choice of the spectral parameter and inhomogeneities, the transfer matrix (14) is related to the shift operators U L and U R defined in (5). To this end, we take the inhomogeneities to be
θ i = ( 1 ) i + 1 Θ / 2 , i = 1 , 2 , , 2 N .
We denote the corresponding transfer matrix as T ( u | Θ / 2 ) . The shift operators are given by
U L ( Θ ) = T ( Θ / 2 | Θ / 2 ) , U R ( Θ ) = T ( Θ / 2 | Θ / 2 ) .
Using the Bethe ansatz, we can find the eigenvalues of T ( u | { θ i } ) with any spectral parameter and inhomogeneities, including the special choice (15). This allows us to diagonalize U L and U R , which in turn gives the eigenvalues of H and P in (7).

2.3. The Non-Linear Integral Equation

Now we discuss how to solve the integrable lattice model. By solving the lattice model, we mean diagonalizing the transfer matrix T ( u | Θ / 2 ) . This can be done by the Bethe ansatz. Each eigenstate | { u k } of the transfer matrix is parameterized by M parameters called ‘rapidities’:
{ u k } = { u 1 , u 2 , , u M } .
The rapidities satisfy the Bethe ansatz equations (BAE)
sinh κ ( u j + Θ + i π 2 ) sinh κ ( u j Θ + i π 2 ) sinh κ ( u j + Θ i π 2 ) sinh κ ( u j Θ i π 2 ) N = k = 1 M sinh κ ( u j u k + i π ) sinh κ ( u j u k i π ) , j = 1 , , M .
In terms of the rapidities, the eigenstates of the Hamiltonian and momentum are given by
e i a ( E ± P ) / 2 = ( 1 ) M j = 1 M sinh κ ( Θ ± u j + i π / 2 ) sinh κ ( Θ ± u j i π / 2 ) .
In principle, one needs to solve the Bethe equations and find the Bethe roots. In the thermodynamic limit, this is not feasible. One nice method to find the spectrum with N 1 is the non-linear integral equation approach. This method plays an important role in establishing a relation between the integrable lattice model and the sine-Gordon model.

2.3.1. The Counting Function

In order to write down the non-linear integral equation, we define an important quantity called the counting function. For later convenience, let us define the function
ϕ ν ( u ) = i log sinh κ ( i π ν + u ) sinh κ ( i π ν u ) .
The counting function is given by
Z N ( u ) = N ϕ 1 / 2 ( u + Θ ) + ϕ 1 / 2 ( u Θ ) k = 1 M ϕ 1 ( u u k ) .
In terms of the counting function, the BAE (18), or, more precisely, its logarithmic, form becomes
Z N ( u j ) = 2 π I j , I j Z + 1 + δ 2
where δ = 0 , 1 for even and odd M values respectively. In other words, if M is even, I j are half of odd integers; if M is odd, I j are integers. I j is called the ‘mode number’.

2.3.2. The Antiferromagnetic Vacuum

In the continuum limit that we discuss below, different solutions of the BAE correspond to different physical states of the sine-Gordon theory. In particular, the ground state of the sine-Gordon theory corresponds to the antiferromagnetic vacuum solution of the lattice model. The total spin for the antiferromagnetic vacuum is zero. Therefore, we have M = N . The mode numbers for the vacuum solution are chosen such that the BAE becomes
Z N ( u j ) = ( N 2 j + 1 ) π , j = 1 , 2 , , N .
There is a unique solution to this choice of mode number, and all the Bethe roots are real numbers and are distributed symmetrically with respect to the origin.
Excited states of the sine-Gordon model correspond to other solutions of the BAE of the lattice model. For example, if one root is missing in (23), then we have N 1 Bethe roots. This is like a ‘hole’ in the Fermi sea and corresponds to the one-soliton state of the sine-Gordon model. Similarly, two holes correspond to the two-soliton state and so on.

2.3.3. The Non-Linear Integral Equation

Using the contour deformation trick, we can rewrite (21) as an integral equation for the counting function. For the detailed derivation, refer to [12,17]. The result is
Z N ( u ) = 2 N arctan sinh u cosh Θ i d v G ( u v i η ) log 1 + e i Z N ( v + i η ) + i d v G ( u v + i η ) log 1 + e i Z N ( v i η )
where the parameter η is a small, real parameter such that 0 < η < π κ / 2 . The convolution kernel G ( u ) is given by
G ( u ) = d k 4 π sinh π k ( ξ 1 ) / 2 sinh ( π k ξ / 2 ) cosh ( π k / 2 ) e i k u
The parameter ξ is related to κ as
κ = 1 / ( 1 + ξ ) .

2.3.4. Energy and Momentum

In terms of the Bethe roots, the energy and momentum of the antiferromagnetic vacuum is given by
E N = 1 a j = 1 N ϕ 1 / 2 ( Θ u j ) + ϕ 1 / 2 ( Θ + u j ) 2 π , P N = 1 a j = 1 N ϕ 1 / 2 ( Θ u j ) ϕ 1 / 2 ( Θ + u j ) .
Here the choice of branch for the logarithm for E N is made such that the contribution of each real root is negative definite so that excitations such as holes will have positive energies. Using the contour deformation trick, these can also be written in terms of the counting function:
E N = 1 a 2 Im d v 2 π 1 cosh ( Θ v i η ) 1 cosh ( Θ + v + i η ) log 1 + e i Z N ( v + i η ) N a ( π + κ π ) , P N = 1 a 2 Im d v 2 π 1 cosh ( Θ v i η ) + 1 cosh ( Θ + v + i η ) log 1 + e i Z N ( v + i η )
Sometimes the constant piece in the energy is also denoted as E bulk :
E bulk = N a π ( 1 + κ ) .
In the continuum limit, this term diverges as N 2 , and it is discarded. What we call the ‘Casimir energy’ in the continuum limit is E N E bulk . Equivalently, we can define the shifted energy E ˜ N such that in the continuum limit it directly gives the Casimir energy. We have
E ˜ N = 1 a j = 1 N ϕ 1 / 2 ( Θ u j ) + ϕ 1 / 2 ( Θ + u j ) + ( κ 1 ) π
To sum up, to find the energy of the antiferromagnetic vacuum of the lattice model, we first solve Equation (24) to find the counting function Z N ( u ) and then compute the energy and momentum by (28).

2.4. The Continuum Limit

We have introduced the light-cone integrable lattice model and discussed its Bethe ansatz solution. To make contact with the sine-Gordon theory, we need to take the continuum limit. On the lattice, we have the lattice spacing a, which needs to be sent to zero. We have the number of sites N, which needs to be sent to infinity. We also have the parameter Θ , which plays the role of cut-off rapidity. In the continuum limit, we have the length of the finite volume R and the renormalized mass scale m. It is clear that we have
R = a N .
In the continuum limit, we send a 0 and N with R being fixed and finite. The cut-off rapidity Θ is related to the renormalized mass scale m. It turns out in the continuum limit, we need to send Θ such that
m e Θ a
is fixed and finite. More precisely, we shall take
Θ = log 4 N m R
and send N to infinity.
Plugging (33) into (24) and taking the limit N , we obtain
Z ( u ) = m R sinh u + 2 Im d v G ( u v i η ) log 1 + e i Z ( v + i η ) .
This is exactly the NLIE for the sine-Gordon theory, which can be used to determine the finite-volume energy spectrum. The NLIE can be solved numerically. Once we find the counting function, the energy and momentum are given by
E ( R ) = 2 m Im d v 2 π sinh ( v + i η ) log 1 + e i Z ( v + i η ) , P ( R ) = 2 m Im d v 2 π cosh ( v + i η ) log 1 + e i Z ( v + i η ) .
The excited states are given by similar equations. We only need to modify the driving terms, or, equivalently, deform the integration contour to encircle certain poles. The equation for excited states can be found, for example, in [18]. For our purpose, which is to find a T T ¯ -like deformation on the lattice, it is sufficient to consider the ground state NLIE. Generalization to excited states is straightforward.

3. T T ¯ -Deformation in the Continuum Limit

In this section, we give a brief review of T T ¯ deformation. At the Lagrangian level, it is defined as a family of models parametrized by the deformation parameter t
L t t = T T ¯ t
where T T ¯ is a composite operator det T μ ν that can be defined more carefully by point splitting [19]. This deformation is particularly simple for IQFTs, as it amounts to deforming the S-matrix by multiplying a CDD factor:
S ( u , v ) S ( u , v ) S CDD ( u , v ) .
For the sine-Gordon model, the CDD factor is simply
S CDD ( u , v ) = e i t m 2 sinh ( u v ) .
Multiplying the S-matrix with a CDD factor apparently preserves integrability because the deformed S-matrix still satisfies the Yang–Baxter equation. In addition, the CDD factor does not introduce new poles on the physical strip, and therefore, it does not modify the IR physics. Since integrability is preserved, part of the integrability toolkit can be used. In particular, for the sine-Gordon model, it has been shown that the deformed spectrum can be found by the deformed NLIE [4]. For the ground state, the T T ¯ -deformed NLIE is given by
Z ( u ) = m sinh ( u ) R + t E ( R , t ) + m cosh ( u ) t P ( R , t ) + 2 Im d v G ( u v i η ) log 1 + e i Z ( v + i η ) .
where E ( R , t ) and P ( R , t ) are the deformed energy and the momentum, respectively. We can recast the driving term in a more-instructive form and write the NLIE as
Z ( u ) = m R t sinh ( u + φ t ) + 2 Im d v G ( u v i η ) log 1 + e i Z ( v + i η ) .
The new parameters R t and u t are defined as
R t cosh φ t = R + t E ( R , t ) , R t sinh φ t = t P ( R , t ) .
Given that the NLIE of the sine-Gordon model can be derived from the NLIE underlying the lattice model by taking the continuum limit, a natural question is: Is there a deformation of the integrable lattice model for which the continuum limit gives the deformed NLIE (40)?

4. Integrable Deformation on the Lattice

In this section, we give an affirmative answer to the question we posed at the end the previous section. Since T T ¯ deformation is an irrelevant deformation, it changes the UV physics. Therefore it is natural to suspect that it is somehow related to the UV cut-off in a certain way. In our lattice model, the UV cut-off is related to the cut-off rapidity Θ and the lattice spacing a. According to (32), they are not independent if we assume that the mass m is not modified by the deformation.

4.1. The Proposal

The key idea is to deform the choice of inhomogeneities, which are related to the momenta of the ‘bare particles’. In the undeformed case, we take the inhomogeneities as in (15). Consider the following choice of the inhomogeneities:
θ n ( t ) = ( 1 ) n + 1 Θ + σ ( t ) + μ ( t ) .
where σ ( t ) and μ ( t ) depend on the deformation parameter t. Ignoring μ ( t ) , which is a global shift for all particles, we see that this modification amounts to changing the cut-off rapidity from Θ to Θ + σ ( t ) . By straightforward computation, we arrive at the following deformed NLIE on the lattice:
Z N ( t ) ( u ) = 2 N arctan sinh u + μ ( t ) cosh Θ + σ ( t ) + 2 Im d v G ( u v i η ) log 1 + e i Z ( v + i η )
Taking the continuum limit as before—namely, taking Θ = log ( 4 N / m R ) and sending N —we obtain the following deformed NLIE:
Z ( t ) ( u ) = m ( R e σ ( t ) ) sinh u + μ ( t ) + 2 Im d v G ( u v i η ) log 1 + e i Z ( v + i η ) .
Comparing this equation with the NLIE of the T T ¯ -deformed sine-Gordon theory (40), we find that they become the same if we make the following identification:
R t = R e σ ( t ) , φ t = μ ( t ) .
This leads to the following choices for σ ( t ) and μ ( t ) :
σ ( t ) = log R R t , μ ( t ) = arcsinh t P R t
where
R t = R 2 + 2 t R E + t 2 ( E 2 P 2 )
and E and P are the deformed energy and momentum, respectively. The following comments are in order.
  • It is obvious that such a deformation is integrable since we did not modify the R ˇ -matrix of the lattice model (9) and it still satisfies the Yang–Baxter equation.
  • As we discussed before, if keeping the mass scale m fixed, deforming Θ is equivalent to deforming the lattice spacing a in an energy-dependent way. Therefore, we can interpret the T T ¯ deformation as putting the integrable theory on a dynamical lattice. The deformed lattice spacing is a t a R t / R . This is consistent with the dynamical change of the coordinate point of view [2,14].
  • The nature of non-locality is clear from this proposal. In order to deform the cut-off rapidity at each spacetime point, we need to know the energy and momentum of the whole system, which are global quantities.
From the third point, the deformations σ ( t ) and μ ( t ) depend on energy and momentum. At the same time, the energy and momentum also depend on these deformations. Therefore, we need to calculate these quantities in a self-consistent way. The deformed NLIE and thermodynamic Bethe ansatz-like equation in the continuum limit has been investigated in several works [4,20]. In what follows, we show that even at finite N, the deformed lattice model can also be solved in a consistent manner.

4.2. Free Fermion Point

For simplicity, we consider the free fermion point κ = 1 / 2 of the DDV equation. At this point, the theory is free. Both analytical and numerical analysis become simpler.

4.2.1. Undeformed Case

For the undeformed theory, the counting function is given by
Z N ( u ) = 2 N arctan sinh u cosh Θ
The Bethe equation for the antiferromagnetic vacuum is
Z N ( u j ) = ( N 2 j + 1 ) π , j = 1 , 2 , , N .
The Bethe roots can be found explicitly:
u j = arcsinh cosh Θ cot ( 2 j 1 ) π 2 N , j = 1 , 2 , , N .
The momentum and energy can be computed straightforwardly by using (27) and (30). In particular, for κ = 1 / 2 , we have
E ˜ N = 1 a j = 1 N ϕ 1 / 2 ( Θ u j ) + ϕ 1 / 2 ( Θ + u j ) π 2 = 1 a j = 1 N 2 arctan sinh Θ cosh u j π 2
Plugging the Bethe roots (50) into (51), we obtain
E ˜ N = 1 a j = 1 N 2 arctan sinh Θ 1 + cosh 2 Θ cot 2 [ ( 2 j 1 ) π / ( 2 N ) ] π 2

4.2.2. Deformed Bethe Roots

To simplify the analysis, we consider the case for which the total momentum of the state P N = 0 . In fact, since we are considering the ground state, the zero momentum condition is automatically satisfied. In this case, the integrable deformation for the lattice model for finite N simply requires changing the cut-off rapidity Θ to
Θ Θ t Θ + σ ( t ) , σ ( t ) = log R t R = log R + t E ˜ N ( t ) R .
Here, E ˜ N ( t ) is the deformed energy:
E ˜ N ( t ) = 1 a j = 1 N ϕ 1 / 2 ( Θ t u j ( t ) ) + ϕ 1 / 2 ( Θ t + u j ( t ) ) π 2 .
The deformed Bethe equation takes the same form:
Z N ( t ) ( u j ) = ( N 2 j + 1 ) π , j = 1 , 2 , , N .
with
Z N ( t ) ( u ) = 2 N arctan sinh u cosh Θ t .
The deformed Bethe roots u j ( t ) then take the same form as the undeformed case with Θ replaced by Θ t :
u j ( t ) = arcsinh cosh Θ t cot ( 2 j 1 ) π 2 N , j = 1 , 2 , , N .
Now plugging (57) back to (54), we see that (54) can be viewed as an equation for E ˜ N ( t ) . This equation is rather complicated and in general can only be solved numerically.

4.2.3. Large N Analysis

To see the large N behavior, it is more convenient to use an alternative integral expression for (54). Using the contour integration trick, we can write it as
E ˜ N ( t ) = 2 N R d v 2 π 4 sinh Θ t cosh v cosh ( 2 Θ t ) cosh ( 2 v ) log 1 + e 2 N arctanh cosh v cosh Θ t
In the continuum limit, we take Θ = log 4 N m R with N . It is straightforward to check that (58) becomes
E ( R , t ) = 2 m d v 2 π cosh v log 1 + e m R t cosh v
which is exactly the expression for the deformed energy. To see how this happens in more detail, let us define the integrand as
f N ( v ) = 2 N R 4 sinh Θ t cosh v cosh ( 2 Θ t ) cosh ( 2 v ) log 1 + e 2 N arctanh cosh v cosh Θ t
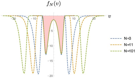
with Θ = log 4 N m R . The function f N ( v ) depends on the parameters m , R and t. For finite N, the function f N ( v ) is different for even and odd values of N. The plot of f N ( v ) for several even values of N is given in Figure 2. The shaded area is the contribution in the continuum limit. There are additional contributions from the upper plane at finite values of N. As N increases, these contributions are pushed towards infinity, as is shown in the figure.
Similarly, for odd values of N, the plot of f N ( v ) is given in Figure 3. Again, the red shaded part is the contribution in the continuum limit. There are extra contributions at finite values of N on the lower half plane, which is pushed toward infinity as N increase.

4.2.4. Finite N Analysis

Now we consider the deformed lattice model for finite N. In this case, our perspective is to study the integrable deformation of the lattice model instead of the field theory. Our goal is to describe the method of finding the deformed ground-state energy and also study some of its features.
To this end, let us consider the simplest case N = 2 , which is already sufficient for exhibiting the main features. There are two Bethe roots:
u 1 ( t ) = u 2 ( t ) = u ( t ) = arcsinh ( cosh Θ t )
The energy is given by
E ˜ 2 ( t ) = 1 a 4 arctan sinh Θ t cosh 2 Θ t + 1 π
For the lattice model, we can simply take the lattice spacing a = 1 . The deformation of Θ t is given by:
Θ t = Θ + σ ( t ) , e σ ( t ) = 1 + t E ˜ 2 ( t ) .
(Notice that, strictly speaking, the deformation parameter t for the lattice model is slightly different from the one for field theory: it is related to the field theory one by t lattice = t QFT / ( a N ) . We take a = 1 according to our convention).
Plugging (63) into (62), we obtain an equation for E ˜ 2 ( t ) . For fixed values of Θ and t, the resulting equation can be solved numerically, which gives us the deformed energy. Below, we present the results for N = 2 with two different choices of Θ . Note that if we consider the continuum limit, we must take Θ log N . However, if we simply consider the lattice model, Θ can be an independent parameter.
We find the deformed energy numerically for various values of N and Θ . There are two qualitatively different behaviors. For t > 0 , the deformed energy for different values of N and Θ has the same behavior: it approaches zero. On the other hand, the behavior for t < 0 is more interesting. For small values of Θ , the behavior is given in Figure 4a: it decreases quickly and then approaches a stable value. For sufficiently large values of Θ , the behavior changes and becomes the one given in Figure 4b: it quickly goes down to a minimum and then increases and approaches some stable value. For larger values of N, we find similar behavior.

5. Conclusions and Discussions

In this paper, we proposed a lattice approach to T T ¯ deformation for the integrable quantum field theory. We proposed an integrability-preserving but non-local deformation for the light-cone lattice model for which the continuum limit leads to the T T ¯ -deformed sine-Gordon model. The key observation is that T T ¯ deformation can be obtained from the lattice model by deforming the cut-off rapidity, or equivalently, the lattice spacing, in an energy-dependent way. This is reminiscent of dynamical or field-dependent coordinate transformation in the field theory.
Our proposal at the current stage can be well-criticized as being somewhat ad hoc because we need to deform the cut-off rapidity in a very specific way. Nevertheless, we believe this is a useful first step to gain deeper insights. In fact, this criticism also applies to the dynamical change of the coordinate point of view of T T ¯ deformation of quantum field theory [14]. However, in quantum field theory, the situation is better because there are other equivalent formulations. For example, by coupling the field theory to a JT-like gravity, one can obtain the dynamical change of coordinates in a more natural way by integrating out the gravity degrees of freedom [2,21]. Therefore, an important question is whether we have similar formulations on the lattice: namely, can we reformulate our proposal to make the lattice dynamical by coupling it to certain lattice gravity? This idea is similar to putting integrable lattice models on a random lattice, which in the continuum limit results in coupling the corresponding field theory to Liouville gravity: see, for example, [22].
Another important point is that a given quantum field theory can have different lattice regularizations. For example, one can implement the standard lattice QFT by discretizing fundamental fields, similar to the method for lattice QCD (see, for example, the books [23,24]). This is the standard method for putting QFTs on a lattice, but it breaks integrability. In order to have more analytic control over the discretized theory, we would like to preserve integrability. Even under this strict requirement, the discretization is not unique. An alternative discretization of the sine-Gordon model was proposed in [25,26], which relates the discretized sine-Gordon theory to the XYZ spin chain. Given that T T ¯ deformation is quite universal for 2d quantum field theories, it is a natural question to ask whether we can obtain the T T ¯ -deformed QFT by performing other deformations on different lattice regularizations. There should be some universal features for the deformations of all these regularizations. From the current work, we suspect that the dynamical lattice space picture might play a role in other lattice regularizations as well.
Finally, it would be interesting to use our proposal to compute deformed correlation functions. In the current context, some expectation values of local operators and current operators have been computed [27,28]. It is therefore interesting to compute the corresponding deformed expectation values using our prescription. The results can be compared with other approaches as cross checks.

Funding

This work is partly supported by Startup Funding, Southeast University, grant No. 3207022217A1.

Data Availability Statement

Data are contained within the article.

Acknowledgments

I would like to thank John Cardy, Shota Komatsu, and Roberto Tateo for their helpful discussions. This work is partly supported by Startup Funding, Southeast University, grant No. 3207022217A1.

Conflicts of Interest

The authors declare no conflict of interest.

References

  1. Dubovsky, S.; Flauger, R.; Gorbenko, V. Solving the Simplest Theory of Quantum Gravity. J. High Energy Phys. 2012, 9, 133. [Google Scholar] [CrossRef]
  2. Dubovsky, S.; Gorbenko, V.; Mirbabayi, M. Asymptotic fragility, near AdS2 holography and T T ¯ . J. High Energy Phys. 2017, 9, 136. [Google Scholar] [CrossRef]
  3. Smirnov, F.A.; Zamolodchikov, A.B. On space of integrable quantum field theories. Nucl. Phys. B 2017, 915, 363–383. [Google Scholar] [CrossRef]
  4. Cavaglià, A.; Negro, S.; Szécsényi, I.M.; Tateo, R. T T ¯ -deformed 2D Quantum Field Theories. J. High Energy Phys. 2016, 10, 112. [Google Scholar] [CrossRef]
  5. Cardy, J. T T ¯ deformation of correlation functions. J. High Energy Phys. 2019, 12, 160. [Google Scholar] [CrossRef]
  6. Cui, W.; Shu, H.; Song, W.; Wang, J. Correlation Functions in the TsT/ T T ¯ Correspondence. arXiv 2023, arXiv:2304.04684. [Google Scholar]
  7. Aharony, O.; Barel, N. Correlation Functions in T T ¯ -deformed Conformal Field Theories. arXiv 2023, arXiv:2304.14091. [Google Scholar]
  8. Castro-Alvaredo, O.A.; Negro, S.; Sailis, F. Completing the Bootstrap Program for T T ¯ -Deformed Massive Integrable Quantum Field Theories. arXiv 2023, arXiv:2305.17068. [Google Scholar]
  9. Castro-Alvaredo, O.A.; Negro, S.; Sailis, F. Form Factors and Correlation Functions of T T ¯ -Deformed Integrable Quantum Field Theories. arXiv 2023, arXiv:2306.01640. [Google Scholar]
  10. Destri, C.; de Vega, H.J. Light Cone Lattice Approach to Fermionic Theories in 2-D: The Massive Thirring Model. Nucl. Phys. B 1987, 290, 363–391. [Google Scholar] [CrossRef]
  11. Destri, C.; de Vega, H.J. New thermodynamic Bethe ansatz equations without strings. Phys. Rev. Lett. 1992, 69, 2313–2317. [Google Scholar] [CrossRef] [PubMed]
  12. Destri, C.; De Vega, H.J. Unified approach to thermodynamic Bethe Ansatz and finite size corrections for lattice models and field theories. Nucl. Phys. B 1995, 438, 413–454. [Google Scholar] [CrossRef]
  13. Reshetikhin, N.Y.; Saleur, H. Lattice regularization of massive and massless integrable field theories. Nucl. Phys. B 1994, 419, 507–528. [Google Scholar] [CrossRef]
  14. Conti, R.; Negro, S.; Tateo, R. The T T ¯ perturbation and its geometric interpretation. J. High Energy Phys. 2019, 2, 85. [Google Scholar] [CrossRef]
  15. Chen, B.; Hou, J.; Tian, J. Lax connections in T T ¯ -deformed integrable field theories. Chin. Phys. C 2021, 45, 093112. [Google Scholar] [CrossRef]
  16. Castillejo, L.; Dalitz, R.H.; Dyson, F.J. Low’s scattering equation for the charged and neutral scalar theories. Phys. Rev. 1956, 101, 453–458. [Google Scholar] [CrossRef]
  17. Feverati, G. Finite Volume Spectrum of Sine-Gordon Model and Its Restrictions. Ph.D. Thesis, University of Bologna, Bologna, Italy, 2000. [Google Scholar]
  18. Feverati, G.; Ravanini, F.; Takacs, G. Nonlinear integral equation and finite volume spectrum of Sine-Gordon theory. Nucl. Phys. 1999, B540, 543–586. [Google Scholar] [CrossRef]
  19. Zamolodchikov, A.B. Expectation value of composite field T anti-T in two-dimensional quantum field theory. arXiv 2004, arXiv:0401146. [Google Scholar]
  20. Camilo, G.; Fleury, T.; Lencsés, M.; Negro, S.; Zamolodchikov, A. On factorizable S-matrices, generalized TTbar, and the Hagedorn transition. J. High Energy Phys. 2021, 10, 062. [Google Scholar] [CrossRef]
  21. Caputa, P.; Caputa, P.; Datta, S.; Datta, S.; Jiang, Y.; Jiang, Y.; Kraus, P.; Kraus, P. Geometrizing T T ¯ . J. High Energy Phys. 2021, 3, 140, Erratum: J. High Energy Phys. 2022, 9, 110. [Google Scholar]
  22. Kostov, I.K. Exact solution of the six vertex model on a random lattice. Nucl. Phys. B 2000, 575, 513–534. [Google Scholar] [CrossRef]
  23. Creutz, M. Quarks, Gluons and Lattices; Oxford University Press: Oxford, UK, 1983. [Google Scholar]
  24. Smit, J. Introduction to Quantum Fields on a Lattice; Cambridge Lecture Notes in Physics; Cambridge University Press: Cambridge, UK, 2023; Volume 15. [Google Scholar]
  25. Luther, A. Eigenvalue spectrum of interacting massive fermions in one-dimension. Phys. Rev. 1976, B14, 2153–2159. [Google Scholar] [CrossRef]
  26. Luscher, M. Dynamical Charges in the Quantized, Renormalized Massive Thirring Model. Nucl. Phys. B 1976, 117, 475–492. [Google Scholar] [CrossRef]
  27. Hegedús, A. Exact finite volume expectation values of Ψ ¯ Ψ in the massive Thirring model from light-cone lattice correlators. J. High Energy Phys. 2018, 3, 047. [Google Scholar] [CrossRef]
  28. Hegedús, A. On the finite volume expectation values of local operators in the sine-Gordon model. Nucl. Phys. B 2019, 948, 114749. [Google Scholar] [CrossRef]
Figure 1. Light-cone lattice regularization of spacetime. The spacial direction is compact.
Figure 1. Light-cone lattice regularization of spacetime. The spacial direction is compact.
Symmetry 15 02212 g001
Figure 2. Plot of f N ( v ) with m = 1 , R = 0.05 , t = 0 at N = 2 , 10 , 100 .
Figure 2. Plot of f N ( v ) with m = 1 , R = 0.05 , t = 0 at N = 2 , 10 , 100 .
Symmetry 15 02212 g002
Figure 3. Plot of f N ( v ) with m = 1 , R = 0.05 , t = 0 at N = 3 , 11 , 101 .
Figure 3. Plot of f N ( v ) with m = 1 , R = 0.05 , t = 0 at N = 3 , 11 , 101 .
Symmetry 15 02212 g003
Figure 4. Deformed spectrum for N = 2 with different values of Θ . The horizontal axis is the deformation parameter t, while the vertical axis is the deformed ground-state energy E ˜ 2 ( t ) . The blue and red dots denote the values for positive and negative values of t, respectively. (a) Deformed energy with N = 2 , Θ = 1 . (b) Deformed energy with N = 2 , Θ = 2 .
Figure 4. Deformed spectrum for N = 2 with different values of Θ . The horizontal axis is the deformation parameter t, while the vertical axis is the deformed ground-state energy E ˜ 2 ( t ) . The blue and red dots denote the values for positive and negative values of t, respectively. (a) Deformed energy with N = 2 , Θ = 1 . (b) Deformed energy with N = 2 , Θ = 2 .
Symmetry 15 02212 g004
Disclaimer/Publisher’s Note: The statements, opinions and data contained in all publications are solely those of the individual author(s) and contributor(s) and not of MDPI and/or the editor(s). MDPI and/or the editor(s) disclaim responsibility for any injury to people or property resulting from any ideas, methods, instructions or products referred to in the content.

Share and Cite

MDPI and ACS Style

Jiang, Y. TT¯ Deformation: A Lattice Approach. Symmetry 2023, 15, 2212. https://doi.org/10.3390/sym15122212

AMA Style

Jiang Y. TT¯ Deformation: A Lattice Approach. Symmetry. 2023; 15(12):2212. https://doi.org/10.3390/sym15122212

Chicago/Turabian Style

Jiang, Yunfeng. 2023. "TT¯ Deformation: A Lattice Approach" Symmetry 15, no. 12: 2212. https://doi.org/10.3390/sym15122212

APA Style

Jiang, Y. (2023). TT¯ Deformation: A Lattice Approach. Symmetry, 15(12), 2212. https://doi.org/10.3390/sym15122212

Note that from the first issue of 2016, this journal uses article numbers instead of page numbers. See further details here.

Article Metrics

Back to TopTop